The COOL-Process—A Selective Approach for Recycling Lithium Batteries
Abstract
1. Introduction
- (1)
- LiCoO2 (LCO),
- (2)
- LiNixCoyMnzO2 (NCM, x + y + z = 1),
- (3)
- LiMn2O4 (LMO),
- (4)
- LiNixCoyAlzO2 (NCA, x + y + z = 1), and
- (5)
- LiFePO4 (LFP) series.
2. Materials and Methods
2.1. LIB Black Mass Pre-Treatment and Characterization
2.2. Optimization
2.2.1. 33 Box-Behnken Design
- y: Target value: Liyield [wt.%];
- xi: Factors: T [°C], t [h], L:S ratio [mL/g];
- N: Number of factors (3);
- b0: Ordinate section; and
- bi, bij, bii: Regression parameters of linear, squared and cross effects.
2.2.2. Experimental Procedure
2.3. Li2CO3 Precipitation
3. Results and Discussion
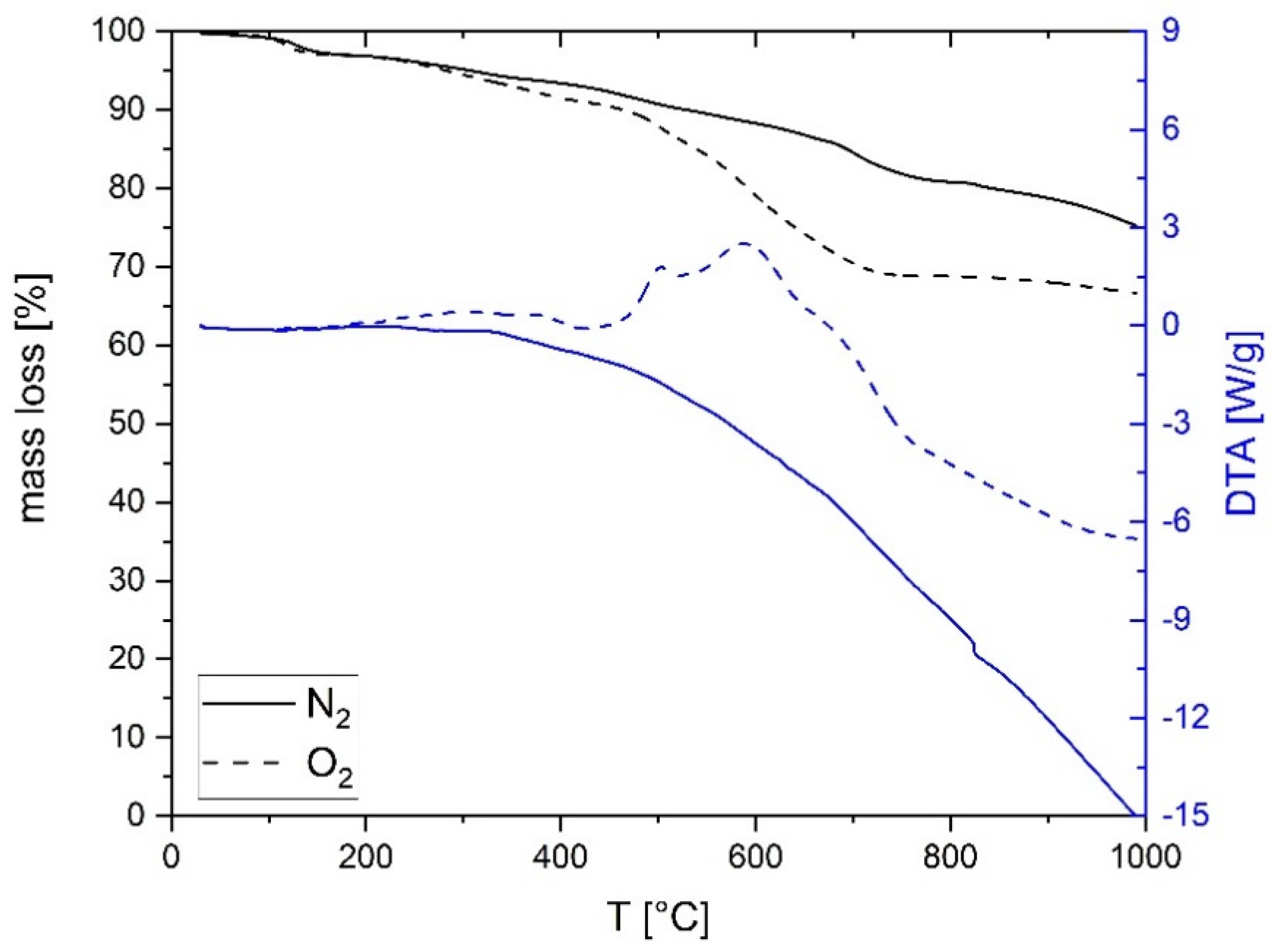
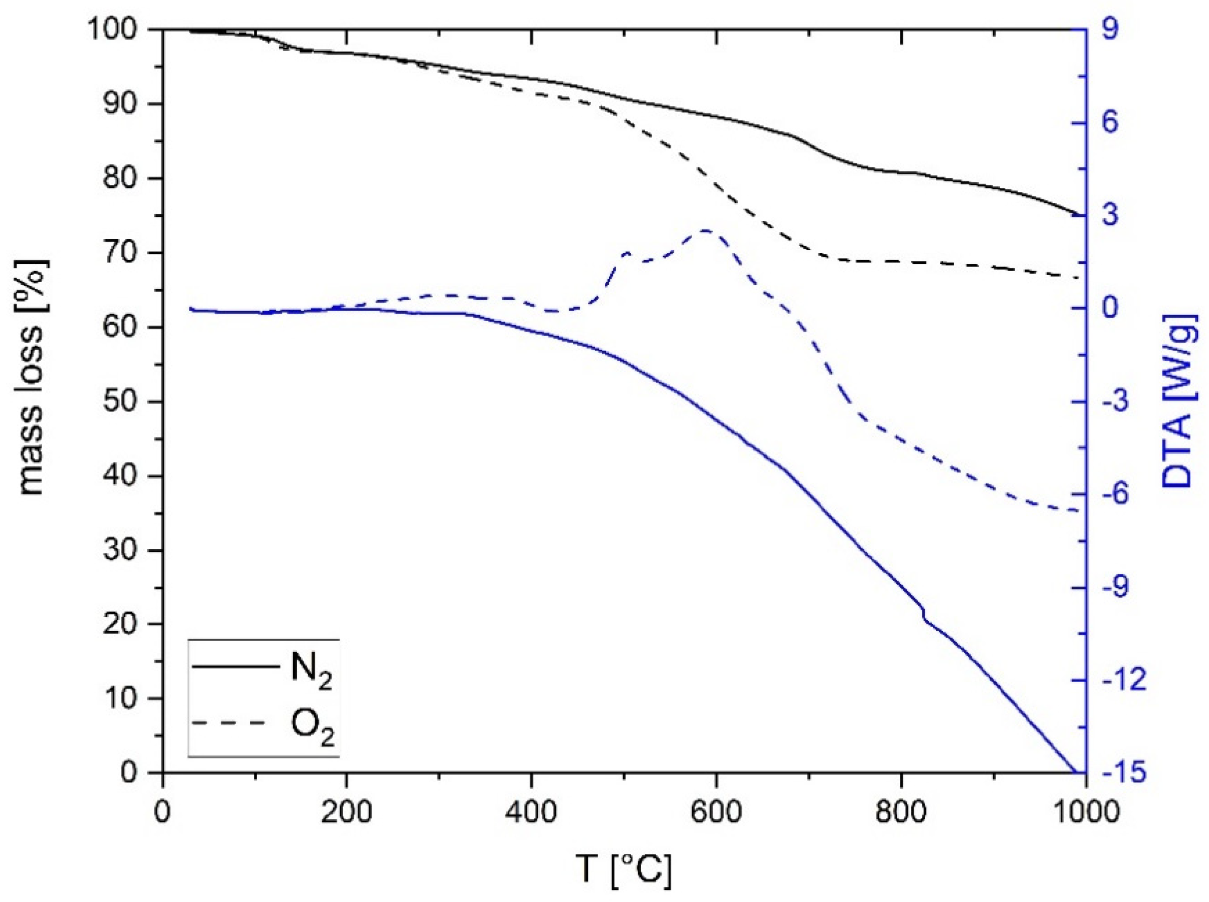
3.1. LIB Black Mass Characterization
3.2. Optimization
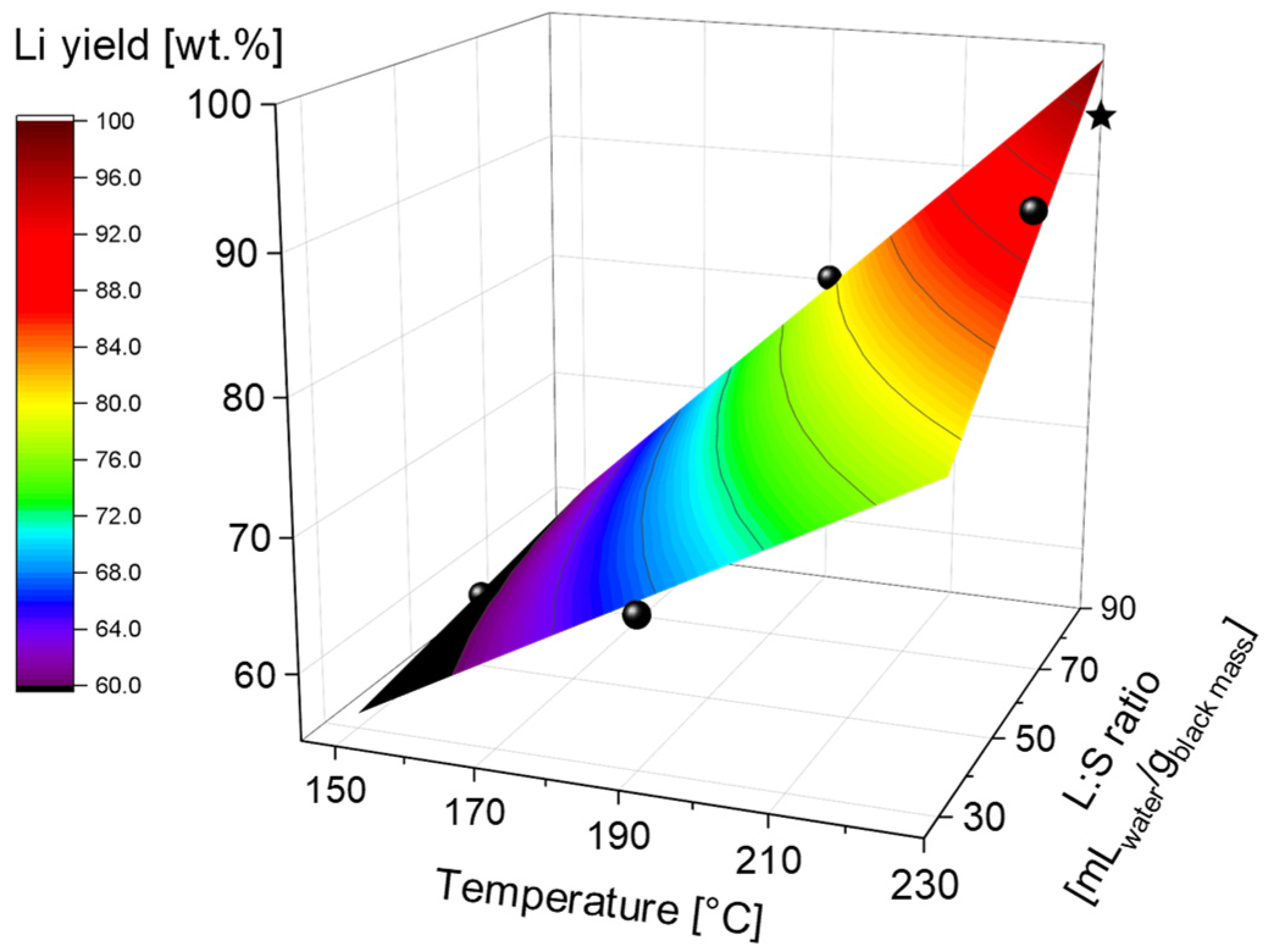
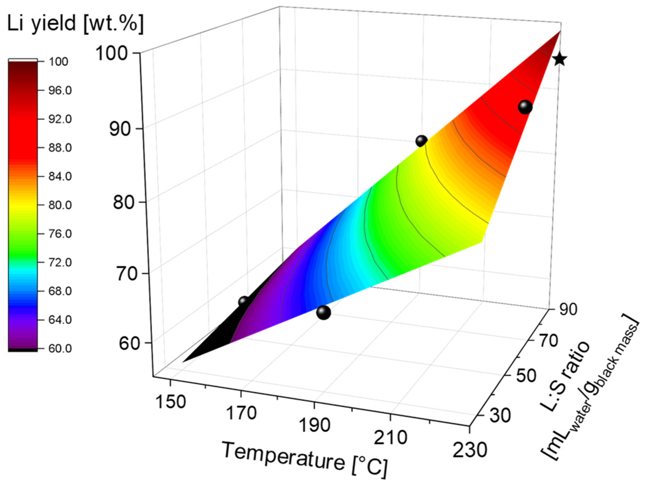
3.2.1. Significant Influences on Lithium Yield
3.2.2. Model Equation and Optimum
- A: Temperature (°C);
- B: Residence time (h); and
- C: L:S ratio (mLwater/gblack mass).
3.3. Li2CO3 as a Final Product
3.4. Industrial Application Feasibility
4. Conclusions
Author Contributions
Funding
Institutional Review Board Statement
Informed Consent Statement
Data Availability Statement
Acknowledgments
Conflicts of Interest
References
- Applied Market Research. Global Lithium-ion Battery Market. Opportunities and Forecast 2020–2027. Available online: https://www.alliedmarketresearch.com/lithium-ion-battery-market (accessed on 20 October 2020).
- IEA. Global EV Outlook 2019–Analysis-IEA. Available online: https://www.iea.org/reports/global-ev-outlook-2019 (accessed on 20 October 2020).
- U.S. Geological Survey. Mineral Commodity Summaries 2020; U.S. Geological Survey: Reston, VA, USA.
- Directive 2006/99/EC of the European parliament and of the council of 6 September 2006 on batteries and accumulators and waste batteries and accumulators and repealing Directive 91/157/EEC. 2006. Available online: https://www.legislation.gov.uk/eudr/2006/99/contents (accessed on 20 October 2020).
- Velázquez-Martínez, O.; Valio, J.; Santasalo-Aarnio, A.; Reuter, M.; Serna-Guerrero, R. A Critical Review of Lithium-Ion Battery Recycling Processes from a Circular Economy Perspective. Batteries 2019, 5, 68. [Google Scholar] [CrossRef]
- Werner, D.; Peuker, U.A.; Mütze, T. Recycling Chain for Spent Lithium-Ion Batteries. Metals 2020, 10, 316. [Google Scholar] [CrossRef]
- Fan, E.; Li, L.; Wang, Z.; Lin, J.; Huang, Y.; Yao, Y.; Chen, R.; Wu, F. Sustainable Recycling Technology for Li-Ion Batteries and Beyond: Challenges and Future Prospects. Chem. Rev. 2020, 120, 7020–7063. [Google Scholar] [CrossRef] [PubMed]
- Gao, W.; Zhang, X.; Zheng, X.; Lin, X.; Cao, H.; Zhang, Y.; Sun, Z. Lithium Carbonate Recovery from Cathode Scrap of Spent Lithium-Ion Battery: A Closed-Loop Process. Environ. Sci. Technol. 2017, 51, 1662–1669. [Google Scholar] [CrossRef] [PubMed]
- Harper, G.; Sommerville, R.; Kendrick, E.; Driscoll, L.; Slater, P.; Stolkin, R.; Walton, A.; Christensen, P.; Heidrich, O.; Lambert, S.; et al. Recycling lithium-ion batteries from electric vehicles. Nature 2019, 575, 75–86. [Google Scholar] [CrossRef] [PubMed]
- Lv, W.; Wang, Z.; Cao, H.; Sun, Y.; Zhang, Y.; Sun, Z. A Critical Review and Analysis on the Recycling of Spent Lithium-Ion Batteries. ACS Sustain. Chem. Eng. 2018, 6, 1504–1521. [Google Scholar] [CrossRef]
- Chagnes, A.; Pospiech, B. A brief review on hydrometallurgical technologies for recycling spent lithium-ion batteries. J. Chem. Technol. Biotechnol. 2013, 88, 1191–1199. [Google Scholar] [CrossRef]
- He, L.-P.; Sun, S.-Y.; Mu, Y.-Y.; Song, X.-F.; Yu, J.-G. Recovery of Lithium, Nickel, Cobalt, and Manganese from Spent Lithium-Ion Batteries Using l-Tartaric Acid as a Leachant. ACS Sustain. Chem. Eng. 2017, 5, 714–721. [Google Scholar] [CrossRef]
- Lin, F.; Liu, D.; Maiti Das, S.; Prempeh, N.; Hua, Y.; Lu, J. Recent Progress in Heavy Metal Extraction by Supercritical CO 2 Fluids. Ind. Eng. Chem. Res. 2014, 53, 1866–1877. [Google Scholar] [CrossRef]
- Grützke, M.; Mönnighoff, X.; Horsthemke, F.; Kraft, V.; Winter, M.; Nowak, S. Extraction of lithium-ion battery electrolytes with liquid and supercritical carbon dioxide and additional solvents. RSC Adv. 2015, 5, 43209–43217. [Google Scholar] [CrossRef]
- Rentsch, L.; Martin, G.; Bertau, M.; Höck, M. Lithium Extracting from Zinnwaldite: Economical Comparison of an Adapted Spodumene and a Direct-Carbonation Process. Chem. Eng. Technol. 2018, 41, 975–982. [Google Scholar] [CrossRef]
- Rothermel, S.; Evertz, M.; Kasnatscheew, J.; Qi, X.; Grützke, M.; Winter, M.; Nowak, S. Graphite Recycling from Spent Lithium-Ion Batteries. ChemSusChem 2016, 3473–3484. [Google Scholar] [CrossRef] [PubMed]
- Liu, Y.; Mu, D.; Zheng, R.; Dai, C. Supercritical CO 2 extraction of organic carbonate-based electrolytes of lithium-ion batteries. RSC Adv 2014, 4, 54525–54531. [Google Scholar] [CrossRef]
- Mönnighoff, X.; Friesen, A.; Konersmann, B.; Horsthemke, F.; Grützke, M.; Winter, M.; Nowak, S. Supercritical carbon dioxide extraction of electrolyte from spent lithium ion batteries and its characterization by gas chromatography with chemical ionization. J. Power Source 2017, 352, 56–63. [Google Scholar] [CrossRef]
- Nowak, S.; Winter, M. The Role of Sub- and Supercritical CO2 as “Processing Solvent” for the Recycling and Sample Preparation of Lithium Ion Battery Electrolytes. Molecules 2017, 22, 403. [Google Scholar] [CrossRef]
- Bertuol, D.A.; Machado, C.M.; Silva, M.L.; Calgaro, C.O.; Dotto, G.L.; Tanabe, E.H. Recovery of cobalt from spent lithium-ion batteries using supercritical carbon dioxide extraction. Waste Manag. 2016, 51, 245–251. [Google Scholar] [CrossRef]
- Bertau, M.; Martin, G. Integrated Direct Carbonation Process for Lithium Recovery from Primary and Secondary Resources. MSF 2019, 959, 69–73. [Google Scholar] [CrossRef]
- Martin, G.; Pätzold, C.; Bertau, M. Integrated process for lithium recovery from zinnwaldite. Int. J. Miner. Process. 2017, 160, 8–15. [Google Scholar] [CrossRef]
- Urbańska, W. Recovery of Co, Li, and Ni from Spent Li-Ion Batteries by the Inorganic and/or Organic Reducer Assisted Leaching Method. Minerals 2020, 10, 555. [Google Scholar] [CrossRef]
- Takacova, Z.; Havlik, T.; Kukurugya, F.; Orac, D. Cobalt and lithium recovery from active mass of spent Li-ion batteries: Theoretical and experimental approach. Hydrometallurgy 2016, 163, 9–17. [Google Scholar] [CrossRef]
- Li, Q.; Fung, K.Y.; Xu, L.; Wibowo, C.; Ng, K.M. Process Synthesis: Selective Recovery of Lithium from Lithium-Ion Battery Cathode Materials. Ind. Eng. Chem. Res. 2019, 58, 3118–3130. [Google Scholar] [CrossRef]
- Aghazadeh, V.; Shayanfar, S.; Hassanpour, P. Aluminum hydroxide crystallization from aluminate solution using carbon dioxide gas: Effect of pH and seeding. Miner. Proc. Extr. Metall. 2019, 1, 1–7. [Google Scholar] [CrossRef]
- Martin, G.; Schneider, A.; Bertau, M. Lithiumgewinnung aus heimischen Rohstoffen. Chem. Unserer Zeit 2018, 52, 298–312. [Google Scholar] [CrossRef]
- Bertau, M.; Eschment, J.; Fröhlich, P. Wertstoffchemie: Die Rohstoffbasis sichern. Nachr. Chem. 2017, 65, 1206–1209. [Google Scholar] [CrossRef]
- Nayl, A.A.; Elkhashab, R.A.; Badawy, S.M.; El-Khateeb, M.A. Acid leaching of mixed spent Li-ion batteries. Arabian J. Chem. 2017, 10, S3632–S3639. [Google Scholar] [CrossRef]
- Or, T.; Gourley, S.W.D.; Kaliyappan, K.; Yu, A.; Chen, Z. Recycling of mixed cathode lithium-ion batteries for electric vehicles: Current status and future outlook. Carbon Energy 2020, 2, 6–43. [Google Scholar] [CrossRef]








| Factors | Factor Levels | ||
|---|---|---|---|
| −1 | 0 | +1 | |
| Temperature T [°C] | 150 | 190 | 230 |
| Residence time t [h] | 2 | 3 | 4 |
| water:black mass ratio L:S ratio [mL/g] | 30 | 60 | 90 |
| Composition [wt.%] | ||||||||
|---|---|---|---|---|---|---|---|---|
| Al | Co | Cu | Fe | Li | Mn | Ni | C | |
| Mean | 1.89 | 2.37 | 2.21 | 0.29 | 3.18 | 23.89 | 8.31 | 26.04 |
| Std. Dev. | 0.29 | 0.10 | 0.06 | 0.09 | 0.02 | 0.69 | 0.34 | 0.01 |
| Factors | Li yield [wt.%] | |||
|---|---|---|---|---|
| A: T [°C] | B: t [h] | C: L:S ratio [mL/g] | ||
| 1 | 190 | 3 | 60 | 75.2 |
| 2 | 190 | 2 | 30 | 66.8 |
| 3 | 150 | 2 | 60 | 52.1 |
| 4 | 230 | 4 | 60 | 91.5 |
| 5 | 190 | 4 | 30 | 66.3 |
| 6 | 190 | 4 | 90 | 80.2 |
| 7 | 150 | 3 | 30 | 52.7 |
| 8 | 190 | 3 | 60 | 72.5 |
| 9 | 230 | 3 | 90 | 93.1 |
| 10 | 190 | 2 | 90 | 74.6 |
| 11 | 230 | 2 | 60 | 87.0 |
| 12 | 150 | 3 | 90 | 58.2 |
| 13 | 150 | 4 | 60 | 57.8 |
| 14 | 230 | 3 | 30 | 71.3 |
| 15 | 190 | 3 | 60 | 72.8 |
| Source | Sum of Squares | DF * | Mean Square | F-Value | p-Value |
|---|---|---|---|---|---|
| A: Temperature | 1264.5 | 1 | 1264.5 | 158.87 | 0.0001 |
| B: Residence time | 13.2914 | 1 | 13.2914 | 1.67 | 0.2528 |
| C: Ratio | 242.857 | 1 | 242.857 | 30.51 | 0.0027 |
| AA | 18.9075 | 1 | 18.9075 | 2.38 | 0.1839 |
| AB | 0.403225 | 1 | 0.403225 | 0.05 | 0.8308 |
| AC | 66.1782 | 1 | 66.1782 | 8.31 | 0.0344 |
| BB | 2.71234 | 1 | 2.71234 | 0.34 | 0.5847 |
| BC | 9.09023 | 1 | 9.09023 | 1.14 | 0.3341 |
| CC | 21.0541 | 1 | 21.0541 | 2.65 | 0.1648 |
| Total error | 39.7955 | 5 | 7.9591 | - | - |
| Total (corr.) | 2349.67 | 14 | - | - | - |
| R2 | 98.3063 | - | - | - | - |
| R2 adjusted for DF | 95.2577 | - | - | - | - |
| Element | Mobilization [%] |
|---|---|
| Al | 52.34 |
| Co | 0.52 |
| Cu | 0.08 |
| Fe | 2.27 |
| Mn | 0.66 |
| Ni | 0.66 |
Publisher’s Note: MDPI stays neutral with regard to jurisdictional claims in published maps and institutional affiliations. |
© 2021 by the authors. Licensee MDPI, Basel, Switzerland. This article is an open access article distributed under the terms and conditions of the Creative Commons Attribution (CC BY) license (http://creativecommons.org/licenses/by/4.0/).
Share and Cite
Pavón, S.; Kaiser, D.; Mende, R.; Bertau, M. The COOL-Process—A Selective Approach for Recycling Lithium Batteries. Metals 2021, 11, 259. https://doi.org/10.3390/met11020259
Pavón S, Kaiser D, Mende R, Bertau M. The COOL-Process—A Selective Approach for Recycling Lithium Batteries. Metals. 2021; 11(2):259. https://doi.org/10.3390/met11020259
Chicago/Turabian StylePavón, Sandra, Doreen Kaiser, Robert Mende, and Martin Bertau. 2021. "The COOL-Process—A Selective Approach for Recycling Lithium Batteries" Metals 11, no. 2: 259. https://doi.org/10.3390/met11020259
APA StylePavón, S., Kaiser, D., Mende, R., & Bertau, M. (2021). The COOL-Process—A Selective Approach for Recycling Lithium Batteries. Metals, 11(2), 259. https://doi.org/10.3390/met11020259

