Influence of Heat Input on the Formation of Laves Phases and Hot Cracking in Plasma Arc Welding (PAW) Additive Manufacturing of Inconel 718
Abstract
1. Introduction
2. Materials and Methods
2.1. Experimental Set-Up
2.2. Deposition Strategy and Parameters
3. Results and Discussion
3.1. Process Characterization
3.2. Microstructure Characterization of the Heat-affected Zone (HAZ)
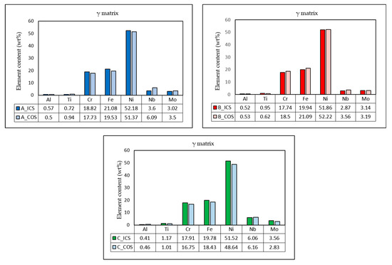
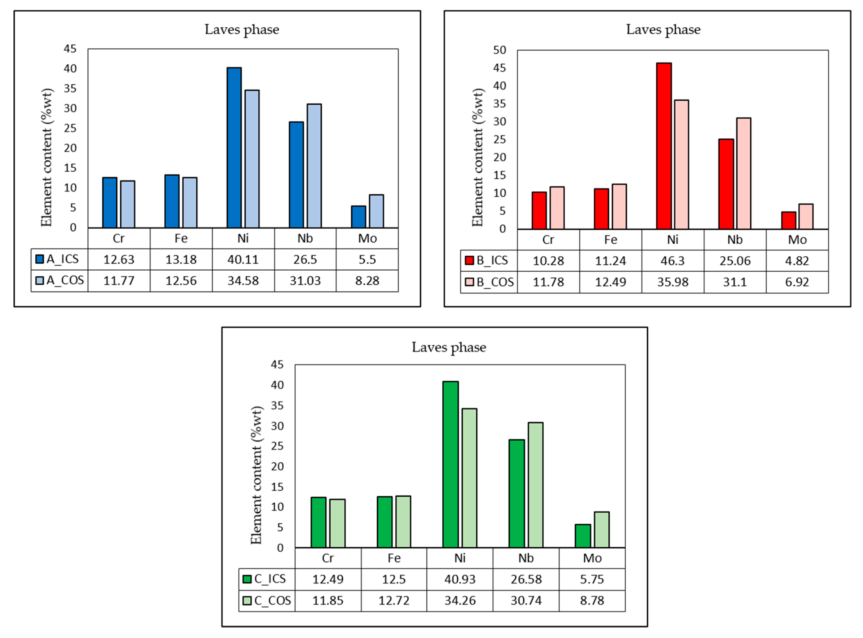
3.3. Apparition of Laves Phase and Hot Cracking Formation
4. Conclusions
- Regarding manufacturing times, the COS strategy, although it involves the installation of a pyrometer, reduces the times by more than 80%.
- Growth per layer is greater in the strategy with higher deposition rates which was to be expected. Regarding the cooling time strategy, the walls made with ICS have slightly higher growth.
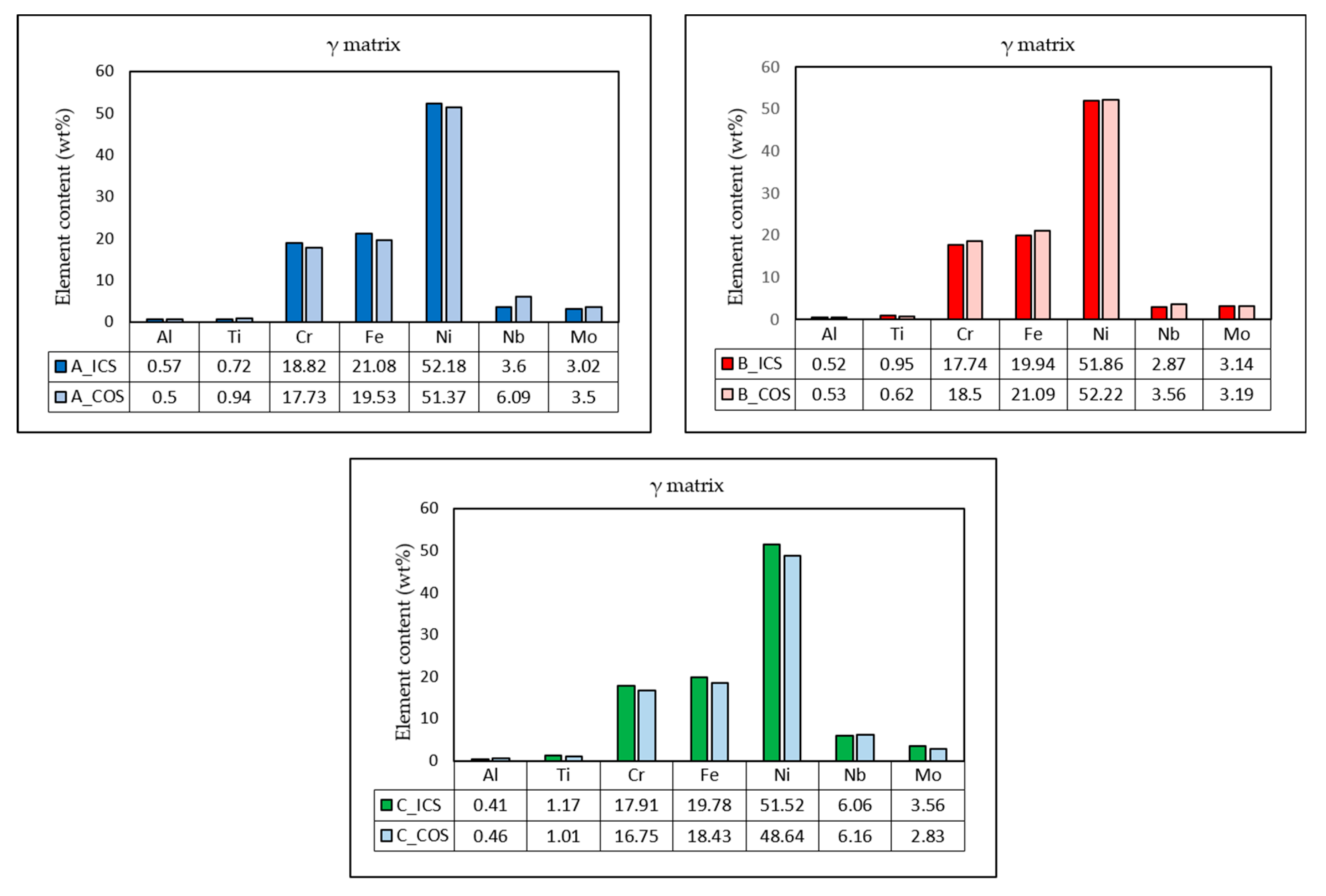
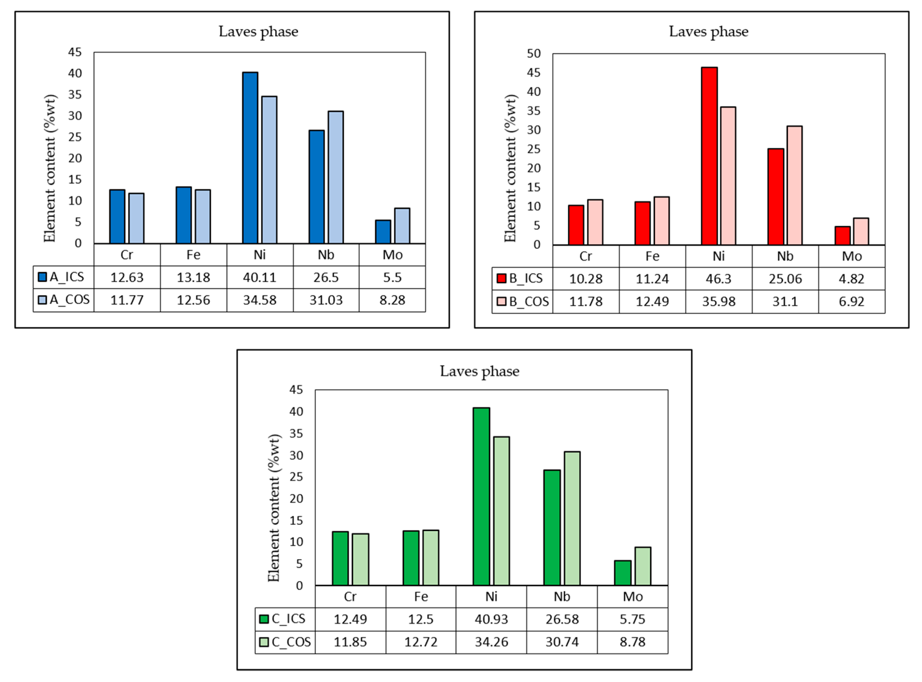
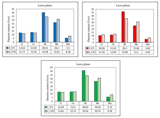
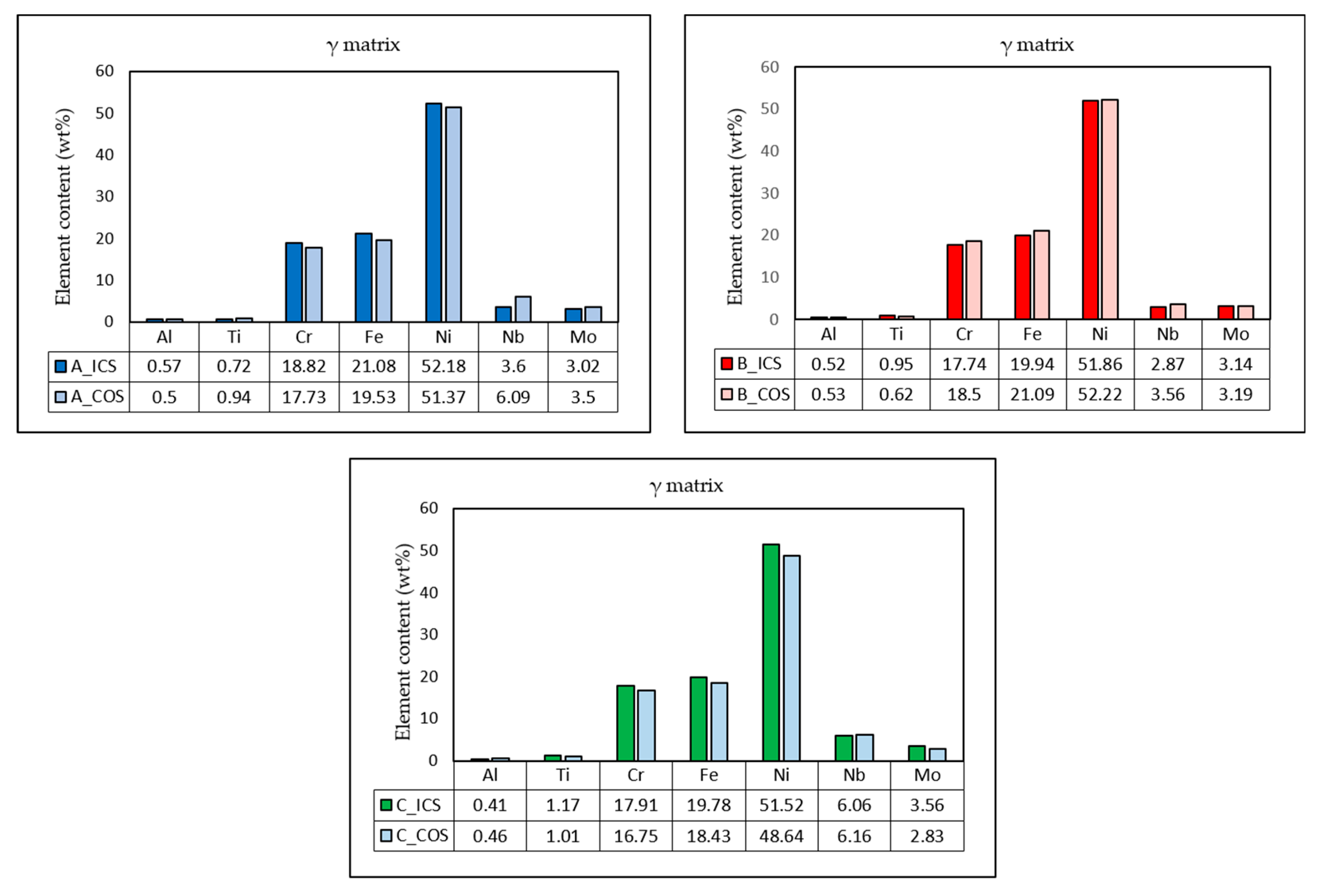
- From the microstructural analysis, it shows that the spacing of the dendritic arms for the ICS sample is greater than that of the COS samples. As a consequence, the formation of Laves phases is more discrete in ICS. SEM analysis shows the formation of Laves phases and metallic carbides (inclusion of MC such as Ti and Nb) in the interdendritic region of each sample.
- For ICS samples, the enrichment of Nb and Mo is significantly reduced due to a higher cooling rate. It is observed that the sample from the B_ICS has a homogeneous and crack-free microstructure than the A_ICS and C_ICS samples. However, for the COS samples, the low cooling rate of the layers results in a high-temperature build-up in each layer, allowing greater segregation and the formation of the δ phase (needle-shaped) which aggravates the microstructure and makes the sample more brittle.
- The hot cracks that can be seen in the microstructure of the WAAM walls are liquefaction cracks. However, it shows that samples B_ICS and B_COS do not show cracks in the inner region compared to the other samples from A and C. Therefore, it indicates that the crack formation is fully controlled by the processing parameters (such as B: Ed: 939 J/mm, TTS: 230 mm/min), WFS: 2.5 m/min and DR: 1.39 kg/h) used for this study.
Author Contributions
Funding
Conflicts of Interest
References
- Gloria, A.; Montanari, R.; Richetta, M.; Varone, A. Alloys for aeronautic applications: State of the art and perspectives. Metals 2019, 9, 662. [Google Scholar] [CrossRef]
- Ford, S.; Despeisse, M. Additive manufacturing and sustainability: An exploratory study of the advantages and challenges. J. Clean. Prod. 2015, 137, 1573–1587. [Google Scholar] [CrossRef]
- Diagnosis and Study of Opportunities of Metallic Additive Manufacturing on Sudoe Aerospatial Sector. AFM, Posted 31 October 2017. Available online: http://www.addispace.eu/gestor/recursos/uploads/imagenes/noticias/INFORME/State_of_the_art_MAM-ENGLISH_low.pdf (accessed on 1 May 2019).
- Mikolajczyk, T.; Malinowski, T.; Moldovan, L.; Fuwen, H.; Paczkowski, T.; Ciobanu, I. CAD CAM System for Manufacturing Innovative Hybrid Design Using 3D Printing. Procedia Manuf. 2019, 32, 22–28. [Google Scholar] [CrossRef]
- Ding, D.; Pan, Z.; Cuiuri, D.; Li, H. Wire-feed additive manufacturing of metal components: Technologies, developments and future interests. Int. J. Adv. Manuf. Technol. 2015, 81, 465–481. [Google Scholar] [CrossRef]
- Clark, D.; Bache, M.R.; Whittaker, M.T. Shaped metal deposition of a nickel alloy for aero engine applications. J. Mater. Process. Technol. 2008, 203, 439–448. [Google Scholar] [CrossRef]
- Clark, D.; Bache, M.R.; Whittaker, M.T. Microstructural characterization of a polycrystalline nickel-based superalloy processed via tungsten-intert-gas-shaped metal deposition. Metall. Mater. Trans. B 2010, 41, 1346–1353. [Google Scholar] [CrossRef]
- Baufeld, B. Mechanical properties of INCONEL 718 parts manufactured by shaped metal deposition (SMD). J. Mater. Eng. Perform. 2012, 21, 1416–1421. [Google Scholar] [CrossRef]
- Knezović, N.; Topić, A. Wire and Arc Additive Manufacturing (WAAM)–A New Advance in Manufacturing, in Lecture Notes in Networks and Systems; Springer Nature Switzerland AG: Basel, Switzerland, 2019; Volume 42, pp. 65–71. [Google Scholar]
- Manikandan, S.G.; Sivakumar, D.; Kamaraj, M.; Rao, K.P. Laves phase control in Inconel 718 weldments. Mater. Sci. Forum 2012, 710, 614–619. [Google Scholar] [CrossRef]
- Antonsson, T.; Fredriksson, H. The effect of cooling rate on the solidification of INCONEL 718. Metall. Mater. Trans. B 2005, 36, 85–96. [Google Scholar] [CrossRef]
- Ling, L.; Han, Y.; Zhou, W.; Gao, H.; Shu, D.; Wang, J.; Kang, M.; Sun, B. Study of Microsegregation and Laves Phase in INCONEL718 Superalloy Regarding Cooling Rate During Solidification. Metall. Mater. Trans. A 2015, 46, 354–361. [Google Scholar] [CrossRef]
- Seow, C.E.; Coules, H.E.; Wu, G.; Khan, R.H.; Xu, X.; Williams, S. Wire + Arc Additively Manufactured Inconel 718: Effect of post-deposition heat treatments on microstructure and tensile properties. Mater. Des. 2019, 183, 108157. [Google Scholar] [CrossRef]
- Ye, X.; Hua, X.; Wang, M.; Lou, S. Controlling hot cracking in Ni-based Inconel-718 superalloy cast sheets during tungsten inert gas welding. J. Mater. Process. Technol. 2015, 222, 381–390. [Google Scholar] [CrossRef]
- Deng, D. Additively Manufactured Inconel 718: Microstructures and Mechanical Properties. Licentiate Thesis, Linköpings Universitet, Institutionen för Ekonomisk och Industriell Utveckling, Linköping, Sweeden, January 2018. [Google Scholar]
- Xu, F.; Lv, Y.; Liu, Y.; Shu, F.; He, P.; Xu, B. Microstructural Evolution and Mechanical Properties of Inconel 625 Alloy during Pulsed Plasma Arc Deposition Process. J. Mater. Sci. Technol. 2013, 29, 480–488. [Google Scholar] [CrossRef]
- Yang, W.; Xi, C.; Chuan, S. Microstructure and mechanical properties of Inconel 625 fabricated by wire-arc additive manufacturing. Surf. Coat. Technol. 2019, 374, 116–123. [Google Scholar]
- Xu, X.; Ganguly, S.; Ding, J.; Seow, C.E.; Williams, S. Enhancing mechanical properties of wire + arc additively manufactured INCONEL 718 superalloy through in-process thermomechanical processing. Mater. Des. 2018, 160, 1042–1051. [Google Scholar] [CrossRef]
- Zhang, J.; Zhang, X.; Wang, X.; Ding, J.; Traoré, Y.; Paddea, S.; Williams, S. Crack path selection at the interface of wrought and wire + arc additive manufactured Ti-6Al-4V. Mater. Des. 2016, 104, 365–375. [Google Scholar] [CrossRef]
- Xu, X.; Ding, J.; Ganguly, S.; Williams, S. Investigation of process factors affecting mechanical properties of INCONEL 718 superalloy in wire + arc additive manufacture process. J. Mater. Process. Technol. 2019, 265, 201–209. [Google Scholar] [CrossRef]
- Mahadevan, S.; Nalawade, S.; Singh, J.B.; Verma, A.; Paul, B.; Ramaswamy, K. Evolution of δ Phase Microstructure in Alloy 718. In Proceedings of the 7th International Symposium on Superalloy 718 and Derivatives, Pittsburgh, PA, USA, 10–13 October 2010. [Google Scholar]
- Ram, G.D.J.; Reddy, A.V.; Rao, K.P. Improvement in stress rupture properties of Inconel 718 gas tungsten arc welds using current pulsing. J. Mater. Sci. 2005, 40, 1497–1500. [Google Scholar] [CrossRef]
- Madhusudhan, G.; Srinivasa, C.C.; Srinivas, K. Improvement of mechanical properties of Inconel 718 electron beam welds-influence of welding techniques and post weld heat treatment. Int. J. Adv. Manuf. Technol. 2009, 43, 671–680. [Google Scholar] [CrossRef]















| Ni | Cr | Nb + Ta | Mo | Ti | Al | Co | Mn | Fe |
|---|---|---|---|---|---|---|---|---|
| 52.3 | 18.81 | 5.33 | 3.2 | 0.96 | 0.53 | 0.35 | 0.15 | Bal. |
| Test ID | Interpass Cooling Strategy (ICS) | Test ID | Continuous Overlayer Strategy (COS) | TTS: Torch Travel Speed (mm/min) | WFS: Wire Feed Speed (m/min) | DR: Deposition Rate (kg/h) |
|---|---|---|---|---|---|---|
| A_ICS | 180 s | A_COS | 500 °C | 402 | 6.0 | 3.33 |
| B_ICS | 180 s | B_COS | 500 °C | 230 | 2.5 | 1.39 |
| C_ICS | 180 s | C_COS | 500 °C | 230 | 1.5 | 0.83 |
| Test ID | V: Voltage (V) | I: Current (A) | Ew: Wire Energy (J/mm) | Ed: Deposition Energy (J/mm) | Em: Melting Energy (J/mm) | MR (J/J) |
|---|---|---|---|---|---|---|
| A_ICS-A_COS | 24 | 300 | 72 | 1075 | 5.1 | 0.07 |
| B_ICS-B_COS | 20 | 180 | 86,4 | 939 | 5.1 | 0.06 |
| C_ICS-C_COS | 20 | 180 | 144 | 939 | 5.1 | 0.04 |
© 2020 by the authors. Licensee MDPI, Basel, Switzerland. This article is an open access article distributed under the terms and conditions of the Creative Commons Attribution (CC BY) license (http://creativecommons.org/licenses/by/4.0/).
Share and Cite
Artaza, T.; Bhujangrao, T.; Suárez, A.; Veiga, F.; Lamikiz, A. Influence of Heat Input on the Formation of Laves Phases and Hot Cracking in Plasma Arc Welding (PAW) Additive Manufacturing of Inconel 718. Metals 2020, 10, 771. https://doi.org/10.3390/met10060771
Artaza T, Bhujangrao T, Suárez A, Veiga F, Lamikiz A. Influence of Heat Input on the Formation of Laves Phases and Hot Cracking in Plasma Arc Welding (PAW) Additive Manufacturing of Inconel 718. Metals. 2020; 10(6):771. https://doi.org/10.3390/met10060771
Chicago/Turabian StyleArtaza, Teresa, Trunal Bhujangrao, Alfredo Suárez, Fernando Veiga, and Aitzol Lamikiz. 2020. "Influence of Heat Input on the Formation of Laves Phases and Hot Cracking in Plasma Arc Welding (PAW) Additive Manufacturing of Inconel 718" Metals 10, no. 6: 771. https://doi.org/10.3390/met10060771
APA StyleArtaza, T., Bhujangrao, T., Suárez, A., Veiga, F., & Lamikiz, A. (2020). Influence of Heat Input on the Formation of Laves Phases and Hot Cracking in Plasma Arc Welding (PAW) Additive Manufacturing of Inconel 718. Metals, 10(6), 771. https://doi.org/10.3390/met10060771

