Numerical Simulation and Verification of Laser-Polishing Free Surface of S136D Die Steel
Abstract
1. Introduction
2. Polishing Experiments
2.1. Experiment Materials
2.2. Experiment Device and Testing Equipment
2.3. Experimental Methods
2.4. Results and Discussion
3. Numerical Model
3.1. Model Assumptions
- (1)
- The material is regarded as isotropic, and its thermophysical parameters are only related to temperature.
- (2)
- The material was tested in high-purity nitrogen without considering the process of surface oxidation.
- (3)
- The flow in the molten pool is considered to be an incompressible laminar flow of Newtonian fluid.
- (4)
- Does not consider the effect of light pressure on the flow of the molten pool.
- (5)
- The effect of laser defocusing on the material surface is not considered.
3.2. Governing Equations
3.3. Moving Mesh
3.4. Boundary Conditions
3.5. Properties and Parameters
3.6. Mesh and Configurations
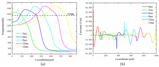
4. Simulation Results and Discussion
4.1. Evolution of Molten Pool Surface Profile
4.2. Experimental Validation
5. Conclusions
Author Contributions
Funding
Data Availability Statement
Conflicts of Interest
References
- Hafiz, A.M.K.; Bordatchev, E.V.; Tutunea-Fatan, R.O. Influence of overlap between the laser beam tracks on surface quality in laser polishing of AISI H13 tool steel. J. Manuf. Process. 2012, 14, 425–434. [Google Scholar] [CrossRef]
- Oreshkin, O.; Küpper, M.; Temmler, A.; Willenborg, E. Active reduction of waviness through processing with modulated laser power. J. Laser Appl. 2015, 27, 022004. [Google Scholar] [CrossRef]
- Temmler, A.; Küpper, M.; Walochnik, M.A.; Lanfermann, A.; Schmickler, T.; Bach, A.; Greifenberg, T.; Oreshkin, O.; Willenborg, E.; Wissenbach, K.; et al. Surface structuring by laser remelting of metals. J. Laser Appl. 2017, 29, 012015. [Google Scholar] [CrossRef]
- Ukar, E.; Lamikiz, A.; López de Lacalle, L.N.; del Pozo, D.; Arana, J.L. Laser polishing of tool steel with CO2 laser and high-power diode laser. Int. J. Mach. Tool. Manu. 2010, 50, 115–125. [Google Scholar] [CrossRef]
- Zhou, Y.; Zhao, Z.; Zhang, W.; Xiao, H.; Xu, X. Experiment Study of Rapid Laser Polishing of Freeform Steel Surface by Dual-Beam. Coatings 2019, 9, 324. [Google Scholar] [CrossRef]
- Karmakar, D.P.; Gopinath, M.; Nath, A.K. Effect of tempering on laser remelted AISI H13 tool steel. Surf. Coatings Technol. 2019, 361, 136–149. [Google Scholar] [CrossRef]
- Krishnan, A.; Fang, F. Review on mechanism and process of surface polishing using lasers. Front. Mech. Eng. 2019, 14, 299–319. [Google Scholar] [CrossRef]
- Chang, C.-S.; Chung, C.-K.; Lin, J.-F. Surface quality, microstructure, mechanical properties and tribological results of the SKD 61 tool steel with prior heat treatment affected by the deposited energy of continuous wave laser micro-polishing. J. Mater. Process. Technol. 2016, 234, 177–194. [Google Scholar] [CrossRef]
- Deng, T.; Li, J.; Zheng, Z. Fundamental aspects and recent developments in metal surface polishing with energy beam irradiation. Int. J. Mach. Tools Manuf. 2020, 148, 103472. [Google Scholar] [CrossRef]
- Mai, T.A.; Lim, G.C. Micromelting and its effects on surface topography and properties in laser polishing of stainless steel. J. Laser Appl. 2004, 16, 221–228. [Google Scholar] [CrossRef]
- Willis, D.A.; Xu, X. Transport Phenomena and Droplet Formation During Pulsed Laser Interaction With Thin Films. J. Heat Transf. 2000, 122, 763–770. [Google Scholar] [CrossRef]
- Pasandideh-Fard, M.; Chandra, S.; Mostaghimi, J. A three-dimensional model of droplet impact and solidification. Int. J. Heat Mass Transf. 2002, 45, 2229–2242. [Google Scholar] [CrossRef]
- Shen, H.; Pan, Y.; Zhou, J.; Yao, Z. Forming Mechanism of Bump Shape in Pulsed Laser Melting of Stainless Steel. J. Heat Transf. 2017, 139, 062301. [Google Scholar] [CrossRef]
- Zhang, C.; Zhou, J.; Shen, H. Role of Capillary and Thermocapillary Forces in Laser Polishing of Metals. J. Manuf. Sci. Eng. 2017, 139, 041019. [Google Scholar] [CrossRef]
- Mohajerani, S.; Miller, J.D.; Tutunea-Fatan, O.R.; Bordatchev, E.V. Thermo-physical modelling of track width during laser polishing of H13 tool steel. Procedia Manuf. 2017, 10, 708–719. [Google Scholar] [CrossRef]
- Perry, T.L.; Werschmoeller, D.; Duffie, N.A.; Li, X.; Pfefferkorn, F.E. Examination of Selective Pulsed Laser Micropolishing on Microfabricated Nickel Samples Using Spatial Frequency Analysis. J. Manuf. Sci. Eng. 2009, 131, 021002. [Google Scholar] [CrossRef]
- Perry, T.L.; Werschmoeller, D.; Li, X.; Pfefferkorn, F.E.; Duffie, N.A. The Effect of Laser Pulse Duration and Feed Rate on Pulsed Laser Polishing of Microfabricated Nickel Samples. J. Manuf. Sci. Eng. 2009, 131, 031002. [Google Scholar] [CrossRef]
- Perry, T.L.; Werschmoeller, D.; Li, X.; Pfefferkorn, F.E.; Duffie, N.A. Pulsed laser polishing of micro-milled Ti6Al4V samples. J. Manuf. Process. 2009, 11, 74–81. [Google Scholar] [CrossRef]
- Vadali, M.; Ma, C.; Duffie, N.A.; Li, X.; Pfefferkorn, F.E. Pulsed laser micro polishing: Surface prediction model. J. Manuf. Process. 2012, 14, 307–315. [Google Scholar] [CrossRef]
- Ma, C.; Vadali, M.; Duffie, N.A.; Pfefferkorn, F.E.; Li, X. Melt Pool Flow and Surface Evolution During Pulsed Laser Micro Polishing of Ti6Al4V. J. Manuf. Sci. Eng. 2013, 135, 061023. [Google Scholar] [CrossRef]
- Shao, T.; Hua, M.; Tam, H.Y.; Cheung, E.H. An approach to modelling of laser polishing of metals. Surf. Coatings Technol. 2005, 197, 77–84. [Google Scholar] [CrossRef]
- Chang, C.-S.; Chen, T.-H.; Li, T.-C.; Lin, S.-L.; Liu, S.-H.; Lin, J.-F. Influence of laser beam fluence on surface quality, microstructure, mechanical properties, and tribological results for laser polishing of SKD61 tool steel. J. Mater. Process. Technol. 2016, 229, 22–35. [Google Scholar] [CrossRef]
- Carin, M. Square Drop Oscillation under Surface Tension–2D Axi-Symmetric Model; COMSOL Inc.: Trondheim, Norway, 2009; Available online: www.comsol.fr/community/exchange (accessed on 27 May 2014).
- Kim, W.-H.; Na, S.-J. Heat and fluid flow in pulsed current GTA weld pool. Int. J. Heat Mass Transf. 1998, 41, 3213–3227. [Google Scholar] [CrossRef]
- Carin, M.; Favre, E. Numerical Simulation of Fluid Flow During Arc Welding. In Proceedings of the COMSOL Multiphysics User’s Conference, Paris, France, 15 November 2005. [Google Scholar]
- Frei, W. Solutions to Linear Systems of Equations: Direct and Iterative Solvers; COMSOL Blog, COMSOL Inc.: Trondheim, Norway, 2013; Available online: www.comsol.com/blogs/solutions-linear-systems-equations-direct-iterative-solvers/www.comsol.com/blogs/solutions-linear-systems-equations-direct-iterative-solvers/ (accessed on 11 November 2013).










| Chemical Element | C | Si | Mn | P | S | Cr | Fe |
|---|---|---|---|---|---|---|---|
| Mass fraction (%) | 0.32–0.38 | 0.75–1.05 | ≤1.0 | ≤0.025 | ≤0.001 | 12.5–14.5 | ≥83 |
| Specimen Code | Controlling factor | ED (J/mm2) | Ra (μm) | |||
|---|---|---|---|---|---|---|
| P (W) | V (mm/s) | D (mm) | FO (mm) | |||
| As-received | — | — | — | — | — | 5.358 |
| 1 | 150 | 40 | 0.7 | 0.6 | 18.746 | 1.032 |
| 2 | 165 | 60 | 0.3 | 0.3 | 13.749 | 1.200 |
| 3 | 180 | 60 | 0.7 | 0.9 | 14.993 | 1.121 |
| 4 | 195 | 40 | 0.3 | 0 | 24.375 | 0.935 |
| 5 | 150 | 50 | 0.3 | 0.9 | 14.993 | 1.071 |
| 6 | 165 | 30 | 0.7 | 0 | 27.500 | 1.022 |
| 7 | 180 | 30 | 0.3 | 0.6 | 29.994 | 1.003 |
| 8 | 195 | 50 | 0.7 | 0.3 | 19.499 | 1.187 |
| 9 | 150 | 30 | 0.9 | 0.3 | 24.999 | 0.932 |
| 10 | 165 | 50 | 0.5 | 0.6 | 16.496 | 1.525 |
| 11 | 180 | 50 | 0.9 | 0 | 18.000 | 0.764 |
| 12 | 195 | 30 | 0.5 | 0.9 | 32.484 | 1.232 |
| 13 | 150 | 60 | 0.5 | 0 | 12.500 | 1.588 |
| 14 | 165 | 40 | 0.9 | 0.9 | 20.615 | 0.884 |
| 15 | 180 | 40 | 0.5 | 0.3 | 22.499 | 0.968 |
| 16 | 195 | 60 | 0.9 | 0.6 | 16.247 | 0.815 |
| Physics | Physical Condition | Boundary | Boundary Condition |
|---|---|---|---|
| Heat transfer | Laser irradiation | 2 | Heat flux |
| Natural convection | 2 and 3 | Convection | |
| Radiation | 2 and 3 | Diffuse surface | |
| Insulation | 4 | Thermal insulation | |
| Fluid flow | Normal stress | 2 | Weak contribution |
| Tangential stress | 2 | Marangoni effect | |
| Wall | 3 and 4 | No-slip wall | |
| Axis | 1 | Axisymmetry |
| Property | Symbol | Value |
| Liquidus temperature (K) | 1575 | |
| Solidus temperature (K) | 1525 | |
| Melting temperature (K) | 1550 | |
| Liquid phase density (kg/m3) | 6500 | |
| Solid phase density (kg/m3) | 7800 | |
| Thermal conductivity of liquid phase (W/(m·K)) | 30 | |
| Thermal conductivity of solid phase (W/(m·K)) | 19 | |
| Specific heat of liquid phase (J/(kg·K)) | 610 | |
| Specific heat of liquid phase (J/(kg·K)) | 460 | |
| Constant in surface tension gradient (N/(m·K)) | 3 × 10−4 | |
| Latent heat of fusion (J/kg) | 2.47 × 105 | |
| Surface tension of pure metal (N/m) | 1.943 | |
| Thermal expansion coefficient (1/K) | 1 × 10−4 | |
| Convective coefficient (W/(m2·K)) | 10 | |
| Emissivity | ε | 0.6 |
| Parameter (unit) | Top Layer | The Rest |
|---|---|---|
| Maximum element size (μm) | 1 | 5 |
| Minimum element size (μm) | 0.02 | 0.05 |
| Maximum element growth rate | 1.1 | 1.1 |
| Curvature factor | 0.2 | 0.2 |
Publisher’s Note: MDPI stays neutral with regard to jurisdictional claims in published maps and institutional affiliations. |
© 2021 by the authors. Licensee MDPI, Basel, Switzerland. This article is an open access article distributed under the terms and conditions of the Creative Commons Attribution (CC BY) license (http://creativecommons.org/licenses/by/4.0/).
Share and Cite
Zhou, H.; Zhou, H.; Zhao, Z.; Li, K.; Yin, J. Numerical Simulation and Verification of Laser-Polishing Free Surface of S136D Die Steel. Metals 2021, 11, 400. https://doi.org/10.3390/met11030400
Zhou H, Zhou H, Zhao Z, Li K, Yin J. Numerical Simulation and Verification of Laser-Polishing Free Surface of S136D Die Steel. Metals. 2021; 11(3):400. https://doi.org/10.3390/met11030400
Chicago/Turabian StyleZhou, Hao, Houming Zhou, Zhenyu Zhao, Kai Li, and Jie Yin. 2021. "Numerical Simulation and Verification of Laser-Polishing Free Surface of S136D Die Steel" Metals 11, no. 3: 400. https://doi.org/10.3390/met11030400
APA StyleZhou, H., Zhou, H., Zhao, Z., Li, K., & Yin, J. (2021). Numerical Simulation and Verification of Laser-Polishing Free Surface of S136D Die Steel. Metals, 11(3), 400. https://doi.org/10.3390/met11030400
