Hot Deformation Behaviors and Intrinsic Hot Workability Map of Ti-12Mo-4Zr-5Sn Alloy Based on Physical Model and Polar Reciprocity Model
Abstract
1. Introduction
2. Experimental Procedures
3. Results and Discussion
3.1. Discussion of Flow Behaviors
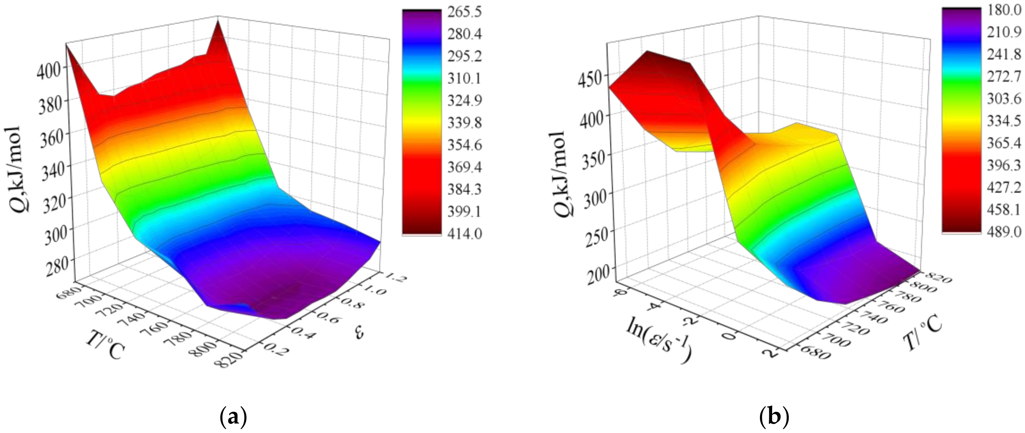
3.2. Determination of Hot Deformation Activation Energy
3.3. Establishment and Analysis of Constitutive Model Based on Physics
3.4. Intrinsic Hot Workability Map Based on Polar Reciprocity Model
3.4.1. Construction and Analysis of Intrinsic Hot Workability ξ Map
3.4.2. Verification of Microstructure
4. Conclusions
- (1)
- The hot deformation activation energy of Ti-12Mo-4Zr-5Sn alloy is higher than that of pure α and pure β titanium alloys. The results show that the hot deformation of the alloy is controlled by a process other than high-temperature diffusion and may correspond to different deformation mechanisms.
- (2)
- A physical-based constitutive model considered the effect of deformation temperature on the self-diffusion coefficient and Young’s modulus of the alloy was established, and the model was optimized. Strain compensation was also considered in the optimized model. After error calculation, this model’s correlation coefficient is 0.9910, the average relative error is 3.97%, and the data points within the deviation of 10% accounting for 97.73%, respectively, which have good accuracy. The model is not only simple and effective but also has a certain physical basis. It can be used as a new prediction model for the hot deformation rheological stress.
- (3)
- Based on the polar reciprocity model, the intrinsic hot workability ξ maps of Ti-12Mo-4Zr-5Sn alloy were drawn. The range of rheological instability zone of the alloy was obtained by observing the microstructures: T = 670~820 °C and = 0.316~10 s−1. The optimum processing parameters of the alloy are as follows: T = 790~820 °C and = 0.001~0.01 s−1. Local flow is the main instability form in the instability region, while dynamic recrystallization is the main deformation mechanism in the stability region.
Author Contributions
Funding
Conflicts of Interest
References
- Kuroda, D.; Niinomi, M.; Morinaga, M.; Kato, Y.; Yashiro, T. Design and mechanical properties of new β type titanium alloys for implant materials. Mater. Sci. Eng. A 1998, 243, 244–249. [Google Scholar] [CrossRef]
- Wan, P.; Wang, K.L.; Lu, S.Q.; Chen, X.H.; Zhou, F. Constitutive modeling of Ti-2.7Cu alloy based on strain compensation and PSO-BP neural network. J. Mater. Eng. 2019, 47, 113–119. [Google Scholar]
- De Freitas Quadros, F.; Kuroda, P.A.; Sousa, K.D.; Donato, T.A.; Grandini, C.R. Preparation, structural and microstructural characterization of Ti-25Ta-10Zr alloy for biomedical applications. J. Mater. Res. Technol. 2019, 8, 4108–4114. [Google Scholar] [CrossRef]
- Yu, Z.; Yu, S.; Cheng, J.; Ma, X. Development and application of novel biomedical titanium alloy materials. Acta Metall. Sin. 2017, 53, 1238–1264. [Google Scholar]
- Gao, P.; Zhan, M.; Fan, X.; Lei, Z.; Cai, Y. Hot deformation behavior and microstructure evolution of TA15 titanium alloy with nonuniform microstructure. Mater. Sci. Eng. A 2017, 689, 243–251. [Google Scholar] [CrossRef]
- Mandal, S.; Gockel, B.T.; Balachandran, S.; Banerjee, D.; Rollett, A.D. Simulation of plastic deformation in Ti-5553 alloy using a self-consistent viscoplastic model. Int. J. Plast. 2017, 94, 57–73. [Google Scholar] [CrossRef]
- Dai, G.; Cui, Y.; Zhou, D.; Guo, Y.; Chang, H.; Zhou, L. Hot deformation behavior and mechanistic understanding of new TF400 titanium alloy. Metals 2019, 9, 1277. [Google Scholar] [CrossRef]
- Long, S.; Xia, Y.F.; Wang, P.; Zhou, Y.T.; Gong-ye, F.J.; Zhou, J.; Zhang, J.S.; Cui, M.L. Constitutive modelling, dynamic globularization behavior and processing map for Ti-6Cr-5Mo-5V-4Al alloy during hot deformation. J. Alloys Compd. 2019, 796, 65–76. [Google Scholar] [CrossRef]
- Qu, J.; Qin, W.; Jin, Q. Study on the paremeter value domain of macro-micro constitutive model. Chin. J. Theor. Appl. Mech. 2014, 46, 920–930. [Google Scholar]
- Cabrera, J.M.; Al Omar, A.; Prado, J.M.; Jonas, J.J. Modeling the flow behavior of a medium carbon micro-alloyed steel under hot working conditions. Metall. Mater. Trans. A 1997, 28, 2233–2244. [Google Scholar] [CrossRef]
- Murty SV, S.N.; Rao, B.N.; Kashyap, B.P. On the relationship between the intrinsic hot workability parameters of DMM and PRM. Scand. J. Metall. 2003, 32, 185–193. [Google Scholar] [CrossRef]
- Rajagopalachary, T.; Kutumbarao, V.V. Intrinsic hot workability map for a titanium alloy IMI685. Scr. Mater. 1996, 35, 311–316. [Google Scholar] [CrossRef]
- Kutumbarao, V.V.; Rajagopalachary, T. Recent developments in modeling the hot working behavior of metallic materials. Bull. Mater. Sci. 1996, 19, 677–698. [Google Scholar] [CrossRef]
- Murty SV, S.N.; Rao, B.N. On the development of instability criteria during hot working with reference to IN 718. Mater. Sci. Eng. A 1998, 254, 76–82. [Google Scholar] [CrossRef]
- Luo, J.; Chen, Y.; Yin, Z.; Zhang, Y. Stress strain curve and constitutive model of TA15 titanium alloy in hot deformation. Rare Met. Mater. Eng. 2017, 46, 399–405. [Google Scholar]
- Cai, D.; Xiong, L.; Liu, W.; Sun, G.; Yao, M. Characterization of hot deformation behavior of a Ni-base superalloy using processing map. Mater. Des. 2009, 30, 921–925. [Google Scholar] [CrossRef]
- Shimizu, I. Theories and applicability of grain size piezometers: The role of dynamic recrystallization mechanisms. J. Struct. Geol. 2008, 30, 899–917. [Google Scholar] [CrossRef]
- Ren, S.; Wang, K.; Lu, S.; Huang, Y.; Xu, Q.; Gao, X. Optimization of hot forming parameters for Ti-22Al-24Nb alloy. Rare Met. Mater. Eng. 2018, 47, 191–197. [Google Scholar]
- Sellars, C.M.; Mctegart, W.J. On the mechanism of hot deformation. Acta Metall. 1966, 14, 1136–1138. [Google Scholar] [CrossRef]
- Lin, Y.C.; Chen, M.S.; Zhong, J. Constitutive modeling for elevated temperature flow behavior of 42CrMo steel. Comput. Mater. Sci. 2008, 42, 470–477. [Google Scholar] [CrossRef]
- Zeng, W.; Hu, X.; Yu, H.; Zhou, Y. An investigation on hot deformation mechanism of Ti-17 alloy. J. Mater. Eng. 1996, 9, 27–30. [Google Scholar]
- Zhang, Q.; Li, P.; Xue, K. Study on the high temperature deformation mechanism of Ti-15-3 alloy. J. Hefei Univ. Technol. 2006, 29, 1189–1191. [Google Scholar]
- Frost, H.J.; Ashby, M.F. Deformation-Mechanism Maps: The Plasticity and Creep of Metals and Ceramics; Pergamon Press: Oxford, UK, 1982; pp. 1–5. [Google Scholar]
- Mirzadeh, H.; Cabrera, J.M.; Prado, J.M.; Najafizadeh, A. Hot deformation behavior of a medium carbon microalloyed steel. Mater. Sci. Eng. A 2011, 528, 3876–3882. [Google Scholar] [CrossRef]
- Mirzadeh, H.; Cabrera, J.M.; Najafizadeh, A. Constitutive relationships for hot deformation of austenite. Acta Mater. 2011, 59, 6441–6448. [Google Scholar] [CrossRef]
- Cabrera, J.M.; Ponce, J.; Prado, J.M. Modeling thermomechanical processing of austenite. J. Mater. Process. Technol. 2003, 143, 403–409. [Google Scholar] [CrossRef]
- Medina, S.F.; Hernandez, C.A. General expression of the Zener-Hollomon parameter as a function of the chemical composition of low alloy and microalloyed steels. Acta Mater. 1996, 44, 137–148. [Google Scholar] [CrossRef]
- Hernandez, C.A.; Medina, S.F.; Ruiz, J. Modelling austenite flow curves in low alloy and microalloyed steels. Acta Mater. 1996, 44, 155–163. [Google Scholar] [CrossRef]
- Chen, X.; Zhang, J.; Du, Y.; Wang, G.; Huang, T. Dynamic recrystallization simulation for X12 alloy steel by CA method based on modified L-J dislocation density model. Metals 2019, 9, 1291. [Google Scholar] [CrossRef]
















| Q(kJ/mol) | T (°C) | |||||
|---|---|---|---|---|---|---|
| 670 | 700 | 730 | 760 | 790 | 820 | |
| Q0.1 | 413.51 | 335.48 | 307.44 | 302.07 | 282.36 | 292.03 |
| Q0.2 | 395.96 | 324.39 | 296.35 | 286.56 | 275.13 | 281.35 |
| Q0.3 | 379.24 | 319.94 | 291.40 | 276.27 | 269.60 | 273.70 |
| Q0.4 | 375.82 | 321.10 | 287.77 | 274.13 | 266.15 | 269.55 |
| Q0.5 | 379.24 | 324.90 | 288.42 | 274.26 | 266.18 | 269.35 |
| Q0.6 | 380.45 | 326.50 | 288.58 | 273.37 | 265.75 | 270.05 |
| Q0.7 | 383.68 | 326.99 | 290.42 | 273.89 | 265.84 | 269.11 |
| Q0.8 | 385.03 | 330.09 | 289.69 | 276.20 | 266.91 | 269.00 |
| Q0.9 | 386.00 | 332.84 | 290.38 | 279.97 | 269.85 | 271.44 |
| Q1.0 | 389.53 | 340.31 | 293.75 | 284.69 | 275.86 | 274.80 |
| Q1.1 | 389.33 | 337.93 | 295.59 | 287.64 | 277.52 | 277.68 |
| Q1.2 | 411.67 | 353.35 | 303.29 | 293.24 | 290.16 | 285.39 |
| Q (kJ/mol) | (s−1) | ||||
|---|---|---|---|---|---|
| 0.001 | 0.01 | 0.1 | 1 | 10 | |
| Q670 | 434.57 | 488.87 | 483.58 | 289.71 | 257.75 |
| Q700 | 370.24 | 416.50 | 412.00 | 246.83 | 219.60 |
| Q730 | 327.82 | 368.78 | 364.79 | 218.54 | 194.44 |
| Q760 | 314.74 | 354.07 | 350.24 | 209.82 | 186.68 |
| Q790 | 304.57 | 342.63 | 338.92 | 203.05 | 180.65 |
| Q820 | 307.32 | 345.72 | 341.98 | 204.88 | 182.28 |
| D0 (m2/s) | Qsd (J/mol) | G0 (MPa) | E0 (MPa) | Tm (K) | |
|---|---|---|---|---|---|
| 1.9 × 10−7 | 153,000 | 2.05 × 104 | 1.1 × 105 | 1933 | −0.5 |
| ε | α′ | n′ | lnB′ |
|---|---|---|---|
| 0.1 | 556.460 | 4.441 | 29.636 |
| 0.2 | 549.260 | 4.434 | 29.587 |
| 0.3 | 547.525 | 4.453 | 29.564 |
| 0.4 | 549.490 | 4.476 | 29.533 |
| 0.5 | 552.220 | 4.518 | 29.520 |
| 0.6 | 554.813 | 4.568 | 29.501 |
| 0.7 | 553.386 | 4.646 | 29.500 |
| 0.8 | 550.291 | 4.726 | 29.502 |
| 0.9 | 545.913 | 4.835 | 29.512 |
| 1 | 538.003 | 4.987 | 29.533 |
| 1.1 | 528.799 | 5.193 | 29.550 |
| 1.2 | 521.824 | 5.414 | 29.568 |
© 2020 by the authors. Licensee MDPI, Basel, Switzerland. This article is an open access article distributed under the terms and conditions of the Creative Commons Attribution (CC BY) license (http://creativecommons.org/licenses/by/4.0/).
Share and Cite
Wan, P.; Zou, H.; Wang, K.; Zhao, Z.; Lu, S.; Nie, H. Hot Deformation Behaviors and Intrinsic Hot Workability Map of Ti-12Mo-4Zr-5Sn Alloy Based on Physical Model and Polar Reciprocity Model. Metals 2020, 10, 956. https://doi.org/10.3390/met10070956
Wan P, Zou H, Wang K, Zhao Z, Lu S, Nie H. Hot Deformation Behaviors and Intrinsic Hot Workability Map of Ti-12Mo-4Zr-5Sn Alloy Based on Physical Model and Polar Reciprocity Model. Metals. 2020; 10(7):956. https://doi.org/10.3390/met10070956
Chicago/Turabian StyleWan, Peng, Hang Zou, Kelu Wang, Zhengzhi Zhao, Shiqiang Lu, and Huifen Nie. 2020. "Hot Deformation Behaviors and Intrinsic Hot Workability Map of Ti-12Mo-4Zr-5Sn Alloy Based on Physical Model and Polar Reciprocity Model" Metals 10, no. 7: 956. https://doi.org/10.3390/met10070956
APA StyleWan, P., Zou, H., Wang, K., Zhao, Z., Lu, S., & Nie, H. (2020). Hot Deformation Behaviors and Intrinsic Hot Workability Map of Ti-12Mo-4Zr-5Sn Alloy Based on Physical Model and Polar Reciprocity Model. Metals, 10(7), 956. https://doi.org/10.3390/met10070956

