Life Satisfaction: Insights from the World Values Survey
Abstract
1. Introduction
2. Related Work
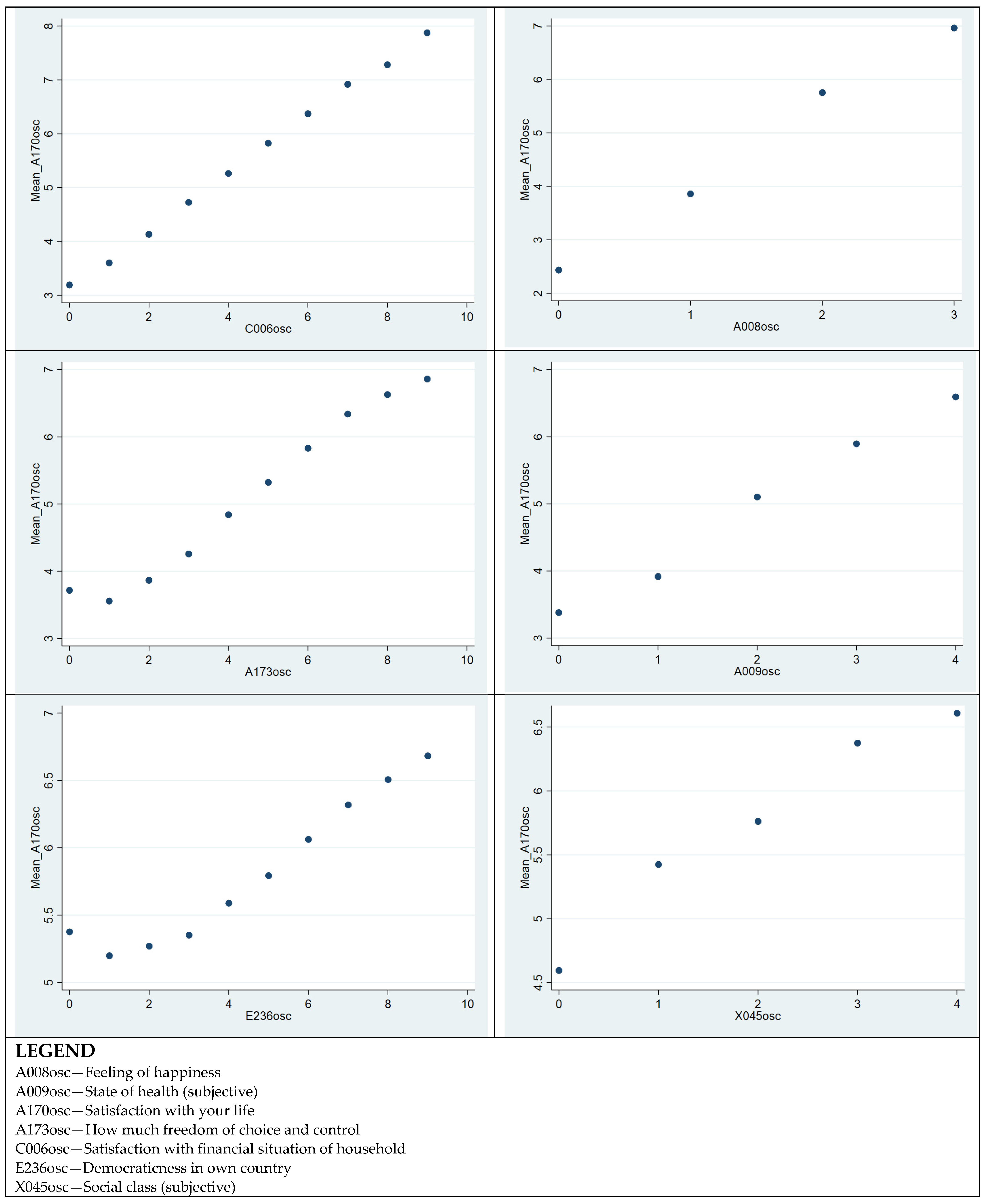
3. Materials and Methods
- (a)
- The use of the Naïve Bayes classification algorithm inside the Microsoft DM add-in for spreadsheets (Figure 3) that works together with SQL Server Analysis Services 2016 (as model persistence layer) in a Windows 10 Professional X64 virtual machine (VM—Oracle Virtual Box) configured with 16 GB of RAM of those 32 of the physical machine (Windows 8.1 Professional X64 used for Adaptive Boosting) and two physical cores of those four (Intel Core I7 4710HQ CPU);
- (b)
- The use of filter options applied to the results of a correlation command (PCDM) for selections in Stata 17 (invoked for both forms of the target variable, namely A170 and A170bin, Figure 4) inside the same VM. First, they meant a minimum threshold of 0.1 [68] for the absolute values of pairwise correlation coefficients [69] between each recoded variable from the previous step and the one to analyze. In addition, a maximum accepted p-value (max p = 0.001) and a minimum support afferent to a minimum number of valid observations for the target variable (at least half the total corresponding number—444,917/2, Figure 4) for each pair.
- n! is “n—factorial” or 1 × 2 × … × n;
- k! is “k—factorial” or 1 × 2 × … × k;
- (n − k)! is “(n − k)—factorial” or 1 × 2 × … × (n − k).
4. Results


5. Discussion
5.1. Main Findings
5.2. Socio-Demographic Findings
6. Limitations and Future Research Directions
- (a)
- Dataset Constraints: The study uses data from the World Values Survey (WVS), which, while comprehensive, may have limitations in terms of geographic and cultural coverage. Certain regions or cultures might be underrepresented, affecting the generalizability of the findings. Moreover, there is the impossibility of applying the obtained models to a specific list of countries. For instance, the quad-core model does not apply to respondents from Israel (no responses for variables A009, A173, and C006). The same happens for the penta-core model in the case of 16 countries out of a total of 108, namely Albania, Bosnia-Herzegovina, Croatia, Dominican Republic, El Salvador, Israel, Kuwait, Latvia, Lithuania, Montenegro, Qatar, Saudi Arabia, Uganda, North Macedonia, Tanzania, and Uzbekistan (no responses also for E236);
- (b)
- Temporal Limitations: The data spans several versions of the WVS, but the temporal changes and trends over time might not be fully captured or addressed, limiting insights into how life satisfaction determinants evolve;
- (c)
- Self-Reported Measures: The reliance on self-reported data for variables like financial satisfaction, happiness, and health can introduce biases, such as social desirability bias or inaccuracies in self-assessment;
- (d)
- Omitted Variables: Despite rigorous selection processes, there might be other relevant determinants of life satisfaction that were not included in the analysis, leading to omitted variable bias;
- (e)
- Cross-Sectional Nature: The study is based on cross-sectional data; therefore, it limits the ability to draw causal inferences. Longitudinal studies would be more robust in establishing cause-and-effect relationships;
- (f)
- Complex Interactions: The interactions between variables (e.g., how financial satisfaction and health together influence life satisfaction) might be complex and not fully explored in the study.
- (I)
- Cultural and Regional Specificity: More region-specific or culture-specific studies could help identify unique determinants of life satisfaction that are relevant to specific populations, providing a more nuanced understanding;
- (II)
- Considering Additional Variables: Expanding the range of variables to include factors like environmental quality, social networks, work-life balance, and country-level indices could provide a more comprehensive view of life satisfaction determinants;
- (III)
- Methodological Innovations: Employing newer statistical and machine learning techniques could enhance the robustness and predictive power of the models. Techniques such as deep learning or more sophisticated related models could be explored;
- (IV)
- Qualitative Research: Integrating qualitative research methods, such as interviews or focus groups, can provide deeper insights into the subjective aspects of life satisfaction that quantitative data alone might miss;
- (V)
- Policy Impact Studies: Research examining how specific policies (e.g., economic, health, or social policies) directly impact life satisfaction could provide actionable insights for policymakers;
- (VI)
- Dynamic Modeling: Developing dynamic models that account for the feedback loops and interactions between determinants over time could offer a more detailed understanding of life satisfaction dynamics;
- (VII)
- Comparative Studies: Conducting comparative studies between different countries or regions could highlight the role of different socio-political and economic contexts in shaping life satisfaction.
7. Conclusions
Funding
Institutional Review Board Statement
Informed Consent Statement
Data Availability Statement
Conflicts of Interest
List of Abbreviations
| AIC | Akaike Information Criterion |
| AUC-ROC | Area under the ROC Curve |
| BIC | Bayesian Information Criterion |
| BMA | Bayesian Model Averaging |
| CPU | Central Processing Unit |
| CSV | Comma-Separated Values (data format) |
| CVLASSO | Cross-Validation LASSO (a statistical variable selection command in Stata) |
| DK/NA | Don’t Know or No Answer/No Opinion or Not Applicable/Not Asked |
| ESTOUT | Package and command in Stata responsible for assembling (in the console) a regression table from one or more models previously fitted and stored |
| ESTSTO | Command in Stata able to store details about regression models previously fitted |
| ESTTAB | Command in Stata responsible for assembling (in the console or as an external file) a regression table from one or more models previously stored |
| GB | Gigabyte |
| GDP | Gross Domestic Product |
| H1-H5 | The five hypotheses of this study |
| LASSO | Least Absolute Shrinkage and Selection Operator (a statistical variable selection technique) |
| LOGIT | Logistic Model |
| MELOGIT | Mixed-Effects LOGIT |
| MEM | Model Evaluation Metrics (a statistical reporting command in Stata) |
| MEOLOGIT | Mixed-Effects Ordered LOGIT |
| MP | Multi-Processing |
| MSPE | Mean Squared Prediction Error |
| OLOGIT | Ordered LOGIT |
| OLS | Ordinary Least Squares (a common technique for estimating coefficients of linear regression equations) |
| PCDM | Pairwise Correlation-based Data Mining (a statistical variable selection command in Stata) |
| PIP | Posterior Inclusion Probability |
| RAM | Random Access Memory |
| RLASSO | Rigorous LASSO (a statistical variable selection command in Stata) |
| ROC | Receiver Operating Characteristic (a curve able to measure the accuracy of a classification/diagnostic test) |
| SQL | Structured Query Language |
| SSC | Statistical Software Components (from the Boston College Archive) |
| URL | Uniform Resource Locator (a reference to a web resource specifying its network location or the retrieving mechanism) |
| VIF | Variance Inflation Factor (a measure of the amount of multicollinearity in a regression analysis) |
| VM | Virtual Machine |
| WVS | World Values Survey (a global research project exploring people’s values and beliefs) |
Appendix A
| Listing A1. Stata recoding script with numbered lines applicable at least to WVS datasets and meant to drop DK/NA values coded as negative ones and responsible for artificially increasing the scale of some variables (available online at https://drive.google.com/u/0/uc?id=14LZgXMVyg57lD0ytIEcf_x8o6_5H9Eh2&export=download [accessed on 19 June 2024]). |
| 1 local nvar=c(k) |
| 2 local k=0 |
| 3 foreach v of varlist_all { |
| 4 local k=‘k’+1 |
| 5 di “Removing DK/NA from VAR.‘v’=`: var label ‘v’‘“ |
| 6 capture replace ‘v’=. if ‘v’!=. & ‘v’ < 0 |
| 7 if !_rc { |
| 8 di “OK!” |
| 9 } |
| 10 else { |
| 11 di “EXCEPTION !!!” |
| 12 } |
| 13 local perc=int(‘k’/‘nvar’*100) |
| 14 window manage maintitle “Removing DK/NA: Step ‘k’ of ‘nvar’ (‘perc’% done)!” |
| 15 } |
| 16 window manage maintitle “Stata” |
| Listing A2. Simple Stata script for deriving the binary form of the target variables (WVS datasets). (available online at https://tinyurl.com/4rkvtdj8 [accessed on 19 June 2024]). |
| 1 gen A170bin=. |
| 2 replace A170bin=0 if A170!=. & A170>=1 & A170<=5 |
| 3 replace A170bin=1 if A170!=. & A170<=10 & A170>=6 //Satisfaction with your life—Binary format |
| Listing A3. Simple Stata script for optimizing scales (OSC—aligned to 0 and, in some cases, reversed) for some resilient influences (online at https://tinyurl.com/23m22bkr [accessed on 19 June 2024]). |
| gen A170osc=. |
| replace A170osc = A170-1 if A170!=. & A170>0 |
| gen E236osc=. |
| replace E236osc = E236-1 if E236!=. & E236>0 |
| gen C006osc=. |
| replace C006osc = C006-1 if C006!=. & C006>0 |
| gen A173osc=. |
| replace A173osc = A173-1 if A173!=. & A173>0 |
| gen A009osc=. |
| replace A009osc=5-A009 if A009!=. & A009>0 |
| gen A008osc=. |
| replace A008osc=4-A008 if A008!=. & A008>0 |
| gen X001osc_fem=. |
| replace X001osc_fem=X001-1 if X001!=. & X001>0 |
| gen X007osc=. |
| replace X007osc=6-X007 if X007!=. & X007>0 |
| gen X011osc=. |
| replace X011osc=X011 if X011!=. & X011>=0 |
| gen X025osc=. |
| replace X025osc=X025-1 if X025!=. & X025>0 |
| gen X028osc=. |
| replace X028osc=8-X028 if X028!=. & X028>0 |
| gen X045osc=. |
| replace X045osc=5-X045 if X045!=. & X045>0 |
| gen X047_WVSosc=. |
| replace X047_WVSosc=X047_WVS-1 if X047_WVS!=. & X047_WVS>0 |
| gen X049osc=. |
| replace X049osc=X049-1 if X049!=. & X049>0 |
| gen S002VSosc=. |
| replace S002VSosc=S002VS-1 if S002VS!=. & S002VS>0 |
| Variable | Short Description | Coding Details |
|---|---|---|
| A170 | Satisfaction with your life (target variable—scale form) | 1—Dissatisfied … 10—Satisfied |
| A170osc | Same as above, but recoded (optimized scale) | A170osc = A170—1 |
| A170bin | Satisfaction with your life (target variable—binary form) | 1—for A170 >= 6 and <=10; 0—for A170 >= 0 and <=5 |
| A008 | Feeling of happiness (important in life category) | 1—Very happy; 2—Quite happy; 3—Not very happy; 4—Not at all happy |
| A008osc | Same as above, but recoded (optimized scale) | A008osc = 4—A008 |
| A009 | State of health (important in life category) | 1—Very good; 2—Good; 3—Fair; 4—Poor; 5—Very poor |
| A009osc | Same as above, but recoded (optimized scale) | A009osc = 5—A009 |
| A173 | How much freedom of choice and control | 1—Not at all … 10—A great deal |
| A173osc | Same as above, but recoded (optimized scale) | A173osc = A173—1 |
| C006 | Satisfaction with financial situation of household | 1—Dissatisfied … 10—Satisfied |
| C006osc | Same as above, but recoded (optimized scale) | C006osc = C006—1 |
| D002 | Satisfaction with home life | 1—Dissatisfied … 10—Satisfied |
| E235 | Importance of democracy | 1—Not at all important … 10—Absolutely important |
| E236 | Democracy in own country | 1—Not at all democratic … 10—Completely democratic |
| E236osc | Same as above, but recoded (optimized scale) | E236osc = E236—1 |
| X001 | Gender | 1—Male; 2—Female |
| X001osc_fem | Female gender (optimized) | X001osc_fem = X001—1 |
| X003 | Age | in years between 13 and 103 |
| X007 | Marital status | 1—Married; 2—Living together as married; 3—Divorced; 4—Separated; 5—Widowed; 6—Single/Never married |
| X007osc | Same as above, but recoded (optimized scale) | X007osc = 6—X007 |
| X011/X011osc | How many children do you have | 0—No child; 1—1 child; 2—2 children … 5—5 children or more |
| X025 | Highest educational level attained | 1—Inadequately completed elementary education; 2—Completed (compulsory) elementary education; 3—Incomplete secondary school: technical/vocational type; 4—Complete secondary school: technical/vocational type; 5—Incomplete secondary: university-preparatory type; 6—Complete secondary: university-preparatory type; 7—Some university without degree/Higher education—lower-level; 8—University with degree/Higher education—upper-level tertiary |
| X025osc | Same as above, but recoded (optimized scale) | X025osc = X025—1 |
| X028 | Employment status | 1—Full time; 2—Part time; 3—Self-employed; 4—Retired; 5—Housewife; 6—Students; 7—Unemployed; 8—Other |
| X028osc | Same as above, but recoded (optimized scale) | X028osc = 8—X028 |
| X045 | Social class | 1—Upper class; 2—Upper middle class; 3—Lower middle class; 4—Working class; 5—Lower class |
| X045osc | Same as above, but recoded (optimized scale) | X045osc = 5—X045 |
| X047_WVS | Scale of incomes | 1—Lowest step; 2—Second step … 10—Tenth step; 11—Highest step |
| X047_WVSosc | Same as above, but recoded (optimized scale) | X047_WVSosc = X047_WVS—1 |
| X049 | Settlement size | 1—under 2000; 2—2000–5000; 3—5000–10,000; 4—10,000–20,000; 5—20,000–50,000; 6—50,000–100,000; 7—100,000–500,000; 8—500,000 and more |
| X049osc | Same as above, but recoded (optimized scale) | X049osc = X049—1 |
| S002VS | Chronology of EVS-WVS waves | 1—1981–1984; 2—1989–1993; 3—1994–1998; 4—1999–2004; 5—2005–2009; 6—2010–2014; 7—2017–2022 |
| S002VSosc | Same as above, but recoded (optimized scale) | S002VSosc = S002VS—1 |
| S003 | ISO 3166-1 numeric country code | 4—Afghanistan, 8—Albania … 9006—Pacific Island, 9999—Other |
| S020 | Year of survey | in years (1981 … 1984, and 1989 … 2022) |
| Variable | N (Obs.) | Mean | St.Dev. | Min. | 0.25 | Median | 0.75 | Max. |
|---|---|---|---|---|---|---|---|---|
| A170 | 444,917 | 6.72 | 2.4 | 1 | 5 | 7 | 8 | 10 |
| A170osc | 444,917 | 5.72 | 2.4 | 0 | 4 | 6 | 7 | 9 |
| A170bin | 444,917 | 0.7 | 0.46 | 0 | 0 | 1 | 1 | 1 |
| A008 | 442,058 | 1.92 | 0.74 | 1 | 1 | 2 | 2 | 4 |
| A008osc | 442,058 | 2.08 | 0.74 | 0 | 2 | 2 | 3 | 3 |
| A009 | 438,879 | 2.19 | 0.89 | 1 | 2 | 2 | 3 | 5 |
| A009osc | 438,879 | 2.81 | 0.89 | 0 | 2 | 3 | 3 | 4 |
| A173 | 429,534 | 6.93 | 2.38 | 1 | 5 | 7 | 9 | 10 |
| A173osc | 429,534 | 5.93 | 2.38 | 0 | 4 | 6 | 8 | 9 |
| C006 | 435,694 | 5.79 | 2.57 | 1 | 4 | 6 | 8 | 10 |
| C006osc | 435,694 | 4.79 | 2.57 | 0 | 3 | 5 | 7 | 9 |
| D002 | 26,695 | 7.75 | 2.23 | 1 | 7 | 8 | 10 | 10 |
| E235 | 254,932 | 8.39 | 2.08 | 1 | 7 | 9 | 10 | 10 |
| E236 | 243,406 | 6.16 | 2.55 | 1 | 5 | 6 | 8 | 10 |
| E236osc | 243,406 | 5.16 | 2.55 | 0 | 4 | 5 | 7 | 9 |
| X001 | 445,989 | 1.52 | 0.5 | 1 | 1 | 2 | 2 | 2 |
| X001osc_fem | 445,989 | 0.52 | 0.5 | 0 | 0 | 1 | 1 | 1 |
| X003 | 446,066 | 41.36 | 16.29 | 13 | 28 | 39 | 53 | 103 |
| X007 | 445,351 | 2.67 | 2.18 | 1 | 1 | 1 | 5 | 6 |
| X007osc | 445,351 | 3.33 | 2.18 | 0 | 1 | 5 | 5 | 5 |
| X011 | 430,665 | 1.79 | 1.57 | 0 | 0 | 2 | 3 | 5 |
| X011osc | 430,665 | 1.79 | 1.57 | 0 | 0 | 2 | 3 | 5 |
| X025 | 301,454 | 4.72 | 2.23 | 1 | 3 | 5 | 6 | 8 |
| X025osc | 301,454 | 3.72 | 2.23 | 0 | 2 | 4 | 5 | 7 |
| X028 | 437,694 | 3.29 | 2.16 | 1 | 1 | 3 | 5 | 8 |
| X028osc | 437,694 | 4.71 | 2.16 | 0 | 3 | 5 | 7 | 7 |
| X045 | 378,877 | 3.31 | 0.99 | 1 | 3 | 3 | 4 | 5 |
| X045osc | 378,877 | 1.69 | 0.99 | 0 | 1 | 2 | 2 | 4 |
| X047_WVS | 411,355 | 4.69 | 2.29 | 1 | 3 | 5 | 6 | 10 |
| X047_WVSosc | 411,355 | 3.69 | 2.29 | 0 | 2 | 4 | 5 | 9 |
| X049 | 328,493 | 4.99 | 2.5 | 1 | 3 | 5 | 7 | 8 |
| X049osc | 328,493 | 3.99 | 2.5 | 0 | 2 | 4 | 6 | 7 |
| S002VS | 450,869 | 4.81 | 1.71 | 1 | 3 | 5 | 6 | 7 |
| S002VSosc | 450,869 | 3.81 | 1.71 | 0 | 2 | 4 | 5 | 6 |
| S003 | 450,869 | 460.86 | 259.59 | 8 | 231 | 458 | 705 | 909 |
| S020 | 450,869 | 2005.8 | 9.99 | 1981 | 1998 | 2006 | 2013 | 2022 |
| Model | (1) | (2) | (3) | (4) | (5) | (6) | (7) | (8) | (9) | (10) | (11) | (12) | (13) | (14) | (15) | (16) | (17) | (18) | (19) | (20) |
|---|---|---|---|---|---|---|---|---|---|---|---|---|---|---|---|---|---|---|---|---|
| Input/Response Var. | A170 bin | A170 bin | A170 bin | A170 bin | A170 bin | A170 bin | A170 bin | A170 bin | A170 bin | A170 bin | A170 | A170 | A170 | A170 | A170 | A170 | A170 | A170 | A170 | A170 |
| A008 (Happiness) | −0.7526 *** | −0.7534 *** | −0.7505 *** | −0.7508 *** | −0.8221 *** | −0.7574 *** | −0.7412 *** | −0.7322 *** | −0.7519 *** | −0.7580 *** | −0.8693 *** | −0.8705 *** | −0.8658 *** | −0.8605 *** | −0.9251 *** | −0.8715 *** | −0.8581 *** | −0.8467 *** | −0.8455 *** | −0.8737 *** |
| (0.0030) | (0.0122) | (0.0168) | (0.0157) | (0.0270) | (0.0490) | (0.0155) | (0.0284) | (0.0433) | (0.0476) | (0.0141) | (0.0126) | (0.0189) | (0.0208) | (0.0427) | (0.0619) | (0.0303) | (0.0299) | (0.0460) | (0.0462) | |
| A009 (State of health) | −0.2117 *** | −0.2389 *** | −0.2167 *** | −0.2116 *** | −0.2211 *** | −0.2215 *** | −0.2047 *** | −0.2179 *** | −0.2639 *** | −0.2178 *** | −0.1889 *** | −0.2099 *** | −0.1997 *** | −0.1983 *** | −0.2109 *** | −0.2023 *** | −0.1853 *** | −0.1846 *** | −0.2341 *** | −0.1927 *** |
| (0.0209) | (0.0100) | (0.0169) | (0.0073) | (0.0220) | (0.0256) | (0.0118) | (0.0168) | (0.0181) | (0.0256) | (0.0058) | (0.0064) | (0.0178) | (0.0120) | (0.0210) | (0.0197) | (0.0083) | (0.0122) | (0.0148) | (0.0245) | |
| A173 (Freedom of choice and control) | 0.2002 *** | 0.1996 *** | 0.1987 *** | 0.1979 *** | 0.1732 *** | 0.1991 *** | 0.2002 *** | 0.2063 *** | 0.2003 *** | 0.1991 *** | 0.2410 *** | 0.2411 *** | 0.2399 *** | 0.2379 *** | 0.2111 *** | 0.2404 *** | 0.2391 *** | 0.2487 *** | 0.2300 *** | 0.2395 *** |
| (0.0105) | (0.0031) | (0.0032) | (0.0055) | (0.0040) | (0.0098) | (0.0082) | (0.0113) | (0.0097) | (0.0109) | (0.0082) | (0.0029) | (0.0031) | (0.0069) | (0.0068) | (0.0160) | (0.0150) | (0.0149) | (0.0115) | (0.0143) | |
| C006 (Financial satisfaction) | 0.3432 *** | 0.3408 *** | 0.3432 *** | 0.3435 *** | 0.2969 *** | 0.3392 *** | 0.3402 *** | 0.3405 *** | 0.3220 *** | 0.3426 *** | 0.3686 *** | 0.3651 *** | 0.3682 *** | 0.3689 *** | 0.3137 *** | 0.3654 *** | 0.3689 *** | 0.3690 *** | 0.3559 *** | 0.3695 *** |
| (0.0103) | (0.0039) | (0.0171) | (0.0083) | (0.0055) | (0.0126) | (0.0123) | (0.0107) | (0.0149) | (0.0249) | (0.0099) | (0.0038) | (0.0176) | (0.0058) | (0.0064) | (0.0124) | (0.0105) | (0.0098) | (0.0174) | (0.0302) | |
| E235 (Importance of democracy) | 0.0546 *** | 0.0513 *** | 0.0544 *** | 0.0535 *** | 0.0498 *** | 0.0519 *** | 0.0519 *** | 0.0519 *** | 0.0548 *** | 0.0563 *** | 0.0539 *** | 0.0505 *** | 0.0532 *** | 0.0536 *** | 0.0550 *** | 0.0520 *** | 0.0541 *** | 0.0510 *** | 0.0546 *** | 0.0535 *** |
| (0.0018) | (0.0033) | (0.0085) | (0.0053) | (0.0072) | (0.0050) | (0.0086) | (0.0032) | (0.0068) | (0.0092) | (0.0004) | (0.0024) | (0.0092) | (0.0049) | (0.0045) | (0.0052) | (0.0078) | (0.0039) | (0.0059) | (0.0071) | |
| E236 (Democracy in own country) | 0.0718 *** | 0.0705 *** | 0.0717 *** | 0.0718 *** | 0.0790 *** | 0.0742 *** | 0.0731 *** | 0.0702 *** | 0.0530 *** | 0.0717 *** | 0.0404 *** | 0.0388 *** | 0.0396 *** | 0.0394 *** | 0.0498 *** | 0.0401 *** | 0.0420 *** | 0.0377 *** | 0.0412 *** | 0.0422 *** |
| (0.0048) | (0.0020) | (0.0035) | (0.0043) | (0.0059) | (0.0029) | (0.0026) | (0.0056) | (0.0048) | (0.0081) | (0.0038) | (0.0017) | (0.0048) | (0.0021) | (0.0028) | (0.0034) | (0.0036) | (0.0030) | (0.0037) | (0.0075) | |
| S002VS (Chronology of EVS-WVS waves) | 0.0665 *** | 0.0645 *** | 0.0655 *** | 0.0668 *** | 0.0116 | 0.0576 *** | 0.0802 *** | 0.1042 *** | 0.0543 | 0.1047 | 0.0766 *** | 0.0753 *** | 0.0765 *** | 0.0782 *** | 0.0150 | 0.0762 *** | 0.0920 *** | 0.1101 *** | 0.0488 | 0.0869 |
| (0.0102) | (0.0088) | (0.0035) | (0.0078) | (0.0347) | (0.0128) | (0.0118) | (0.0214) | (0.0474) | (0.0989) | (0.0114) | (0.0050) | (0.0079) | (0.0067) | (0.0302) | (0.0115) | (0.0131) | (0.0210) | (0.0304) | (0.0549) | |
| X047_WVS (Scale of incomes) | 0.0743 *** | 0.0776 *** | 0.0755 *** | 0.0729 *** | 0.0818 *** | 0.0688 *** | 0.0637 *** | 0.0767 *** | 0.0892 *** | 0.0734 *** | −0.0111 * | −0.0085 *** | −0.0102 * | −0.0096 *** | 0.0057 | −0.0097 * | −0.0160 * | −0.0090 | 0.0030 | −0.0121 |
| (0.0060) | (0.0033) | (0.0158) | (0.0061) | (0.0091) | (0.0069) | (0.0055) | (0.0101) | (0.0095) | (0.0135) | (0.0049) | (0.0023) | (0.0042) | (0.0019) | (0.0091) | (0.0048) | (0.0066) | (0.0084) | (0.0091) | (0.0135) | |
| _cons | −1.8271 *** | −1.6709 *** | −1.7521 *** | −1.8173 *** | −0.9538 *** | −1.6975 *** | −1.9230 *** | −2.1325 *** | −1.4330 *** | −2.0271 ** | ||||||||||
| (0.1831) | (0.0676) | (0.2647) | (0.1382) | (0.2292) | (0.1313) | (0.0570) | (0.1364) | (0.3305) | (0.6750) | |||||||||||
| var(_cons[X001]) (Gender) | 0.0019 *** | 0.0022 *** | ||||||||||||||||||
| (0.0001) | (0.0000) | |||||||||||||||||||
| var(_cons[X003]) (Age) | 0.0161 *** | 0.0100 *** | ||||||||||||||||||
| (0.0032) | (0.0016) | |||||||||||||||||||
| var(_cons[X007]) (Marital status) | 0.0139 | 0.0108 | ||||||||||||||||||
| (0.0093) | (0.0055) | |||||||||||||||||||
| var(_cons[X011]) (How many children) | 0.0037 ** | 0.0047 | ||||||||||||||||||
| (0.0012) | (0.0035) | |||||||||||||||||||
| var(_cons[X025]) (Highest educational level) | 0.0037 * | 0.0019 * | ||||||||||||||||||
| (0.0016) | (0.0008) | |||||||||||||||||||
| var(_cons[X028]) (Employment status) | 0.0148 * | 0.0074 * | ||||||||||||||||||
| (0.0064) | (0.0029) | |||||||||||||||||||
| var(_cons[X045]) (Social class) | 0.0077* | 0.0073 | ||||||||||||||||||
| (0.0033) | (0.0046) | |||||||||||||||||||
| var(_cons[X049]) (Settlement size) | 0.0072 *** | 0.0004 | ||||||||||||||||||
| (0.0018) | (0.0003) | |||||||||||||||||||
| var(_cons[S003]) (ISO 3166-1 numeric country code) | 0.2559 *** | 0.1671 *** | ||||||||||||||||||
| (0.0404) | (0.0266) | |||||||||||||||||||
| var(_cons[S020]) (Year of survey) | 0.0655 *** | 0.0235 *** | ||||||||||||||||||
| (0.0165) | (0.0055) | |||||||||||||||||||
| N | 223,844 | 223,401 | 223,459 | 217,660 | 127,765 | 220,556 | 212,864 | 190,100 | 223,971 | 223,971 | 223,844 | 223,401 | 223,459 | 217,660 | 127,765 | 220,556 | 212,864 | 190,100 | 223,971 | 223,971 |
| AIC | 186,722.7837 | 186,195.9068 | 186,269.5058 | 182,189.6051 | 109,543.0279 | 183,568.2201 | 178,871.3131 | 159,160.7472 | 180,301.3580 | 185,927.0117 | 809,254.6768 | 807,547.3895 | 807,559.5390 | 788,116.8601 | 468,808.0279 | 797,213.7851 | 771,518.8591 | 687,923.9009 | 800,179.7312 | 808,919.5480 |
| BIC | 186,743.4211 | 186,299.0741 | 186,321.0908 | 182,251.3492 | 109,621.0915 | 183,650.6514 | 178,922.6551 | 159,241.9897 | 180,404.5507 | 186,030.2044 | 809,275.3142 | 807,733.0905 | 807,611.1239 | 788,178.6042 | 468,886.0915 | 797,285.9124 | 771,570.2011 | 688,005.1434 | 800,365.4781 | 809,094.9757 |
| OLS Model | (1) | (2) | (3) | (4) | (5) | (6) | (7) | (8) | (9) | (10) | (11) | (12) | (13) | (14) | (15) | (16) |
|---|---|---|---|---|---|---|---|---|---|---|---|---|---|---|---|---|
| A008 (Happiness) | −0.1145 *** | −0.2040 *** | −0.1922 *** | −0.1491 *** | −0.2163 *** | −0.2050 *** | ||||||||||
| (0.0013) | (0.0009) | (0.0009) | (0.0009) | (0.0011) | (0.0012) | |||||||||||
| A009 (State of health) | −0.0328 *** | −0.0697 *** | −0.1008 *** | −0.0742 *** | −0.1253 *** | −0.1173 *** | ||||||||||
| (0.0010) | (0.0008) | (0.0008) | (0.0007) | (0.0010) | (0.0010) | |||||||||||
| A173 (Freedom of choice and control) | 0.0294 *** | 0.0504 *** | 0.0582 *** | 0.0401 *** | 0.0592 *** | 0.0569 *** | ||||||||||
| (0.0004) | (0.0003) | (0.0003) | (0.0003) | (0.0004) | (0.0004) | |||||||||||
| C006 (Financial satisfaction) | 0.0532 *** | 0.0714 *** | 0.0801 *** | 0.0743 *** | 0.0782 *** | 0.0749 *** | ||||||||||
| (0.0004) | (0.0003) | (0.0002) | (0.0003) | (0.0003) | (0.0004) | |||||||||||
| E235 (Importance of democracy) | 0.0064 *** | 0.0182 *** | 0.0193 *** | 0.0120 *** | 0.0137 *** | 0.0153 *** | ||||||||||
| (0.0004) | (0.0004) | (0.0004) | (0.0004) | (0.0004) | (0.0005) | |||||||||||
| E236 (Democracy in own country) | 0.0103 *** | 0.0230 *** | 0.0276 *** | 0.0244 *** | 0.0166 *** | 0.0288 *** | ||||||||||
| (0.0003) | (0.0003) | (0.0003) | (0.0003) | (0.0003) | (0.0004) | |||||||||||
| _cons | 0.3797 *** | 1.2395 *** | 0.7185 *** | 0.5665 *** | 0.9904 *** | 0.9854 *** | 0.5140 *** | 0.3898 *** | 0.8447 *** | 0.8235 *** | −0.0133 *** | 0.2155 *** | 0.1864 *** | 0.1521 *** | 0.1882 *** | 0.4371 *** |
| (0.0062) | (0.0018) | (0.0033) | (0.0030) | (0.0044) | (0.0034) | (0.0031) | (0.0027) | (0.0045) | (0.0034) | (0.0021) | (0.0045) | (0.0036) | (0.0041) | (0.0029) | (0.0043) | |
| N | 232,914 | 428,636 | 422,767 | 426,321 | 251,888 | 240,552 | 421,279 | 426,074 | 252,965 | 241,595 | 419,775 | 251,054 | 239,953 | 249,455 | 238,223 | 240,642 |
| p | 0.0000 | 0.0000 | 0.0000 | 0.0000 | 0.0000 | 0.0000 | 0.0000 | 0.0000 | 0.0000 | 0.0000 | 0.0000 | 0.0000 | 0.0000 | 0.0000 | 0.0000 | 0.0000 |
| R2 | 0.2741 | 0.1585 | 0.2053 | 0.2817 | 0.1372 | 0.1467 | 0.1519 | 0.2512 | 0.0707 | 0.0862 | 0.2688 | 0.1004 | 0.1165 | 0.1990 | 0.2004 | 0.0384 |
| RMSE | 0.3719 | 0.4220 | 0.4080 | 0.3902 | 0.4077 | 0.4033 | 0.4227 | 0.3995 | 0.4237 | 0.4180 | 0.3929 | 0.4165 | 0.4106 | 0.3944 | 0.3920 | 0.4285 |
| AIC | 200,259.0358 | 476,719.5121 | 441,658.3892 | 407,462.3548 | 262,771.5605 | 245,724.0450 | 469,978.5038 | 427,251.2552 | 283,443.8750 | 264,089.3415 | 407,041.3561 | 272,638.9139 | 253,753.3396 | 243,755.3816 | 229,916.1975 | 275,063.8799 |
| BIC | 200,331.5448 | 476,752.4172 | 441,691.2529 | 407,495.2436 | 262,802.8708 | 245,755.2171 | 470,011.3570 | 427,284.1423 | 283,475.1980 | 264,120.5266 | 407,074.1985 | 272,670.2142 | 253,784.5042 | 243,786.6627 | 229,947.3404 | 275,095.0531 |
| OLSmaxAcceptVIF | 1.3776 | 1.1883 | 1.2583 | 1.3922 | 1.1590 | 1.1719 | 1.1792 | 1.3355 | 1.0761 | 1.0944 | 1.3676 | 1.1116 | 1.1319 | 1.2485 | 1.2506 | 1.0400 |
| OLSmaxComputVIF | 1.2762 | 1.1584 | 1.0661 | 1.1362 | 1.0023 | 1.0204 | 1.0405 | 1.0696 | 1.0027 | 1.0096 | 1.1134 | 1.0248 | 1.0204 | 1.0088 | 1.0464 | 1.0462 |
| Model | (1) | (2) | (3) | (4) | (5) | (6) | (7) | (8) | (9) | (10) | (11) | (12) |
|---|---|---|---|---|---|---|---|---|---|---|---|---|
| Regression Type | Logit | Logit | Logit | Logit | Logit | Logit | Ologit | Ologit | Ologit | Ologit | Ologit | Ologit |
| Filter Condition | N/A | N/A | E235!=. | E236!=. | N/A | N/A | N/A | N/A | E235!=. | E236!=. | N/A | N/A |
| Input/Response Var. | A170bin | A170bin | A170bin | A170bin | A170bin | A170bin | A170 | A170 | A170 | A170 | A170 | A170 |
| A008 (Happiness) | −0.7612 *** | −0.7793 *** | −0.7569 *** | −0.7749 *** | −0.7588 *** | −0.7744 *** | −0.8725 *** | −0.8296 *** | −0.8681 *** | −0.8797 *** | −0.8692 *** | −0.8734 *** |
| (0.0092) | (0.0067) | (0.0092) | (0.0092) | (0.0092) | (0.0090) | (0.0070) | (0.0051) | (0.0070) | (0.0070) | (0.0070) | (0.0068) | |
| A009 (State of health) | −0.2232 *** | −0.2161 *** | −0.2243 *** | −0.2255 *** | −0.2245 *** | −0.2307 *** | −0.1804 *** | −0.1702 *** | −0.1817 *** | −0.1819 *** | −0.1807 *** | −0.1877 *** |
| (0.0073) | (0.0052) | (0.0073) | (0.0073) | (0.0072) | (0.0070) | (0.0051) | (0.0037) | (0.0051) | (0.0051) | (0.0051) | (0.0050) | |
| A173 (Freedom of choice and control) | 0.2007 *** | 0.2161 *** | 0.2069 *** | 0.2043 *** | 0.2069 *** | 0.2030 *** | 0.2383 *** | 0.2292 *** | 0.2444 *** | 0.2401 *** | 0.2441 *** | 0.2342 *** |
| (0.0028) | (0.0019) | (0.0028) | (0.0028) | (0.0028) | (0.0027) | (0.0025) | (0.0017) | (0.0025) | (0.0025) | (0.0025) | (0.0024) | |
| C006 (Financial satisfaction) | 0.3651 *** | 0.3989 *** | 0.3644 *** | 0.3751 *** | 0.3641 *** | 0.3754 *** | 0.3677 *** | 0.4080 *** | 0.3681 *** | 0.3739 *** | 0.3678 *** | 0.3766 *** |
| (0.0028) | (0.0020) | (0.0028) | (0.0028) | (0.0028) | (0.0027) | (0.0026) | (0.0019) | (0.0026) | (0.0025) | (0.0026) | (0.0025) | |
| E235 (Importance of democracy) | 0.0535 *** | 0.0681 *** | 0.0652 *** | 0.0528 *** | 0.0616 *** | 0.0599 *** | ||||||
| (0.0028) | (0.0028) | (0.0027) | (0.0021) | (0.0020) | (0.0020) | |||||||
| E236 (Democracy in own country) | 0.0721 *** | 0.0797 *** | 0.0797 *** | 0.0394 *** | 0.0475 *** | 0.0473 *** | ||||||
| (0.0024) | (0.0024) | (0.0024) | (0.0018) | (0.0017) | (0.0017) | |||||||
| _cons | −1.1458 *** | −0.6532 *** | −0.7952 *** | −0.8844 *** | −0.7899 *** | −0.8651 *** | ||||||
| (0.0420) | (0.0244) | (0.0369) | (0.0409) | (0.0368) | (0.0397) | |||||||
| N | 232,914 | 410,513 | 232,914 | 232,914 | 234,223 | 245,063 | 232,914 | 410,513 | 232,914 | 232,914 | 234,223 | 245,063 |
| chi2 | 40,848.4655 | 81,386.7414 | 40,918.0698 | 40,554.3915 | 41,240.3786 | 43,055.4663 | 93,519.1161 | 176,267.5344 | 93,130.5912 | 92,919.2298 | 93,757.2021 | 98,335.3754 |
| p | 0.0000 | 0.0000 | 0.0000 | 0.0000 | 0.0000 | 0.0000 | 0.0000 | 0.0000 | 0.0000 | 0.0000 | 0.0000 | 0.0000 |
| R2 | 0.2660 | 0.2884 | 0.2645 | 0.2624 | 0.2649 | 0.2638 | 0.1372 | 0.1444 | 0.1364 | 0.1365 | 0.1364 | 0.1367 |
| AIC | 194,577.5388 | 357,516.3767 | 194,964.2167 | 195,525.8802 | 196,190.7180 | 207,154.7040 | 841,980.1420 | 1,511,290.1869 | 842,744.8293 | 842,597.5363 | 847,730.2506 | 889,071.2794 |
| BIC | 194,650.0478 | 357,571.0025 | 195,026.3672 | 195,588.0307 | 196,252.9022 | 207,217.1596 | 842,135.5184 | 1,511,432.2140 | 842,889.8472 | 842,742.5543 | 847,875.3470 | 889,217.0091 |
| AUCROC | 0.8361 | 0.8458 | 0.8350 | 0.8340 | 0.8351 | 0.8345 | ||||||
| chi2 GOF | 62,582.18 | 17,714.62 | 25,127.76 | 24,150.91 | 25,181.92 | 24,628.89 | ||||||
| p GOF | 0.0000 | 0.0000 | 0.0000 | 0.0000 | 0.0000 | 0.0000 | ||||||
| maxProbNlogPenultThrsh | 0.9500 | 0.9500 | 0.9500 | 0.9500 | 0.9500 | 0.9500 | ||||||
| maxProbNlogLastThrsh | 0.9900 | 0.9900 | 0.9900 | 0.9900 | 0.9900 | 0.9900 |
| Model | (1) | (2) | (3) | (4) | (5) | (6) | (7) | (8) | (9) | (10) | (11) | (12) | (13) | (14) | (15) | (16) | (17) | (18) | (19) | (20) | (21) | (22) |
|---|---|---|---|---|---|---|---|---|---|---|---|---|---|---|---|---|---|---|---|---|---|---|
| Input/Response Var. | A170 bin | A170 bin | A170 bin | A170 bin | A170 bin | A170 bin | A170 bin | A170 bin | A170 bin | A170 bin | A170 bin | A170 osc | A170 osc | A170 osc | A170 osc | A170 osc | A170 osc | A170 osc | A170 osc | A170 osc | A170 osc | A170 osc |
| A008osc (Happiness) | 0.7570 *** | 0.7576 *** | 0.7546 *** | 0.7570 *** | 0.8293 *** | 0.7618 *** | 0.7455 *** | 0.7543 *** | 0.7394 *** | 0.7567 *** | 0.7577 *** | 0.8668 *** | 0.8683 *** | 0.8637 *** | 0.8582 *** | 0.9246 *** | 0.8719 *** | 0.8599 *** | 0.8688 *** | 0.8459 *** | 0.8685 *** | 0.8689 *** |
| (0.0092) | (0.0092) | (0.0092) | (0.0093) | (0.0119) | (0.0092) | (0.0094) | (0.0093) | (0.0100) | (0.0092) | (0.0092) | (0.0070) | (0.0070) | (0.0070) | (0.0070) | (0.0090) | (0.0070) | (0.0072) | (0.0071) | (0.0076) | (0.0070) | (0.0070) | |
| A009osc (State of health) | 0.2276 *** | 0.2602 *** | 0.2288 *** | 0.2197 *** | 0.2358 *** | 0.2199 *** | 0.2107 *** | 0.2060 *** | 0.2309 *** | 0.2281 *** | 0.2264 *** | 0.1838 *** | 0.2124 *** | 0.1871 *** | 0.1912 *** | 0.2129 *** | 0.1798 *** | 0.1761 *** | 0.1813 *** | 0.1764 *** | 0.1852 *** | 0.1837 *** |
| (0.0073) | (0.0076) | (0.0073) | (0.0074) | (0.0096) | (0.0073) | (0.0075) | (0.0074) | (0.0078) | (0.0073) | (0.0073) | (0.0051) | (0.0053) | (0.0051) | (0.0052) | (0.0068) | (0.0051) | (0.0053) | (0.0052) | (0.0055) | (0.0051) | (0.0051) | |
| A173osc (Freedom of choice and control) | 0.2074 *** | 0.2065 *** | 0.2067 *** | 0.2048 *** | 0.1807 *** | 0.2050 *** | 0.2077 *** | 0.2057 *** | 0.2136 *** | 0.2069 *** | 0.2069 *** | 0.2447 *** | 0.2442 *** | 0.2443 *** | 0.2415 *** | 0.2156 *** | 0.2429 *** | 0.2452 *** | 0.2466 *** | 0.2534 *** | 0.2440 *** | 0.2441 *** |
| (0.0028) | (0.0028) | (0.0028) | (0.0028) | (0.0036) | (0.0028) | (0.0029) | (0.0028) | (0.0030) | (0.0028) | (0.0028) | (0.0025) | (0.0025) | (0.0025) | (0.0025) | (0.0031) | (0.0025) | (0.0025) | (0.0025) | (0.0027) | (0.0025) | (0.0025) | |
| C006osc (Financial satisfaction) | 0.3644 *** | 0.3624 *** | 0.3637 *** | 0.3639 *** | 0.3190 *** | 0.3610 *** | 0.3539 *** | 0.3431 *** | 0.3616 *** | 0.3631 *** | 0.3636 *** | 0.3681 *** | 0.3648 *** | 0.3670 *** | 0.3683 *** | 0.3173 *** | 0.3677 *** | 0.3672 *** | 0.3705 *** | 0.3688 *** | 0.3663 *** | 0.3666 *** |
| (0.0028) | (0.0028) | (0.0028) | (0.0028) | (0.0035) | (0.0028) | (0.0029) | (0.0030) | (0.0030) | (0.0028) | (0.0028) | (0.0026) | (0.0026) | (0.0026) | (0.0026) | (0.0031) | (0.0026) | (0.0027) | (0.0027) | (0.0028) | (0.0026) | (0.0026) | |
| E236osc (Democracy in own country) | 0.0795 *** | 0.0776 *** | 0.0791 *** | 0.0797 *** | 0.0894 *** | 0.0820 *** | 0.0800 *** | 0.0790 *** | 0.0777 *** | 0.0804 *** | 0.0803 *** | 0.0472 *** | 0.0447 *** | 0.0464 *** | 0.0463 *** | 0.0589 *** | 0.0476 *** | 0.0481 *** | 0.0478 *** | 0.0442 *** | 0.0481 *** | 0.0480 *** |
| (0.0024) | (0.0024) | (0.0024) | (0.0024) | (0.0031) | (0.0024) | (0.0024) | (0.0024) | (0.0025) | (0.0024) | (0.0024) | (0.0017) | (0.0017) | (0.0017) | (0.0017) | (0.0023) | (0.0017) | (0.0018) | (0.0017) | (0.0018) | (0.0017) | (0.0017) | |
| X001osc_fem (Female gender) | 0.0820 *** | 0.0915 *** | ||||||||||||||||||||
| (0.0113) | (0.0071) | |||||||||||||||||||||
| X003 (Age) | 0.0060 *** | 0.0054 *** | ||||||||||||||||||||
| (0.0004) | (0.0002) | |||||||||||||||||||||
| X007osc (Marital status) | 0.0189 *** | 0.0256 *** | ||||||||||||||||||||
| (0.0026) | (0.0017) | |||||||||||||||||||||
| X011osc (How many children) | −0.0079 * | 0.0450 *** | ||||||||||||||||||||
| (0.0039) | (0.0026) | |||||||||||||||||||||
| X025osc (Highest educational level) | 0.0348 *** | −0.0090 *** | ||||||||||||||||||||
| (0.0034) | (0.0022) | |||||||||||||||||||||
| X028osc (Employment status) | 0.0444 *** | 0.0041 * | ||||||||||||||||||||
| (0.0026) | (0.0017) | |||||||||||||||||||||
| X045osc (Social class) | 0.1074 *** | 0.0161 *** | ||||||||||||||||||||
| (0.0064) | (0.0043) | |||||||||||||||||||||
| X047_WVSosc (Scale of incomes) | 0.0737 *** | −0.0116 *** | ||||||||||||||||||||
| (0.0031) | (0.0020) | |||||||||||||||||||||
| X049osc (Settlement size) | 0.0368 *** | 0.0052 ** | ||||||||||||||||||||
| (0.0024) | (0.0016) | |||||||||||||||||||||
| S002VSosc (Chronology of EVS-WVS waves) | 0.0623 *** | 0.0676 *** | ||||||||||||||||||||
| (0.0070) | (0.0044) | |||||||||||||||||||||
| S020 (Year of survey) | 0.0058 *** | 0.0076 *** | ||||||||||||||||||||
| (0.0011) | (0.0007) | |||||||||||||||||||||
| _cons | −4.3476 *** | −4.6254 *** | −4.3557 *** | −4.2577 *** | −4.3092 *** | −4.4804 *** | −4.3814 *** | −4.4027 *** | −4.4566 *** | −4.6201 *** | −15.9450 *** | |||||||||||
| (0.0302) | (0.0357) | (0.0307) | (0.0307) | (0.0394) | (0.0314) | (0.0307) | (0.0303) | (0.0334) | (0.0467) | (2.1344) | ||||||||||||
| N | 234,057 | 233,503 | 233,579 | 227,225 | 134,780 | 230,414 | 219,750 | 225,125 | 198,003 | 234,223 | 234,223 | 234,057 | 233,503 | 233,579 | 227,225 | 134,780 | 230,414 | 219,750 | 225,125 | 198,003 | 234,223 | 234,223 |
| chi2 | 41,205.5139 | 41,276.7418 | 41,156.6300 | 40,066.9134 | 23,207.8985 | 41,003.5722 | 38,907.2761 | 40,184.9013 | 35,225.9958 | 41,404.8501 | 41,372.5379 | 93,838.2476 | 94,218.7866 | 93,639.5411 | 91,057.2196 | 51,634.8780 | 92,336.9915 | 87,889.5035 | 90,389.6609 | 78,928.0067 | 94,092.1523, | 94,080.1771 |
| p | 0.0000 | 0.0000 | 0.0000 | 0.0000 | 0.0000 | 0.0000 | 0.0000 | 0.0000 | 0.0000 | 0.0000 | 0.0000 | 0.0000 | 0.0000 | 0.0000 | 0.0000 | 0.0000 | 0.0000 | 0.0000 | 0.0000 | 0.0000 | 0.0000 | 0.0000 |
| R2 | 0.2651 | 0.2658 | 0.2650 | 0.2639 | 0.2484 | 0.2664 | 0.2645 | 0.2673 | 0.2650 | 0.2652 | 0.2650 | 0.1366 | 0.1368 | 0.1366 | 0.1359 | 0.1241 | 0.1364 | 0.1357 | 0.1366 | 0.1361 | 0.1366 | 0.1365 |
| AIC | 195,998.7621 | 195,288.6664 | 195,634.1928 | 191,085.6655 | 115,722.3921 | 192,634.0571 | 185,043.8710 | 188,446.7428 | 166,485.6596 | 196,115.5768 | 196,163.9187 | 846,995.1251 | 844,672.7458 | 845,298.0020 | 823,769.0121 | 494,508.1568 | 834,046.8122 | 797,214.1670 | 815,262.9208 | 717,313.4281 | 847,511.1836 | 847,607.9698 |
| BIC | 196,071.3054 | 195,361.1931 | 195,706.7217 | 191,158.0014 | 115,791.0719 | 192,706.4905 | 185,115.9727 | 188,519.0137 | 166,557.0319 | 196,188.1250 | 196,236.4669 | 847,150.5749 | 844,828.1601 | 845,453.4211 | 823,924.0175 | 494,655.3277 | 834,202.0266 | 797,368.6707 | 815,417.7869 | 717,466.3686 | 847,666.6440 | 847,763.4302 |
| AUCROC | 0.8352 | 0.8356 | 0.8352 | 0.8345 | 0.8243 | 0.8361 | 0.8347 | 0.8364 | 0.8354 | 0.8353 | 0.8352 | |||||||||||
| chi2 GOF | 35,698.46 | 149,775.78 | 51,623.06 | 59,039.08 | 50,270.30 | 66,518.30 | 50,690.00 | 69,184.84 | 65,150.49 | 45,217.12 | 89,873.70 | |||||||||||
| p GOF | 0.0000 | 0.0000 | 0.0000 | 0.0000 | 0.0000 | 0.0000 | 0.0000 | 0.0000 | 0.0000 | 0.0000 | 0.0000 | |||||||||||
| maxProbNlogPenultThrsh | 0.9500 | 0.9500 | 0.9500 | 0.9500 | 0.9500 | 0.9500 | 0.9500 | 0.9500 | 0.9500 | 0.9500 | 0.9500 | |||||||||||
| maxProbNlogLastThrsh | 0.9900 | 0.9900 | 0.9900 | 0.9900 | 0.9900 | 0.9900 | 0.9900 | 0.9900 | 0.9900 | 0.9900 | 0.9900 |
| Model | (1) | (2) | (3) | (4) | (5) | (6) | (7) | (8) | (9) | (10) | (11) | (12) | (13) | (14) | (15) | (16) | (17) | (18) | (19) | (20) | (21) | (22) |
|---|---|---|---|---|---|---|---|---|---|---|---|---|---|---|---|---|---|---|---|---|---|---|
| Input/Response Var. | A170 bin | A170 bin | A170 bin | A170 bin | A170 bin | A170 bin | A170 bin | A170 bin | A170 bin | A170 bin | A170 bin | A170osc | A170osc | A170osc | A170osc | A170 osc | A170osc | A170osc | A170 osc | A170osc | A170 osc | A170 osc |
| A008osc (Happiness) | 0.7759 *** | 0.7761 *** | 0.7758 *** | 0.7786 *** | 0.8110 *** | 0.7833 *** | 0.7639 *** | 0.7755 *** | 0.7486 *** | 0.7768 *** | 0.7779 *** | 0.8259 *** | 0.8265 *** | 0.8242 *** | 0.8220 *** | 0.8423 *** | 0.8324 *** | 0.8219 *** | 0.8296 *** | 0.7966 *** | 0.8308 *** | 0.8310 *** |
| (0.0067) | (0.0067) | (0.0067) | (0.0067) | (0.0081) | (0.0068) | (0.0072) | (0.0069) | (0.0078) | (0.0067) | (0.0067) | (0.0051) | (0.0051) | (0.0051) | (0.0051) | (0.0061) | (0.0051) | (0.0055) | (0.0053) | (0.0059) | (0.0051) | (0.0051) | |
| A009osc (State of health) | 0.2221 *** | 0.2516 *** | 0.2200 *** | 0.2136 *** | 0.2229 *** | 0.2115 *** | 0.2002 *** | 0.1996 *** | 0.2310 *** | 0.2162 *** | 0.2162 *** | 0.1768 *** | 0.2009 *** | 0.1758 *** | 0.1798 *** | 0.1888 *** | 0.1680 *** | 0.1641 *** | 0.1721 *** | 0.1774 *** | 0.1700 *** | 0.1700 *** |
| (0.0052) | (0.0055) | (0.0052) | (0.0053) | (0.0064) | (0.0053) | (0.0057) | (0.0055) | (0.0060) | (0.0052) | (0.0052) | (0.0037) | (0.0038) | (0.0037) | (0.0037) | (0.0046) | (0.0037) | (0.0040) | (0.0039) | (0.0042) | (0.0037) | (0.0037) | |
| A173osc (Freedom of choice and control) | 0.2162 *** | 0.2156 *** | 0.2163 *** | 0.2153 *** | 0.2023 *** | 0.2150 *** | 0.2138 *** | 0.2148 *** | 0.2256 *** | 0.2151 *** | 0.2155 *** | 0.2294 *** | 0.2290 *** | 0.2296 *** | 0.2283 *** | 0.2114 *** | 0.2291 *** | 0.2256 *** | 0.2309 *** | 0.2430 *** | 0.2298 *** | 0.2299 *** |
| (0.0019) | (0.0019) | (0.0019) | (0.0020) | (0.0023) | (0.0020) | (0.0021) | (0.0020) | (0.0023) | (0.0019) | (0.0019) | (0.0017) | (0.0017) | (0.0017) | (0.0017) | (0.0020) | (0.0017) | (0.0018) | (0.0018) | (0.0020) | (0.0017) | (0.0017) | |
| C006osc (Financial satisfaction) | 0.3990 *** | 0.3970 *** | 0.3987 *** | 0.3994 *** | 0.3884 *** | 0.3959 *** | 0.3998 *** | 0.3831 *** | 0.3903 *** | 0.3981 *** | 0.3985 *** | 0.4084 *** | 0.4049 *** | 0.4076 *** | 0.4091 *** | 0.4020 *** | 0.4067 *** | 0.4209 *** | 0.4102 *** | 0.4037 *** | 0.4082 *** | 0.4083 *** |
| (0.0020) | (0.0020) | (0.0020) | (0.0020) | (0.0024) | (0.0020) | (0.0022) | (0.0022) | (0.0023) | (0.0020) | (0.0020) | (0.0019) | (0.0019) | (0.0019) | (0.0019) | (0.0023) | (0.0019) | (0.0021) | (0.0020) | (0.0022) | (0.0019) | (0.0019) | |
| X001osc_fem (Female gender) | 0.0993 *** | 0.1107 *** | ||||||||||||||||||||
| (0.0084) | (0.0054) | |||||||||||||||||||||
| X003 (Age) | 0.0064 *** | 0.0055 *** | ||||||||||||||||||||
| (0.0003) | (0.0002) | |||||||||||||||||||||
| X007osc (Marital status) | 0.0168 *** | 0.0240 *** | ||||||||||||||||||||
| (0.0019) | (0.0012) | |||||||||||||||||||||
| X011osc (How many children) | −0.0070 * | 0.0372 *** | ||||||||||||||||||||
| (0.0028) | (0.0019) | |||||||||||||||||||||
| X025osc (Highest educational level) | 0.0256 *** | −0.0139 *** | ||||||||||||||||||||
| (0.0023) | (0.0015) | |||||||||||||||||||||
| X028osc (Employment status) | 0.0366 *** | 0.0047 *** | ||||||||||||||||||||
| (0.0019) | (0.0013) | |||||||||||||||||||||
| X045osc (Social class) | 0.0941 *** | 0.0143 *** | ||||||||||||||||||||
| (0.0049) | (0.0033) | |||||||||||||||||||||
| X047_WVSosc (Scale of incomes) | 0.0599 *** | −0.0118 *** | ||||||||||||||||||||
| (0.0021) | (0.0014) | |||||||||||||||||||||
| X049osc (Settlement size) | 0.0318 *** | 0.0062 *** | ||||||||||||||||||||
| (0.0019) | (0.0013) | |||||||||||||||||||||
| S002VSosc (Chronology of EVS-WVS waves) | 0.0254 *** | −0.0129 *** | ||||||||||||||||||||
| (0.0024) | (0.0016) | |||||||||||||||||||||
| S020 (Year of survey) | 0.0028 *** | −0.0029 *** | ||||||||||||||||||||
| (0.0004) | (0.0003) | |||||||||||||||||||||
| _cons | −4.3029 *** | −4.5814 *** | −4.2952 *** | −4.2171 *** | −4.3631 *** | −4.3796 *** | −4.3531 *** | −4.3238 *** | −4.3612 *** | −4.3210 *** | −9.8427 *** | |||||||||||
| (0.0209) | (0.0254) | (0.0214) | (0.0214) | (0.0252) | (0.0219) | (0.0221) | (0.0213) | (0.0244) | (0.0218) | (0.8292) | ||||||||||||
| N | 406,001 | 406,976 | 409,440 | 400,523 | 270,599 | 401,638 | 352,754 | 378,018 | 309,776 | 410,513 | 410,513 | 406,001 | 406,976 | 409,440 | 400,523 | 270,599 | 401,638 | 352,754 | 378,018 | 309,776 | 410,513 | 410,513 |
| chi2 | 80,605.8954 | 80,956.8344 | 81,211.4790 | 79,599.7752 | 55,114.1037 | 79,783.8085 | 70,982.4936 | 75,750.9515 | 60,912.5502 | 81,532.1014 | 81,476.3269 | 174,954.3974 | 175,987.5030 | 176,080.6404 | 172,542.7336 | 117,394.9817 | 172,081.5909 | 153,444.0089 | 162,534.9356 | 131,774.7517 | 176,304.8617 | 176,320.0731 |
| p | 0.0000 | 0.0000 | 0.0000 | 0.0000 | 0.0000 | 0.0000 | 0.0000 | 0.0000 | 0.0000 | 0.0000 | 0.0000 | 0.0000 | 0.0000 | 0.0000 | 0.0000 | 0.0000 | 0.0000 | 0.0000 | 0.0000 | 0.0000 | 0.0000 | 0.0000 |
| R2 | 0.2885 | 0.2893 | 0.2884 | 0.2886 | 0.2878 | 0.2881 | 0.2914 | 0.2897 | 0.2865 | 0.2886 | 0.2885 | 0.1448 | 0.1449 | 0.1446 | 0.1446 | 0.1422 | 0.1439 | 0.1469 | 0.1443 | 0.1440 | 0.1444 | 0.1445 |
| AIC | 354,262.2913 | 354,292.5753 | 356,588.0491 | 349,421.2335 | 242,013.4868 | 349,104.1306 | 310,260.8929 | 329,352.7072 | 268,552.3704 | 357,413.4565 | 357,475.2178 | 1,494,963.9603 | 1,497,931.2748 | 1,507,153.6803 | 1,475,431.2843 | 1,007,914.3474 | 1,478,320.3300 | 1,300,564.6430 | 1,392,839.9883 | 1,137,692.0971 | 1,511,229.1255 | 1,511,184.2541 |
| BIC | 354,327.7759 | 354,358.0744 | 356,653.5843 | 349,486.6367 | 242,076.5371 | 349,169.5505 | 310,325.5341 | 329,417.7634 | 268,616.2321 | 357,479.0074 | 357,540.7688 | 1,495,116.7578 | 1,498,084.1059 | 1,507,306.5959 | 1,475,583.8917 | 1,008,061.4649 | 1,478,472.9762 | 1,300,715.4724 | 1,392,991.7860 | 1,137,841.1075 | 1,511,382.0778 | 1,511,337.2064 |
| AUCROC | 0.8457 | 0.8462 | 0.8458 | 0.8458 | 0.8443 | 0.8458 | 0.8468 | 0.8464 | 0.8450 | 0.8459 | 0.8458 | |||||||||||
| chi2 GOF | 20,038.13 | 87,291.61 | 26,940.45 | 27,033.16 | 23,476.61 | 30,809.95 | 23,340.88 | 31,423.65 | 27,039.74 | 34,738.50 | 67,335.34 | |||||||||||
| p GOF | 0.0000 | 0.0000 | 0.0000 | 0.0000 | 0.0000 | 0.0000 | 0.0000 | 0.0000 | 0.0000 | 0.0000 | 0.0000 | |||||||||||
| maxProbNlogPenultThrsh | 0.9500 | 0.9500 | 0.9500 | 0.9500 | 0.9500 | 0.9500 | 0.9500 | 0.9500 | 0.9500 | 0.9500 | 0.9500 | |||||||||||
| maxProbNlogLastThrsh | 0.9900 | 0.9900 | 0.9900 | 0.9900 | 0.9900 | 0.9900 | 0.9900 | 0.9900 | 0.9900 | 0.9900 | 0.9900 |
| Model Input Var. | (1) | (2) | (3) | (4) | (5) | (6) | (7) | (8) | (9) | (10) | (11) | (12) | (13) | (14) | (15) | (16) |
|---|---|---|---|---|---|---|---|---|---|---|---|---|---|---|---|---|
| C006osc (Financial satisfaction) | 0.4887 *** | |||||||||||||||
| (0.0018) | ||||||||||||||||
| A008osc (Happiness) | 1.2183 *** | |||||||||||||||
| (0.0056) | ||||||||||||||||
| A173osc (Freedom of choice and control) | 0.3224 *** | |||||||||||||||
| (0.0016) | ||||||||||||||||
| A009osc (Happiness) | 0.6424 *** | |||||||||||||||
| (0.0040) | ||||||||||||||||
| E236osc (Democracy in own country) | 0.1633 *** | |||||||||||||||
| (0.0019) | ||||||||||||||||
| X001osc_fem (Female gender) | 0.0056 | |||||||||||||||
| (0.0066) | ||||||||||||||||
| X003 (Age) | −0.0011 *** | |||||||||||||||
| (0.0002) | ||||||||||||||||
| X007osc (Marital status) | 0.0186 *** | |||||||||||||||
| (0.0015) | ||||||||||||||||
| X011osc (How many children) | −0.0471 *** | |||||||||||||||
| (0.0021) | ||||||||||||||||
| X025osc (Highest educational level) | 0.0981 *** | |||||||||||||||
| (0.0018) | ||||||||||||||||
| X028osc (Employment status) | 0.0785 *** | |||||||||||||||
| (0.0015) | ||||||||||||||||
| X045osc (Social class) | 0.4468 *** | |||||||||||||||
| (0.0037) | ||||||||||||||||
| X047_WVSosc (Scale of incomes) | 0.2257 *** | |||||||||||||||
| (0.0016) | ||||||||||||||||
| X049osc (Settlement size) | 0.0601 *** | |||||||||||||||
| (0.0015) | ||||||||||||||||
| S002VSosc (Chronology of EVS-WVS waves) | 0.0862 *** | |||||||||||||||
| (0.0018) | ||||||||||||||||
| S020 (Year of survey) | 0.0124 *** | |||||||||||||||
| (0.0003) | ||||||||||||||||
| _cons | −1.2867 *** | −1.5762 *** | −0.9741 *** | −0.9355 *** | 0.2559 *** | 0.8190 *** | 0.8746 *** | 0.7633 *** | 0.8947 *** | 0.3982 *** | 0.4753 *** | 0.0581 *** | 0.0381 *** | 0.6027 *** | 0.5032 *** | −24.0482 *** |
| (0.0083) | (0.0111) | (0.0095) | (0.0111) | (0.0099) | (0.0047) | (0.0089) | (0.0059) | (0.0051) | (0.0074) | (0.0077) | (0.0068) | (0.0064) | (0.0070) | (0.0076) | (0.6290) | |
| N | 431,278 | 436,729 | 427,474 | 433,318 | 242,184 | 440,109 | 440,221 | 439,606 | 425,098 | 296,875 | 432,021 | 374,130 | 406,573 | 325,012 | 444,917 | 444,917 |
| Chi2 | 71,649.1888 | 47,665.0500 | 38,466.8651 | 25,847.1576 | 76,86.3635 | 0.7386 | 31.7403 | 154.9186 | 493.4398 | 3,047.4781 | 2,631.8511 | 14,252.3945 | 18,884.1527 | 1,534.1931 | 2,202.9652 | 1,564.0678 |
| p | 0.0000 | 0.0000 | 0.0000 | 0.0000 | 0.0000 | 0.3901 | 0.0000 | 0.0000 | 0.0000 | 0.0000 | 0.0000 | 0.0000 | 0.0000 | 0.0000 | 0.0000 | 0.0000 |
| R2 | 0.2033 | 0.1199 | 0.0947 | 0.0536 | 0.0291 | 0.0000 | 0.0001 | 0.0003 | 0.0009 | 0.0082 | 0.0050 | 0.0323 | 0.0415 | 0.0039 | 0.0038 | 0.0027 |
| AIC | 424,081.3579 | 471,201.6021 | 473,389.2530 | 505,380.1930 | 268,397.4438 | 541,635.0516 | 540,760.3969 | 540,413.2266 | 524,491.1914 | 369,074.4356 | 526,377.2930 | 450,865.1520 | 479,849.1881 | 396,554.6043 | 544,397.8538 | 545,013.0872 |
| BIC | 424,103.3069 | 471,223.5762 | 473,411.1843 | 505,402.1514 | 268,418.2387 | 541,657.0411 | 540,782.3869 | 540,435.2139 | 524,513.1115 | 369,095.6377 | 526,399.2455 | 450,886.8167 | 479,871.0191 | 396,575.9875 | 544,419.8651 | 545,035.0985 |
| AUC-ROC | 0.8016 | 0.7064 | 0.7037 | 0.6467 | 0.6226 | 0.5007 | 0.5078 | 0.5067 | 0.5188 | 0.5617 | 0.5462 | 0.6170 | 0.6409 | 0.5406 | 0.5498 | 0.5431 |
| Model Input Var. | (1) | (2) | (3) | (4) | (5) | (6) | (7) | (8) | (9) | (10) | (11) | (12) | (13) | (14) | (15) | (16) |
|---|---|---|---|---|---|---|---|---|---|---|---|---|---|---|---|---|
| C006osc (Financial satisfaction) | 0.5373 *** | |||||||||||||||
| (0.0017) | ||||||||||||||||
| A008osc (Happiness) | 1.3389 *** | |||||||||||||||
| (0.0045) | ||||||||||||||||
| A173osc (Freedom of choice and control) | 0.3893 *** | |||||||||||||||
| (0.0017) | ||||||||||||||||
| A009osc (State of health) | 0.6536 *** | |||||||||||||||
| (0.0034) | ||||||||||||||||
| E236osc (Democracy in own country) | 0.1532 *** | |||||||||||||||
| (0.0018) | ||||||||||||||||
| X001osc_fem (Female gender) | 0.0351 *** | |||||||||||||||
| (0.0053) | ||||||||||||||||
| X003 (Age) | 0.0002 | |||||||||||||||
| (0.0002) | ||||||||||||||||
| X007osc (Marital status) | 0.0274 *** | |||||||||||||||
| (0.0012) | ||||||||||||||||
| X011osc (How many children) | -0.0037 * | |||||||||||||||
| (0.0018) | ||||||||||||||||
| X025osc (Highest educational level) | 0.0653 *** | |||||||||||||||
| (0.0015) | ||||||||||||||||
| X028osc (Employment status) | 0.0493 *** | |||||||||||||||
| (0.0012) | ||||||||||||||||
| X045osc (Social class) | 0.3890 *** | |||||||||||||||
| (0.0031) | ||||||||||||||||
| X047_WVSosc (Scale of incomes) | 0.1702 *** | |||||||||||||||
| (0.0013) | ||||||||||||||||
| X049osc (Settlement size) | 0.0383 *** | |||||||||||||||
| (0.0012) | ||||||||||||||||
| S002VSosc (Chronology of EVS-WVS waves) | 0.0493 *** | |||||||||||||||
| (0.0015) | ||||||||||||||||
| S020 (Year of survey) | 0.0067 *** | |||||||||||||||
| (0.0003) | ||||||||||||||||
| N | 431,278 | 436,729 | 427,474 | 433,318 | 242,184 | 440,109 | 440,221 | 439,606 | 425,098 | 296,875 | 432,021 | 374,130 | 406,573 | 325,012 | 444,917 | 444,917 |
| R2 | 0.0979 | 0.0600 | 0.0496 | 0.0229 | 0.0104 | 0.0000 | 0.0000 | 0.0003 | 0.0000 | 0.0016 | 0.0009 | 0.0106 | 0.0107 | 0.0007 | 0.0005 | 0.0003 |
| AIC | 1,678,111.4744 | 1,767,163.1828 | 1,748,180.8271 | 1,825,620.2851 | 1,005,314.6193 | 1,897,064.7765 | 1,896,728.3131 | 1,893,747.0648 | 1,834,227.3582 | 1,286,737.9866 | 1,857,873.4276 | 1,601,652.1377 | 1,734,041.7444 | 1,397,156.8956 | 1,915,748.8885 | 1,916,123.2684 |
| BIC | 1,678,221.2194 | 1,767,273.0535 | 1,748,290.4836 | 1,825,730.0774 | 1,005,418.5938 | 1,897,174.7242 | 1,896,838.2634 | 1,893,857.0011 | 1,834,336.9590 | 1,286,843.9972 | 1,857,983.1899 | 1,601,760.4613 | 1,734,150.8996 | 1,397,263.8118 | 1,915,858.9450 | 1,916,233.3248 |
| X 003 | Count_ A170osc_ byX003 | X 003 | Count_ A170osc_ byX003 | X 003 | Count_ A170osc_ byX003 | X 003 | Count_ A170osc_ byX003 | X 003 | Count_ A170osc_ byX003 | X 003 | Count_ A170osc_ byX003 | X 003 | Count_ A170osc_ byX003 |
|---|---|---|---|---|---|---|---|---|---|---|---|---|---|
| 13 | 3 | 26 | 10,301 | 39 | 8170 | 52 | 6903 | 65 | 5082 | 78 | 1304 | 91 | 73 |
| 14 | 12 | 27 | 10,556 | 40 | 10,935 | 53 | 5933 | 66 | 4031 | 79 | 1111 | 92 | 43 |
| 15 | 290 | 28 | 10,649 | 41 | 7678 | 54 | 5860 | 67 | 3809 | 80 | 1138 | 93 | 40 |
| 16 | 911 | 29 | 9299 | 42 | 9379 | 55 | 7263 | 68 | 3749 | 81 | 877 | 94 | 30 |
| 17 | 1754 | 30 | 11,756 | 43 | 7779 | 56 | 5857 | 69 | 3099 | 82 | 810 | 95 | 15 |
| 18 | 9951 | 31 | 8853 | 44 | 7366 | 57 | 5804 | 70 | 3849 | 83 | 635 | 96 | 6 |
| 19 | 9660 | 32 | 10,721 | 45 | 9313 | 58 | 5708 | 71 | 2568 | 84 | 556 | 97 | 5 |
| 20 | 10,689 | 33 | 9022 | 46 | 7349 | 59 | 4749 | 72 | 2780 | 85 | 482 | 98 | 12 |
| 21 | 10,286 | 34 | 9022 | 47 | 7208 | 60 | 6335 | 73 | 2377 | 86 | 275 | 99 | 30 |
| 22 | 11,135 | 35 | 11,352 | 48 | 7425 | 61 | 4564 | 74 | 2150 | 87 | 203 | 100 | 1 |
| 23 | 10,352 | 36 | 9358 | 49 | 6615 | 62 | 5386 | 75 | 2035 | 88 | 178 | 102 | 1 |
| 24 | 10,515 | 37 | 8948 | 50 | 8117 | 63 | 4562 | 76 | 1816 | 89 | 142 | 103 | 1 |
| 25 | 11,605 | 38 | 9650 | 51 | 5996 | 64 | 4320 | 77 | 1547 | 90 | 137 |
| Ologit Model | (1) | (2) | (3) | (4) | (5) | (6) | (7) | (8) | (9) | (10) | (11) | (12) |
|---|---|---|---|---|---|---|---|---|---|---|---|---|
| Input/Response | A170osc | A008osc | A170osc | A009osc | A170osc | A173osc | A170osc | C006osc | A170osc | E236osc | A170osc | E235osc |
| A008osc (Happiness) | 1.3389 *** | |||||||||||
| (0.0045) | ||||||||||||
| A009osc (State of health) | 0.6536 *** | |||||||||||
| (0.0034) | ||||||||||||
| A173osc (Freedom of choice and control) | 0.3893 *** | |||||||||||
| (0.0017) | ||||||||||||
| C006osc (Financial satisfaction) | 0.5373 *** | |||||||||||
| (0.0017) | ||||||||||||
| E236osc (Democracy in own country) | 0.1532 *** | |||||||||||
| (0.0018) | ||||||||||||
| E235osc (Importance of democracy) | 0.1265 *** | |||||||||||
| (0.0020) | ||||||||||||
| A170osc (Life Satisfaction) | 0.4455 *** | 0.2483 *** | 0.3840 *** | 0.5807 *** | 0.1834 *** | 0.1074 *** | ||||||
| (0.0017) | (0.0014) | (0.0017) | (0.0018) | (0.0020) | (0.0018) | |||||||
| N | 436,729 | 436,729 | 433,318 | 433,318 | 427,474 | 427,474 | 431,278 | 431,278 | 242,184 | 242,184 | 253,597 | 253,597 |
| Chi2 | 86,758.0649 | 70,001.0153 | 36,047.1720 | 32,642.4993 | 52,067.6426 | 49,421.9724 | 970,86.6292 | 105,627.7651 | 7,567.0645 | 8,595.7378 | 4,061.8472 | 3,468.3745 |
| p | 0.0000 | 0.0000 | 0.0000 | 0.0000 | 0.0000 | 0.0000 | 0.0000 | 0.0000 | 0.0000 | 0.0000 | 0.0000 | 0.0000 |
| R2 | 0.0600 | 0.1127 | 0.0229 | 0.0372 | 0.0496 | 0.0490 | 0.0979 | 0.0976 | 0.0104 | 0.0110 | 0.0049 | 0.0049 |
| AIC | 1,767,163.1828 | 838,822.5060 | 1,825,620.2851 | 1,056,964.8486 | 1,748,180.8271 | 1,722,081.5732 | 1,678,111.4744 | 1,739,877.2913 | 1,005,314.6193 | 1,059,845.8455 | 1,061,367.9380 | 842,031.1059 |
| BIC | 1,767,273.0535 | 838,866.4542 | 1,825,730.0774 | 1,057,019.7448 | 1,748,290.4836 | 1,722,191.2297 | 1,678,221.2194 | 1,739,987.0363 | 1,005,418.5938 | 1,059,949.8201 | 1,061,472.3730 | 842,135.5409 |
References
- Hoellger, C.; Sommer, S.; Buhl, H.M. Intergenerational value similarity and Subjective Well-Being. J. Fam. Issues 2021, 44, 610–632. [Google Scholar] [CrossRef]
- Bruk, Z.; Ignatjeva, S.; Fedina, L.; Volosnikova, L. Measuring Subjective Well-Being of High School Students: Between the Desired and the Real. Child Indic. Res. 2024, 17, 525–549. [Google Scholar] [CrossRef]
- Lent, R.W. Toward a unifying theoretical and practical perspective on Well-Being and Psychosocial Adjustment. J. Couns. Psychol. 2004, 51, 482–509. [Google Scholar] [CrossRef]
- Xing, T.; Ya, W.; Tingxian, M.; Mingcheng, H. Meta-Analysis of the Relationship between Meaning in Life and Subjective Well-being: A Cross-Cultural Perspective. Available online: https://ijarped.com/index.php/journal/article/view/1081 (accessed on 13 May 2024).
- Boyce, C.J.; Brown, G.D.; Moore, S.C. Money and happiness: Rank of income, not income, affects life satisfaction. Psychol. Sci. 2010, 21, 471–475. [Google Scholar] [CrossRef] [PubMed]
- Issock, P.B.I. Re-assembling Materialism, Sustainability and Subjective Well-Being: Empirical Evidence from E-Waste Disposal in an Emerging Market. Glob. Bus. Rev. 2023. [Google Scholar] [CrossRef]
- Keng, K.A.; Jung, K.; Jiuan, T.S.; Wirtz, J. The influence of materialistic inclination on values, life satisfaction and aspirations: An empirical analysis. Soc. Indic. Res. 2000, 49, 317–333. [Google Scholar] [CrossRef]
- Sirgy, M.J.; Gurel-Atay, E.; Webb, D.; Cicic, M.; Husic-Mehmedovic, M.; Ekici, A.; Herrmann, A.; Hegazy, I.; Lee, D.J.; Johar, J.S. Is materialism all that bad? Effects on satisfaction with material life, life satisfaction, and economic motivation. Soc. Indic. Res. 2013, 110, 349–366. [Google Scholar] [CrossRef]
- Koohbanani, S.E.; Dastjerdi, R.; Vahidi, T.; Far, M.H.G. The relationship between spiritual intelligence and emotional intelligence with life satisfaction among birjand gifted female high school students. Procedia-Soc. Behav. Sci. 2013, 84, 314–320. [Google Scholar] [CrossRef]
- Veenhoven, R. The Study of Life-Satisfaction; Eötvös University Press: Budapest, Hungary, 1996; Available online: http://hdl.handle.net/1765/16311 (accessed on 19 June 2024).
- Ryan, J.; Hughes, M.; Hawdon, J. Marital status, general-life satisfaction and the welfare state: A cross-national comparison. Int. J. Comp. Sociol. 1998, 39, 224–237. [Google Scholar] [CrossRef]
- Pacek, A.; Radcliff, B. Assessing the Welfare State: The Politics of Happiness. Perspect. Politics 2008, 6, 267–277. [Google Scholar] [CrossRef]
- Schröder, M. How income inequality influences life satisfaction: Hybrid effects evidence from the German SOEP. Eur. Sociol. Rev. 2016, 32, 307–320. [Google Scholar] [CrossRef]
- Roth, B.; Hahn, E.; Spinath, F.M. Income inequality, life satisfaction, and economic worries. Soc. Psychol. Personal. Sci. 2017, 8, 133–141. [Google Scholar] [CrossRef]
- San Martín, J.; Perles, F.; Canto, J.M. Life satisfaction and perception of happiness among university students. Span. J. Psychol. 2010, 13, 617–628. [Google Scholar] [CrossRef] [PubMed][Green Version]
- Silbermann, I. On “happiness”. Psychoanal. Study Child 1985, 40, 457–472. [Google Scholar] [CrossRef]
- Mangels, D. The science of happiness. Berkeley Sci. J. 2009, 12. [Google Scholar] [CrossRef]
- Pflug, J. Folk theories of happiness: A cross-cultural comparison of conceptions of happiness in Germany and South Africa. Soc. Indic. Res. 2009, 92, 551–563. [Google Scholar] [CrossRef]
- Sundriyal, R.; Kumar, R. Happiness and wellbeing. Int. J. Indian Psychol. 2014, 1. [Google Scholar] [CrossRef]
- Lu, L. Personal or environmental causes of happiness: A longitudinal analysis. J. Soc. Psychol. 1999, 139, 79–90. [Google Scholar] [CrossRef]
- Suldo, S.M.; Riley, K.N.; Shaffer, E.J. Academic correlates of children and adolescents’ life satisfaction. Sch. Psychol. Int. 2006, 27, 567–582. [Google Scholar] [CrossRef]
- Veenhoven, R. Happiness: Also Known as “Life Satisfaction” and “Subjective Well-Being”. In Handbook of Social Indicators and Quality of Life Research; Land, K., Michalos, A., Sirgy, M.J., Eds.; Springer: Dordrecht, The Netherlands, 2012. [Google Scholar] [CrossRef]
- Zhang, F.; Zhang, C.; Hudson, J. Housing conditions and life satisfaction in urban China. Cities 2018, 81, 35–44. [Google Scholar] [CrossRef]
- Van Halem, S.; Van Roekel, E.; Denissen, J. Personality and individual differences in the relationship between hedonic and eudaimonic motives and well-being in daily life. J. Res. Personal. 2024, 110, 104497. [Google Scholar] [CrossRef]
- DeYoung, C.G.; Tiberius, V. Value Fulfillment from a Cybernetic Perspective: A New Psychological Theory of Well-Being. Personal. Soc. Psychol. Rev. 2022, 27, 3–27. [Google Scholar] [CrossRef] [PubMed]
- Argan, M.; Argan, M.T.; Dursun, M.T. Examining relationships among well-being, leisure satisfaction, life satisfaction, and happiness. Int. J. Med. Res. Health Sci. 2018, 7, 49–59. [Google Scholar]
- Rajani, N.B.; Skianis, V.; Filippidis, F.T. Association of environmental and sociodemographic factors with life satisfaction in 27 European countries. BMC Public Health. 2019, 19, 534. [Google Scholar] [CrossRef] [PubMed]
- Argan, M.T.; Mersin, S. Life satisfaction, life quality, and leisure satisfaction in health professionals. Perspect. Psychiatr. Care 2020, 57, 660–666. [Google Scholar] [CrossRef] [PubMed]
- Becchetti, L.; Conzo, G. The Gender Life Satisfaction/Depression Paradox. Soc. Indic. Res. 2022, 160, 35–113. [Google Scholar] [CrossRef] [PubMed]
- Dirzyte, A.; Patapas, A.; Perminas, A. Associations between Leisure Preferences, Mindfulness, Psychological Capital, and Life Satisfaction. Int. J. Environ. Res. Public Health 2022, 19, 4121. [Google Scholar] [CrossRef] [PubMed]
- Ng, Y.K. Happiness or Life Satisfaction? In Happiness—Concept, Measurement and Promotion; Springer: Singapore, 2022. [Google Scholar] [CrossRef]
- Feldman, F. Whole Life Satisfaction Concepts of Happiness. Theoria 2008, 74, 219–238. [Google Scholar] [CrossRef]
- Elgar, F.J.; Davis, C.G.; Wohl, M.J.; Trites, S.J.; Zelenski, J.M.; Martin, M.S. Social capital, health and life satisfaction in 50 countries. Health Place 2011, 17, 1044–1053. [Google Scholar] [CrossRef] [PubMed]
- Ngamaba, K.H.; Soni, D. Are Happiness and Life Satisfaction Different Across Religious Groups? Exploring Determinants of Happiness and Life Satisfaction. J. Relig. Health 2017, 57, 2118–2139. [Google Scholar] [CrossRef]
- Gundelach, P.; Kreiner, S. Happiness and Life Satisfaction in Advanced European Countries. Cross-Cult. Res. 2004, 38, 359–386. [Google Scholar] [CrossRef]
- Li, C.; Wang, S.; Zhao, Y.; Kong, F.; Li, J. The Freedom to Pursue Happiness: Belief in Free Will Predicts Life Satisfaction and Positive Affect among Chinese Adolescents. Front. Psychol. 2017, 7, 2027. [Google Scholar] [CrossRef]
- Diener, E.; Diener, M. Cross-Cultural Correlates of Life Satisfaction and Self-Esteem. J. Personal. Soc. Psychol. 1995, 68, 635. [Google Scholar] [CrossRef] [PubMed]
- Oishi, S.; Diener, E.; Lucas, R.E.; Suh, E.M. Cross-Cultural Variations in Predictors of Life Satisfaction: Perspectives from Needs and Values. Cult. Well-Being 2009, 38, 109–127. [Google Scholar] [CrossRef]
- Denton, P.H. The End of Democracy. Essays Philos. 2015, 16, 70–88. [Google Scholar] [CrossRef]
- Łużyński, W. The Moral Principles of Democracy: Reflections based on Catholic Social Teaching. Cuad. Salmant. Filos. 2019, 46, 309–322. [Google Scholar] [CrossRef]
- Yin, K. On the Human Rights Implications of the Whole-Process People’s Democracy. J. Hum. Rights 2022, 21, 91. [Google Scholar]
- Dorn, D.; Fischer, J.A.V.; Kirchgässner, G.; Sousa-Poza, A. Direct democracy and life satisfaction revisited: New evidence for Switzerland. J. Happiness Stud. 2007, 9, 227–255. [Google Scholar] [CrossRef]
- Owen, A.L.; Videras, J.; Willemsen, C. Democracy, Participation, and Life Satisfaction*. Soc. Sci. Q. 2008, 89, 987–1005. [Google Scholar] [CrossRef]
- Meléndez, J.C.; Tomás, J.M.; Oliver, A.; Navarro, E. Psychological and physical dimensions explaining life satisfaction among the elderly: A structural model examination. Arch. Gerontol. Geriatr. 2009, 48, 291–295. [Google Scholar] [CrossRef]
- Kassenboehmer, S.C.; Haisken-DeNew, J.P. Heresy or enlightenment? The well-being age U-shape effect is flat. Econ. Lett. 2012, 117, 235–238. [Google Scholar] [CrossRef]
- Hellevik, O. The U-shaped age–happiness relationship: Real or methodological artifact? Qual. Quant. 2017, 51, 177–197. [Google Scholar] [CrossRef]
- Bartram, D. Age and Life Satisfaction: Getting Control Variables under Control. Sociology 2020, 1, 421–437. [Google Scholar] [CrossRef]
- Bittmann, F. Beyond the U-shape: Mapping the functional form between age and life satisfaction for 81 countries utilizing a cluster procedure. J. Happiness Stud. 2021, 22, 2343–2359. [Google Scholar] [CrossRef]
- Kaiser, M.; Otterbach, S.; Sousa-Poza, A. Using machine learning to uncover the relation between age and life satisfaction. Sci. Rep. 2022, 12, 5263. [Google Scholar] [CrossRef] [PubMed]
- Weller, E.K. A Profile of Male Mid-Life Concerns; The University of North Carolina at Greensboro: Greensboro, NC, USA, 1983. [Google Scholar]
- Chipperfield, J.G.; Havens, B. Gender Differences in the Relationship Between Marital Status Transitions and Life Satisfaction in Later Life. J. Gerontol. Ser. B 2001, 56, P176–P186. [Google Scholar] [CrossRef] [PubMed]
- Halvorsen, I.; Heyerdahl, S. Girls with anorexia nervosa as young adults: Personality, self-esteem, and life satisfaction. Int. J. Eat. Disord. 2006, 39, 285–293. [Google Scholar] [CrossRef]
- Supervía, P.U.; Bordás, C.S.; Lorente, V.M. Exploring the Psychological Effects of Optimism on Life Satisfaction in Students: The Mediating Role of Goal Orientations. Int. J. Environ. Res. Public Health 2020, 17, 7887. [Google Scholar] [CrossRef] [PubMed]
- Feldman, F. An improved whole life satisfaction theory of happiness? Int. J. Wellbeing 2019, 9, 1–7. [Google Scholar] [CrossRef]
- Sirbu, C.A.; Brezuleanu, M.-M.; Tiganas, G.C.; Asandului, M.; Iacobuta-Mihaita, A.-O. Determinants of Subjective Well-Being among European Union’s Older Adults. Transform. Bus. Econ. 2022, 21, 671–689. [Google Scholar]
- Verme, P. Happiness, freedom and control. J. Econ. Behav. Organ. 2009, 71, 146–161. [Google Scholar] [CrossRef]
- Sohier, L. Do involuntary longer working careers reduce well-being? Appl. Res. Qual. Life 2018, 14, 171–196. [Google Scholar] [CrossRef]
- Bartolini, S.; Sarracino, F. The Dark Side of Chinese growth: Declining social capital and well-being in times of Economic Boom. World Dev. 2015, 74, 333–351. [Google Scholar] [CrossRef]
- Ruggeri, K.; Garcia-Garzon, E.; Maguire, Á.; Matz, S.; Huppert, F.A. Well-being is more than happiness and life satisfaction: A multidimensional analysis of 21 countries. Health Qual. Life Outcomes 2020, 18, 192. [Google Scholar] [CrossRef] [PubMed]
- Keane, L.; Pacek, A.; Radcliff, B. Organized labor, democracy, and life satisfaction: A cross-national analysis. Labor. Stud. J. 2012, 37, 253–270. [Google Scholar] [CrossRef]
- Fernández-Ballesteros, R.; Zamarrón, M.D.; Ruíz, M.A. The contribution of socio-demographic and psychosocial factors to life satisfaction. Ageing Soc. 2001, 21, 25–43. [Google Scholar] [CrossRef]
- Vera-Toscano, E.; Ateca-Amestoy, V.; Serrano-Del-Rosal, R. Building financial satisfaction. Soc. Indic. Res. 2006, 77, 211–243. [Google Scholar] [CrossRef]
- Wang, Q.; Wang, L.; Shi, M.; Li, X.; Liu, R.; Liu, J.; Wu, H. Empathy, burnout, life satisfaction, correlations and associated socio-demographic factors among Chinese undergraduate medical students: An exploratory cross-sectional study. BMC Med. Educ. 2019, 19, 341. [Google Scholar] [CrossRef]
- Tsikriktsis, N. A review of techniques for treating missing data in OM survey research. J. Oper. Manag. 2005, 24, 53–62. [Google Scholar] [CrossRef]
- Karabulut, E.M.; Ibrikci, T. Analysis of Cardiotocogram Data for Fetal Distress Determination by Decision Tree-Based Adaptive Boosting Approach. J. Comput. Commun. 2014, 2, 32–37. [Google Scholar] [CrossRef]
- Chen, Y.K.; Li, W.; Tong, X. Parallelization of AdaBoost algorithm on multi-core processors. In Proceedings of the 2008 IEEE Workshop on Signal Processing Systems, Washington, DC, USA, 8–10 October 2008; pp. 275–280. [Google Scholar] [CrossRef]
- Williams, G. Data Mining with Rattle and R: The Art of Excavating Data for Knowledge Discovery; Springer: Berlin/Heidelberg, Germany, 2011; pp. 269–291. [Google Scholar]
- Schober, P.; Boer, C.; Schwarte, L.A. Correlation Coefficients. Anesth. Analg. 2018, 126, 1763–1768. [Google Scholar] [CrossRef] [PubMed]
- Homocianu, D.; Airinei, D. PCDM and PCDM4MP: New Pairwise Correlation-Based Data Mining Tools for Parallel Pro-862 cessing of Large Tabular Datasets. Mathematics 2022, 10, 2671. [Google Scholar] [CrossRef]
- Ahrens, A.; Hansen, C.B.; Schaffer, M.E. lassopack: Model selection and prediction with regularized regression in Stata. Stata J. Promot. Commun. Stat. Stata 2020, 20, 176–235. [Google Scholar] [CrossRef]
- DeBruine, L.M.; Barr, D.J. Understanding Mixed-Effects Models Through Data Simulation. Adv. Methods Pract. Psychol. Sci. 2021, 4, 1–15. [Google Scholar] [CrossRef]
- Roberts, D.R.; Bahn, V.; Ciuti, S.; Boyce, M.S.; Elith, J.; Guillera-Arroita, G.; Hauenstein, S.; Lahoz-Monfort, J.J.; Schrö-der, B.; Thuiller, W.; et al. Cross-validation strategies for data with temporal, spatial, hierarchical, or phylogenetic structure. Ecography 2017, 40, 913–929. [Google Scholar] [CrossRef]
- Picard, R.R.; Cook, R.D. Cross-validation of Regression Models. J. Am. Stat. Assoc. 1984, 79, 575–583. [Google Scholar] [CrossRef]
- Vatcheva, K.P.; Lee, M.; McCormick, J.B.; Rahbar, M.H. Multicollinearity in Regression Analyses Conducted in Epi-de-miologic Studies. Epidemiology 2016, 6, 227. [Google Scholar] [CrossRef] [PubMed]
- Mironiuc, I.-C.; Homocianu, D. Incipient tests of exploring the influences on accepting the priority of compatriots vs. immigrants in terms of access to employment. Race Ethn. Identity Politics J. (SSRN Electron. J.) 2021. [Google Scholar] [CrossRef]
- Irandoukht, A. Optimum ridge regression parameter using R-squared of prediction as a criterion for regression analysis. J. Stat. Theory Appl. 2021, 20, 242. [Google Scholar] [CrossRef]
- Lai, K. Using Information Criteria Under Missing Data: Full Information Maximum Likelihood Versus Two-Stage Estimation. Struct. Equ. Model. A Multidiscip. J. 2020, 28, 278–291. [Google Scholar] [CrossRef]
- Zlotnik, A.; Abraira, V. A general-purpose nomogram generator for predictive logistic regression models. Stata J. Promot. Commun. Stat. Stata 2015, 15, 537–546. [Google Scholar] [CrossRef]
- Jann, B. Making regression tables from stored estimates. Stata J. 2005, 5, 288–308. [Google Scholar] [CrossRef]
- Jann, B. Making regression tables simplified. Stata J. 2007, 7, 227–244. [Google Scholar] [CrossRef]
- Homocianu, D.; Tîrnăucă, C. MEM and MEM4PP: New Tools Supporting the Parallel Generation of Critical Metrics in the Evaluation of Statistical Models. Axioms 2022, 11, 549. [Google Scholar] [CrossRef]
- Airinei, D.; Homocianu, D. The Importance of Video Tutorials for Higher Education—The Example of Business Information Systems. In Proceedings of the 6th International Seminar on the Quality Management in Higher Education, Tulcea, Romani, 8–9 July 2010; Available online: https://ssrn.com/abstract=2381817 (accessed on 3 February 2023).
- Ah-Pine, J.; Bressan, M.; Clinchant, S.; Csurka, G.; Hoppenot, Y.; Renders, J.M. Crossing textual and visual content in different application scenarios. Multimed. Tools Appl. 2009, 42, 31–56. [Google Scholar] [CrossRef]
- Bonifazi, G.; Corradini, E.; Ursino, D.; Virgili, L.; Anceschi, E.; De Donato, M.C. A machine learning based sentient multimedia framework to increase safety at work. Multimed. Tools Appl. 2022, 81, 141–169. [Google Scholar] [CrossRef] [PubMed]
- Homocianu, D.; Necula, S.; Airinei, D.; Radu, L.; Georgescu, M.; Baciu, L.; Damian, A. Multimedia for learning in economy and cybernetics. Econ. Comput. Econ. Cybern. Stud. Res. 2014, 9, 48. [Google Scholar] [CrossRef][Green Version]
- Homocianu, D. The LIVES4IT approach on access to documentation resources, education, training and research. In Proceedings of the 6th International Conference on Information Science and Information Literacy, Sibiu, Romania, 21–23 April 2015; Volume 4. [Google Scholar] [CrossRef]
- Baker, M. 1,500 scientists lift the lid on reproducibility. Nature 2016, 533, 452–454. [Google Scholar] [CrossRef] [PubMed]
- Munafò, M.R.; Nosek, B.A.; Bishop, D.V.; Button, K.S.; Chambers, C.D.; Percie du Sert, N.; Simonsohn, U.; Wagenmakers, E.J.; Ware, J.J.; Ioannidis, J. A manifesto for reproducible science. Nat. Hum. Behav. 2017, 1, 1–9. [Google Scholar] [CrossRef]
- Munafò, M.R.; Smith, G.D. Robust research needs many lines of evidence. Nature 2018, 553, 399–401. [Google Scholar] [CrossRef]
- Homocianu, D.; Plopeanu, A.P.; Florea, N.; Andrieș, A.M. Exploring the patterns of job satisfaction for individuals aged 50 and over from three historical Regions of Romania. An inductive approach with respect to triangulation, cross-validation and support for replication of results. Appl. Sci. 2020, 10, 2573. [Google Scholar] [CrossRef]
- El-Yacoubi, A.; Justino, E.J.R.; Sabourin, R.; Bortolozzi, F. “Off-line signature verification using HMMs and cross-validation,” Neural Networks for Signal Processing X. In Proceedings of the 2000 IEEE Signal Processing Society Workshop (Cat. No.00TH8501), Sydney, NSW, Australia, 11–13 December 2000; Volume 2, pp. 859–868. [Google Scholar] [CrossRef]
- Bhole, D.K.; Velankar, S. Comparison of offline signature verification using graph matching based approach and cross validation approach. In Proceedings of the International Conference and Workshop on Emerging Trends in Technology, New York, NY, USA, 26–27 February 2010. [Google Scholar] [CrossRef]
- Zhang, Y.; Yan, Z.-J.; Soong, F.K. Cross-validation based decision tree clustering for HMM-based TTS. In Proceedings of the 2010 IEEE International Conference on Acoustics, Speech and Signal Processing, Dallas, TX, USA, 14–19 March 2010; pp. 4602–4605. [Google Scholar] [CrossRef]
- Xiao, J.J.; Tang, C.; Shim, S. Acting for happiness: Financial behavior and life satisfaction of college students. Soc. Indic. Res. 2009, 92, 53–68. [Google Scholar] [CrossRef]
- Ng, W.; Russell Kua, W.S.; Kang, S.H. The relative importance of personality, financial satisfaction, and autonomy for different subjective well-being facets. J. Psychol. 2019, 153, 680–700. [Google Scholar] [CrossRef]
- Brzozowski, M.; Spotton Visano, B. “Havin’Money’s not everything, not havin’it is”: The importance of financial satisfaction for life satisfaction in financially stressed households. J. Happiness Stud. 2020, 21, 573–591. [Google Scholar] [CrossRef]
- Barrington-Leigh, C.P. Life satisfaction and sustainability: A policy framework. SN Soc. Sci. 2021, 1, 176. [Google Scholar] [CrossRef]
- Peterson, C.; Park, N.; Seligman, M.E. Orientations to happiness and life satisfaction: The full life versus the empty life. J. Happiness Stud. 2005, 6, 25–41. [Google Scholar] [CrossRef]
- Park, N.; Peterson, C.; Ruch, W. Orientations to happiness and life satisfaction in twenty-seven nations. J. Posit. Psychol. 2009, 4, 273–279. [Google Scholar] [CrossRef]
- Badri, M.A.; Alkhaili, M.; Aldhaheri, H.; Yang, G.; Albahar, M.; Alrashdi, A. Exploring the Reciprocal Relationships between Happiness and Life Satisfaction of Working Adults—Evidence from Abu Dhabi. Int. J. Environ. Res. Public Health 2022, 19, 3575. [Google Scholar] [CrossRef] [PubMed]
- Abbott, P.; Wallace, C.; Lin, K.; Haerpfer, C. The Quality of Society and Life Satisfaction in China. Soc. Indic. Res. 2016, 127, 653–670. [Google Scholar] [CrossRef]
- Ngamaba, K.H. Happiness and life satisfaction in Rwanda. J. Psychol. Afr. 2016, 26, 407–414. [Google Scholar] [CrossRef]
- Markides, K.S.; Martin, H.W. A Causal Model of Life Satisfaction Among the Elderly. J. Gerontol. 1979, 34, 86–93. [Google Scholar] [CrossRef] [PubMed]
- McCamish-Svensson, C.; Samuelsson, G.; Hagberg, B.; Svensson, T.; Dehlin, O. Social relationships and health as predictors of life satisfaction in advanced old age: Results from a Swedish longitudinal study. Int. J. Aging Hum. Dev. 1999, 48, 301–324. Available online: https://journals.sagepub.com/doi/pdf/10.2190/GX0K-565H-08FB-XF5G (accessed on 19 June 2024). [CrossRef] [PubMed]
- Bo, L.; Yating, P. Long-Term Impact of Domestic Violence on Individuals—An Empirical Study Based on Education, Health and Life Satisfaction. Behav. Sci. 2023, 13, 137. [Google Scholar] [CrossRef] [PubMed]
- Orviska, M.; Caplanova, A.; Hudson, J. The impact of democracy on well-being. Soc. Indic. Res. 2014, 115, 493–508. [Google Scholar] [CrossRef]
- Loubser, R.; Steenekamp, C. Democracy, well-being, and happiness: A 10-nation study. J. Public Aff. 2017, 17, e1646. [Google Scholar] [CrossRef]
- Joshanloo, M.; Jovanović, V. The relationship between gender and life satisfaction: Analysis across demographic groups and global regions. Arch. Women’s Ment. Health 2020, 23, 331–338. [Google Scholar] [CrossRef] [PubMed]
- Jarden, R.J.; Joshanloo, M.; Weijers, D.; Sandham, M.H.; Jarden, A.J. Predictors of Life Satisfaction in New Zealand: Analysis of a National Dataset. Int. J. Environ. Res. Public Health 2022, 19, 5612. [Google Scholar] [CrossRef]
- Peiró, A. Happiness, Satisfaction and Socio-economic Conditions: Some International Evidence. J. Socio-Econ. 2006, 35, 348–365. [Google Scholar] [CrossRef]
- Khodabakhsh, S. Factors Affecting Life Satisfaction of Older Adults in Asia: A Systematic Review. J. Happiness Stud. 2021, 23, 1289–1304. [Google Scholar] [CrossRef]
- Kaiser, C.; Trinh, N.A. Positional, mobility, and reference effects: How does social class affect life satisfaction in Europe? Eur. Sociol. Rev. 2021, 37, 713–730. [Google Scholar] [CrossRef]
- Tang, B.W.; Tan, J.J. Subjective social class and life satisfaction: Role of class consistency and identity uncertainty. Asian J. Soc. Psychol. 2022, 25, 60–74. [Google Scholar] [CrossRef]
- Jung, M.H. A Study on the Correlation between Social Class and Life Satisfaction Perceived by the Korean Elderly. J. Asian Financ. Econ. Bus. 2020, 7, 543–553. [Google Scholar] [CrossRef]
- Migheli, M. Size of town, level of education and life satisfaction in Western Europe. Tijdschr. Voor Econ. Soc. Geogr. 2017, 108, 190–204. [Google Scholar] [CrossRef]
- Krevs, M. Life Satisfaction And Size Of Settlements: A Case Study In Slovenia. Geogr. Pregl. 2018, 39, 29–42. Available online: https://geografskipregled.pmf.unsa.ba/pregledi/gopregled39/2.Marko%20Krevs.pdf (accessed on 19 June 2024).
- Homocianu, D.; Dospinescu, O.; Sireteanu, N.A. Exploring the Influences of Job Satisfaction for Europeans Aged 50 + from Ex-communist vs. Non-communist Countries. Soc. Indic. Res. 2022, 159, 235–279. [Google Scholar] [CrossRef]
- Kaufmann, D.; Kraay, A.; Mastruzzi, M. The Worldwide Governance Indicators: Methodology and Analytical Issues, Draft Policy Research Working Paper. 2010. Available online: http://info.worldbank.org/governance/wgi/pdf/wgi.pdf (accessed on 22 January 2020).
- Abegaz, M.B.; Debela, K.L.; Hundie, R.M. The effect of governance on entrepreneurship: From all income economies perspective. J. Innov. Entrep. 2023, 12, 1. [Google Scholar] [CrossRef]
- Antón, J.I.; Grande, R.; Muñoz de Bustillo, R.; Pinto, F. Gender Gaps in Working Conditions. Soc. Indic. Res. 2023, 166, 53–83. [Google Scholar] [CrossRef]












Disclaimer/Publisher’s Note: The statements, opinions and data contained in all publications are solely those of the individual author(s) and contributor(s) and not of MDPI and/or the editor(s). MDPI and/or the editor(s) disclaim responsibility for any injury to people or property resulting from any ideas, methods, instructions or products referred to in the content. |
© 2024 by the author. Licensee MDPI, Basel, Switzerland. This article is an open access article distributed under the terms and conditions of the Creative Commons Attribution (CC BY) license (https://creativecommons.org/licenses/by/4.0/).
Share and Cite
Homocianu, D. Life Satisfaction: Insights from the World Values Survey. Societies 2024, 14, 119. https://doi.org/10.3390/soc14070119
Homocianu D. Life Satisfaction: Insights from the World Values Survey. Societies. 2024; 14(7):119. https://doi.org/10.3390/soc14070119
Chicago/Turabian StyleHomocianu, Daniel. 2024. "Life Satisfaction: Insights from the World Values Survey" Societies 14, no. 7: 119. https://doi.org/10.3390/soc14070119
APA StyleHomocianu, D. (2024). Life Satisfaction: Insights from the World Values Survey. Societies, 14(7), 119. https://doi.org/10.3390/soc14070119

