Abstract
An alternative process of pre-roasting, phosphoric acid leaching followed by solvent extraction of a limonitic laterite ore was described in this work, with emphasis on the solvent extraction of Ni and Co from the phosphoric acid leaching solution by P204 and P507. First, the pH value of the leaching solution was adjusted using ammonia to reduce the content of Al3+ and Fe3+ by precipitation, then the content of Al3+, Fe3+ and Mn2+ were further decreased by extraction using P204. At last, Ni2+ and Co2+ were separated by three-stage extraction using P507. After extraction, the extraction ratio of Co2+ was 96.61%, while that of Ni2+ was 12.32%, and the selective extraction of Ni2+ and Co2+ could be realized.
1. Introduction
Nickel is widely used in the steel industry, military industry, aerospace, battery and other fields [1,2]. The nickeliferous resources on the earth are rich. Among them, nickel sulfide accounts for 30% of the total nickel resources, which mainly exists in cupreous nickel sulfide deposits. Nickel laterite ore accounts for about 70%, mostly in the form of oxidized ore deposits near the equator [1,3,4,5,6]. However, due to the increasing depletion of nickel sulphide resources, since 2010, the world’s nickel production from laterite ore has exceeded that of nickel sulphide ore, and the tendency is still rising [4,7,8]. After more than ten years of development, the pyrometallurgical process of laterite ore is relatively mature [9,10]. Generally speaking, the saprolitic laterite ore is treated by pyrometallurgical processes [11], while the laterite ore of limonitic type is more suitable for wet processes because of its low magnesia content [12].
The wet process of laterite nickel ore can be divided into two types: high pressure acid leaching and atmospheric pressure acid leaching. Most of the nickel in limonitic type laterite ores occurs in goethite (α-FeOOH) in the form of lattice substitution [5,12,13]. To leach out nickel, the lattice in goethite must be destroyed. Under normal pressure, goethite in laterite nickel ore is difficult to dissolve, which also leads to the two problems that need to be solved in the atmospheric acid leaching process of laterite ore: (1) the leaching ratio of nickel is low and (2) the leaching selectivity of nickel and iron is poor [12,13]. In the process of high pressure acid leaching, the structure of goethite can be destroyed, and iron ions will precipitate in the form of hematite [14], which could solve these two problems above. However, harsh operating conditions, including high temperature and high pressure (250–270 °C, 4–5 MPa), are required during the process of high pressure acid leaching [14,15]. If the goethite structure in the ore can be destroyed before leaching, the treatment effect of the wet process will be strengthened and can be leached under atmospheric pressure. After the laterite is roasted in the air at low temperature (200–500 °C), the goethite phase in the ore removes the original free water and crystal water, thus changing the original ore phase structure and forming nano voids, resulting in the increase of the specific surface area of laterite nickel ore, which is conducive to the increase of the contact between ore and acid solution in the subsequent leaching process [16,17,18,19,20]. Li et al. [21] of Central South University studied the hydrochloric acid leaching process of laterite nickel ore by activation roasting. After roasting for 1 h at 300 °C, under the condition that the concentration of hydrochloric acid solution is 4mol/L, the leaching time is 1h and the temperature is 50 °C, the leaching rate of nickel increased from 67.1% to 93%, and the leaching rate of iron reduced from 78% to 32.5%, compared with direct leaching.
In addition, other impurity elements will inevitably be mixed in the leaching solution after acid leaching. Usually, solvent extraction is an effective method to separate valuable elements and impurities. Solvent extraction has a series of advantages, such as high productivity, high recovery ratio, low cost and simple operation. P204, P507 and Cyanex272 are commonly used in the extraction of Ni and Co [22]. Sun et al. [23] used a novel synergic extractant consisting of P204 and N235 with sulfonated kerosene (SK) as a diluent to remove ferric ions from aluminum solutions. The results showed that under optimal conditions, the Fe removal was greater than 97% in only one contact. Sun et al. [24] studied the synergistic solvent extraction of nickel by the Mextral 84H/Versatic 10 system and Mextral 84H/P204 system. The results showed that for the extraction ability of nickel, the three extractants for nickel arranged in the ascending order of P204 > Mextral 84H > Versatic 10. With the addition of P204 into the Mextral 84H system, “a significant synergistic effect on nickel was observed”, while this change hardly occurred after Versatic 10 was added into. Presumably, P204 participated in the reaction between nickel and Mextral 84H, thus forming an octahedral complex with a formation of Ni(H2A2L2), which is more stable and hydrophobic than that in the single Mextral 84H. Zhang and Cai [25] used P204 to extract and recover Ni and Co in the electrochemical solution of high-temperature metallurgical waste. The process flow was using P204 to remove impurity first and then using P204 again to separate Ni and Co. The total recovery rate of Co reached 95%. Zhang and Qian [26] used the nickel sulfate solution with low impurity content as the raw material and P507 to remove impurities by extraction. Under the optimal conditions, the ratio of nickel sulfate solution to cobalt, copper, manganese and zinc could reach 20000:1 after purification, which met the production requirements of nickel sulfate.
Crundwell et al. [27] reported the solvent extraction of nickel and cobalt in three different solution environments: chloride, sulfate and ammonia solution. In general, cobalt is selectively extracted from the solution in chloride and sulfate solution system, leaving nickel in the solution. However, in ammonia solution, nickel is selectively extracted, while cobalt remains in the solution. The research object of this paper is phosphoric acid solution system, which is the same as that in the chloride and sulfate solution system. Ye et al. [28] studied the extraction behavior and mechanism of P204 for metal ions SC3+, Fe3+, Al3+ and Ca2+ in the phosphoric acid medium. The results showed that under the optimal conditions, the extraction ratio of scandium is more than 95% with the limited co-extraction of Fe3+, Al3+ and Ca2+, it is proved that different metal ions and phosphate anion form different coordination ions. The difference of hydrophilicity and hydrophobicity of these coordination ions is the main reason leading to the selective extraction in phosphoric acid system. Mohammad I El-Khaiary [29] studied the distribution of aluminum in Al3+–H3PO4–HDDNSA system and the reaction between Al3+ and HDDNSA. The results showed that with the increase of initial HDDNSA concentration, the extraction ratio of aluminum increased, while with the increase of phosphoric acid concentration, the extraction ratio of aluminum decreased. The nonlinear regression showed that Al3+ was extracted in the form of the Al (DDNSA)3 complex.
In this study, a new process, based on the previous research [12], which consists of pre-roasting, phosphoric acid leaching and the separation of Ni2+ and Co2+ in the leaching solution using solvent extraction was explored.
2. Materials and Methods
2.1. Materials
2.1.1. Laterite Ore
The limonitic laterite ore from Indonesia was used, which was characterized by low content of Mg and high content of Fe [12]. The chemical composition of laterite ore is shown in Table 1 and the XRD pattern of the raw ore is shown in Figure 1.
Table 1.
Chemical composition of nickel laterite wt.%.
Figure 1.
XRD pattern of the raw ore.
2.1.2. Chemical Reagents
The operation in the experimental process was mainly divided into two parts: leaching and solvent extraction. The phosphoric acid and extractants used in the test were of analytical purity, and the phosphoric acid was diluted to a certain molar concentration for backup use. Kerosene was used to dilute P204 and P507. Since ammonia was volatile, the operation relating to ammonia was carried out in the fume hood. The chemical reagents used in the experiments are shown in Table 2.
Table 2.
Reagents and specification used in the experiments.
2.2. Methods
2.2.1. Experimental Procedures
The experimental flowsheet is shown in Figure 2. Figure 2a shows the whole procedure of the experiment, which mainly includes leaching and solvent extraction. The leaching experiment is divided into two parts: pre-roasting and leaching. After pre-roasting, the goethite structure of laterite ore was destroyed, which improved the leaching efficiency. Therefore, the leaching of calcine could be carried out under atmospheric pressure. Then, solvent extraction was further carried out with the object of leaching solution. Figure 2b shows the extraction process. Firstly, ammonia is added to the leaching solution to adjust the pH, and iron and aluminum were precipitated at the same time. Then, the iron, aluminum and manganese were removed by P204. Finally, cobalt in the raffinate was extracted by P507 with three-stage extraction to separate nickel and cobalt.
Figure 2.
Experimental flowsheet: (a) Whole process and (b) Solvent extraction procedure.
2.2.2. Pre-Roasting
The purpose of pre-roasting is to alter the crystal structure of goethite within the ore and result in lattice defect during the transformation from goethite to hematite, which is favorable for the subsequent leaching of Ni and Co. An expanded-scale experiment was carried out this time to provide leaching solution for subsequent extraction experiments. First, 500 g dried laterite ore was put it into the porcelain boat, and the porcelain boat was put into the muffle furnace to roast in the air at 400 °C for 60 min, then the porcelain boat was taken out for cooling at room temperature naturally.
2.2.3. Phosphoric Acid Leaching
The leaching of roasted ore was carried out in a beaker. First, 250 g of raw material was weighed, and a certain concentration of phosphoric acid was added into the 3000 mL beaker. In order to prevent the aqueous in the leaching agent from evaporating, the beaker mouth was sealed with a plastic film, and the reaction time was recorded after the speed of the electric mixer was adjusted. The leaching condition was that the leaching temperature was 90 °C, the leaching time was 3 h, the initial concentration of phosphoric acid solution was 3 mol/L and the liquid-solid ratio was 10:1 (mL/g). After the leaching was completed, the solid-liquid mixture in the beaker was filtered by vacuum suction filter, and the content of Ni2+, Co2+, Al3+, Mg2+, Mn2+, Cr3+ and other metal ions in the obtained clarified filtration was determined by ICP after titrating to a certain volume. The filter residue was baked in the oven at 105 °C for 120 min and then stored in a sample bag for further detection. The filtrates were then used for extraction. The determination of leaching ratios of Fe, Co, Ni and other elements is shown in Equation (1).
where γ represents the leaching ratio of elements, %; C1 represents the ion concentration in the leaching solution, g/L; V1 represents the volume of the leaching solution, L; α represents the total content of elements of the dried or calcined laterite sample, wt.%; m0 represents the quality of the sample, g.
2.2.4. Solvent Extraction
P204 and P507 were used as extractants. The extraction process was as follows: firstly, P204 and P507 were diluted to a certain concentration with sulfonated kerosene. Then, a certain volume of leaching solution was measured, and the pH value of the leaching solution was adjusted with aqua ammonia. If there was precipitation, the leaching solution was filtered and the filtrate was taken and then clarified. Finally, the leaching solution and a certain concentration of extractant were mixed and added to the pear shaped separating funnel. After tightening the piston, it was placed in the constant temperature shaker and shaken for 20 min, then it was taken out and left standing. When the liquid in the separating funnel was obviously stratified, the aqueous phase in the lower part of the funnel and the organic phase in the upper part were collected respectively, and then the chemical analysis was carried out. The main evaluation index of extraction process is the extraction rate of elements. The calculation of extraction rate of different elements is shown in Equation (2).
where ε represents the extraction ratio of different metal ions, %; C1 represents the ion concentration in the leaching solution, g/L; V1 represents the volume of the leaching solution, L; C2 represents the ion concentration in the organic phase, g/L; V2 represents the volume of the organic phase, L.
The basic parameters of extraction experiment in this study are as follows: the saponification ratio was 50%, the ratio of aqueous phase to organic phase was 1:1, the extraction time was 20 min, and the extraction temperature was 25 °C. On this basis, the effects of other parameters such as pH value and extractant concentration on the results were studied in different experimental parts.
2.2.5. Characterization
The content of some metal elements in the raw material was determined by chemical titration. Mineral compositions were determined by an X-ray diffraction (XRD, RIGAKU, D/Max 2500, Japan with Cu Ka radiation), under the conditions of tube current and voltage: 250 mA, 40 kV, scanning range: 10–80 °(2θ), step size: 0.02 °(2θ) and scanning speed: 8°/min. The ion concentration of the leaching solution was analyzed by an inductively coupled plasma mass spectrometer (ICP-OES, Icap7400 Radial, Thermo Fisher Scientific, Waltham, MA, USA). The concentration range of the ions to be measured in the solution was between 0–200 ppm after the leaching solution was diluted in advance. The particle size distribution of laterite ore was performed by a Malvern Mastersize2000 laser particle size analyzer (Malvern, England), and the range of particle size was from 20 nm to 2 mm. LabRAM Aramis type Raman (Paris, France) was used to characterize the leaching solution. The condition of Raman spectrometric determination was that the excitation wavelength was 532 nm, the resolution was 1 cm−1, and the scanning range was 100–1500 cm−1.
3. Results and Discussion
3.1. Pre-Roasting and Phosphoric Acid Leaching
After pre-roasting, the phase and structure of calcine were changed. Figure 3 shows the X-ray diffraction analysis of laterite nickel ore roasted at 400 °C for 1 h, from which we can see that the main phase of calcine is hematite.
Figure 3.
XRD pattern of calcined laterite (400 °C, 60 min).
On the basis of pre-roasting, the leaching ratios of Ni and Co reached 99.28% and 90.88% respectively, while that of Fe was only 3.29%, which was slightly different from the previous experimental results. The leaching results in this study and the previous leaching results are shown in Table 3. Finally, the Fe3+ in the leaching solution combined with the phosphate to form the iron phosphate (Figure 4) and entered the leaching residue, realizing the selective leaching of Ni and Fe under atmospheric pressure, and the ideal leaching ratio was achieved.
Table 3.
The leaching results of pre-roasted laterite in phosphoric acid (%).
Figure 4.
The XRD patterns of the ore after leaching.
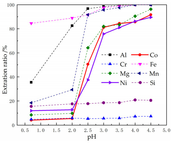
3.2. Effect of pH Change on the Composition of Leaching Solution
The leaching solution from the leaching process was collected. The initial pH value of the leaching solution was 0.70, and the ion concentrations are shown in Table 4.
Table 4.
Main chemical composition of leaching solution (g/L).
The results of Raman spectrum show that there are unionized H3PO4 and ionized H2PO4− in the leaching solution (Figure 5). By studying the ionization process of phosphoric acid, we can tell that in addition to H3PO4 and H2PO4−, there is a small amount of HPO42− and PO43− in the solution. It can be seen from Figure 6 that under the same concention of H3PO4, the pH of phosphate precipitation of each metal ion is different, which results in the precipitation sequence of different metal ions being different. By adjusting the pH value of the solution, the metal ions in the solution can generate phosphate precipitation to achieve the purpose of preliminary removal of impurity ions. At the same time, in the solvent extraction process, the pH value of the solution also needs to be adjusted to a suitable range, to have a better extraction effect. Because ammonia does not contain other impurity metal ions, it will not add impurity ions to the subsequent extraction process, and the pH adjustment process is easy to control, because of its weak alkalinity, and ammonia is selected to adjust the pH value of the solution to observe the precipitation effect of metal ions at different pH values and the effect of pH value on the extraction of metal ions in the solution.
Figure 5.
Raman spectroscopy pattern of the leaching solution.
Figure 6.
Initial precipitation pH of metals phosphate as the function of H3PO4 concentration.
3.2.1. Preliminary Separation of Impurity Metal Ions by Adjusting Solution pH to Precipitate
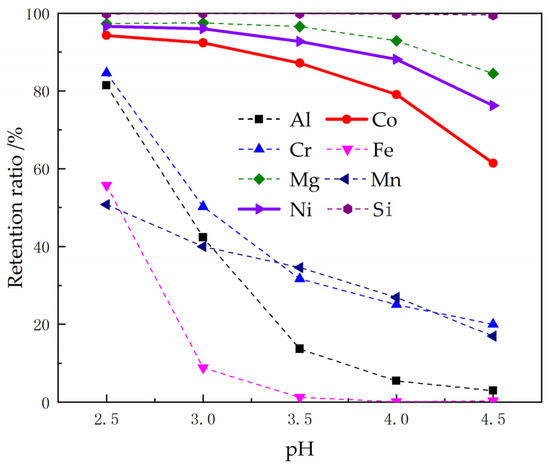
Ammonia was used to adjust the pH value of the solution. Figure 7 shows the influence of the pH on the precipitation of various ions. It can be seen from the figure that with the increase of pH value, the content of Fe3+ and Al3+ decreased rapidly, and the concentration of Ni2+ and Co2+ also decreased. However, the ratio of reduction of Ni2+ and Co2+ is far less than that of Fe3+ and Al3+. When the pH value of the solution increased to 4.5, the concentration of Al3+ in the solution decreased to 0.073 g/L, the concentration of Fe3+ decreased to 0.0055 g/L, and the precipitation ratios of Al3+ and Fe3+ reached 97.02% and 99.67%, respectively. Although the content of Fe3+ and Al3+ in the solution was very low at pH 4.5, the loss of Ni2+ and Co2+ was relatively large at this point, and the concentration were only 76.2% and 61.43% of the original leaching solution, respectively. Therefore, pH = 3 was preferred as the best pH value for precipitation of the metal ions in the leaching solution. Under this condition, the precipitation ratios of Al3+ and Fe3+ were 57.67% and 91.17%, respectively, while the loss of Ni2+ and Co2+ were only 3.95% and 7.62%.
Figure 7.
Effect of pH on precipitation of metals.
3.2.2. Influence of pH on the Extraction
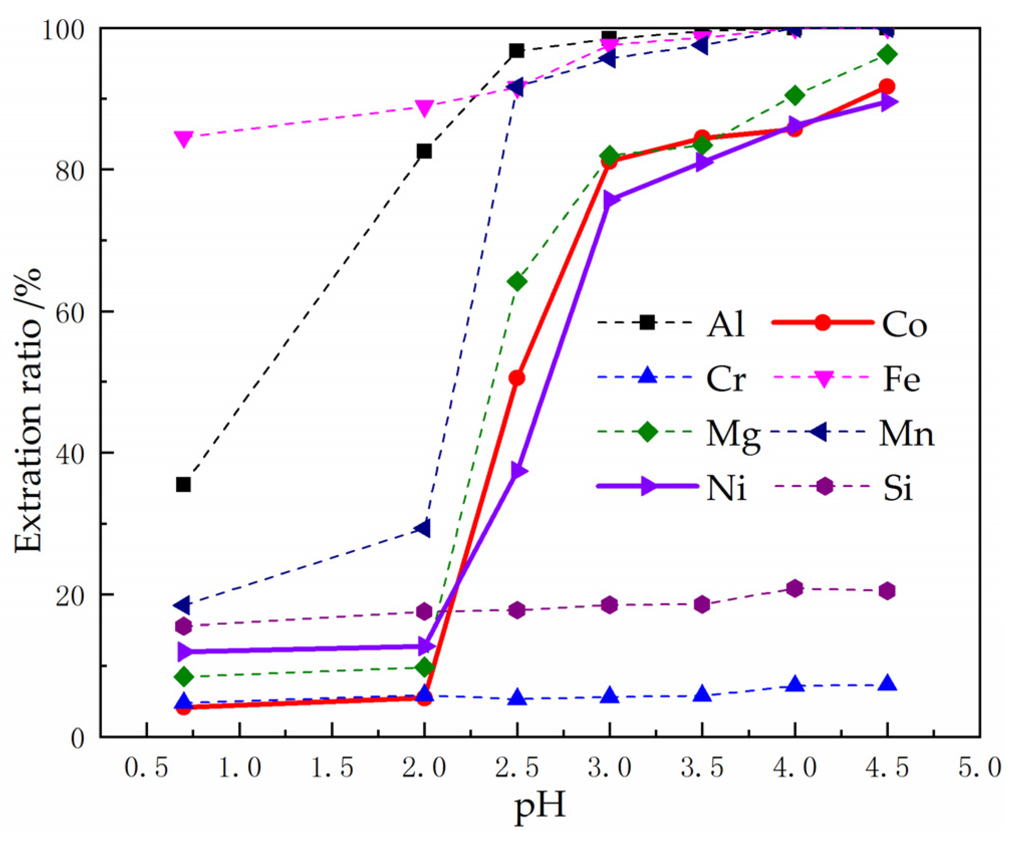
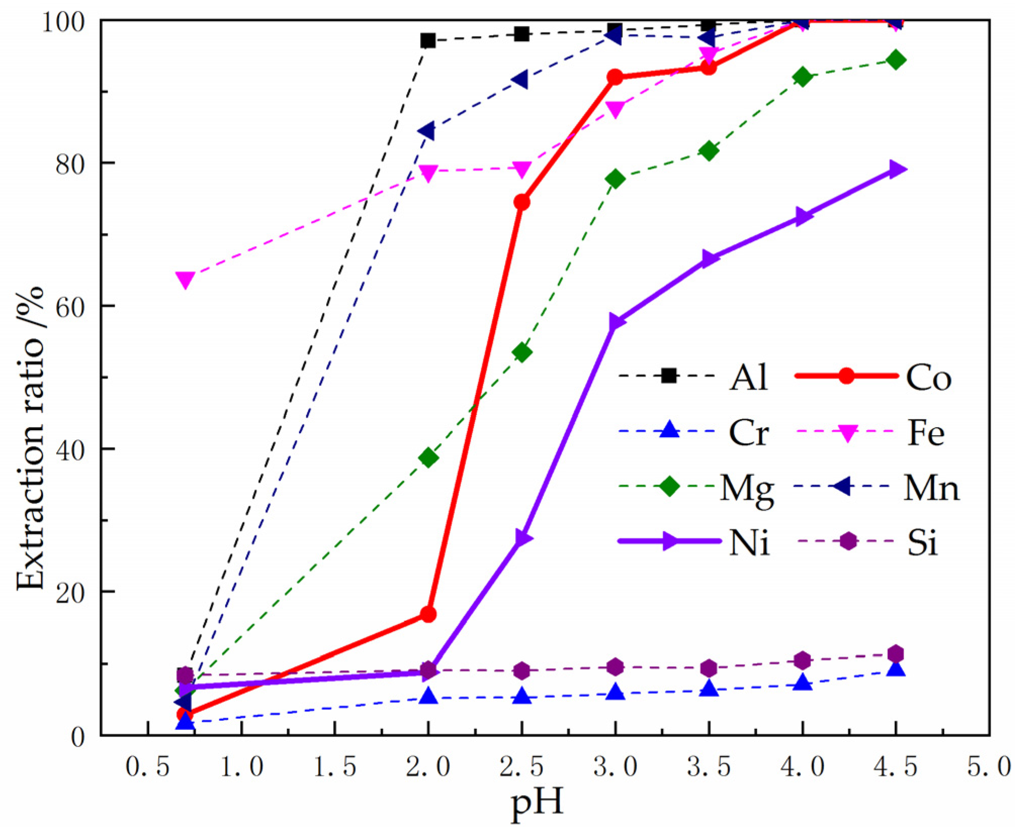
When P204 and P507 were used as extractants, the optimal extraction pH range of Al3+ was 3–4 [30]. At the same time, Fe3+ could also be extracted well in this pH range. The leaching effects of P204 and P507 were studied under different pH values. The results are shown in Figure 8 and Figure 9 in the following part.
Figure 8.
Effect of pH on the extraction of metals with P204.
Figure 9.
Effect of pH on the extraction of metals with P507.
Using P204 as Extractant
It can be seen from Figure 8 that when P204 was used as an extractant, silicon and chromium were not easily extracted, while the extraction ratios of other metal ions increased with the increase of pH value. In the extraction process, Al3+, Fe3+ and Mn2+ would be preferentially extracted by P204. When the pH value reached 3.0, the extraction ratios of Al3+, Fe3+ and Mn2+ were 98.47%, 99.59% and 97.56%, respectively, and the extraction ratios of Ni2+, Co2+ and Mg2+ were 75.72%, 81.14% and 81.96%, respectively.
Using P507 as Extractant
It can be seen from Figure 9 that in the same way as P204, the extraction ratios of chromium and silicon in the leaching solution were low, and the change of pH value had a limited effect on extraction. The extraction ratios of other metal ions increased with the increase of pH value of the solution. It can be also seen from the figure that P507 will preferentially extract Al3+, Fe3+ and Mn2+ in the acid solution. When the pH value of the solution reached 3.0, the extraction ratios of Al3+, Fe3+ and Mn2+ reached 98.53%, 87.71% and 97.87%, respectively, and the extraction ratios of Ni2+, Co2+ and Mg2+ were 57.71%, 92% and 77.75%, respectively.
As P204 and P507 preferentially extracted Fe3+, Al3+ and Mn2+ from the solution, impurities such as Fe3+, Al3+ and Mn2+ in the solution could be removed by extraction. Compared with P507, P204 has a better extraction effect on Fe3+ and Mn2+, and the price of P204 is cheaper than P507. Therefore, impurities such as Al3+, Fe3+ and Mn2+ in the solution can be selectively removed by adjusting P204 concentration. Because P507 has a stronger ability to extract cobalt, it was used to extract Co2+ from the solution after the impurities were removed.
3.3. Using P204 to Remove Al3+, Fe3+ and Mn2+
Due to the high content of Al3+ and Fe3+ in the leaching solution, in order to reduce the extraction pressure of P204, a part of Al3+ and Fe3+ were precipitated in the form of phosphate by adjusting the pH of the solution through ammonia. Considering the effect of pH on the precipitation and P204 extraction, the pH value of the solution was adjusted to 3.0. At this point, the precipitation ratios of Al3+, Fe3+ and Mn2+ were 57.67%, 91.17% and 60.0%, respectively, while the loss of Ni2+ and Co3+ were only 3.95% and 7.62%. After filtration, the precipitated filtrate was used as raw material and P204 was used as the extractant in the filtrate. The influence of different P204 concentrations on the extraction effect of various metal ions in the leaching solution was explored. The extraction result is shown in Figure 10.
Figure 10.
Effect of P204 concentration on the extraction of metals.
It can be seen from Figure 10 that the extraction ratios of all metal ions increased with the increase of P204 concentration, and especially the extraction effect of Fe3+ and Al3+ was better. When the concentration of P204 was 5%, the extraction ratios of Al3+ and Fe3+ reached 67.44% and 82%. With the increase of extractant concentration, their extraction ratios gradually increased. However, if the concentration of the extractant was too high, the extraction ratios of Ni2+ and Co2+ would rise synchronously. When the concentration of P204 was 20%, Al3+ and Fe3+ were completely extracted, but the extraction ratios of Ni2+ and Co2+ also reached 27% and 36%. In order to achieve the selective separation of Ni2+ and Co2+, 10% P204 was selected as the best extractant concentration. At this point, the extraction ratios of Al3+ and Fe3+ were 99.36% and 96.3%, respectively, while the extraction ratios of Ni2+ and Co2+ were only 4% and 5%, respectively. The residual concentrations of Al3+ and Fe3+ in the raffinate were 5.5 mg/L and 3.7 mg/L. Due to the low content of Mn2+ in the solution, although the extraction ratio of Mn2+ was 65.39%, the concentration of Mn2+ had dropped to 9.7 mg/L. The concentrations of Ni2+ and Co2+ in the raffinate were 0.96 g/L and 0.095 g/L. Chromium and silicon were basically not extracted.
3.4. Using P507 to Extract Co2+ from Raffinate
P507 has a much stronger extraction capacity for cobalt than for nickel [26]. In order to achieve the selective separation of Ni2+ and Co2+ in the extraction solution, P507 was selected as the extractant to extract Co2+ from the solution after removing impurity. The effect of P507 concentration on the extraction effect of various metal ions in the leaching solution was investigated. The extraction result is shown in Figure 11.
Figure 11.
Effect of P507 concentration on extraction of metal ions.
It can be seen from the figure that in the process of increasing the concentration of P507 from 2% to 30%, the extraction ratios of Co2+ and Mg2+ increased rapidly, while the change of the extraction ratio of Ni2+ was different. When the concentration of P507 was lower than 10%, the extraction ratio of Ni2+ increased slowly. However, when the concentration of P507 was higher than 10%, the extraction ratio of Ni2+ increased rapidly, and the separation coefficient of Ni2+ and Co2+ decreased. According to the results in the figure, when the concentration of P507 was 8%, the separation coefficient of Ni2+ and Co2+ were the largest, but the extraction ratio of Co2+ was also low, only 54.2%, and the extraction ratio of Ni2+ was 2.51%. Therefore, in order to improve the comprehensive extraction ratio of Co2+ and reduce the extraction ratio of Ni2+, it was decided to adopt the multi-stage extraction method to extract Co2+. The specific result is shown in Table 5, after three-stage extraction, the extraction ratio of Co2+ reached 96.61%, while that of Ni2+ was 12.32%. For the raffinate, the content of cobaltl has reached the requirement of the electrolytic nickel industry (Table 6). For organic phase containing 0.0918g/L cobalt and 0.1182g/L nickel, Ni and Co are not completely separated, which cannot meet the production purity requirements (Co ≥ 99.8%) of the electrolytic cobalt process. In a future study, further research is needed to improve this part of the process.
Table 5.
Extraction ratios of different ions %.
Table 6.
Standard for cobalt content of electrolytic nickel %.
4. Conclusions
In this study, a new process for the high value-added utilization of limonitic laterite ore was established: pre-roasting-phosphoric acid leaching-solvent extraction. After pre-roasting and phosphoric acid leaching, the separation of Ni and Co from the leaching solution was primarily investigated in this work. The main conclusions are as follows:
(1) A change of pH value in the solution will not only lead to the precipitation of impurity metal ions, but also affect the extraction ratio. Although the precipitation separation of impurity metal ions can be realized by adjusting the pH value of the solution, some valuable metal ions, such as Ni2+ and Co2+, will be absorbed by the impurity metal ions during the precipitation process. When the optimal pH value of the solution is 3.0, the precipitation ratios of Al3+ and Fe3+ are 57.67% and 91.17%, respectively, while the loss of Ni2+ and Co2+ are only 3.95% and 7.62%.
(2) Two different extractants P204 and P507 were selected to investigate the effect of pH value on the extraction of various metal ions in the solution. Under the condition of pH = 3, the extraction system of P204 was established to remove Fe3+, Al3+, and Mn2+ in advance. After extraction, the extraction ratios of Fe3+ and Al3+ reached 96.3% and 99.36%, respectively, and that of Mn2+ was 65.39%. The concentration of Mn2+ in the solution decreased to 9.7 mg/L, and those of Ni2+ and Co2+ were only 4% and 5%, respectively.
(3) Ni2+ and Co2+ were extracted and separated from the raffinate by P507 under the condition of 8% concentration of P507. After three-stage extraction, the extraction ratio of Co2+ reached 96.61%, while that of Ni2+ was 12.32%. The preliminary selective extraction of Ni2+ and Co2+ was realized.
Author Contributions
Conceptualization, T.J., and G.L.; methodology, M.R. and J.L.; investigation, Q.Z., T.Z. and X.Z.; writing—original draft, T.Z.; writing—review and editing, M.R., and J.L.; supervision, Z.P. and Z.Z.; funding acquisition, J.L. and M.R. All authors have read and agreed to the published version of the manuscript.
Funding
This research was funded by the National Natural Science Foundation of China (Grant Nos. 51904341 and 51804346) and the Hunan Provincial Natural Science Foundation of China (Grant No. 2019JJ50806).
Conflicts of Interest
The authors declare no conflict of interest.
References
- Supriyatna, Y.I.; Sihotang, I.H.; Sudibyo, A. Preliminary Study of Smelting of Indonesian Nickel Laterite Ore using an Electric Arc Furnace. Mater. Today Proc. 2019, 13, 127–131. [Google Scholar] [CrossRef]
- Mudd, G.M. Global trends and environmental issues in nickel mining: Sulfides versus laterites. Ore Geol. Rev. 2010, 38, 9–26. [Google Scholar] [CrossRef]
- Kim, J.; Dodbiba, G.; Tanno, H.; Okaya, K.; Matsuo, S.; Fujita, T. Calcination of low-grade laterite for concentration of Ni by magnetic separation. Min. Eng. 2010, 23, 282–288. [Google Scholar] [CrossRef]
- Farrokhpay, S.; Fornasiero, D.; Filippov, L. Upgrading nickel in laterite ores by flotation. Min. Eng. 2018, 121, 100–106. [Google Scholar] [CrossRef]
- Mu, W.; Lu, X.; Cui, F.; Luo, S.; Zhai, Y. Transformation and leaching kinetics of silicon from low-grade nickel laterite ore by pre-roasting and alkaline leaching process. Trans. Nonferr. Met. Soc. China 2018, 28, 169–176. [Google Scholar] [CrossRef]
- Zhou, S.; Wei, Y.; Li, B.; Wang, H.; Ma, B.; Wang, C.; Luo, X. Mineralogical characterization and design of a treatment process for Yunnan nickel laterite ore, China. Int. J. Min. Process. 2017, 159, 51–59. [Google Scholar] [CrossRef]
- Chen, S.; Guo, S.; Jiang, L.; Xu, Y.; Ding, W. Thermodynamic of selective reduction of laterite ore by reducing gases. Trans. Nonferr. Met. Soc. China 2015, 25, 3133–3138. [Google Scholar] [CrossRef]
- Garces-Granda, A.; Lapidus, G.T.; Restrepo-Baena, O.J. The effect of calcination as pre treatment to enhance the nickel extraction from low-grade laterites. Min. Eng. 2018, 120, 127–131. [Google Scholar] [CrossRef]
- Maragkos, I.; Giannopoulou, I.P.; Panias, D. Synthesis of ferronickel slag-based geopolymers. Min. Eng. 2009, 22, 196–203. [Google Scholar] [CrossRef]
- Warner, A.; Diaz, C.M.; Dalvi, A.D.; Mackey, P.J.; Tarasov, A.V. JOM World Nonferrous Smelter Survey, part III: Nickel: Laterite. JOM 2006, 58, 11–20. [Google Scholar] [CrossRef]
- Rao, M.; Li, G.; Jiang, T.; Luo, J.; Zhang, Y.; Fan, X. Carbothermic Reduction of Nickeliferous Laterite Ores for Nickel Pig Iron Production in China: A Review. Jom-Us 2013, 65, 1573–1583. [Google Scholar] [CrossRef]
- Li, G.; Zhou, Q.; Zhu, Z.; Luo, J.; Rao, M.; Peng, Z.; Jiang, T. Selective leaching of nickel and cobalt from limonitic laterite using phosphoric acid: An alternative for value-added processing of laterite. J. Clean. Prod. 2018, 189, 620–626. [Google Scholar] [CrossRef]
- Li, G.; Rao, M.; Jiang, T.; Huang, Q.; Peng, Z. Leaching of limonitic laterite ore by acidic thiosulfate solution. Min. Eng. 2011, 24, 859–863. [Google Scholar] [CrossRef]
- McDonald, R.G.; Whittington, B.I. Atmospheric acid leaching of nickel laterites review. Hydrometallurgy 2008, 91, 35–55. [Google Scholar] [CrossRef]
- Guo, X.; Shi, W.; Li, D.; Tian, Q. Leaching behavior of metals from limonitic laterite ore by high pressure acid leaching. Trans. Nonferr. Met. Soc. China 2011, 21, 191–195. [Google Scholar] [CrossRef]
- Landers, M.; Gilkes, R. Dehydroxylation and dissolution of nickeliferous goethite in New Caledonian lateritic Ni ore. Appl. Clay Sci. 2007, 35, 162–172. [Google Scholar] [CrossRef]
- Landers, M.; Gilkes, R.; Wells, M. Dissolution kinetics of dehydroxylated nickeliferous goethite from limonitic lateritic nickel ore. Appl. Clay Sci. 2009, 42, 615–624. [Google Scholar] [CrossRef]
- Li, J.; Bunney, K.; Watling, H.R.; Robinson, D.J. Thermal pre-treatment of refractory limonite ores to enhance the extraction of nickel and cobalt under heap leaching conditions. Min. Eng. 2013, 41, 71–78. [Google Scholar] [CrossRef]
- Liu, H.; Chen, T.; Zou, X.; Qing, C.; Frost, R.L. Thermal treatment of natural goethite: Thermal transformation and physical properties. Thermochim. Acta 2013, 568, 115–121. [Google Scholar] [CrossRef]
- Löffler, L.; Mader, W. Anisotropic X-ray peak broadening and twin formation in hematite derived from natural and synthetic goethite. J. Eur. Ceram. Soc. 2006, 26, 131–139. [Google Scholar] [CrossRef]
- Li, J.; Li, X.; Hu, Q.; Wang, Z.; Zhou, Y.; Zheng, J.; Liu, W.; Li, L. Effect of pre-roasting on leaching of laterite. Hydrometallurgy 2009, 99, 84–88. [Google Scholar] [CrossRef]
- Liu, M.; Zhou, G.; Wen, J. Separation of divalent cobalt and nickel ions using a synergistic solvent extraction system with P507 and Cyanex272. Chin. J. Process Eng. 2012, 12, 415–419. [Google Scholar]
- Sun, Q.; Yang, L.; Huang, S.; Xu, Z.; Li, Y.; Wang, W. Synergistic solvent extraction of nickel by 2-hydroxy-5-nonylacetophenone oxime mixed with neodecanoic acid and bis(2-ethylhexyl) phosphoric acid: Stoichiometry and structure investigation. Min. Eng. 2019, 132, 284–292. [Google Scholar] [CrossRef]
- Sun, X.; Sun, Y.; Yu, J. Removal of ferric ions from aluminum solutions by solvent extraction, part I: Iron removal. Sep. Purif. Technol. 2016, 159, 18–22. [Google Scholar] [CrossRef]
- Zhang, Y.; Cai, C. Recovery of copper and cobalt from alloy scraps under high temperature. Copp. Eng. 2000, 2, 34–36. (In Chinese) [Google Scholar]
- Zhang, S.; Qian, X. Analysis and Control of Influencing Factors of P507 De-impurity Process. Chem. Enterp. Manag. 2019, 7, 203–204. (In Chinese) [Google Scholar]
- Crundwell, F.K.; Moats, M.S.; Ramachandran, V.; Robinson, T.G.; Davenport, W.G. Separation of Nickel and Cobalt by Solvent Extraction. In Extractive Metallurgy of Nickel, Cobalt, and Platinum Group Metals; Elsevier: New York, NY, USA, 2011; pp. 315–326. [Google Scholar]
- Ye, Q.; Li, G.; Deng, B.; Luo, J.; Rao, M.; Peng, Z.; Zhang, Y.; Jiang, T. Solvent extraction behavior of metal ions and selective separation Sc3+ in phosphoric acid medium using P204. Sep. Purif. Technol. 2019, 209, 175–181. [Google Scholar] [CrossRef]
- El-Khaiary, M.I. Extraction of Al(iii) from phosphoric acid by HDDNSA. Sep. Purif. Technol. 1997, 12, 13–16. [Google Scholar] [CrossRef]
- Wu, W.; Li, D.; Zhao, Z.; Chen, J.; Zhang, F.; Yin, S.; Qian, M.; Bian, X. Formation mechanism of micro emulsion on aluminum and lanthanum extraction in P507-HCl system. J. Rare Earths 2010, 28, 174–178. [Google Scholar] [CrossRef]
© 2020 by the authors. Licensee MDPI, Basel, Switzerland. This article is an open access article distributed under the terms and conditions of the Creative Commons Attribution (CC BY) license (http://creativecommons.org/licenses/by/4.0/).










