Vitellogenins Level as a Biomarker of the Honeybee Colony Strength in Urban and Rural Conditions
Simple Summary
Abstract
1. Introduction
2. Materials and Methods
2.1. The Experimental Setup
2.2. Bee Colony Strength Estimating
2.3. Vitellogenins Level Determination
2.4. Statistical Analysis
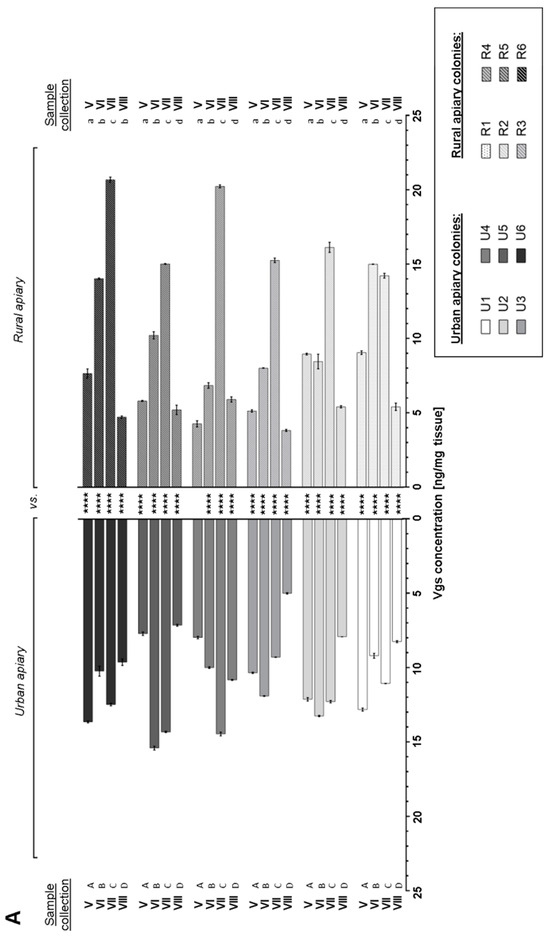
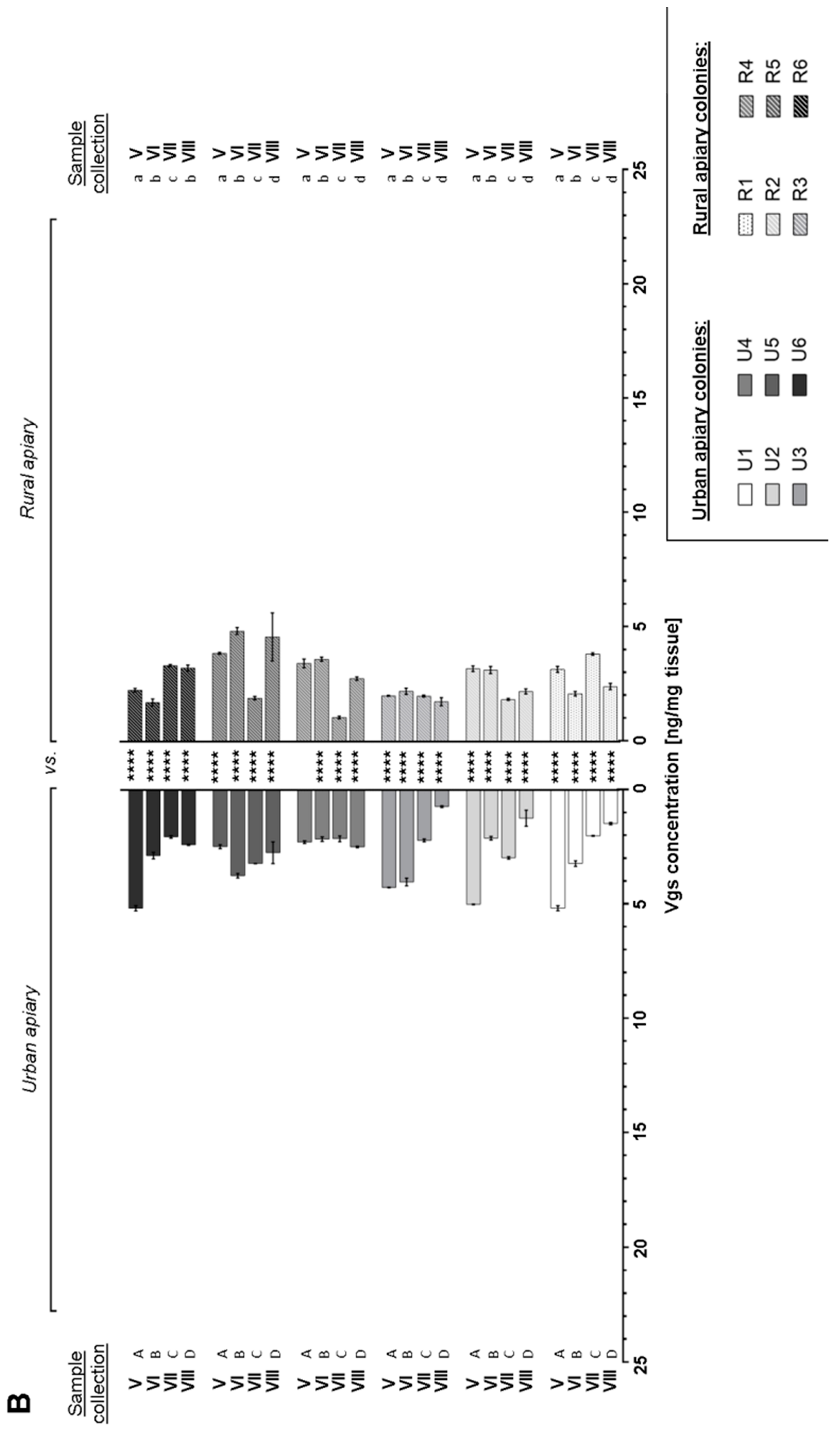
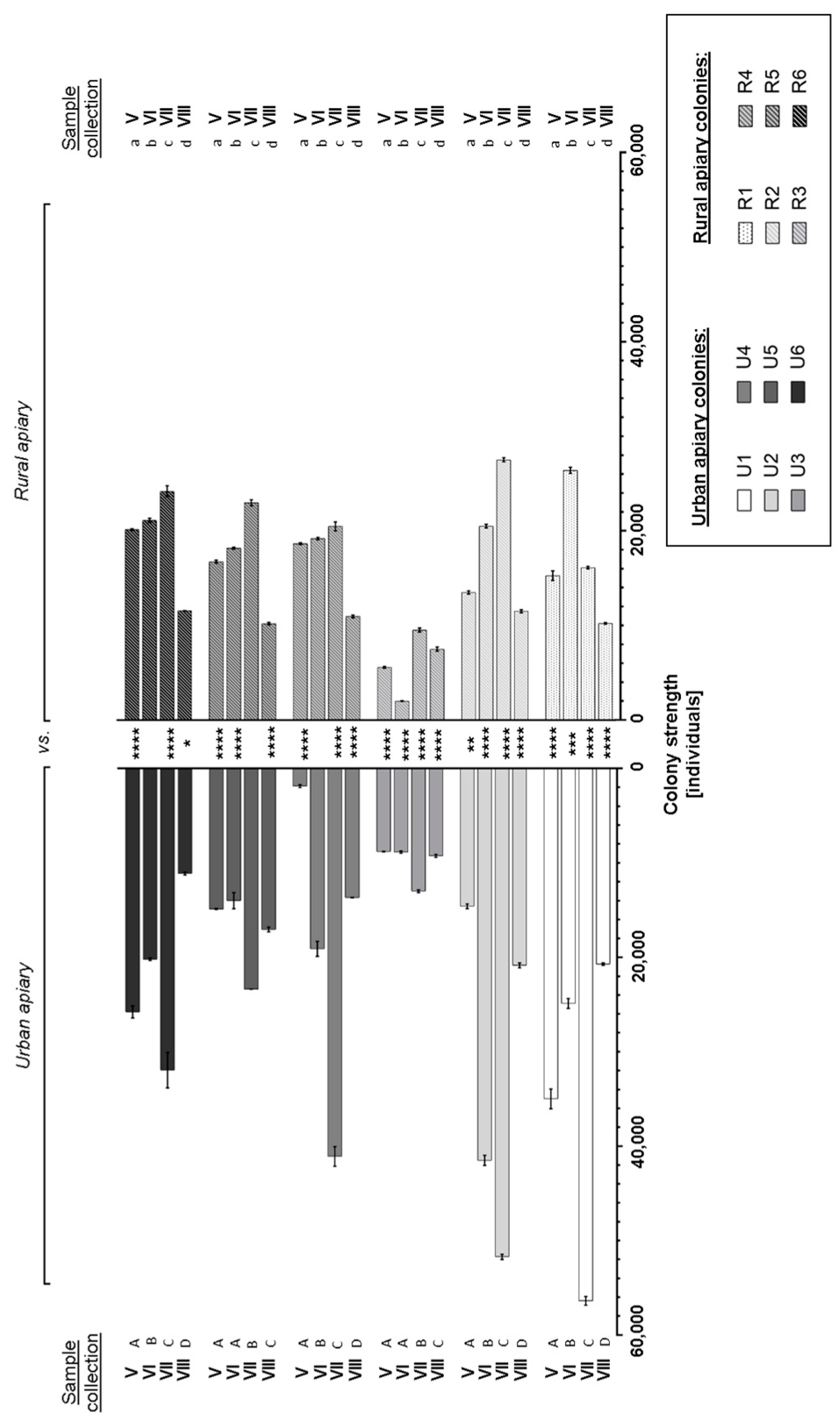
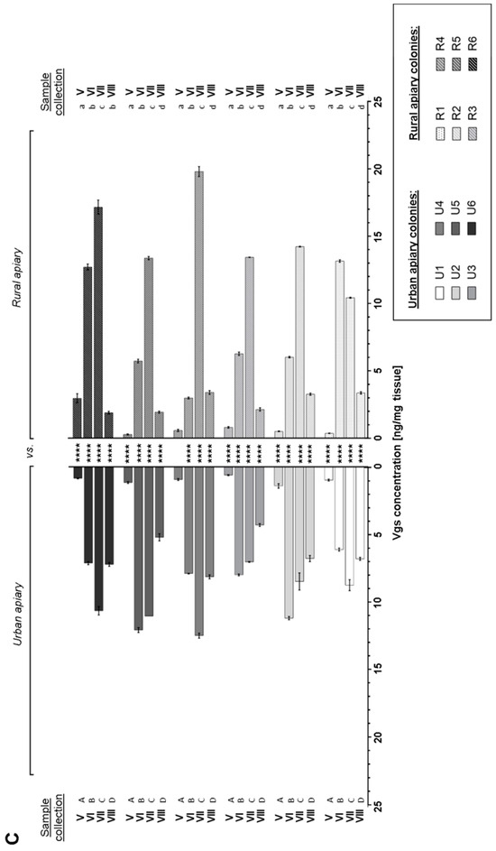
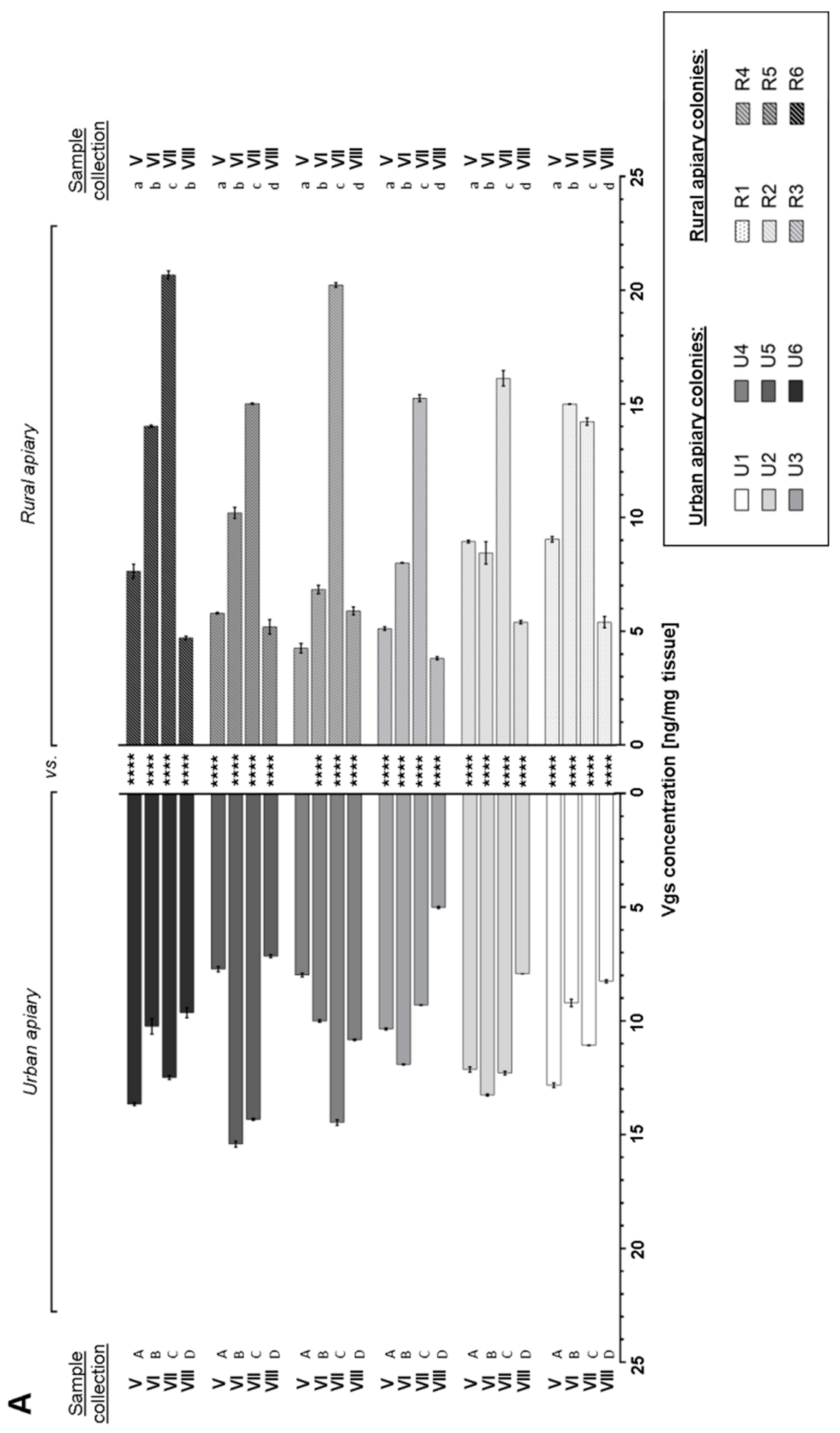
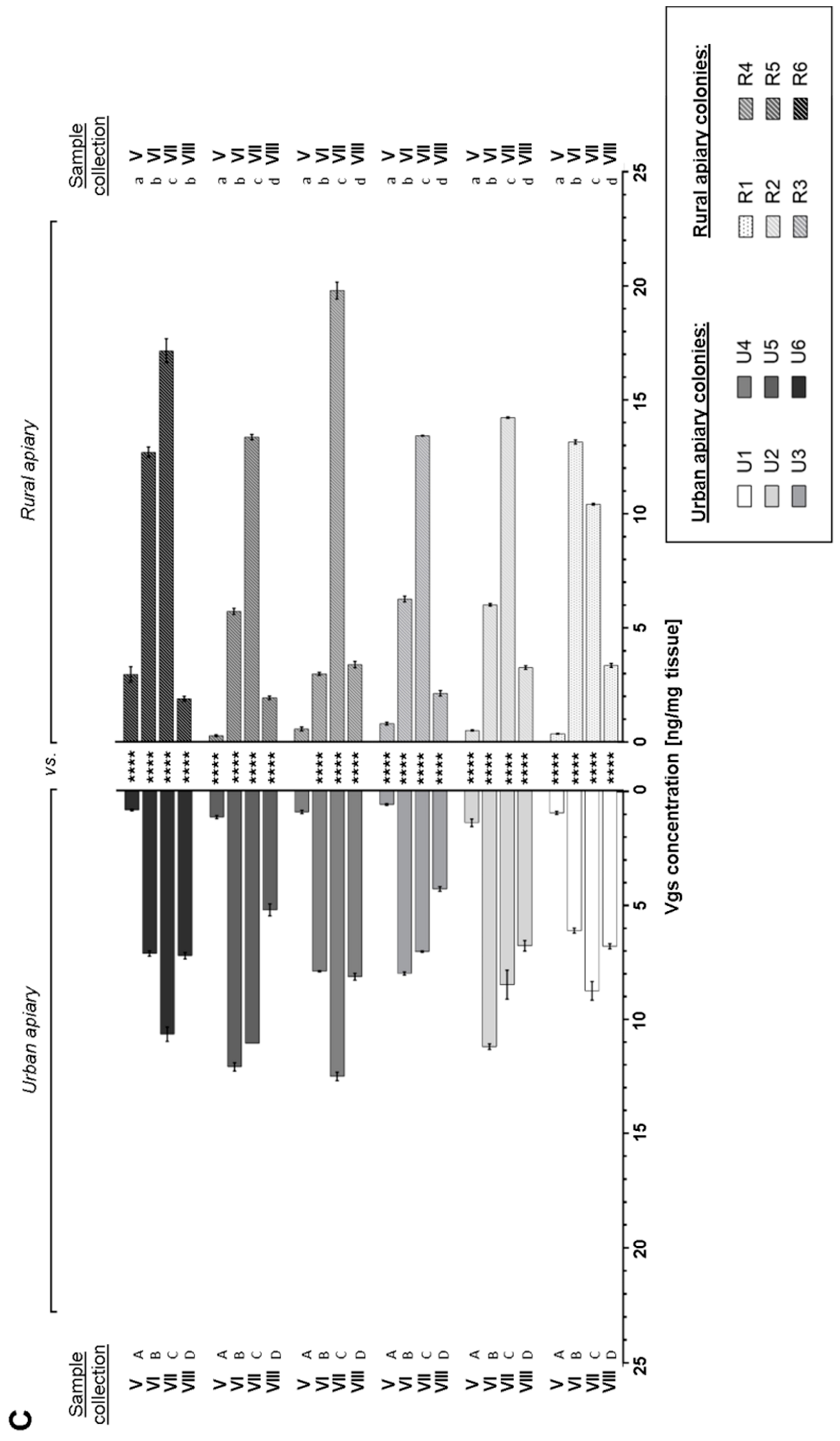
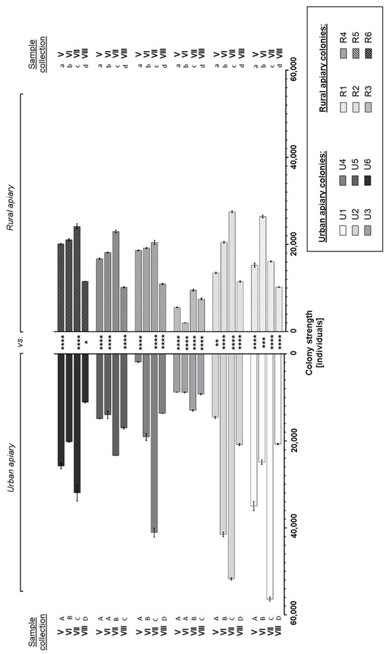
3. Results
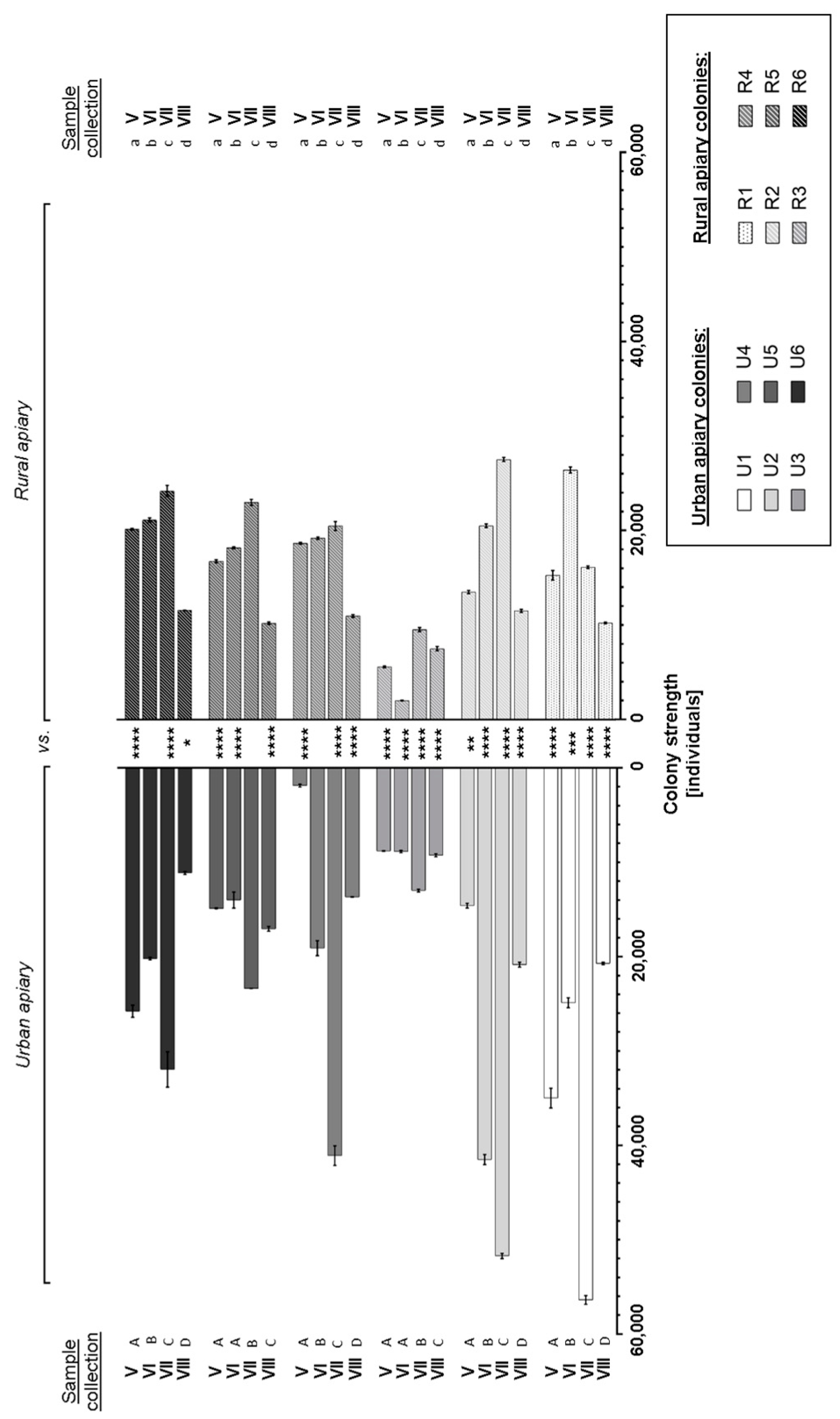
3.1. Colony Strength
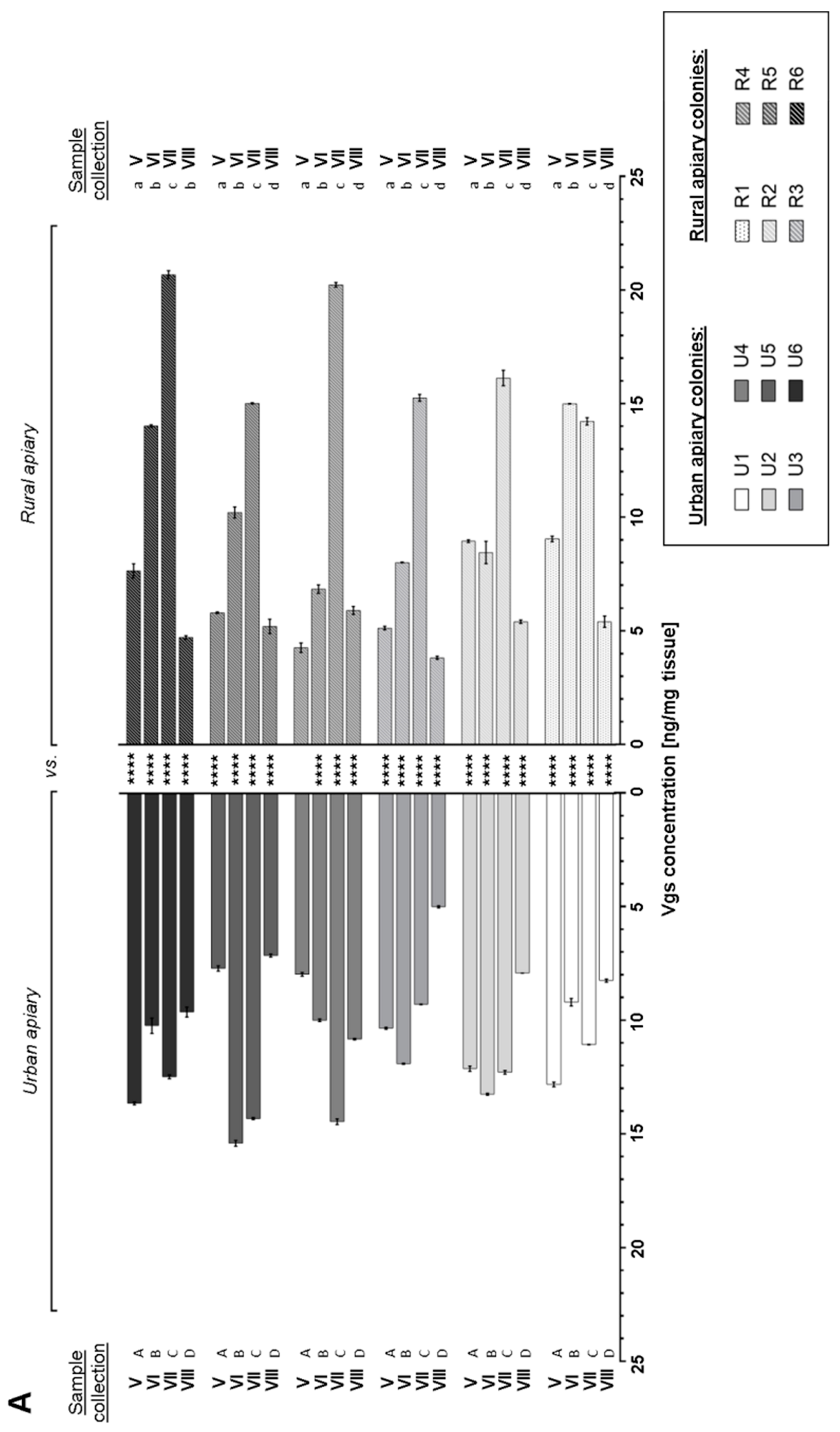
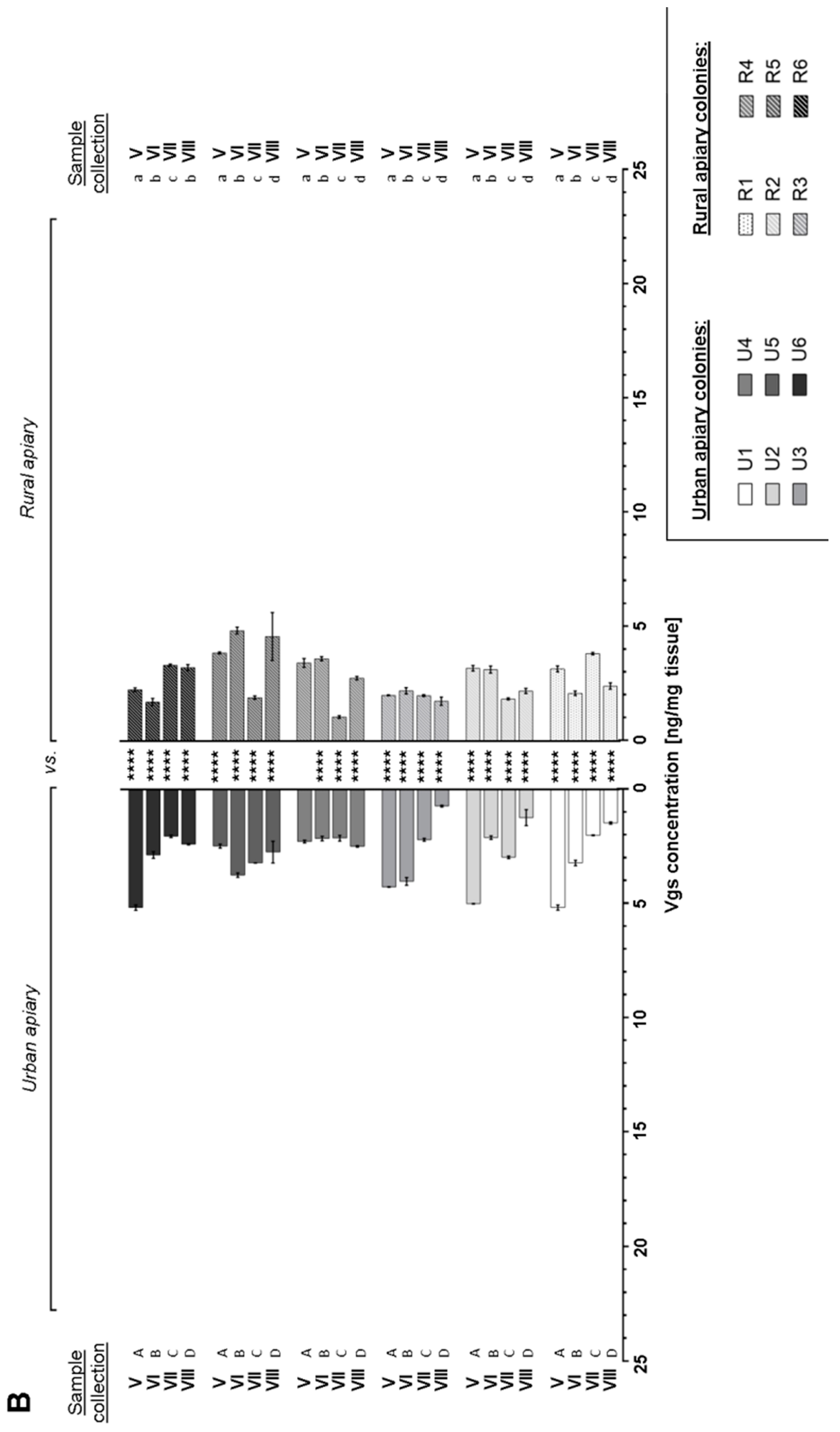
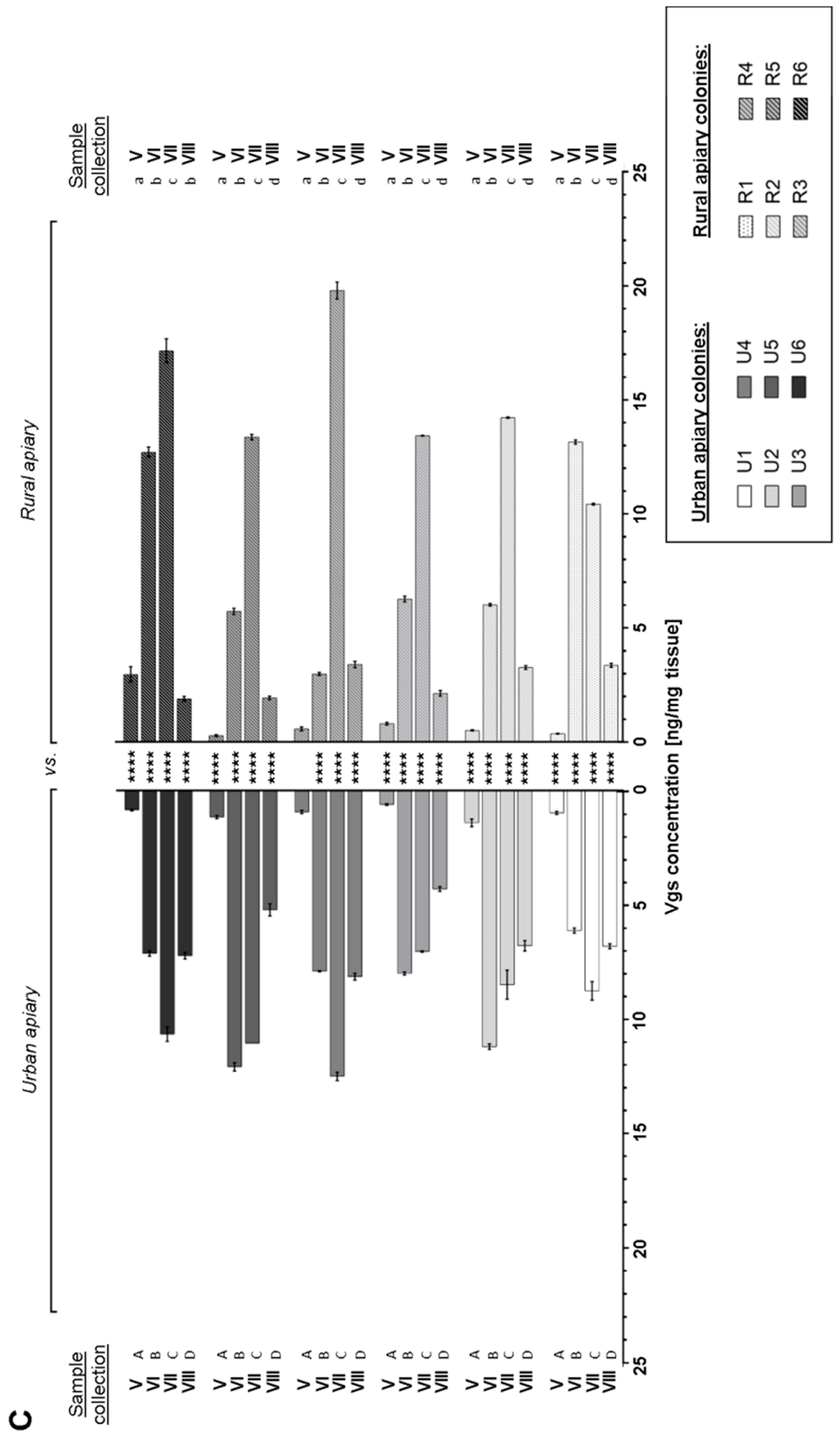
3.2. Vitellogenins Level
4. Discussion
5. Conclusions
Supplementary Materials
Author Contributions
Funding
Data Availability Statement
Conflicts of Interest
References
- Matsuzawa, T.; Kohsaka, R. Status and Trends of Urban Beekeeping Regulations: A Global Review. Earth 2021, 2, 933–942. [Google Scholar] [CrossRef]
- Couvillon, M.J.; Schürch, R.; Ratnieks, F.L.W. Dancing Bees Communicate a Foraging Preference for Rural Lands in High-Level Agri-Environment Schemes. Curr. Biol. 2014, 24, 1212–1215. [Google Scholar] [CrossRef] [PubMed]
- Hall, D.M.; Camilo, G.R.; Tonietto, R.K.; Ollerton, J.; Ahrné, K.; Arduser, M.; Ascher, J.S.; Baldock, K.C.R.; Fowler, R.; Frankie, G.; et al. The City as a Refuge for Insect Pollinators. Conserv. Biol. 2017, 31, 24–29. [Google Scholar] [CrossRef] [PubMed]
- European Environment Agency City Bees. Available online: http://www.eea.europa.eu/atlas/eea/city-bees/story/article (accessed on 17 January 2022).
- Banaszak-Cibicka, W.; Żmihorski, M. Wild Bees along an Urban Gradient: Winners and Losers. J. Insect Conserv. 2012, 16, 331–343. [Google Scholar] [CrossRef]
- Lowenstein, D.M.; Matteson, K.C.; Xiao, I.; Silva, A.M.; Minor, E.S. Humans, Bees, and Pollination Services in the City: The Case of Chicago, IL (USA). Biodivers. Conserv. 2014, 23, 2857–2874. [Google Scholar] [CrossRef]
- Lecocq, A.; Kryger, P.; Vejsnæs, F.; Jensen, A.B. Weight Watching and the Effect of Landscape on Honeybee Colony Productivity: Investigating the Value of Colony Weight Monitoring for the Beekeeping Industry. PLoS ONE 2015, 10, e0132473. [Google Scholar] [CrossRef] [PubMed]
- Nicewicz, Ł.; Nicewicz, A.W.; Kafel, A.; Nakonieczny, M. Set of Stress Biomarkers as a Practical Tool in the Assessment of Multistress Effect Using Honeybees from Urban and Rural Areas as a Model Organism: A Pilot Study. Environ. Sci. Pollut. Res. 2021, 28, 9084–9096. [Google Scholar] [CrossRef]
- Zarić, N.M.; Brodschneider, R.; Goessler, W. Honey Bees as Biomonitors—Variability in the Elemental Composition of Individual Bees. Environ. Res. 2022, 204, 112237. [Google Scholar] [CrossRef]
- van Straalen, N. Ecotoxicology Becomes Stress Ecology. Environ. Sci Technol. 2003, 1, 326–330. [Google Scholar]
- Tufail, M.; Takeda, M. Molecular Characteristics of Insect Vitellogenins. J. Insect Physiol. 2008, 54, 1447–1458. [Google Scholar] [CrossRef]
- Amdam, G.; Fennern, E.; Havukainen, H. Vitellogenin in Honey Bee Behavior and Lifespan. In Honeybee Neurobiology and Behavior; Galizia, C., Eisenhardt, D., Giurfa, M., Eds.; Springer: Berlin/Heidelberg, Germany, 2012; pp. 17–31. [Google Scholar]
- Piulachs, M.D.; Guidugli, K.R.; Barchuk, A.R.; Cruz, J.; Simões, Z.L.P.; Bellés, X. The Vitellogenin of the Honey Bee, Apis Mellifera: Structural Analysis of the CDNA and Expression Studies. Insect Biochem. Mol. Biol. 2003, 33, 459–465. [Google Scholar] [CrossRef]
- Seehuus, S.C.; Krekling, T.; Amdam, G.V. Cellular Senescence in Honey Bee Brain Is Largely Independent of Chronological Age. Exp. Gerontol. 2006, 41, 1117–1125. [Google Scholar] [CrossRef]
- Zhang, W.; Liu, Z.; Zhu, M.; Ma, L.; Wang, Y.; Wang, H.; Guo, X.; Xu, B. Molecular Cloning, Expression and Oxidative Stress Response of the Vitellogenin Gene (AccVg) from Apis Cerana Cerana. Apidologie 2017, 48, 599–611. [Google Scholar] [CrossRef]
- Nelson, C.M.; Ihle, K.E.; Fondrk, M.K.; Page, R.E.; Amdam, G.V. The Gene Vitellogenin Has Multiple Coordinating Effects on Social Organization. PLoS Biol. 2007, 5, 0673–0677. [Google Scholar] [CrossRef]
- Amdam, G.; Simoes, Z.; Hagen, A.; Norberg, K.; Schroder, K.; Mikkelsen, O. Hormonal Control of the Yolk Precursor Vitellogenin Regulates Immune Function and Longevity in Honeybees. Exp. Gerontol. 2004, 39, 767–773. [Google Scholar] [CrossRef]
- Havukainen, H.; Münch, D.; Baumann, A.; Zhong, S.; Halskau, Ø.; Krogsgaard, M.; Amdam, G.V. Vitellogenin Recognizes Cell Damage through Membrane Binding and Shields Living Cells from Reactive Oxygen Species. J. Biol. Chem. 2013, 288, 28369–28381. [Google Scholar] [CrossRef] [PubMed]
- Salmela, H.; Amdam, G.V.; Freitak, D. Transfer of Immunity from Mother to Offspring Is Mediated via Egg-Yolk Protein Vitellogenin. PLoS Pathog. 2015, 11, e1005015. [Google Scholar] [CrossRef]
- Alaux, C.; Dantec, C.; Parrinello, H.; Le Conte, Y. Nutrigenomics in Honey Bees: Digital Gene Expression Analysis of Pollen’s Nutritive Effects on Healthy and Varroa-Parasitized Bees. BMC Genom. 2011, 12, 496. [Google Scholar] [CrossRef]
- Matozzo, V.; Gagné, F.; Marin, M.G.; Ricciardi, F.; Blaise, C. Vitellogenin as a Biomarker of Exposure to Estrogenic Compounds in Aquatic Invertebrates: A Review. Environ. Int. 2008, 34, 531–545. [Google Scholar] [CrossRef]
- Christen, V.; Vogel, M.S.; Hettich, T.; Fent, K. A Vitellogenin Antibody in Honey Bees (Apis mellifera): Characterization and Application as Potential Biomarker for Insecticide Exposure. Environ. Toxicol. Chem. 2019, 38, 1074–1083. [Google Scholar] [CrossRef] [PubMed]
- Delaplane, K.S.; Dag, A.; Danka, R.G.; Freitas, B.M.; Garibaldi, L.A.; Goodwin, R.M.; Hormaza, J.I. Standard Methods for Pollination Research with Apis Mellifera. J. Apic. Res. 2013, 52, 1–28. [Google Scholar] [CrossRef]
- Efficacy evaluation of plant protection product. Side-Effects on Honeybees. EPPO Bull. PP 1/170 2010, 40, 313–319. [Google Scholar] [CrossRef]
- Medrzycki, P.; Giffard, H.; Aupinel, P.; Belzunces, L.P.; Chauzat, M.P.; Claßen, C.; Colin, M.E.; Dupont, T.; Girolami, V.; Johnson, R.; et al. Standard Methods for Toxicology Research in Apis Mellifera. J. Apic. Res. 2013, 52, 1–60. [Google Scholar] [CrossRef]
- General Directorate for National Roads and Motorways (Generalna Dyrekcja Dróg Krajowych i Autostrad). General Traffic Measurement 2020/2021. Report; General Directorate for National Roads and Motorways (Generalna Dyrekcja Dróg Krajowych i Autostrad): Warsaw, Poland, 2021.
- Delaplane, K.S.; Van Der Steen, J.; Guzman-Novoa, E. Standard Methods for Estimating Strength Parameters of Apis Mellifera Colonies. J. Apic. Res. 2013, 52, 1–12. [Google Scholar] [CrossRef]
- Strachecka, A.; Olszewski, K.; Kuszewska, K.; Chobotow, J.; Wójcik, Ł.; Paleolog, J.; Woyciechowski, M. Segmentation of the Subcuticular Fat Body in Apis Mellifera Females with Different Reproductive Potentials. Sci. Rep. 2021, 11, 13887. [Google Scholar] [CrossRef]
- EFSA. Assessing the Health Status of Managed Honeybee Colonies (HEALTHY-B): A Toolbox to Facilitate Harmonised Data Collection. EFSA J. 2016, 14, e04578. [Google Scholar] [CrossRef]
- Gilioli, G.; Sperandio, G.; Hatjina, F.; Simonetto, A. Towards the Development of an Index for the Holistic Assessment of the Health Status of a Honey Bee Colony. Ecol. Indic. 2019, 101, 341–347. [Google Scholar] [CrossRef]
- Glenny, W.; Cavigli, I.; Daughenbaugh, K.F.; Radford, R.; Kegley, S.E.; Flenniken, M.L. Honey Bee (Apis Mellifera) Colony Health and Pathogen Composition in Migratory Beekeeping Operations Involved in California Almond Pollination. PLoS ONE 2017, 12, e0182814. [Google Scholar] [CrossRef]
- Samuelson, A.E.; Gill, R.J.; Leadbeater, E. Urbanisation Is Associated with Reduced Nosema Sp. Infection, Higher Colony Strength and Higher Richness of Foraged Pollen in Honeybees. Apidologie 2020, 51, 746–762. [Google Scholar] [CrossRef]
- Smart, M.; Otto, C.; Cornman, R.; Iwanowicz, D. Using Colony Monitoring Devices to Evaluate the Impacts of Land Use and Nutritional Value of Forage on Honey Bee Health. Agriculture 2018, 8, 2. [Google Scholar] [CrossRef]
- Abou-Shaara, H.F.; Owayss, A.A.; Ibrahim, Y.Y.; Basuny, N.K. A Review of Impacts of Temperature and Relative Humidity on Various Activities of Honey Bees. Insectes Soc. 2017, 64, 455–463. [Google Scholar] [CrossRef]
- Riessberger-Gallé, U.; Crailsheim, K. Original Article upon the Behaviour of Forager and Nurse Honey Bees. Apidologie 1997, 28, 411–426. [Google Scholar]
- Le Conte, Y.; Arnold, G.; Desenfant, P. Influence of Brood Temperature and Hygrometry Variations on the Development of the Honey Bee Ectoparasite Varroa Jacobsoni (Mesostigmata: Varroidae). Environ. Entomol. 1990, 19, 1780–1785. [Google Scholar] [CrossRef]
- Corona, M.; Velarde, R.A.; Remolina, S.; Moran-Lauter, A.; Wang, Y.; Hughes, K.A.; Robinson, G.E. Vitellogenin, Juvenile Hormone, Insulin Signaling, and Queen Honey Bee Longevity. Proc. Natl. Acad. Sci. USA 2007, 104, 7128–7133. [Google Scholar] [CrossRef]
- Münch, D.; Ihle, K.E.; Salmela, H.; Amdam, G.V. Vitellogenin in the Honey Bee Brain: Atypical Localization of a Reproductive Protein That Promotes Longevity. Exp. Gerontol. 2015, 71, 103–108. [Google Scholar] [CrossRef]
- Seehuus, S.C.; Norberg, K.; Gimsa, U.; Krekling, T.; Amdam, G.V. Reproductive Protein Protects Functionally Sterile Honey Bee Workers from Oxidative Stress. Proc. Natl. Acad. Sci. USA 2006, 103, 962–967. [Google Scholar] [CrossRef] [PubMed]
- Shlomovitz, I.; Speir, M.; Gerlic, M. Flipping the Dogma—Phosphatidylserine in Non-Apoptotic Cell Death. Cell Commun. Signal. 2019, 17, 139. [Google Scholar] [CrossRef] [PubMed]
- Christen, V.; Fent, K. Exposure of Honey Bees (Apis mellifera) to Different Classes of Insecticides Exhibit Distinct Molecular Effect Patterns at Concentrations That Mimic Environmental Contamination. Environ. Pollut. 2017, 226, 48–59. [Google Scholar] [CrossRef]
- Di Pasquale, G.; Alaux, C.; Le Conte, Y.; Odoux, J.F.; Pioz, M.; Vaissière, B.E.; Belzunces, L.P.; Decourtye, A. Variations in the Availability of Pollen Resources Affect Honey Bee Health. PLoS ONE 2016, 11, e0162818. [Google Scholar] [CrossRef]
- Smart, M.; Pettis, J.; Rice, N.; Browning, Z.; Spivak, M. Linking Measures of Colony and Individual Honey Bee Health to Survival among Apiaries Exposed to Varying Agricultural Land Use. PLoS ONE 2016, 11, e0152685. [Google Scholar] [CrossRef]
- Alaux, C.; Allier, F.; Decourtye, A.; Odoux, J.F.; Tamic, T.; Chabirand, M.; Delestra, E.; Decugis, F.; Le Conte, Y.; Henry, M. A ‘Landscape Physiology’ Approach for Assessing Bee Health Highlights the Benefits of Floral Landscape Enrichment and Semi-Natural Habitats. Sci. Rep. 2017, 7, 40568. [Google Scholar] [CrossRef] [PubMed]
- Brodschneider, R.; Crailsheim, K. Nutrition and Health in Honey Bees. Apidologie 2010, 41, 278–294. [Google Scholar] [CrossRef]
- Sammataro, D.; Avitabile, A. The Beekeeper’s Handbook, 4th ed.; Sammataro, D., Avitabile, A., Eds.; Cornell University Press: New York, NY, USA, 2011; ISBN 9780801449819. [Google Scholar]
- Woyke, J. Biologia Pszczół. In Hodowla Pszczół; Wilde, J., Prabucki, J., Eds.; PWRiL Sp. z o.o.: Poznań, Poland, 2008; pp. 77–121. [Google Scholar]
- Amdam, G.V.; Omholt, S.W. The Hive Bee to Forager Transition in Honeybee Colonies: The Double Repressor Hypothesis. J. Theor. Biol. 2003, 223, 451–464. [Google Scholar] [CrossRef] [PubMed]




| Factors | df | F | p |
|---|---|---|---|
| Localization | 1 | 9634.2 | 0.001 |
| Subsequent colonies | 5 | 5866.5 | 0.001 |
| Data of sample collection | 3 | 9022.7 | 0.001 |
| Localization Subsequent colonies | 5 | 1716.0 | 0.001 |
| Localization Data of sample collection | 3 | 2122.9 | 0.001 |
| Subsequent colonies Data of sample collection | 15 | 805.4 | 0.001 |
| Localization Subsequent colonies Data of sample collection | 15 | 795.6 | 0.001 |
| Factors | df | F | p |
|---|---|---|---|
| Localization | 1 | 2.9 | 0.0008 |
| Subsequent colonies | 5 | 194.6 | 0.0000001 |
| Data of material collection | 3 | 4339.4 | 0.0000001 |
| Tissue | 2 | 15,479.1 | 0.0000001 |
| Localization Subsequent colonies | 5 | 54.4 | 0.0000001 |
| Localization Data of material collection | 3 | 1495.7 | 0.0000001 |
| Subsequent colonies Data of material collection | 15 | 141.3 | 0.0000001 |
| Localization Tissue | 2 | 114.4 | 0.0000001 |
| Subsequent colonies Tissue | 10 | 42.6 | 0.0000001 |
| Data of material collection Tissue | 6 | 2387.0 | 0.0000001 |
| Localization Subsequent colonies Data of material collection | 15 | 113.5 | 0.0000001 |
| Localization Subsequent colonies Tissue | 10 | 44.6 | 0.0000001 |
| Localization Data of material collection Tissue | 6 | 240.5 | 0.0000001 |
| Subsequent colonies Data of material collection Tissue | 30 | 53.2 | 0.0000001 |
| Localization Subsequent colonies Data of material collection Tissue | 30 | 48.9 | 0.0000001 |
| Vgs Concentration | ||||||||||||||||||||
|---|---|---|---|---|---|---|---|---|---|---|---|---|---|---|---|---|---|---|---|---|
| 1 | 2 | 3 | 4 | 5 | ||||||||||||||||
| EB | B | FB | EB | B | FB | EB | B | FB | EB | B | FB | EB | B | FB | EB | B | FB | |||
| Vgs concentration | V | EB | 0.15 | −0.25 | −0.71 | 0.46 | 0.95 | 0.8 | −0.2 | −0.5 | 0.38 | 0.78 | −0.1 | 0.17 | ||||||
| B | −0.42 | −0.36 | −0.74 | 0.29 | −0.71 | 0.56 | 0.15 | 0.95 | −0.49 | 0.88 | −0.48 | 0.96 | ||||||||
| FB | −0.30 | −0.98 | 0.99 | −0.83 | −0.71 | −0.99 | 0.15 | 0.15 | −0.85 | 0.88 | −0.88 | 0.83 | ||||||||
| VI | EB | 0.74 | 0.15 | 0.15 | 0.01 | −0.25 | 0.15 | 0.01 | 0.01 | 0.15 | 0.01 | 0.01 | −0.25 | |||||||
| B | 0.25 | 0.15 | 0.15 | 0.98 | 0.15 | 1.00 | 0.01 | 0.51 | 0.15 | −0.9 | 0.01 | −0.8 | ||||||||
| FB | 0.15 | −1.00 | 0.15 | −0.73 | 0.15 | −0.87 | 0.01 | 0.53 | 0.15 | 0.99 | −0.25 | −0.83 | ||||||||
| VII | EB | 0.97 | 0.50 | 0.15 | 0.01 | 0.35 | 0.15 | 0.01 | 0.15 | −0.15 | 0.01 | 0.01 | −0.35 | |||||||
| B | 0.15 | 0.70 | 0.01 | −0.94 | 0.15 | 1.00 | 0.15 | −0.4 | 0.15 | −0.9 | 0.01 | 0.98 | ||||||||
| FB | 0.15 | 0.20 | −0.35 | −0.96 | 0.15 | 0.80 | 0.15 | 0.59 | −0.25 | −0.82 | 0.01 | −0.93 | ||||||||
| VIII | EB | 0.15 | −0.25 | 0.01 | 0.01 | −0.25 | 0.15 | 0.15 | 0.15 | 1.00 | 1.00 | 0.01 | 0.01 | |||||||
| B | 1.00 | 1.00 | −1.00 | 0.21 | −1.00 | −0.99 | 0.89 | −0.9 | 0.15 | 0.15 | −1.00 | 0.95 | ||||||||
| FB | 0.10 | 0.25 | 0.15 | 0.15 | −1.00 | 0.15 | 0.15 | −0.93 | 0.15 | 0.55 | 0.15 | 0.15 | ||||||||

| Vgs Concentration | |||||||||||||||||||
|---|---|---|---|---|---|---|---|---|---|---|---|---|---|---|---|---|---|---|---|
| U1 | U2 | U3 | U4 | U5 | U6 | ||||||||||||||
| EB | B | FB | EB | B | FB | EB | B | FB | EB | B | FB | EB | B | FB | EB | B | FB | ||
| Colony strength | V | 0.10 | 0.10 | 0.12 | 0.00 | 0.02 | 0.00 | 1.00 | 0.10 | 0.10 | 0.01 | 0.10 | 1.00 | 0.15 | 0.00 | −0.02 | 0.10 | 0.00 | 0.01 |
| VI | −1.00 | −0.01 | 0.10 | 1.00 | 0.10 | 0.02 | −1.00 | 0.15 | 0.00 | 1.00 | 0.00 | −0.02 | 1.00 | −0.15 | −0.20 | 1.00 | 0.15 | 0.02 | |
| VII | 1.00 | 0.15 | 0.10 | 1.00 | 0.15 | 0.20 | 1.00 | 0.20 | 0.15 | 1.00 | 0.00 | 0.01 | 1.00 | −0.01 | −0.10 | 1.00 | 0.15 | 0.02 | |
| VIII | −1.00 | −1.00 | 0.10 | −1.00 | 1.00 | 0.15 | −1.00 | 1.00 | 0.00 | −1.00 | 0.02 | −0.07 | 1.00 | −0.02 | −0.15 | −1.00 | 1.00 | 0.02 | |
| Vgs Concentration | |||||||||||||||||||
| R1 | R2 | R3 | R4 | R5 | R6 | ||||||||||||||
| EB | B | FB | EB | B | FB | EB | B | FB | EB | B | FB | EB | B | FB | EB | B | FB | ||
| Colony strenght | V | 1 | 0.00 | 0.10 | 0.15 | 0.01 | 0.10 | 0.00 | 0.15 | 0.01 | 0.10 | 0.01 | 0.01 | 0.00 | 0.15 | 0.15 | 0.10 | 0.01 | 0.01 |
| VI | 0.1 | 0.01 | −1.00 | 1.00 | 0.02 | 0.20 | −1.00 | 0.20 | 0.20 | 1.00 | 0.10 | 0.00 | −1.00 | 0.10 | 0.20 | 1.00 | 0.02 | 0.02 | |
| VII | 0.1 | 0.02 | 0.25 | −1.00 | 0.15 | 0.15 | 1.00 | 0.01 | 0.01 | −1.00 | 0.20 | 0.02 | 1.00 | 0.00 | 0.10 | 1.00 | 0.15 | 0.15 | |
| VIII | 1 | 0.02 | 0.20 | 1.00 | 0.20 | 0.15 | −1.00 | 0.01 | 0.15 | 1.00 | 0.10 | 0.01 | −1.00 | 0.00 | 0.12 | 1.00 | 0.20 | 0.20 | |

Disclaimer/Publisher’s Note: The statements, opinions and data contained in all publications are solely those of the individual author(s) and contributor(s) and not of MDPI and/or the editor(s). MDPI and/or the editor(s) disclaim responsibility for any injury to people or property resulting from any ideas, methods, instructions or products referred to in the content. |
© 2024 by the authors. Licensee MDPI, Basel, Switzerland. This article is an open access article distributed under the terms and conditions of the Creative Commons Attribution (CC BY) license (https://creativecommons.org/licenses/by/4.0/).
Share and Cite
Nicewicz, Ł.; Nicewicz, A.W.; Nakonieczny, M. Vitellogenins Level as a Biomarker of the Honeybee Colony Strength in Urban and Rural Conditions. Insects 2025, 16, 25. https://doi.org/10.3390/insects16010025
Nicewicz Ł, Nicewicz AW, Nakonieczny M. Vitellogenins Level as a Biomarker of the Honeybee Colony Strength in Urban and Rural Conditions. Insects. 2025; 16(1):25. https://doi.org/10.3390/insects16010025
Chicago/Turabian StyleNicewicz, Łukasz, Agata Wanda Nicewicz, and Mirosław Nakonieczny. 2025. "Vitellogenins Level as a Biomarker of the Honeybee Colony Strength in Urban and Rural Conditions" Insects 16, no. 1: 25. https://doi.org/10.3390/insects16010025
APA StyleNicewicz, Ł., Nicewicz, A. W., & Nakonieczny, M. (2025). Vitellogenins Level as a Biomarker of the Honeybee Colony Strength in Urban and Rural Conditions. Insects, 16(1), 25. https://doi.org/10.3390/insects16010025

