Role of Nickel Content in One-Way and Two-Way Shape Recovery in Binary Ti-Ni Alloys
Abstract
1. Introduction
2. Materials and Methods
3. Results
4. Discussion
5. Conclusions
- The Ni content in a binary titanium nickelide strongly affects the value and specific features of the shape recovery characteristics:
- -
- The equiatomic alloy manifests its maximum values at 12 to 14% of the loading strain range, while the Ni-rich alloy manifests its maximum values in the 15 to 21% range;
- -
- In equiatomic alloy, the total recovery strain manifests its maximum of 13.5 to 15% in the range of grain/subgrain sizes of 0.03–0.6 μm and the recovery strain manifests its maximum of 9% in the grain/subgrain size range of 0.2 to 3 μm;
- -
- In Ni-rich alloy, the total recovery strain manifests its maximum of 20% in the range of grain/subgrain sizes of 0.05 to 0.2 μm, and the recovery strain manifests its maximum of 14% in the range of grain/subgrain sizes of 0.2 to 3 μm;
- The use of the non-isothermal SME inducing mode made it possible for the first time to reveal the possibility of implementing elastic strain in the equiatomic alloy up to 12% and thereby increase the total shape recovery by 1.5 times. The maximum contribution of the elastic strain in shape recovery in both alloys is realized in a material with the ultra-fine-grained structure with the grain/subgrain size up to 0.5 μm.
- The maximum TWSME value correlates with the residual strain in both alloys and reaches its maximum of 3.0% in a material with a recrystallized structure.
- Varying the loading strain value by bending in the 11 to 21% of strain range allows regulation of the temperature of shape recovery in Ni-rich alloy in the 45 to 80 °C range.
- The revealed regularities can be used as additional tools for the control of shape recovery values in titanium nickelide according to the objectives of its various applications.
Author Contributions
Funding
Institutional Review Board Statement
Informed Consent Statement
Data Availability Statement
Acknowledgments
Conflicts of Interest
References
- Razov, A.; Cherniavsky, A. Application of SMAs in modern spacecraft and devices. J. Phys. IV 2003, 112, 1173–1176. [Google Scholar]
- Hartl, D.J.; Lagoudas, D.C. Aerospace applications of shape memory alloys. Proc. Inst. Mech. Eng. Part G J. Aerosp. Eng. 2007, 221, 535–552. [Google Scholar] [CrossRef]
- Jani, J.M.; Leary, M.; Subic, A.; Gibson, M.A. A review of shape memory alloy research, applications and opportunities. Mater. Des. 2014, 56, 1078–1113. [Google Scholar] [CrossRef]
- Morgan, N. Medical shape memory alloy applications—The market and its products. Mater. Sci. Eng. A 2004, 378, 16–23. [Google Scholar] [CrossRef]
- Sabahi, N.; Chen, W.; Wang, C.-H.; Kruzic, J.J.; Li, X. A Review on Additive Manufacturing of Shape-Memory Materials for Biomedical Applications. JOM 2020, 72, 1229–1253. [Google Scholar] [CrossRef]
- Miyazaki, S. Engineering Aspects of Shape Memory Alloys; Duerig, T.W., Ed.; Butterworth-Heinemann: Oxford, UK, 1990; p. 394. [Google Scholar]
- Otsuka, K.; Wayman, C.M. (Eds.) Shape Memory Materials; Cambridge University Press: Cambridge, UK, 1998; p. 284. [Google Scholar]
- Funakubo, H. (Ed.) Shape Memory Alloys; Gordon and Breach Science Publishers: New York, NY, USA, 1987; p. 275. [Google Scholar]
- Inaekyan, K.E. Investigation of the Relationship between the Structure and Functional Properties of Thermomechanically Treated Shape Memory Ti-Ni-Based Alloys. Ph.D. Thesis, Moscow State Institute of Steel and Alloys, Moscow, Russia, 2006; p. 149. (In Russian). [Google Scholar]
- Treppmann, D.; Hornbogen, E.; Wurzel, D. The Effect of Combined Recrystallization and Precipitation Processes on the Functional and Structural Properties in NiTi Alloys. J. Phys. Colloq. 1995, 5, 569–574. [Google Scholar] [CrossRef]
- Nishida, M.; Wayman, C.; Honma, T. Electron microscopy studies of the Ti11Ni14 phase in an aged Ti-52.0 at % Ni shape memory alloy. Scr. Metall. 1985, 19, 983–987. [Google Scholar] [CrossRef]
- Tadaki, T.; Nakata, Y.; Shimizu, K.; Otsuka, K. Crystal Structure, Composition and Morphology of a Precipitate in an Aged Ti-51 at% Ni Shape Memory Alloy. Trans. Jpn. Inst. Metals 1986, 27, 731–740. [Google Scholar] [CrossRef]
- Khalil-Allafi, J.; Dlouhy, A.; Eggeler, G. Ni4Ti3-precipitation during aging of NiTi shape memory alloys and its influence on martensitic phase transformations. Acta Mater. 2002, 50, 4255–4274. [Google Scholar] [CrossRef]
- Allafi, J.K.; Eggeler, G.; Dlouhy, A.; Schmahl, W.W.; Somsen, C. On the influence of heterogeneous precipitation on martensitic transformations in a Ni-rich NiTi shape memory alloy. Mater. Sci. Eng. A 2004, 378, 148–151. [Google Scholar] [CrossRef]
- Ryklina, E.P.; Prokoshkin, S.D.; Chernavina, A.A.; Perevoshchikova, N.N. Investigation on the influence of thermomechanical conditions of induction and structure on the shape memory effects in Ti-Ni alloy. Inorg. Mater. Appl. Res. 2010, 1, 188–194. [Google Scholar] [CrossRef]
- Ryklina, E.P.; Korotitskiy, A.; Khmelevskaya, I.; Prokoshkin, S.; Polyakova, K.; Kolobova, A.; Soutorine, M.; Chernov, A. Control of phase transformations and microstructure for optimum realization of one-way and two-way shape memory effects in removable surgical clips. Mater. Des. 2017, 136, 174–184. [Google Scholar] [CrossRef]
- Ravari, B.K.; Farjami, S.; Nishida, M. Effects of Ni concentration and aging conditions on multistage martensitic transformation in aged Ni-rich Ti–Ni alloys. Acta Mater. 2014, 69, 17–29. [Google Scholar] [CrossRef]
- Ryklina, E.P.; Polyakova, K.; Tabachkova, N.Y.; Resnina, N.; Prokoshkin, S. Effect of B2 austenite grain size and aging time on microstructure and transformation behavior of thermomechanically treated titanium nickelide. J. Alloy. Compd. 2018, 764, 626–638. [Google Scholar] [CrossRef]
- Polyakova, K.; Ryklina, E.P.; Prokoshkin, S.D. Effect of Grain Size and Ageing-Induced Microstructure on Functional Characteristics of a Ti-50.7 at % Ni Alloy. Shape Mem. Superelasticity 2020, 6, 139–147. [Google Scholar] [CrossRef]
- Ryklina, E.P.; Polyakova, K.; Prokoshkin, S. Comparative Study of Shape Memory Effects in Ni-Rich Ti–Ni Alloy After Training in Various Phase States. Shape Mem. Superelasticity 2020, 6, 157–169. [Google Scholar] [CrossRef]
- Komarov, V.; Khmelevskaya, I.; Karelin, R.; Prokoshkin, S.; Zaripova, M.; Isaenkova, M.; Korpala, G.; Kawalla, R. Effect of biaxial cyclic severe deformation on structure and properties of Ti-Ni alloys. J. Alloy. Compd. 2019, 797, 842–848. [Google Scholar] [CrossRef]
- Belyaev, S.P.; Resnina, N.; Pilyugin, V.; Glazova, D.; Zeldovich, V.; Frolova, N. Shape memory effects in Ti-50.2 at% Ni alloy with different grain size. Mater. Sci. Eng. A 2017, 706, 64–70. [Google Scholar] [CrossRef]
- Kalashnikov, V.S.; Andreev, V.A.; Koledov, V.V.; Gunderov, D.V.; Petrov, A.V.; Shavrov, V.G.; Kuchin, D.V.; Gizatullin, R.M. Functional Characteristics and Phase Transformations in Bar Semiproducts from Shape Memory NiTi Alloys. Metal Sci. Heat Treat. 2019, 61, 504–510. [Google Scholar] [CrossRef]
- Kim, J.; Miyazaki, S. Effect of nano-scaled precipitates on shape memory behavior of Ti-50.9 at% Ni alloy. Acta Mater. 2005, 53, 4545–4554. [Google Scholar] [CrossRef]
- Razov, A.; Motorin, A.; Nakhatova, G. Nonmonotonic two-way shape memory in titanium nickelide. J. Alloy. Compd. 2013, 577, S164–S167. [Google Scholar] [CrossRef]
- Zel’dovich, V.I.; Sobyanina, G.A.; Rinkevich, O.S. Influence of prestrain on the shape-memory effect and martensite structure in titanium nickelide: I. Dilatometric effects of martensitic transformations. Phys. Metals Metallogr. 1996, 81, 305–312. [Google Scholar]
- Grishkov, V.N.; Lotkov, A.I.; Baturin, A.A.; Timkin, V.N.; Zhapova, D.Y. Comparative analysis of inelastic strain recovery and plastic deformation in a Ti49.1Ni50.9 (at %) alloy under torsion and bending. AIP Conf. Proc. 2015, 1683, 020067. [Google Scholar] [CrossRef]
- Lotkov, A.I.; Grishkov, V.N.; Timkin, V.; Baturin, A.; Zhapova, D.Y. Yield stress in titanium nickelide-based alloys with thermoelastic martensitic transformations. Mater. Sci. Eng. A 2019, 744, 74–78. [Google Scholar] [CrossRef]
- Belyaev, S.P.; Volkov, A.E.; Resnina, N. Alternate stresses and temperature variation as factors of influence of ultrasonic vibration on mechanical and functional properties of shape memory alloys. Ultrasonics 2014, 54, 84–89. [Google Scholar] [CrossRef]
- Lu, H.; Yang, C.; Li, X.; Cheng, Q.; Ma, H.; Wang, Z.; Qu, S. Microstructure evolution and superelasticity of Ti-24Nb-xZr alloys fabricated by spark plasma sintering. J. Alloy. Compd. 2020, 823, 153875. [Google Scholar] [CrossRef]
- Liu, S.; Han, S.; Zhang, L.; Chen, L.-Y.; Wang, L.; Tang, Y.; Liu, J.; Tang, H.; Zhang, L.-C. Strengthening mechanism and micropillar analysis of high-strength NiTi–Nb eutectic-type alloy prepared by laser powder bed fusion. Compos. Part B Eng. 2020, 200, 108358. [Google Scholar] [CrossRef]
- Jiang, D.; Kyriakides, S.; Bechle, N.J.; Landis, C.M. Bending of pseudoelastic NiTi tubes. Int. J. Solids Struct. 2017, 124, 192–214. [Google Scholar] [CrossRef]
- Gall, K.; Sehitoglu, H.; Chumlyakov, Y.; Kireeva, I. Tension–compression asymmetry of the stress–strain response in aged single crystal and polycrystalline NiTi. Acta Mater. 1999, 47, 1203–1217. [Google Scholar] [CrossRef]
- Ryklina, E.; Prokoshkin, S.; Vachiyan, K. Nanostructured Titanium Nickelide: Realization of abnormally high recovery strain. IOP Conf. Ser. Mater. Sci. Eng. 2014, 63, 012110. [Google Scholar] [CrossRef]
- Polyakova-Vachiyan, K.A.; Prokoshkin, S.D.; Dubinskii, S.M.; Ryklina, E.P. Dependence of the functional characteristics of thermomechanically processed titanium nickelide on the size of the structural elements of austenite. Phys. Metals Metall. 2016, 117, 817–827. [Google Scholar] [CrossRef]
- Polyakova, K.; Ryklina, E.; Prokoshkin, S. Thermomechanical response of Titanium Nickelide on austenite grain/subgrain size. Mater. Today Proc. 2017, 4, 4836–4840. [Google Scholar] [CrossRef]
- ASTM F2004-05. Standard Test Method for Transformation Temperature of Nickel-Titanium Alloys by Thermal Analysis; ASTM International: West Conshohocken, PA, USA, 2010. [Google Scholar]
- Kuranova, N.N.; Gunderov, D.V.; Uksusnikov, A.N.; Luk’Yanov, A.V.; Yurchenko, L.I.; Prokof’Ev, E.A.; Pushin, V.G.; Valiev, R.Z. Effect of heat treatment on the structural and phase transformations and mechanical properties of TiNi alloy subjected to severe plastic deformation by torsion. Phys. Metals Metall. 2009, 108, 556–568. [Google Scholar] [CrossRef]
- Ryklina, E.P.; Prokoshkin, S.D.; Chernavina, A.A. Peculiarities of implementation of abnormally high shape memory effects in thermomechanically treated Ti-Ni alloys. Inorg. Mater. Appl. Res. 2013, 4, 348–355. [Google Scholar] [CrossRef]
- Kolobova, A.Y.; Ryklina, E.P.; Prokoshkin, S.D.; Inaekyan, K.E.; Brailovskii, V. Study of the Evolution of the Structure and Kinetics of Martensitic Transformations in a Titanium Nickelide upon Isothermal Annealing after Hot Helical Rolling. Phys. Metals Metall. 2018, 119, 134–145. [Google Scholar] [CrossRef]
- Gunderov, D.; Maksutova, G.; Churakova, A.; Lukyanov, A.; Kreitcberg, A.; Raab, G.; Sabirov, I.; Prokoshkin, S. Strain rate sensitivity and deformation activation volume of coarse-grained and ultrafine-grained TiNi alloys. Scr. Mater. 2015, 102, 99–102. [Google Scholar] [CrossRef]
- Otsuka, K.; Ren, X. Physical metallurgy of Ti–Ni-based shape memory alloys. Prog. Mater. Sci. 2005, 50, 511–678. [Google Scholar] [CrossRef]
- Khmelevskaya, I.; Komarov, V.; Kawalla, R.; Prokoshkin, S.; Korpala, G. Effect of Biaxial Isothermal Quasi-Continuous Deformation on Structure and Shape Memory Properties of Ti-Ni Alloys. J. Mater. Eng. Perform. 2017, 26, 4011–4019. [Google Scholar] [CrossRef]







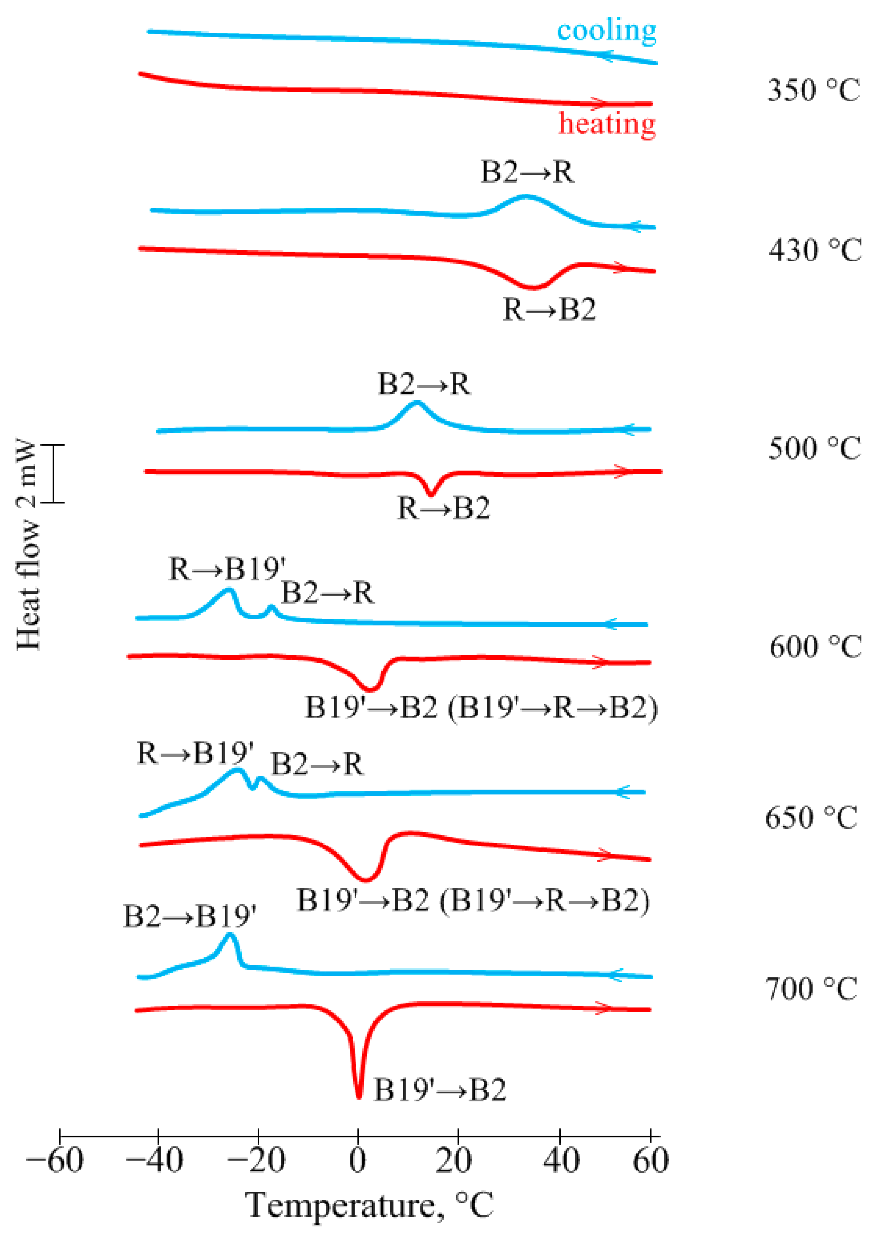
| Ti-50.0 at % Ni, Determined from [39] | ||||||
| PDA regimes | 250 °C, 1 h | 300 °C,1 h | 350 °C,1 h | 450 °C, 0.5 h | 500 °C, 1 h | 700 °C, 0.5 h |
| Position of B2→R peak, °C | 50 | 45 | 45 | 45 | 42 | 40 * |
| Ti-50.7 at % Ni | ||||||
| PDA regimes | 350 °C, 0.5 h | 430 °C, 0.5 h | 500 °C, 0.5 h | 600 °C, 0.5 h | 650 °C, 0.5 h | 700 °C, 0.5 h |
| Position of B2→R peak, °C | 50 | 32 | 10 | −18 | −18 | −21 * |
Publisher’s Note: MDPI stays neutral with regard to jurisdictional claims in published maps and institutional affiliations. |
© 2021 by the authors. Licensee MDPI, Basel, Switzerland. This article is an open access article distributed under the terms and conditions of the Creative Commons Attribution (CC BY) license (http://creativecommons.org/licenses/by/4.0/).
Share and Cite
Ryklina, E.P.; Polyakova, K.A.; Prokoshkin, S.D. Role of Nickel Content in One-Way and Two-Way Shape Recovery in Binary Ti-Ni Alloys. Metals 2021, 11, 119. https://doi.org/10.3390/met11010119
Ryklina EP, Polyakova KA, Prokoshkin SD. Role of Nickel Content in One-Way and Two-Way Shape Recovery in Binary Ti-Ni Alloys. Metals. 2021; 11(1):119. https://doi.org/10.3390/met11010119
Chicago/Turabian StyleRyklina, Elena P., Kristina A. Polyakova, and Sergey D. Prokoshkin. 2021. "Role of Nickel Content in One-Way and Two-Way Shape Recovery in Binary Ti-Ni Alloys" Metals 11, no. 1: 119. https://doi.org/10.3390/met11010119
APA StyleRyklina, E. P., Polyakova, K. A., & Prokoshkin, S. D. (2021). Role of Nickel Content in One-Way and Two-Way Shape Recovery in Binary Ti-Ni Alloys. Metals, 11(1), 119. https://doi.org/10.3390/met11010119
