Superplastic Flow and Deformation Mechanism of the Rolled Al-Mg-Li-Sc-Zr Alloy with Banded Microstructure
Abstract
1. Introduction
2. Experimental Material and Procedures
3. Results
3.1. Microstructure of the Al-5Mg-2Li-0.2Sc-0.12Zr Alloy after Hot Rolling
3.2. Superplastic Deformation Behavior
3.2.1. Elongation to Failure
3.2.2. True Stress–True Strain Curves
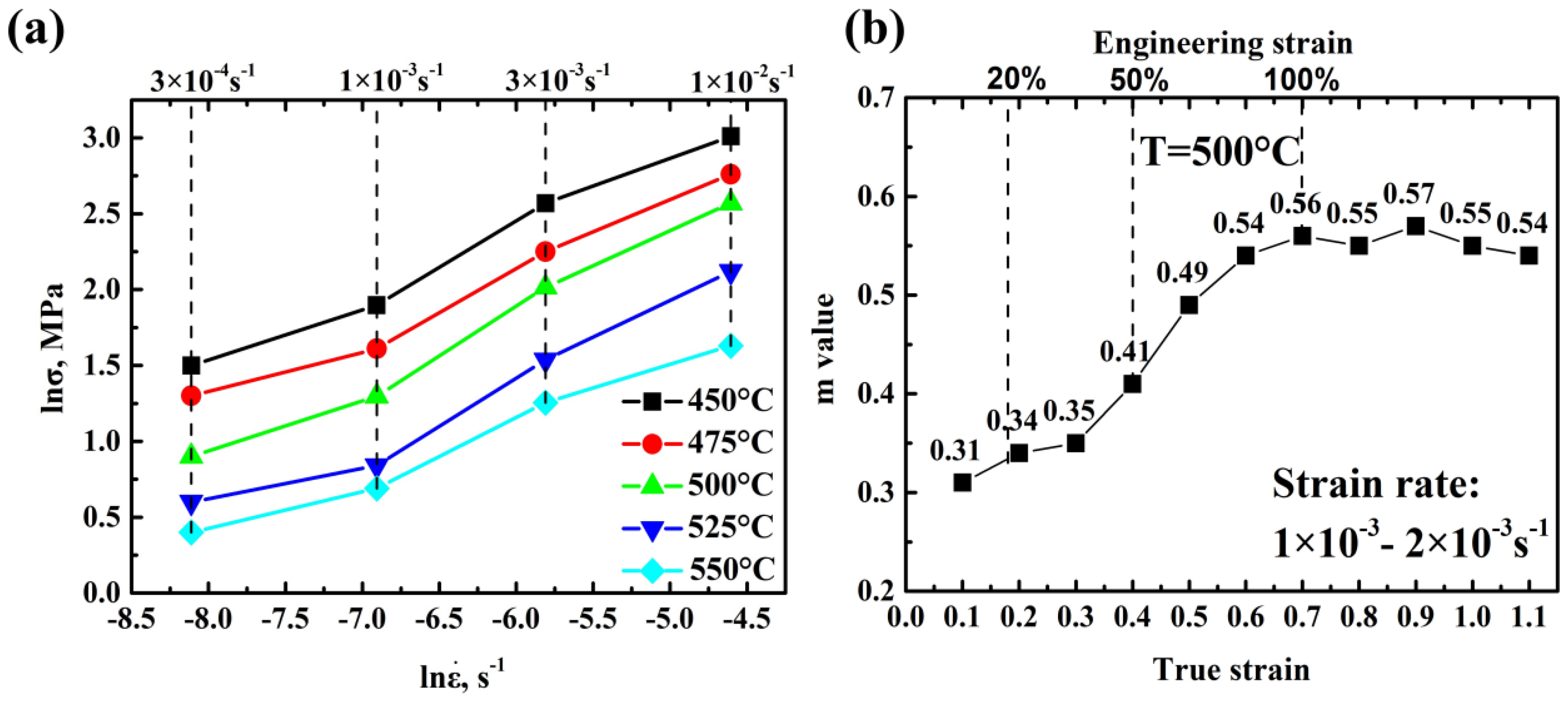
3.2.3. Strain Rate Sensitivity
3.3. The Microstructure in the Grip and Gauge Section
4. Discussion
4.1. Significance of the Hot Rolling
4.2. Superplastic Deformation Mechanism
4.2.1. First Stage
4.2.2. Second Stage
5. Conclusions
- The hot rolled Al-5Mg-2Li-0.2Sc-0.12Zr alloy with the non-ideal superplastic microstructure (banded microstructure) proved to be excellent in the performance of superplasticity. The optimal superplastic forming temperature appeared at 500 °C and the largest elongation of 1180% was achieved at 500 °C and 1 × 10−3 s−1. As far as we know, this is the largest elongation for Al-Mg-Li-Sc-Zr alloys.
- It is difficult for the hot rolled Al-5Mg-2Li-0.2Sc-0.12Zr alloy to fully recrystallize only under the condition of heat treatment. However, under the combined action of heat and stress during high-temperature tensile deformation, fully dynamic recrystallization (DRX) of the present alloy can occur, resulting in the initial hot rolled banded microstructure evolving into an equiaxed microstructure.
- The superplastic deformation of the present hot rolled Al-5Mg-2Li-0.2Sc-0.12Zr alloy with an initial banded microstructure can be divided into two stages: (i) dynamic globularization due to the dislocation movement and continuous dynamic recrystallization (CDRX), which is responsible for the plastic deformation in the low strain range; (ii) superplastic flow of the spheroidized equiaxed grains with a high ratio of HAGBs and random grain orientation in the high strain range, during which grain boundary sliding (GBS) plays the dominant role in influencing the deformation.
Author Contributions
Funding
Institutional Review Board Statement
Informed Consent Statement
Data Availability Statement
Conflicts of Interest
References
- Betsofen, S.Y.; Antipov, V.V.; Knyazev, M.I. Al-Cu-Li and Al-Mg-Li Alloys: Phase Composition, Texture, and Anisotropy of Mechanical Properties. Russ. Metall. 2016, 4, 326–341. [Google Scholar] [CrossRef]
- Fridlyander, I.N. Current-Technology Aluminum Alloys for Aerospace Applications (Abstract). Met. Sci. Heat Treat. 2001, 43, 297. [Google Scholar] [CrossRef]
- Kaibyshev, O.A. Superplasticity of Alloys. In Intermetallides and Ceramics; Springer: Berlin/Heidelberg, Germany, 1992; Volume 2, pp. 40–45. [Google Scholar]
- Kaibyshev, R.; Shipilova, K.; Musin, F.; Motohashi, Y. Continuous dynamic recrystallization in an Al–Li–Mg–Sc alloy during equal-channel angular extrusion. Mat. Sci. Eng. A Struct. 2005, 396, 341–351. [Google Scholar] [CrossRef]
- Bolt, P.; Lamboo, N.; Rozier, P. Feasibility of warm drawing of aluminium products. J. Mater. Process. Technol. 2001, 115, 118–121. [Google Scholar] [CrossRef]
- Nieh, T.G.; Wadsworth, J.; Sherby, O.D. Superplasticity in Metals and Ceramics. In Superplasticity in Metals and Ceramics; Amsterdam University Press: Amsterdam, The Netherlands, 1997; Volume 3, pp. 26–35. [Google Scholar]
- Ye, L.Y.; Zhang, X.M.; Zheng, D.W.; Liu, S.D.; Tang, J.G. Superplastic behavior of an Al–Mg–Li alloy. J. Alloy Compd. 2009, 487, 109–115. [Google Scholar] [CrossRef]
- Zhang, X.M.; Zheng, D.W.; Ye, L.Y.; Tang, J.G. Superplastic deformation behavior and mechanism of 1420 Al-Li alloy sheets with elongated grains. J. Central South Univ. Technol. 2010, 17, 659–665. [Google Scholar] [CrossRef]
- Bhatta, L.; Pesin, A.; Zhilyaev, A.P.; Tandon, P.; Kong, C.; Yu, H. Recent Development of Superplasticity in Aluminum Alloys: A Review. Metals 2020, 10, 77. [Google Scholar] [CrossRef]
- Zhang, Y.; Hou, H.; Bi, J.; Wang, Y. Influence of Pulsed Current on Superplasticity of Fine Grained 1420 Al-Li Alloy. IOP Conf. Ser. Mater. Sci. Eng. 2018, 301, 2080. [Google Scholar] [CrossRef]
- Myshlyaev, M.M.; Gryaznov, M.Y.; Chuvildeev, V.N. Superplasticity of an aluminum-lithium 1420 alloy in various structural states. Russ. Met. 2011, 2011, 882–888. [Google Scholar] [CrossRef]
- Dutkiewicz, J.; Kalita, D.; Maziarz, W.; Tański, T.; Faryna, M. Effect of KOBO Extrusion and Following Cyclic Forging on Grain Refinement of Mg–9Li–2Al–0.5Sc Alloy. Met. Mater. Int. 2019, 26, 1004–1014. [Google Scholar] [CrossRef]
- Mukhopadhyay, A.K.; Kumar, A.; Raveendra, S.; Samajdar, I. Development of grain structure during superplastic deformation of an Al–Zn–Mg–Cu–Zr alloy containing Sc. Scr. Mater. 2011, 64, 386–389. [Google Scholar] [CrossRef]
- Lee, S.; Utsunomiya, A.; Akamatsu, H.; Neishi, K.; Furukawa, M.; Horita, Z.; Langdon, T.G. Influence of scandium and zir-conium on grain stability and superplastic ductilities in ultrafine-grained Al–Mg alloys. Acta Mater. 2002, 50, 553–564. [Google Scholar] [CrossRef]
- Kumar, A.; Mukhopadhyay, A.K.; Prasad, K.S. Superplastic behaviour of Al–Zn–Mg–Cu–Zr alloy AA7010 containing Sc. Mat. Sci. Eng. A Struct. 2010, 527, 854–857. [Google Scholar] [CrossRef]
- Mcqueen, H.J.; Evangelista, E. Hot Working Defines Thermomechanical Processing (TMP) for Aluminum Alloys and Compo-sites. Mater. Sci. Forum 2012, 706, 89–96. [Google Scholar] [CrossRef]
- Solerød, H.; Jensrud, O.; Pedersen, K.O. New Development of Thermomechanical Processing (TMP) and High Volume Production Aluminium Wheel Suspension Arms. SAE Tech. Pap. Ser. 2001, 33, 323–325. [Google Scholar] [CrossRef]
- Xiang, H.; Pan, Q.; Yu, X.; Huang, X.; Sun, X.; Wang, X.; Li, M.; Yin, Z. Superplasticity behaviors of Al-Zn-Mg-Zr cold-rolled alloy sheet with minor Sc addition. Mater. Sci. Eng. A 2016, 676, 128–137. [Google Scholar] [CrossRef]
- Bate, P.S.; Ridley, N.; Zhang, B. Mechanical behaviour and microstructural evolution in superplastic Al–Li–Mg–Cu–Zr AA8090. Acta Mater. 2007, 55, 4995–5006. [Google Scholar] [CrossRef]
- Kaibyshev, R.; Avtokratova, E.; Apollonov, A.; Davies, R. High strain rate superplasticity in an Al–Mg–Sc–Zr alloy subjected to simple thermomechanical processing. Scr. Mater. 2006, 54, 2119–2124. [Google Scholar] [CrossRef]
- Langdon, T.G. Seventy-five years of superplasticity: Historic developments and new opportunities. J. Mater. Sci. 2009, 44, 5998–6010. [Google Scholar] [CrossRef]
- Zhang, W.J.; Liu, H.H.; Ding, H.; Fujii, H. Grain refinement and superplastic flow in friction stir processed Ti–15V–3Cr–3Sn–3Al alloy. J. Alloy Compd. 2019, 803, 901–911. [Google Scholar] [CrossRef]
- Backofen, W.A. Superplasticity in an Al-Zn Alloy. Trans. Asm. 1964, 57, 980–990. [Google Scholar]
- Li, S.; Huang, Z.; Jin, S. Superplastic Behavioral Characteristics of Fine-Grained 5A70 Aluminum Alloy. Methods 2019, 9, 62. [Google Scholar] [CrossRef]
- Doherty, R.; Hughes, D.; Humphreys, F.; Jonas, J.; Jensen, D.; Kassner, M.; King, W.; McNelley, T.; McQueen, H.; Rollett, A. Current issues in recrystallization: A review. Mater. Sci. Eng. A 1997, 238, 219–274. [Google Scholar] [CrossRef]
- Liu, F.; Xue, P.; Ma, Z. Microstructural evolution in recrystallized and unrecrystallized Al–Mg–Sc alloys during superplastic deformation. Mater. Sci. Eng. A 2012, 547, 55–63. [Google Scholar] [CrossRef]
- Sakai, G.; Horita, Z.; Langdon, T.G. Grain refinement and superplasticity in an aluminum alloy processed by high-pressure torsion. Mater. Sci. Eng. A 2005, 393, 344–351. [Google Scholar] [CrossRef]
- Lyttle, M.T.; Wert, J.A. Modelling of continuous recrystallization in aluminium alloys. J. Mater. Sci. 1994, 29, 3342–3350. [Google Scholar] [CrossRef]
- Zhang, P.; Ye, L.Y.; Zhang, X.M.; Gu, G.; Jiang, H.C.; Wu, Y.L. Grain structure and microtexture evolution during superplastic deformation of 5A90 Al-Li alloy. Trans. Nonferrous Met. Soc. China 2014, 24, 2088–2093. [Google Scholar] [CrossRef]
- Zhang, W.; Liu, H.; Ding, H.; Fujii, H. Superplastic deformation mechanism of the friction stir processed fully lamellar Ti-6Al-4V alloy. Mater. Sci. Eng. A 2020, 785, 9390. [Google Scholar] [CrossRef]
- Zhang, X.; Tan, M.J. Dislocation Model for Continuous Recrystallisation during Initial Stage of Superplastic Deformation. Scr. Mater. 1998, 38, 827–831. [Google Scholar] [CrossRef]
- McNelley, T.R.; Swisher, D.L.; Prado, P.M.T. Deformation bands and the formation of grain boundaries in a superplastic aluminum alloy. Met. Mater. Trans. A 2002, 33, 279–290. [Google Scholar] [CrossRef]
- Tsuzaki, K.; Huang, X.; Maki, T. Mechanism of dynamic continuous recrystallization during superplastic deformation in a microduplex stainless steel. Acta Mater. 1996, 44, 4491–4499. [Google Scholar] [CrossRef]
- Gourdet, S.; Montheillet, F. A model of continuous dynamic recrystallization. Acta Mater. 2003, 51, 2685–2699. [Google Scholar] [CrossRef]
- Zhang, W.; Ding, H.; Cai, M.; Yang, W.; Li, J. Ultra-grain refinement and enhanced low-temperature superplasticity in a friction stir-processed Ti-6Al-4V alloy. Mater. Sci. Eng. A 2018, 727, 90–96. [Google Scholar] [CrossRef]
- Zhang, W.J.; Liu, H.H.; Ding, H.; Fujii, H. The optimal temperature for enhanced low-temperature superplasticity in fi-ne-grained Ti–15V–3Cr–3Sn–3Al alloy fabricated by friction stir processing. J. Alloy Compd. 2020, 832, 4917. [Google Scholar] [CrossRef]
- Sotoudeh, K.; Bate, P. Diffusion creep and superplasticity in aluminium alloys. Acta Mater. 2010, 58, 1909–1920. [Google Scholar] [CrossRef]










| Engineering Strain | Grain Size/μm | Proportion of HAGBs/% | Proportion of LAGBs/% | |||
|---|---|---|---|---|---|---|
| d RD | d ND | Average | Aspect Ratio | |||
| 0% | 11.3 | 2.6 | 6.8 | 4.3 | 52.9 | 47.1 |
| 20% | 3.5 | 1.6 | 2.7 | 2.2 | 50.5 | 49.5 |
| 50% | 3.3 | 1.7 | 2.2 | 1.9 | 78.9 | 21.1 |
| 100% | 5 | 3.0 | 3.3 | 1.7 | 91.6 | 8.4 |
| 500% | 5.5 | 3.7 | 4.6 | 1.5 | 92.3 | 7.7 |
| 1180% | 7.4 | 5.6 | 6.6 | 1.3 | 92.1 | 7.9 |
Publisher’s Note: MDPI stays neutral with regard to jurisdictional claims in published maps and institutional affiliations. |
© 2021 by the authors. Licensee MDPI, Basel, Switzerland. This article is an open access article distributed under the terms and conditions of the Creative Commons Attribution (CC BY) license (http://creativecommons.org/licenses/by/4.0/).
Share and Cite
Zhang, C.; Xiao, Y.; Ma, K.; Wang, Y.; Liu, Z.; Liu, Z.; Zhang, W. Superplastic Flow and Deformation Mechanism of the Rolled Al-Mg-Li-Sc-Zr Alloy with Banded Microstructure. Metals 2021, 11, 404. https://doi.org/10.3390/met11030404
Zhang C, Xiao Y, Ma K, Wang Y, Liu Z, Liu Z, Zhang W. Superplastic Flow and Deformation Mechanism of the Rolled Al-Mg-Li-Sc-Zr Alloy with Banded Microstructure. Metals. 2021; 11(3):404. https://doi.org/10.3390/met11030404
Chicago/Turabian StyleZhang, Chengzhi, Yang Xiao, Kaijie Ma, Yuhan Wang, Zhipeng Liu, Zhenjie Liu, and Wenjing Zhang. 2021. "Superplastic Flow and Deformation Mechanism of the Rolled Al-Mg-Li-Sc-Zr Alloy with Banded Microstructure" Metals 11, no. 3: 404. https://doi.org/10.3390/met11030404
APA StyleZhang, C., Xiao, Y., Ma, K., Wang, Y., Liu, Z., Liu, Z., & Zhang, W. (2021). Superplastic Flow and Deformation Mechanism of the Rolled Al-Mg-Li-Sc-Zr Alloy with Banded Microstructure. Metals, 11(3), 404. https://doi.org/10.3390/met11030404

