Local Insect Damage Reduces Fluctuating Asymmetry in Next-year’s Leaves of Downy Birch
Abstract
:1. Introduction
2. Materials and Methods
2.1. Study System
2.2. Data Collection
2.3. Data Analysis
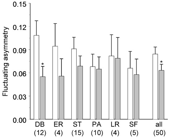
3. Results
3.1. Identification of Fluctuating Asymmetry
3.2. Effects of Previous-year Herbivory on Fluctuating Asymmetry
4. Discussion
5. Conclusions
Supplementary Materials
Author Contributions
Funding
Acknowledgments
Conflicts of Interest
References
- Haukioja, E. The influence of grazing on the evolution, morphology and physiology of plants as modular organisms. Philos. Trans. R. Soc. Lond. B 1991, 333, 241–247. [Google Scholar] [CrossRef]
- Ruohomäki, K.; Haukioja, E.; Repka, S.; Lehtilä, K. Leaf value: Effects of damage to individual leaves on growth and reproduction of mountain birch shoots. Ecology 1997, 78, 2105–2117. [Google Scholar] [CrossRef]
- Kozlov, M.V.; Lanta, V.; Zverev, V.E.; Zvereva, E.L. Delayed local responses of downy birch to damage by leafminers and leafrollers. Oikos 2012, 121, 428–434. [Google Scholar] [CrossRef]
- Herrera, C.M. Multiplicity in Unity: Plant Subindividual Variation and Interactions with Animals (Interspecific Interactions); University of Chicago Press: Chicago, IL, USA, 2009. [Google Scholar]
- Cuevas-Reyes, P.; Gilberti, L.; González-Rodríguez, A.; Fernandes, G.W. Patterns of herbivory and fluctuating asymmetry in Solanum lycocarpum St. Hill (Solanaceae) along an urban gradient in Brazil. Ecol. Indic. 2013, 24, 557–561. [Google Scholar] [CrossRef]
- Ribeiro, V.A.; da Silva, R.N.; Sousa-Souto, L.; Neves, F.S. Fluctuating asymmetry of and herbivory on Poincianella pyramidalis (Tul.) L. P. Queiroz (Fabaceae) in pasture and secondary tropical dry forest. Acta Bot. Bras. 2013, 27, 21–25. [Google Scholar] [CrossRef]
- Fernandes, G.W.; De Oliveira, S.C.; Campos, I.R.; Barbosa, M.; Soares, L.A.; Cuevas-Reyes, P. Leaf fluctuating asymmetry and herbivory of Tibouchina heteromalla in restored and natural environments. Neotrop. Entomol. 2016, 45, 44–49. [Google Scholar] [CrossRef] [PubMed]
- Zvereva, E.L.; Kozlov, M.V.; Niemelä, P.; Haukioja, E. Delayed induced resistance and increase in leaf fluctuating asymmetry as responses of Salix borealis to insect herbivory. Oecologia 1997, 109, 368–373. [Google Scholar] [CrossRef] [PubMed]
- Bañuelos, M.J.; Sierra, M.; Obeso, J.-R. Sex, secondary compounds and asymmetry: Effects on plant-herbivore interaction in a dioecious shrub. Acta Oecol. 2004, 25, 151–157. [Google Scholar] [CrossRef]
- Telhado, C.; Esteves, D.; Cornelissen, T.; Fernandes, G.W.; Carneiro, M.A. Insect herbivores of Coccoloba cereifera do not select asymmetric plants. Environ. Entomol. 2010, 39, 849–855. [Google Scholar] [CrossRef] [PubMed]
- Da Costa, F.V.; Pinheiro de Azevedo, I.F.; Braga, L.L.; Perillo, L.N.; Neves, F.S. Fluctuating asymmetry and herbivory in two ontogenetical stages of Chamaecrista semaphora in restored and natural environments. J. Plant Interact. 2013, 8, 179–186. [Google Scholar] [CrossRef]
- Cornelissen, T.; Stiling, P. Perfect is best: Low leaf fluctuating asymmetry reduces herbivory by leaf miners. Oecologia 2005, 142, 46–56. [Google Scholar] [CrossRef] [PubMed]
- Kozlov, M.V.; Zverev, V.; Zvereva, E.L. Do defoliating insects distinguish between symmetric and asymmetric leaves within a plant? Ecol. Entomol. 2018. under review. [Google Scholar]
- Brown, V.K.; Lawton, J.H. Herbivory and the evolution of leaf size and shape. Philos. Trans. R. Soc. Lond. B 1991, 333, 265–272. [Google Scholar] [CrossRef]
- Bernays, E.A.; Chapman, R.F. Host-Plant Selection by Phytophagous Insects; Chapman and Hall: New York, NY, USA, 1994. [Google Scholar]
- Hagen, S.B.; Debeausse, S.; Yoccoz, N.G.; Folstad, I. Autumn coloration as a signal of tree condition. Proc. R. Soc. Lond. B Biol. Sci. 2004, 271, S184–S185. [Google Scholar] [CrossRef] [PubMed]
- Alves-Silva, E.; Del-Claro, K. Herbivory causes increases in leaf spinescence and fluctuating asymmetry as a mechanism of delayed induced resistance in a tropical savanna tree. Plant Ecol. Evol. 2016, 149, 73–80. [Google Scholar] [CrossRef]
- Díaz, M.; Pulido, F.J.; Møller, A.P. Herbivore effects on developmental instability and fecundity of holm oaks. Oecologia 2004, 139, 224–234. [Google Scholar] [CrossRef] [PubMed]
- Kozlov, M.V. Contrasting response of mountain birch to damage by Eriocrania leafminers in polluted and unpolluted habitats. Can. J. Bot. 2005, 83, 73–79. [Google Scholar] [CrossRef]
- Atkinson, M.D. Betula pendula Roth (B. verrucosa Ehrh.) and B. pubescens Ehrh. J. Ecol. 1992, 80, 837–870. [Google Scholar] [CrossRef]
- Kozlov, M.V.; Zvereva, E.L. Confirmation bias in studies of fluctuating asymmetry. Ecol. Indic. 2015, 57, 293–297. [Google Scholar] [CrossRef]
- Kozlov, M.V.; Cornelissen, T.; Gavrikov, D.E.; Kunavin, M.A.; Lama, A.D.; Milligan, J.R.; Zverev, V.; Zvereva, E.L. Reproducibility of fluctuating asymmetry measurements in plants: Sources of variation and implications for study design. Ecol. Indic. 2017, 73, 733–740. [Google Scholar] [CrossRef]
- Palmer, A.R.; Strobeck, C. Fluctuating asymmetry—Measurement, analysis, patterns. Annu. Rev. Ecol. Syst. 1986, 17, 391–421. [Google Scholar] [CrossRef]
- Merilä, J.; Björklund, M. Fluctuating asymmetry and measurement error. Syst. Biol. 1995, 44, 97–101. [Google Scholar] [CrossRef]
- SAS Institute. SAS/Stat. User’s Guide, Version 9.2; SAS Institute: Cary, NC, USA, 2009. [Google Scholar]
- Kozlov, M.V.; Wilsey, B.J.; Koricheva, J.; Haukioja, E. Fluctuating asymmetry of birch leaves increases under pollution impact. J. Appl. Ecol. 1996, 33, 1489–1495. [Google Scholar] [CrossRef]
- Wilsey, B.J.; Haukioja, E.; Koricheva, J.; Sulkinoja, M. Leaf fluctuating asymmetry increases with hybridization and elevation in tree-line birches. Ecology 1998, 79, 2092–2099. [Google Scholar] [CrossRef]
- Ivanov, V.P.; Ivanov, Y.V.; Marchenko, S.I.; Kuznetsov, V.V. Application of fluctuating asymmetry indexes of silver birch leaves for diagnostics of plant communities under technogenic pollution. Russ. J. Plant Physiol. 2015, 62, 340–348. [Google Scholar] [CrossRef]
- Zverev, V.; Lama, D.M.; Kozlov, M.V. Fluctuating asymmetry of birch leaves did not increase with pollution and drought stress in a controlled experiment. Ecol. Indic. 2018, 84, 283–289. [Google Scholar] [CrossRef]
- Kenward, M.G.; Roger, J.H. An improved approximation to the precision of fixed effects from restricted maximum likelihood. Comput. Stat. Data Anal. 2009, 53, 2583–2595. [Google Scholar] [CrossRef]
- Freeman, D.C.; Graham, J.H.; Emlen, J.M. Developmental stability in plants—Symmetries, stress and epigenesis. Genetica 1993, 89, 97–119. [Google Scholar] [CrossRef]
- Graham, J.H.; Raz, S.; Hel-Or, H.; Nevo, E. Fluctuating asymmetry: Methods, theory, and applications. Symmetry 2010, 2, 466–540. [Google Scholar] [CrossRef]
- Kozlov, M.V.; Niemelä, P.; Mälkönen, E. Effects of compensatory fertilisation on pollution-induced stress in Scots pine. Water Air Soil Pollut. 2002, 134, 307–318. [Google Scholar] [CrossRef]
- Zvereva, E.L.; Kozlov, M.V. Facilitation of bilberry by mountain birch in habitat severely disturbed by pollution: Importance of sheltering. Environ. Exp. Bot. 2007, 60, 170–176. [Google Scholar] [CrossRef]
- Møller, A.P.; Shykoff, J.A. Morphological developmental stability in plants: Patterns and causes. Int. J. Plant Sci. 1999, 160, S135–S146. [Google Scholar] [CrossRef] [PubMed]
- Kozlov, M.V.; Lanta, V.; Zverev, V.; Zvereva, E.L. Global patterns in background losses of woody plant foliage to insects. Glob. Ecol. Biogeogr. 2015, 24, 1126–1135. [Google Scholar] [CrossRef]
- Myers, J.H.; Sarfraz, R.M. Impacts of insect herbivores on plant populations. Annu. Rev. Entomol. 2017, 62, 207–230. [Google Scholar] [CrossRef] [PubMed]
- Kozlov, M.V.; Zvereva, E.L. Background insect herbivory: Impacts, patterns and methodology. In Progress in Botany; Cánovas, F., Lüttge, U., Matyssek, R., Eds.; Springer: Cham, Switzerland, 2017; Volume 79, pp. 315–355. [Google Scholar]
- Haukioja, E.; Koricheva, J. Tolerance to herbivory in woody versus herbaceous plants. Evol. Ecol. 2000, 14, 551–562. [Google Scholar] [CrossRef]
- Zvereva, E.L.; Zverev, V.E.; Kozlov, M.V. Little strokes fell great oaks: Minor but chronic herbivory substantially reduces birch growth. Oikos 2012, 121, 2036–2043. [Google Scholar] [CrossRef]
- De Sibio, P.R.; Rossi, M.N. Oviposition of a leaf-miner on Erythroxylum tortuosum (Erythroxylaceae) leaves: Hierarchical variation of physical leaf traits. Aust. J. Bot. 2012, 60, 136–142. [Google Scholar] [CrossRef]
- Lempa, K.; Martel, J.; Koricheva, J.; Haukioja, E.; Ossipov, V.; Ossipova, S.; Pihlaja, K. Covariation of fluctuating asymmetry, herbivory and chemistry during birch leaf expansion. Oecologia 2000, 122, 354–360. [Google Scholar] [CrossRef] [PubMed]
- Lehtilä, K. Optimal distribution of herbivory and localized compensatory responses within a plant. Vegetatio 1996, 127, 99–109. [Google Scholar] [CrossRef]

| Effect Type | Source of Variation | FA (2009) | Leaf Damage (2008) | ||
|---|---|---|---|---|---|
| Test Statistics | p | Test Statistics | p | ||
| Fixed | Treatment 1 | F1,61 = 3.40 | 0.07 | F1,61 = 117.4 | <0.0001 |
| Insect group | F5,40 = 0.33 | 0.89 | F5,40 = 2.24 | 0.06 | |
| Treatment × Insect group | F5,61 = 0.69 | 0.63 | F5,61 = 0.85 | 0.52 | |
| Random | Site | χ1 = 0.00 | 0.99 | χ1 = 0.00 | 0.99 |
| Tree (Site) | χ1 = 0.07 | 0.80 | χ1 = 2.86 | 0.09 | |
© 2018 by the authors. Licensee MDPI, Basel, Switzerland. This article is an open access article distributed under the terms and conditions of the Creative Commons Attribution (CC BY) license (http://creativecommons.org/licenses/by/4.0/).
Share and Cite
Kozlov, M.V.; Gavrikov, D.E.; Zverev, V.; Zvereva, E.L. Local Insect Damage Reduces Fluctuating Asymmetry in Next-year’s Leaves of Downy Birch. Insects 2018, 9, 56. https://doi.org/10.3390/insects9020056
Kozlov MV, Gavrikov DE, Zverev V, Zvereva EL. Local Insect Damage Reduces Fluctuating Asymmetry in Next-year’s Leaves of Downy Birch. Insects. 2018; 9(2):56. https://doi.org/10.3390/insects9020056
Chicago/Turabian StyleKozlov, Mikhail V., Dmitry E. Gavrikov, Vitali Zverev, and Elena L. Zvereva. 2018. "Local Insect Damage Reduces Fluctuating Asymmetry in Next-year’s Leaves of Downy Birch" Insects 9, no. 2: 56. https://doi.org/10.3390/insects9020056
APA StyleKozlov, M. V., Gavrikov, D. E., Zverev, V., & Zvereva, E. L. (2018). Local Insect Damage Reduces Fluctuating Asymmetry in Next-year’s Leaves of Downy Birch. Insects, 9(2), 56. https://doi.org/10.3390/insects9020056

