Quality Assessment and Host Preference of Telenomus podisi (Hymenoptera: Scelionidae) for Fresh and Cryopreserved Euschistus heros (Hemiptera: Pentatomidae) Eggs
Simple Summary
Abstract
1. Introduction
2. Materials and Methods
2.1. Insects Colonies
2.2. Bioassays
2.2.1. Telenomus podisi Host Preference Test
2.2.2. Identification of Endosymbionts
2.2.3. Morphometry
2.2.4. Flight Capacity of Offspring
2.3. Statistical Analyses
3. Results
3.1. Host Preference Test
3.2. Identification of Endosymbionts
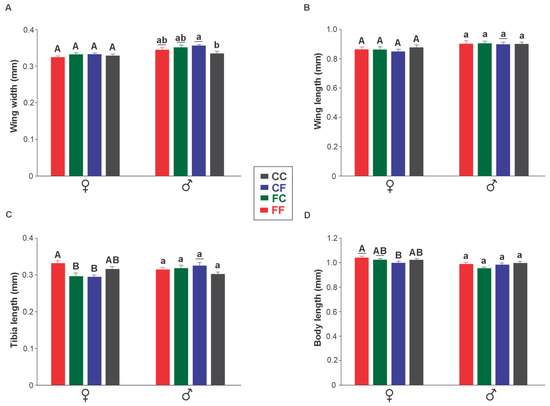
3.3. Morphometry
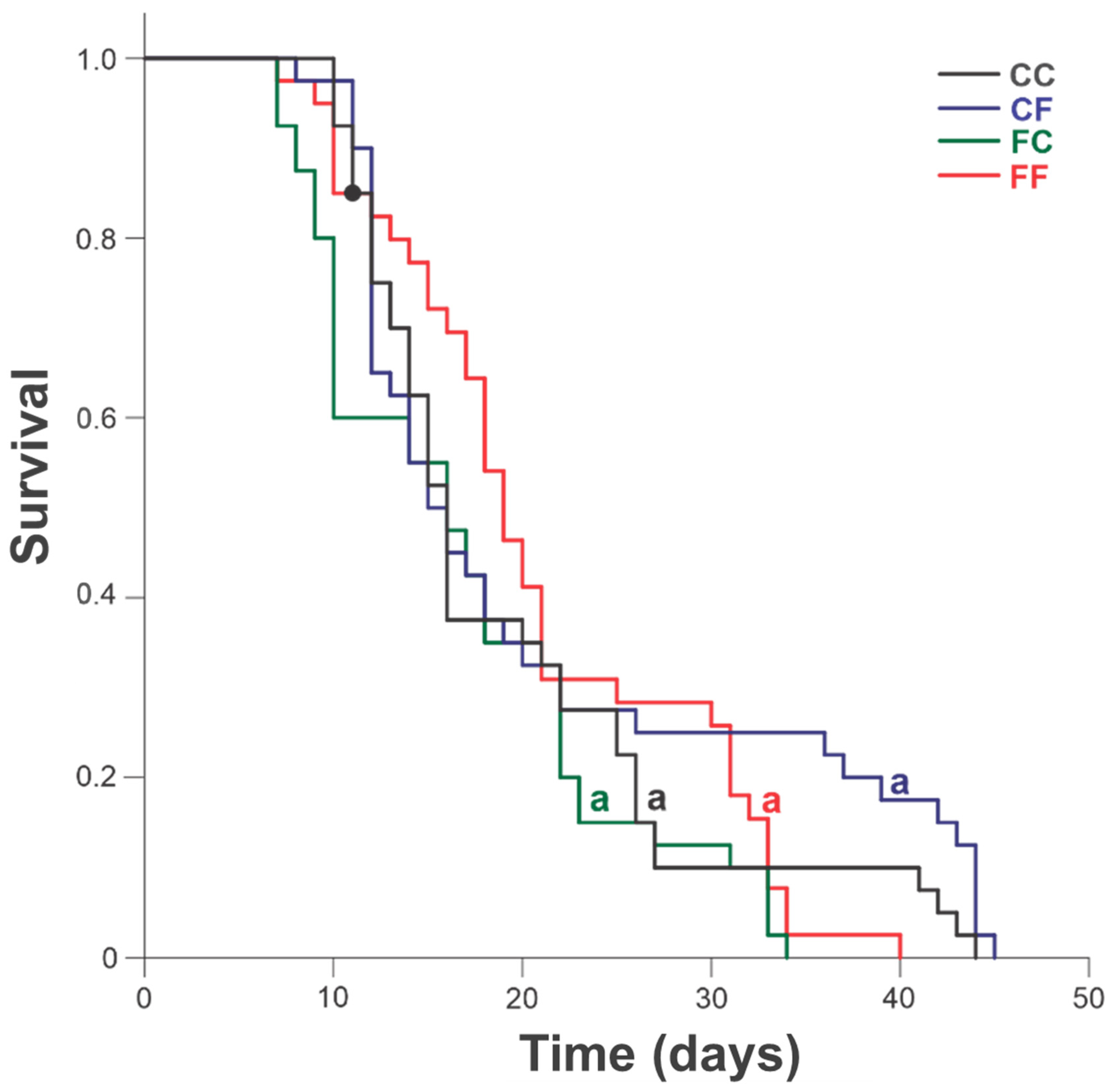
3.4. Flight Capacity of Emmerged Adults
4. Discussion
5. Conclusions
Supplementary Materials
Author Contributions
Funding
Data Availability Statement
Acknowledgments
Conflicts of Interest
Correction Statement
References
- Liu, H.; Gishini, M.F.S.; Pope, M.; Doehring, T.; Kachroo, P.; Hildebrand, D. Comparison of the quality of soybean meal and oil by soybean production origin. J. Am. Oil Chem. Soc. 2024, 101, 817–826. [Google Scholar] [CrossRef]
- Qin, P.; Wang, T.; Luo, Y. A review on plant-based proteins from soybean: Health benefits and soy product development. J. Agric. Food Res. 2022, 7, 100265. [Google Scholar] [CrossRef]
- Defensor, M.O.; Gonring, A.H.R.; Borges, L.F.; Martínez, L.C.; Plata-Rueda, A.; Fernandes, F.L. Relationship between stink bug populations and soybean (Glycine max L.) phenology. Int. J. Trop. Insect Sci. 2021, 41, 225–229. [Google Scholar] [CrossRef]
- Saldanha, A.V.; Horikoshi, R.; Dourado, P.; Lopez-Ovejero, R.F.; Berger, G.U.; Martinelli, S.; Head, G.P.; Moraes, T.; Corrêa, A.S.; Schwertner, C.F. The first extensive analysis of species composition and abundance of stink bugs (Hemiptera: Pentatomidae) on soybean crops in Brazil. Pest Manag. Sci. 2024, 80, 3945–3956. [Google Scholar] [CrossRef] [PubMed]
- Bueno, A.F.; Colmenarez, Y.C.; Carnevalli, R.A.; Sutil, W.P. Benefits and Perspectives of Adopting Soybean-IPM: The Success of a Brazilian Programme. Plant Health Cases 2023, 1, phcs20230006. [Google Scholar] [CrossRef]
- Bueno, A.F.; Panizzi, A.R.; Hunt, T.E.; Dourado, P.M.; Pitta, R.M.; Gonçalves, J. Challenges for adoption of integrated pest management (IPM): The soybean example. Neotrop. Entomol. 2021, 50, 5–20. [Google Scholar] [CrossRef] [PubMed]
- Sosa-Gómez, D.R.; Corrêa-Ferreira, B.S.; Kraemer, B.; Pasini, A.; Husch, P.E.; Delfino Vieira, C.E.; Reis Martinez, C.B.; Negrão Lopes, I.O. Prevalence, damage, management and insecticide resistance of stink bug populations (Hemiptera: Pentatomidae) in commodity crops. Agric. For. Entomol. 2020, 22, 99–118. [Google Scholar] [CrossRef]
- Torres, J.B.; Bueno, A.d.F. Conservation biological control using selective insecticides—A valuable tool for IPM. Biol. Control 2018, 126, 53–64. [Google Scholar] [CrossRef]
- Kuldna, P.; Peterson, K.; Poltimäe, H.; Luig, J. An application of DPSIR framework to identify issues of pollinator loss. Ecol. Econ. 2009, 69, 32–42. [Google Scholar] [CrossRef]
- van Lenteren, J.C.; Bolckmans, K.; Köhl, J.; Ravensberg, W.J.; Urbaneja, A. Biological control using invertebrates and microorganisms: Plenty of new opportunities. BioControl 2018, 63, 39–59. [Google Scholar] [CrossRef]
- Bueno, A.d.F.; Sutil, W.P.; Jahnke, S.M.; Carvalho, G.A.; Cingolani, M.F.; Colmenarez, Y.C.; Corniani, N. Biological control as part of the soybean integrated pest management (IPM): Potential and challenges. Agronomy 2023, 13, 2532. [Google Scholar] [CrossRef]
- Bueno, R.C.O.F.; Parra, J.R.P.; Bueno, A.F. Trichogramma pretiosum parasitism and dispersal capacity: A basis for developing biological control programs for soybean caterpillars. Bull. Entomol. Res. 2012, 102, 1–8. [Google Scholar] [CrossRef] [PubMed]
- Silva, G.V.; Bueno, A.D.F.; Neves, P.M.O.J.; Favetti, B.M. Biological characteristics and parasitism capacity of Telenomus podisi (Hymenoptera: Platygastridae) on eggs of Euschistus heros (Hemiptera: Pentatomidae). J. Agric. Sci. 2018, 10, 210. [Google Scholar] [CrossRef]
- Bueno, A.F.; Sutil, W.P.; Roswadoski, L.; Colmenarez, Y.C. Augmentative biological control of stink bugs on soybean: The brazilian scenario. CABI Agric. Biosci. 2024, 5, 58. [Google Scholar]
- Nakama, P.A.; Foerster, L.A. Effect of alternating temperatures on the development and emergence of Trissolcus basalis (Wollaston) and Telenomus podisi Ashmead (Hymenoptera: Scelionidae). Neotrop. Entomol. 2001, 30, 269–275. [Google Scholar] [CrossRef]
- Oliveira, R.C.D.; Ikuno, P.H.P.; Pratissoli, D.; de Carvalho, J.R.; Hoback, W.W.; Salamina, B.A.Z. Biological characteristics and thermal requirements of Telenomus podisi and Trissolcus basalis (Hymenoptera: Scelionidae) in fresh and cryopreserved eggs of Euschistus heros and Nezara viridula (Hemiptera: Pentatomidae). Agronomy 2024, 14, 170. [Google Scholar] [CrossRef]
- Parra, L.M.; de Carvalho, J.R.; Hoback, W.W.; de Oliveira, R.C. Optimizing mass rearing of the egg parasitoid, Telenomus podisi, for control of the brown stink bug, Euschistus heros. Insects 2023, 14, 435. [Google Scholar] [CrossRef] [PubMed]
- Favetti, B.M.; Butnariu, A.R.; Doetzer, A.K. Storage of Euschistus heros eggs (Fabricius) (Hemiptera: Pentatomidae) in liquid nitrogen for parasitization by Telenomus podisi Ashmead (Hymenoptera: Platygastridae). Neotrop. Entomol. 2014, 43, 291–293. [Google Scholar] [CrossRef] [PubMed]
- Borges, M.; Laumann, R.A.; Da Silva, C.C.A.; Moraes, M.C.B.; Dos Santos, H.M.; Ribeiro, D.T. Metodologias de Criação e Manejo de Colônias de Percevejos da Soja (Hemiptera—Pentatomidae) Para Estudos de Comportamento e Ecologia Química; Documentos: Brasilia, Brazil, 2006; Volume 182. [Google Scholar]
- Silva, C.C.; Laumann, R.A.; Blassioli, M.C.; Pareja, M.; Borges, M. Euschistus heros mass rearing technique for the multiplication of Telenomus podisi. Pesqui. Agropecu. Bras. 2008, 43, 575–580. [Google Scholar] [CrossRef]
- Tognon, R.; Sant’Ana, J.; Zhang, Q.H.; Millar, J.G.; Aldrich, J.R.; Zalom, F.G. Volatiles mediating parasitism of Euschistus conspersus and Halyomorpha halys eggs by Telenomus podisi and Trissolcus erugatus. J. Chem. Ecol. 2016, 42, 1016–1027. [Google Scholar] [CrossRef] [PubMed]
- Michereff, M.F.F.; Borges, M.; Aquino, M.F.S.; Laumann, R.A.; Mendes Gomes, A.C.M.; Blassioli-Moraes, M.C. The influence of volatile semiochemicals from stink bug eggs and oviposition-damaged plants on the foraging behaviour of the egg parasitoid Telenomus podisi. Bull. Entomol. Res. 2016, 106, 663–671. [Google Scholar] [CrossRef]
- Thuler, R.T.; De Bortoli, S.A. Metodologia para avaliação da preferência hospedeira de parasitóides do gênero Trichogramma Westood. Boletín Sanid. Vegetal. Plagas 2007, 33, 333–340. [Google Scholar]
- Walsh, P.S.; Metzger, D.A.; Higuchi, R. Chelex 100 as a medium for simple extraction of DNA for PCR-based typing from forensic material. Biotechniques 1991, 10, 506–513. [Google Scholar] [CrossRef] [PubMed]
- Coombs, N.J.; Gough, A.C.; Primrose, J.N. Optimisation of DNA and RNA extraction from archival formalin-fixed tissue. Nucleic Acids Res. 1999, 27, e12-i–e12-iii. [Google Scholar] [CrossRef]
- Thao, M.L.L.; Baumann, P. Evidence for multiple acquisition of Arsenophonus by whitefly species (Sternorrhyncha: Aleyrodidae). Curr. Microbiol. 2004, 48, 140–144. [Google Scholar] [CrossRef]
- Zchori-Fein, E.; Perlman, S.J. Distribution of the bacterial symbiont Cardinium in arthropods. Mol. Ecol. 2004, 13, 2009–2016. [Google Scholar] [CrossRef]
- Zchori-Fein, E.; Brown, J.K. Diversity of prokaryotes associated with Bemisia tabaci (Gennadius) (Hemiptera: Aleyrodidae). Ann. Entomol. Soc. Am. 2002, 95, 711–718. [Google Scholar] [CrossRef]
- Vossbrinck, C.R.; Baker, M.D.; Didier, E.S.; Debrunner-Vossbrinck, B.A.; Shadduck, J.A. Ribosomal DNA Sequences of Encephalitozoon Hellem and Encephalitozoon Cuniculi: Species Identification and Phylogenetic Construction. J. Eukaryot. Microbiol. 1993, 40, 354–362. [Google Scholar] [CrossRef]
- Gottlieb, Y.; Ghanim, M.; Chiel, E.; Gerling, D.; Portnoy, V.; Steinberg, S.; Tzuri, G.; Horowitz, A.R.; Belausov, E.; Mozes-Daube, N.; et al. Identification and localization of a Rickettsia sp. in Bemisia tabaci (Homoptera: Aleyrodidae). Appl. Environ. Microbiol. 2006, 72, 3646–3652. [Google Scholar] [CrossRef]
- Zhu, H.; Sun, S.J.; Dang, H.Y. PCR detection of Serratia spp. using primers targeting pfs and luxS genes involved in AI-2-dependent quorum sensing. Curr. Microbiol. 2008, 57, 326–330. [Google Scholar] [CrossRef]
- Nováková, E.; Hypša, V. A new Sodalis lineage from bloodsucking fly Craterina melbae (Diptera, Hippoboscoidea) originated independently of the tsetse flies symbiont Sodalis glossinidius. FEMS Microbiol. Lett. 2007, 269, 131–135. [Google Scholar] [CrossRef] [PubMed]
- Montenegro, H.; Solferini, V.N.; Klaczko, L.B.; Hurst, G.D.D. Male-killing Spiroplasma naturally infecting Drosophila melanogaster. Insect Mol. Biol. 2005, 14, 281–287. [Google Scholar] [CrossRef]
- Heddi, A.; Grenier, A.M.; Khatchadourian, C.; Charles, H.; Nardon, P. Four intracellular genomes direct weevil biology: Nuclear, mitochondrial, principal endosymbiont, and Wolbachia. Proc. Natl. Acad. Sci. USA 1999, 96, 6814–6819. [Google Scholar] [CrossRef] [PubMed]
- Prezotti, L.; Parra, J.R.R.; Vencovsky, R.; Dias, C.T.D.S.; Cruz, I.; Chagas, M.C.M. Teste de vôo como critério de avaliação da qualidade de Trichogramma pretiosum Riley (Hymenoptera: Trichogrammatidae): Adaptação de metodologia. Neotrop. Entomol. 2002, 31, 411–417. [Google Scholar] [CrossRef]
- Shapiro, S.S.; Wilk, M.B. An analysis of variance test for normality (complete samples). Biometrika 1965, 52, 591–611. [Google Scholar] [CrossRef]
- Burr, I.W.; Foster, L.A. A Test for Equality of Variances; Mimeograph Series; University of Purdue, Department of Statistics: West Lafayette, IN, USA, 1972; Volume 282, pp. 1–26. [Google Scholar]
- Krechemer, F.d.S.; Foerster, L.A. Mass production of Trichogramma spp. using Mythimna sequax eggs stored in liquid nitrogen. BioControl 2016, 61, 497–505. [Google Scholar] [CrossRef]
- Paixão, M.F.; Foerster, L.A.; Foerster, M.d.R. The potential of Mythimna sequax Franclemont eggs for the production of Trichogramma spp. after cryopreservation in liquid nitrogen. Rev. Cienc. Agron. 2018, 49, 70–77. [Google Scholar] [CrossRef]
- Lenteren, J.V.; Hale, A.; Klapwijk, J.N.; Schelt, J.V.; Steinberg, S. Guidelines for quality control of commercially produced natural enemies. In Quality Control and Production of Biological Control Agents: Theory and Testing Procedures; CABI Publishing: Wallingford, UK, 2003; pp. 265–303. [Google Scholar]
- Stefano, K.; Bellon, P.P. Teste de voo como critério de avaliação da qualidade de Telenomus podisi (Hymenoptera: Scelionidae). Res. Soc. Dev. 2023, 12, e23412541717. [Google Scholar] [CrossRef]
- Vinson, S.B. Comportamento de seleção hospedeira de parasitóides de ovos, com ênfase na família Trichogrammatidae. In Trichogramma e o Controle Biológico Aplicado; FEALQ: Piracicaba, Brazil, 1997; pp. 67–119. [Google Scholar]
- Russell, J.E.; Nunney, L.; Saum, M.; Stouthamer, R. Host and symbiont genetic contributions to fitness in a Trichogramma-Wolbachia symbiosis. PeerJ 2018, 6, e4655. [Google Scholar] [CrossRef] [PubMed]
- Sasidharan, A.; Ghosh, E.; Venkatesan, R. Making a healthy choice: Tactical host selection behaviour of a parasitoid wasp. Ecol. Entomol. 2024, 49, 881–890. [Google Scholar] [CrossRef]
- Withers, T.M.; Allen, G.R.; Todoroki, C.L.; Pugh, A.R.; Gresham, B.A. Observations of parasitoid behaviour in both no-choice and choice tests are consistent with proposed ecological host range. Entomol. Exp. Appl. 2021, 169, 97–110. [Google Scholar] [CrossRef]
- Murray, T.J.; Withers, T.M.; Mansfield, S. Choice versus no-choice test interpretation and the role of biology and behavior in parasitoid host specificity tests. Biol. Control 2010, 52, 153–159. [Google Scholar] [CrossRef]
- Werren, J.H. Biology of Wolbachia. Annu. Rev. Entomol. 1997, 42, 587–609. [Google Scholar] [CrossRef]
- Ribeiro, M.F.; Carvalho, V.R.; Favoreto, A.L.; de Marchi, B.R.; Bello, V.H.; Jordan, C.; Soliman, E.P.; Zanuncio, J.C.; Sabattini, J.A.; Wilcken, C.F. Symbiotic bacteria in the relationship between Anaphes nitens (Hymenoptera: Mymaridae) and Gonipterus platensis (Coleoptera: Curculionidae). Austral. Ecol. 2023, 48, 182–196. [Google Scholar] [CrossRef]
- Naranjo-Guevara, N.; Santos, L.A.O.; Barbosa, N.C.C.P.; Castro, A.C.M.C.; Fernandes, O.A. Long-term mass rearing impacts performance of the egg parasitoid Telenomus remus (Hymenoptera: Platygastridae). J. Entomol. Sci. 2020, 55, 69–86. [Google Scholar] [CrossRef]
- Chen, W.; Liu, H.; Chen, B.; Chen, J.; Wang, M.; Shen, Z.; Li, Y.; Mao, J.; Zhang, L. Quality assessment of Telenomus remus successively reared on Spodoptera litura eggs for 30 generations. Pest Manag. Sci. 2023, 79, 2891–2901. [Google Scholar] [CrossRef]




| Endosymbionts | |||||||||||
|---|---|---|---|---|---|---|---|---|---|---|---|
| Ars. | Card. | Ham. | Reg. | Ric. | Ser. | Sod. | Spi. | Wol. | Nos. | Cars. | |
| FF | - | - | - | - | - | + | - | - | + | - | - |
| FC | - | - | - | - | - | + | - | - | + | - | - |
| CF | - | - | - | - | - | + | - | - | + | - | - |
| CC | - | - | - | - | - | - | - | - | + | - | - |
| FE | - | - | - | - | - | - | - | - | - | - | - |
| CE | - | - | - | - | - | - | - | - | - | - | - |
Disclaimer/Publisher’s Note: The statements, opinions and data contained in all publications are solely those of the individual author(s) and contributor(s) and not of MDPI and/or the editor(s). MDPI and/or the editor(s) disclaim responsibility for any injury to people or property resulting from any ideas, methods, instructions or products referred to in the content. |
© 2025 by the authors. Licensee MDPI, Basel, Switzerland. This article is an open access article distributed under the terms and conditions of the Creative Commons Attribution (CC BY) license (https://creativecommons.org/licenses/by/4.0/).
Share and Cite
Ramos, G.S.; Hayashida, R.; Ikuno, P.H.P.; Carvalho, V.R.d.; Hoback, W.W.; Oliveira, R.C.d. Quality Assessment and Host Preference of Telenomus podisi (Hymenoptera: Scelionidae) for Fresh and Cryopreserved Euschistus heros (Hemiptera: Pentatomidae) Eggs. Insects 2025, 16, 86. https://doi.org/10.3390/insects16010086
Ramos GS, Hayashida R, Ikuno PHP, Carvalho VRd, Hoback WW, Oliveira RCd. Quality Assessment and Host Preference of Telenomus podisi (Hymenoptera: Scelionidae) for Fresh and Cryopreserved Euschistus heros (Hemiptera: Pentatomidae) Eggs. Insects. 2025; 16(1):86. https://doi.org/10.3390/insects16010086
Chicago/Turabian StyleRamos, Gabryele Silva, Rafael Hayashida, Pedro Hiroshi Passos Ikuno, Vanessa Rafaela de Carvalho, William Wyatt Hoback, and Regiane Cristina de Oliveira. 2025. "Quality Assessment and Host Preference of Telenomus podisi (Hymenoptera: Scelionidae) for Fresh and Cryopreserved Euschistus heros (Hemiptera: Pentatomidae) Eggs" Insects 16, no. 1: 86. https://doi.org/10.3390/insects16010086
APA StyleRamos, G. S., Hayashida, R., Ikuno, P. H. P., Carvalho, V. R. d., Hoback, W. W., & Oliveira, R. C. d. (2025). Quality Assessment and Host Preference of Telenomus podisi (Hymenoptera: Scelionidae) for Fresh and Cryopreserved Euschistus heros (Hemiptera: Pentatomidae) Eggs. Insects, 16(1), 86. https://doi.org/10.3390/insects16010086

