Employment of Barkhausen Noise Technique for Assessment of Prestressing Bars Damage with Respect of Their Over-Stressing
Abstract
1. Introduction
- the bars yielding results in a decrease of prestressing in civil construction and extensive, permanent displacements;
2. Materials and Methods
- Second cycle indicated by black colour in Figure 4—loading while increasing the tensile stress with the step indicated in Table 2 up to 786 MPa, followed by further wire over-stressing controlled by ΔL 5, 10, 15, and 20 mm, holding for 10 s, and finally the progressive release of the tensile stress (indicated by black color in the figures).
3. Results
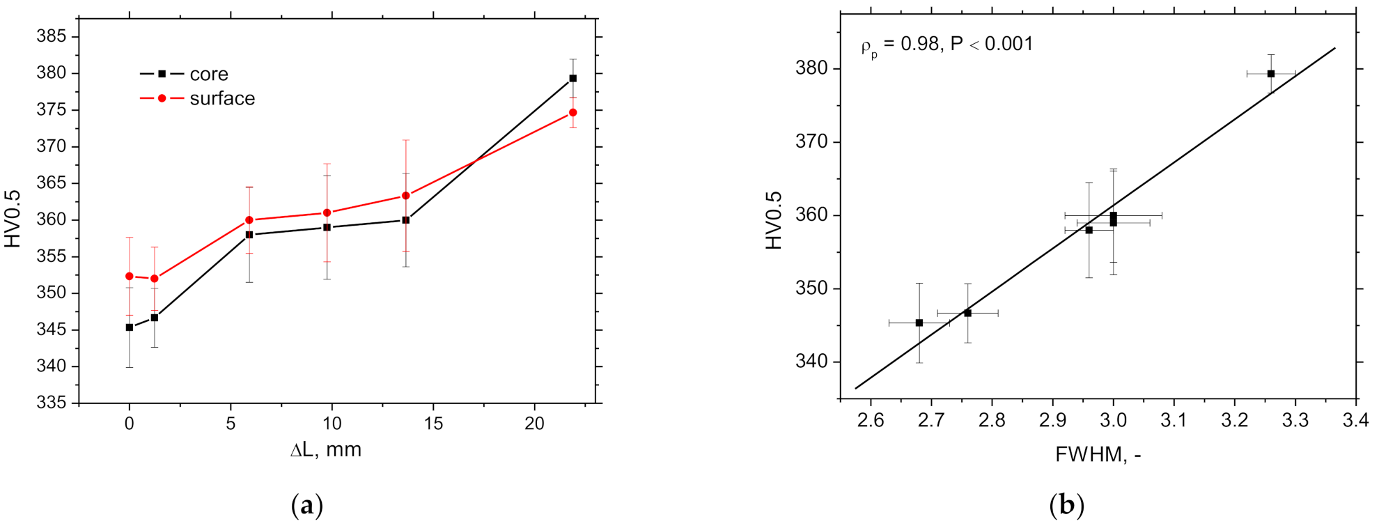
3.1. Microhardness and XRD Measurements
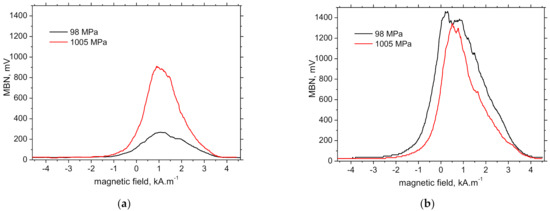
3.2. MBN Analysis and Metallographic Observations.
- a gentle drop for the low ΔL when the contribution of the DWs realignment prevails over the increasing pinning strength of the microstructure;
- followed by nearly constant PP values for medium ΔL when the contribution of the DWs alignment is equally compensated by the increasing pinning strength of the lattice;
- and finally, moderate growth of PP for the highest ΔL when the increasing dislocation density predominates.
4. Conclusions
- Plot of residual stresses depicts the initial increase in amplitude of compressive residual stresses for TD followed by its progressive decrease whereas release of compressive residual stresses only can be found for AD;
- FWHM of XRD increases with over-stressing and the corresponding degree of plastic deformation for both directions gives information about dislocation density;
- MBN signal shift suggests compressive stress for TD and tensile for AD. However, compressive stresses of decreasing amplitude along with more developed over-stressing were measured in AD as well as TD. This aspect indicates that the contribution of residual stresses with respect of MBN is only minor and the influence of microstructure (and its anisotropy) prevails;
- The high MBN in the TD and the corresponding low MBN in the AD indicate high tensile stress without significant over-stressing;
- Bars over-stressing and its degree can be linked with the grow of FWHM in both directions as well as decreasing amplitude of residual stress in AD;
- Decreasing MBN in the TD obtained from the unloaded bars (as compared with the bulk) can be linked with the increasing degree of their over-stressing, whereas the high MBN in the AD provides information about the bar’s yielding, but the sensitivity towards the degree of over-stressing is limited (see Figure 15).
Author Contributions
Funding
Institutional Review Board Statement
Data Availability Statement
Conflicts of Interest
References
- Yang, K.H.; Mun, J.H.; Hwang, S.H. Cyclic shear behaviour of masonry walls strengthened with pre-stressed bars and glass fibre grids. Comp. Struct. 2020, 238, 111961. [Google Scholar] [CrossRef]
- Zhong, X.; Zhang, T.; Zhao, C.; Shu, X.; Shen, M.; Chen, Y.F. New non-destructive dynamic tensile testing of prestressing fine-rolled screw-threaded steel bars. Eng. Struct. 2019, 182, 153–163. [Google Scholar] [CrossRef]
- Li, X.; Wu, Z.; Zheng, J.; Cao, Q. Rate-dependent bond performance of plain bars in concrete under biaxial transverse tensions. Eng. Struct. 2020, 216, 110740. [Google Scholar] [CrossRef]
- Said, M.; Shanour, A.S.; Mustafa, T.; Abdel-Kareem, A.H.; Khalil, M.M. Experimental flexural performance of concrete beams reinforced with an innovative hybrid bars. Eng. Struct. 2021, 226, 111348. [Google Scholar] [CrossRef]
- Gao, D.; Gu, Z.; Tang, J. Fatigue performance and stress range modeling of SFRC beams with high-strength steel bars. Eng. Struct. 2020, 216, 110706. [Google Scholar] [CrossRef]
- Hou, X.; Zheng, W.; Kodur, V.; Sun, H. Effect of temperature on mechanical properties of prestressing bars. Constr. Build. Mater. 2014, 61, 24–32. [Google Scholar] [CrossRef]
- Martin, J.; Broughton, K.J.; Giannopolous, A. Ultrasonic tomography of grouted duct post-tensioned reinforced concrete bridge beams. NDT & E Int. 2001, 34, 107–113. [Google Scholar] [CrossRef]
- Peng, P.-C.; Wang, C.-Y. Use of gamma rays in the inspection of steel wire ropes in suspension bridges. NDT E Int. 2015, 75, 80–86. [Google Scholar] [CrossRef]
- Christen, R.; Bergamini, A.; Motavalli, M. Influence of steel wrapping on magneto-inductive testing of the main cables of suspension bridges. NDT E Int. 2009, 42, 22–27. [Google Scholar] [CrossRef]
- Cao, Y.N.; Zhang, D.L.; Xu, D.G. The state-of-art of quantitative testing of wire rope. Nondestruct. Test. 2005, 27, 91–95. [Google Scholar]
- Neslušan, M.; Bahleda, F.; Moravčík, M.; Zgútová, K.; Pastorek, F. Assessment of tendon prestressing after long term operation via Barkhausen noise technique. Materials 2019, 12, 3450. [Google Scholar] [CrossRef]
- Neslušan, M.; Bahleda, F.; Minárik, P.; Zgútová, K.; Jambor, M. Non-destructive monitoring of corrosion extent in steel rope wires via Barkhausen noise emission. J. Magn. Magn. Mater. 2019, 484, 179–187. [Google Scholar] [CrossRef]
- Neslušan, M.; Bahleda, F.; Trojan, K.; Pitoňák, M.; Zgútová, K. Barkhausen noise in over-stressed wires. J. Magn. Magn. Mater. 2020, 513, 167134. [Google Scholar] [CrossRef]
- Fiorillo, F.; Küpferling, M.; Appino, C. Magnetic Hysteresis and Barkausen Noise in Plastically Deformed Steel Sheets. Metals 2017, 8, 15. [Google Scholar] [CrossRef]
- Kleber, X.; Vincent, A. On the role of residual internal stresses and dislocations on Barkhausen noise in plastically deformed steel. NDT E Int. 2004, 37, 439–445. [Google Scholar] [CrossRef]
- Piotrowski, L.; Chmielewski, M.; Kowalewski, Z.L. The Dominant Influence of Plastic Deformation Induced Residual Stress on the Barkhausen Effect Signal in Martensitic Steels. J. Nondestruct. Eval. 2017, 36, 10. [Google Scholar] [CrossRef]
- Piotrowski, L.; Augustyniak, B.; Chmielewski, M.; Kowalewski, Z. Multiparameter analysis of the Barkhausen noise signal and its application for the assessment of plastic deformation level in 13HMF grade steel. Meas. Sci. Technol. 2010, 21, 115702. [Google Scholar] [CrossRef]
- Neslušan, M.; Minárik, P.; Grenčík, J.; Trojan, K.; Zgútová, K. Non-destructive evaluation of the railway wheel surface damage after long-term operation via Barkhausen noise technique. Wear 2019, 420–421, 195–206. [Google Scholar] [CrossRef]
- Ktena, A.; Hristoforou, E.; Gerhardt, G.J.; Missell, F.P.; Landgraf, F.J.; Rodrigues, D.L.; Alberteris-Campos, M. Barkhausen noise as a microstructure characterization tool. Phys. B 2014, 435, 109–112. [Google Scholar] [CrossRef]
- Anglada-Rivera, J.; Padovese, L.R.; Capó-Sanchez, J. Magnetic Barkhausen noise and hysteresis loop in commercial carbon steel: Influence of applied tensile stress and grain size. J. Magn. Magn. Mater. 2001, 231, 299–306. [Google Scholar] [CrossRef]
- Neslušan, M.; Minárik, P.; Čilliková, M.; Kolařík, K.; Rubešová, K. Barkhausen noise emission in tool steel X210Cr12 after semi-solid processing. Mater. Charact. 2019, 157, 109891. [Google Scholar] [CrossRef]
- Jarrahi, F.; Kashefi, M.; Ahmadzade-Beiraki, E. An investigation into the applicability of Barkhausen noise technique in evaluation of machining properties of high carbon steel parts with different degrees of spheroidization. J. Magn. Magn. Mater. 2015, 385, 107–111. [Google Scholar] [CrossRef]
- Liu, J.; Tian, G.Y.; Gao, B.; Zeng, K.; Zheng, Y.; Chen, J. Micro-macro characteristics between domain wall motion and magnetic Barkhausen noise under tensile stress. J. Magn. Magn. Mater. 2020, 493, 165719. [Google Scholar] [CrossRef]
- Sorsa, A.; Santa-Aho, S.; Wartiainen, J.; Suominen, L.; Vippola, M.; Leiviskä, K. Effect of Shot Peening Parameters to Residual Stress Profiles and Barkhausen Noise. J. Nondestruct. Eval. 2018, 37, 10. [Google Scholar] [CrossRef]
- Karpuschewski, B.; Bleicher, O.; Beutner, M. Surface Integrity Inspection on Gears Using Barkhausen Noise Analysis. Procedia Eng. 2011, 19, 162–171. [Google Scholar] [CrossRef]
- Jiles, D. Introduction to Magnetism and Magnetic Materials, 3rd ed.; Taylor & Francis Group: New York, NY, USA, 2016. [Google Scholar]
- Chikazumi, S. Physics of Ferromagnetism, 2nd ed.; Oxford University Press: Oxford, UK, 2005. [Google Scholar]
- Roskosz, M.; Fryczowski, K.; Schabowicz, K. Evaluation of Ferromagnetic Steel Hardness Based on an Analysis of the Barkhausen Noise Number of Events. Materials 2020, 13, 2059. [Google Scholar] [CrossRef]
- Lindgren, M.; Lepistö, T. Effect of prestraining on Barkhausen noise vs. stress relation. NDT & E Int. 2001, 34, 337–344. [Google Scholar] [CrossRef]
- Neslušan, M.; Jurkovič, M.; Kalina, T.; Pitoňák, M.; Zgútová, K. Monitoring of S235 steel over-stressing by the use of Barkhausen noise technique. Eng. Fail. Anal. 2020, 117, 104843. [Google Scholar] [CrossRef]
- Sorsa, A.; Leiviskä, K.; Santa-Aho, S.; Lepistö, T. Quantitative prediction of residual stress and hardness in case-hardened steel based on the Barkhausen noise measurement. NDT & E Int. 2012, 46, 100–106. [Google Scholar] [CrossRef]
- Stupakov, A.; Perevertov, A.; Neslušan, M. Reading depth of the magnetic Barkhausen noise. I. One-phase semi-hard ribbons. J. Magn. Magn. Mater. 2020, 513, 167086. [Google Scholar] [CrossRef]


















| Fe | C | Mn | P | S |
|---|---|---|---|---|
| Balance | 0.55 | 0.75 | <0.04 | <0.05 |
| Step no. | 1 | 2 | 3 | 4 | 5 | 6 | 7 | 8 | 9 |
|---|---|---|---|---|---|---|---|---|---|
| Stress, MPa | 0 | 98 | 196 | 294 | 393 | 491 | 589 | 688 | 786 |
| EU 40 ΔL (mm) | True ΔL (mm)—HBM WI | Stress at ΔL (MPa) | Strain at ΔL (%) |
|---|---|---|---|
| 0 | 0 | 0 | 0.49 |
| 5 | 1.23 | 960 | 0.73 |
| 10 | 5.92 | 1005 | 2.62 |
| 15 | 9.75 | 1050 | 3.88 |
| 20 | 13.65 | 1065 | 5.27 |
| 32 | 21.90 | - | 10.90 |
Publisher’s Note: MDPI stays neutral with regard to jurisdictional claims in published maps and institutional affiliations. |
© 2021 by the authors. Licensee MDPI, Basel, Switzerland. This article is an open access article distributed under the terms and conditions of the Creative Commons Attribution (CC BY) license (https://creativecommons.org/licenses/by/4.0/).
Share and Cite
Bahleda, F.; Drevený, I.; Pitoňák, M.; Neslušan, M.; Koteš, P. Employment of Barkhausen Noise Technique for Assessment of Prestressing Bars Damage with Respect of Their Over-Stressing. Metals 2021, 11, 770. https://doi.org/10.3390/met11050770
Bahleda F, Drevený I, Pitoňák M, Neslušan M, Koteš P. Employment of Barkhausen Noise Technique for Assessment of Prestressing Bars Damage with Respect of Their Over-Stressing. Metals. 2021; 11(5):770. https://doi.org/10.3390/met11050770
Chicago/Turabian StyleBahleda, František, Ivan Drevený, Martin Pitoňák, Miroslav Neslušan, and Peter Koteš. 2021. "Employment of Barkhausen Noise Technique for Assessment of Prestressing Bars Damage with Respect of Their Over-Stressing" Metals 11, no. 5: 770. https://doi.org/10.3390/met11050770
APA StyleBahleda, F., Drevený, I., Pitoňák, M., Neslušan, M., & Koteš, P. (2021). Employment of Barkhausen Noise Technique for Assessment of Prestressing Bars Damage with Respect of Their Over-Stressing. Metals, 11(5), 770. https://doi.org/10.3390/met11050770

