Influence of Temperature and Photoperiod on Survival and Development of Eoreuma loftini (Lepidoptera: Crambidae)
Simple Summary
Abstract
1. Introduction
2. Materials and Methods
2.1. Insect Source
2.2. Eoreuma loftini Development Under Varying Temperature
2.2.1. Egg Duration and Hatch Rate
2.2.2. Duration of Larval and Pupal Stages
2.2.3. Oviposition and Adult Longevity
2.3. Thermal Tolerance Under Short- and Long-Day Photoperiods
2.4. Data Analysis
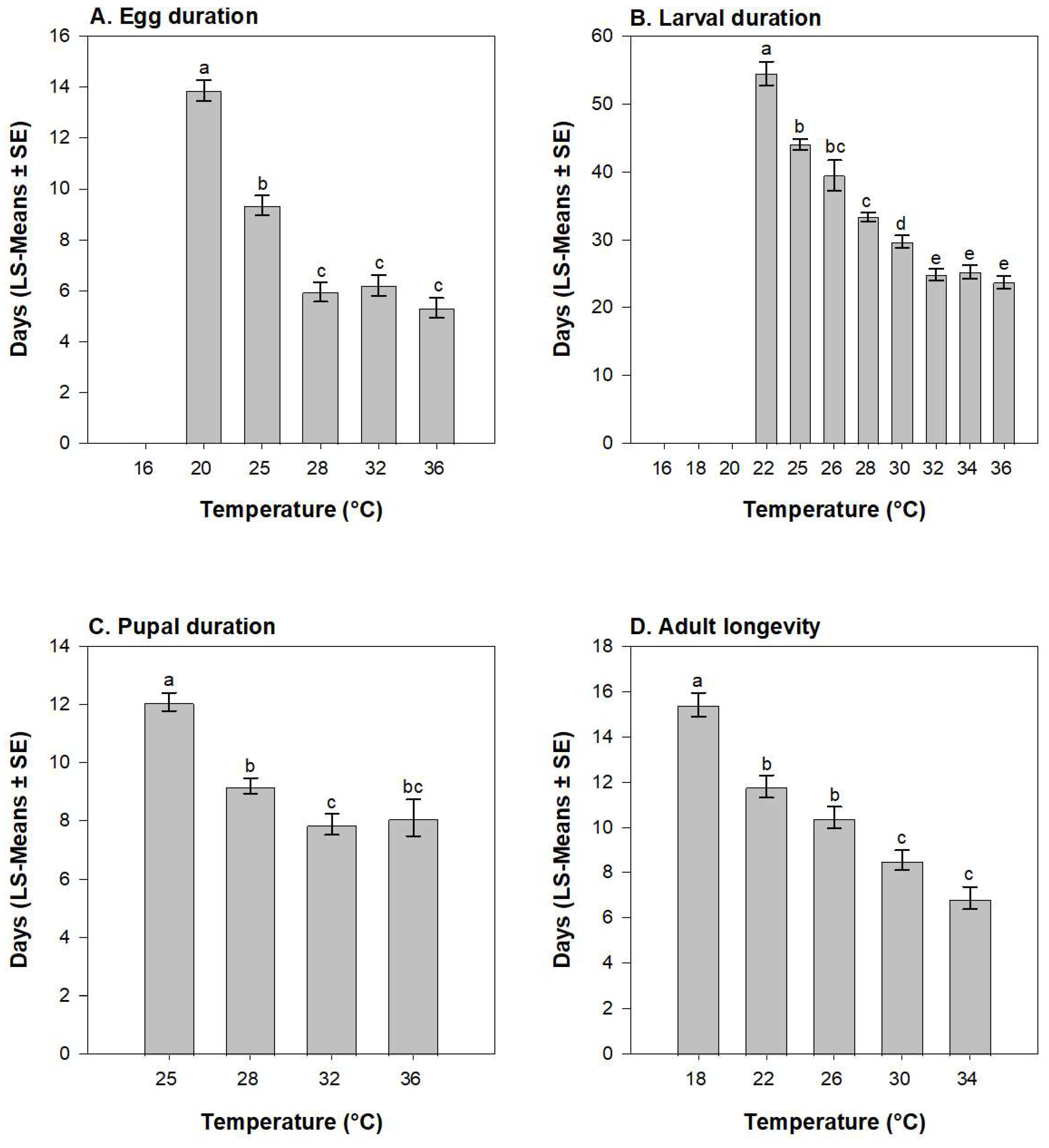
3. Results
3.1. Eoreuma loftini Development Under Varying Temperature
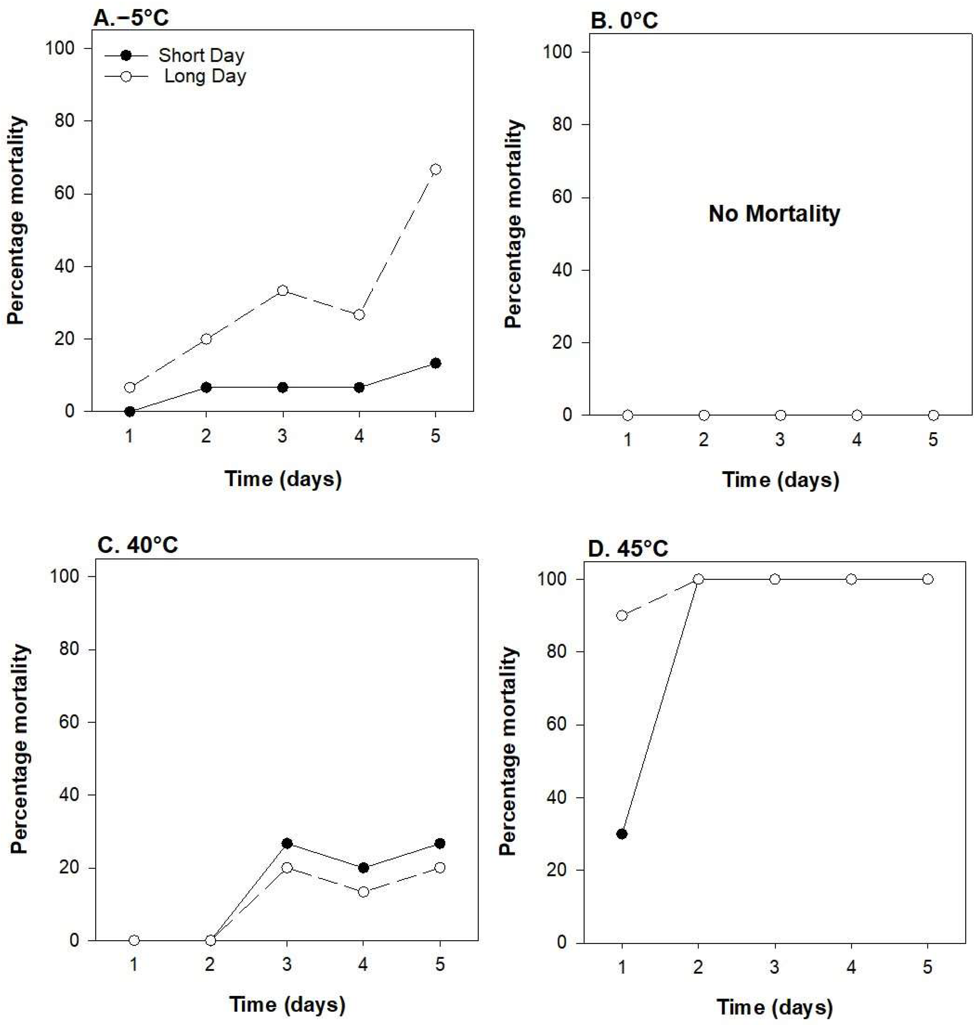
3.2. Thermal Tolerance Under Short- and Long-Day Photoperiod
4. Discussion
Author Contributions
Funding
Data Availability Statement
Acknowledgments
Conflicts of Interest
References
- Beuzelin, J.M.; Wilson, B.E.; VanWeelden, M.T.; Mészáros, A.; Way, M.O.; Stout, M.J.; Reagan, T.E. Biology and management of the Mexican rice borer (Lepidoptera: Crambidae) in rice in the United States. J. Integr. Pest Manag. 2016, 7, 7. [Google Scholar] [CrossRef] [PubMed]
- Showler, A.T. Mexican rice borer control tactics in United States sugarcane. Insects 2019, 10, 160. [Google Scholar] [CrossRef] [PubMed]
- Wilson, B.E.; Hardy, T.N.; Beuzelin, J.M.; VanWeelden, M.T.; Reagan, T.E.; Miller, R.; Meaux, J.; Stout, M.J.; Carlton, C.E. Expansion of the Mexican rice borer (Lepidoptera: Crambidae) into rice and sugarcane in Louisiana. Environ. Entomol. 2015, 44, 757–766. [Google Scholar] [CrossRef]
- Wilson, B.E.; Beuzelin, J.M.; Reagan, T.E. Population distribution and range expansion of the invasive Mexican rice borer (Lepidoptera: Crambidae) in Louisiana. Environ. Entomol. 2017, 46, 175–182. [Google Scholar] [CrossRef]
- VanWeelden, M.; Beuzelin, J.; Swanson, S. Monitoring stem borer pests of sugarcane in Florida’s Everglades Agricultural Area. J. Am. Soc. Sugar Cane Technol. 2021, 41, 7. [Google Scholar]
- Kang, I.; Wilson, B.E.; Carter, B.; Diaz, R. A new detection of the invasive Mexican rice borer (Lepidoptera: Crambidae) from Georgia in the United States based on morphological and molecular data. J. Integ. Pest Manag. 2022, 13, 17. [Google Scholar] [CrossRef]
- Kraus, E.C. Small Farms: On the Front Lines of Emerging Agricultural Pests. Entomology Today. Available online: https://entomologytoday.org/2024/10/15/small-farms-front-lines-emerging-agricultural-insect-pests-extension/ (accessed on 7 November 2024).
- Bale, J.S. Insects and low temperatures; from molecular biology to distributions and abundance. Philos. Trans. R. Soc. B 2002, 357, 849–862. [Google Scholar] [CrossRef]
- Rodriguez-del-Bosque, L.A.; Smith, J.W.; Martinez, A.J. Winter mortality and spring emergence of corn stalkborers (Lepidoptera: Pyralidae) in subtropical Mexico. J. Econ. Entomol. 1995, 88, 628–634. [Google Scholar] [CrossRef]
- Villegas, J.M.; Wilson, B.E.; Way, M.O. Management of stemborers (Lepidoptera: Crambidae) using foliar-applied chlorantraniliprole in rice. Fla. Entomol. 2021, 104, 274–281. [Google Scholar] [CrossRef]
- Butt, B.A.; Cantu, E. Sex determination of lepidopterous pupae. USDA Argirucult. Res. Serv. 1962, 1, 33–75. [Google Scholar]
- Hulme, P.E. Climate change and biological invasions: Evidence, expectations, and response options. Biol. Rev. 2016, 92, 1297–1313. [Google Scholar] [CrossRef] [PubMed]
- Robinson, T.B.; Martin, N.; Loureiro, T.G.; Matikinca, P.; Robertson, M.P. Double trouble: The implications of climate change for biological invasions. NeoBiota 2020, 62, 463–487. [Google Scholar] [CrossRef]
- Ratte, H.T. Temperature and insect development. In Environmental Physiology and Biochemistry of Insects; Hoffman, K.H., Ed.; Springer: Berlin, Germany, 1984; pp. 33–65. [Google Scholar]
- Gilbert, N.; Raworth, D.A. Insects and temperature: A general theory. Can. Entomol. 1996, 128, 1–13. [Google Scholar] [CrossRef]
- Colinet, H.; Sinclair, B.J.; Vernon, P.; Renault, D. Insects in fluctuating thermal environments. Annu. Rev. Entomol. 2015, 60, 123–140. [Google Scholar] [CrossRef] [PubMed]
- Régnière, J.; Powell, J.; Bentz, B.; Nealis, V. Effects of temperature on development, survival, and reproduction of insects: Experimental design, data analysis, and modeling. J. Insect Physiol. 2012, 58, 634–647. [Google Scholar] [CrossRef]
- van Leerdam, M.B. Bionomics of Eoreuma loftini, a Pyralid Stalk Borer of Sugarcane. Ph.D. Dissertation, Texas A&M University, College Station, TX, USA, 1986. [Google Scholar]
- Salgado, L.D.; Wilson, B.E.; Penn, H.J.; Richard, R.T.; Way, M.O. Characterization of resistance to the Mexican rice borer (Lepidoptera: Crambidae) among sugarcane cultivars. Insects 2022, 13, 890. [Google Scholar] [CrossRef]
- Toolson, E.C.; Hadley, N.F. Thermal tolerance of beet armyworm moths, Spodoptera exigua: Effects of age, temperature, acclimation, and gamma radiation. Environ. Entomol. 1974, 3, 290–294. [Google Scholar] [CrossRef]
- Kleynhans, E.; Conlong, D.E.; Terblanche, J.S. Host plant related variation in thermal tolerance of Eldana saccharina. Entomol. Exper. Appl. 2014, 150, 113–122. [Google Scholar] [CrossRef]
- Kim, M.; Lee, S.; Chun, Y.S.; Na, J.; Kwon, H.; Kim, W.; Kim, Y. Heat tolerance induction of the Indian meal moth (Lepidoptera: Pyralidae) is accompanied by upregulation of heat shock proteins and polyols. Environ. Entomol. 2017, 46, 1005–1011. [Google Scholar] [CrossRef]
- Qian, Q.; Gu, L.L.; Liu, X.D. Can the young larvae of Cnaphalocrocis medinalis (Lepidoptera: Pyralidae) tolerate heat stress in summer? Environ. Entomol. 2017, 46, 125–130. [Google Scholar] [CrossRef]
- Ohtsu, T.; Katagri, C.; Kimura, M.T. Biochemical aspects of climatic adaptations in Drosophila curviceps, D. immigrans, and D. albomicans (Diptera: Drosophilidae). Environ. Entomol. 1999, 28, 968–972. [Google Scholar]
- Klockmann, M.; Gunter, F.; Fischer, K. Heat resistance throughout ontogeny: Body size constrains thermal tolerance. Glob. Chang. Biol. 2016, 23, 686–696. [Google Scholar] [CrossRef] [PubMed]
- Beck, S.D. Insect thermoperiodism. Ann. Rev. Entomol. 1983, 28, 91–108. [Google Scholar] [CrossRef]
- Duman, J.G. Factors involved in overwintering survival of the freeze-tolerant beetle, Denroides canadensis. J. Comp. Physiol. 1980, 25, 805–810. [Google Scholar]
- Ansart, A.; Vernon, P.; Daguzan, J. Photoperiod is the main cue that triggers supercooling ability in the land snail, Helix aspersa (Gastropoda: Helicidae). Cryobiology 2001, 42, 266–273. [Google Scholar] [CrossRef]
- Fischer, K.; Liniek, S.; Bauer, M.; Bauman, B.; Richter, S.; Dierks, A. Phenotypic plasticity in temperature stress resistance is triggered by photoperiod in a fly. Evol. Ecol. 2012, 26, 1067–1083. [Google Scholar] [CrossRef]
- Bale, J.S.; Hayward, S.A.L. Insect overwintering in a changing climate. J. Exp. Biol. 2010, 213, 980–994. [Google Scholar] [CrossRef]
- Showler, A.T.; Reagan, T.E. Mexican rice borer, Eoreuma loftini (Dyar) (Lepidoptera: Crambidae): Range expansion, biology, ecology, control tactics, and new resistance factors in United States sugarcane. Amer. Entomol. 2017, 63, 36–51. [Google Scholar] [CrossRef]
- Browning, H.W.; Way, M.O.; Drees, B.M. Managing the Mexican Rice Borer in Texas; Texas Agricultural Experiment Station Publ. B-1620: College Station, TX, USA, 1989. [Google Scholar]
- Beuzelin, J.M.; Mészáros, A.; Reagan, T.E.; Wilson, L.T.; Way, M.O.; Blouin, D.C.; Showler, A.T. Seasonal infestations of two stem borers (Lepidoptera: Crambidae) in noncrop grasses of Gulf Coast rice agroecosystems. Environ. Entomol. 2011, 40, 1036–1050. [Google Scholar] [CrossRef] [PubMed]
- Lehmann, P.; Lyytinen, A.; Sinisalo, T.; Lindstrom, L. Population dependent effects of photoperiod on diapause related physiological traits in an invasive beetle (Leptinotarsa decemlineata). J. Insect Physiol. 2012, 58, 1146–1158. [Google Scholar] [CrossRef]
- Udaka, H.; Goto, S.G.; Numata, H. Effects of photoperiod and acclimation temperature on heat and cold tolerance in the terrestrial slug, Lehmannia valentiana (Pulmonata: Limacidae). Appl. Entomol. Zool. 2008, 43, 547–551. [Google Scholar] [CrossRef]
- Manenti, T.; Sten, L.J.; Loeschcke, V. Daily increasing or decreasing photoperiod affects stress resistance and life history traits in four Drosophila species. J. Insect Physiol. 2021, 132, 104251. [Google Scholar] [CrossRef] [PubMed]
- Sinclair, B.J.; Coello Alvarado, L.E.; Ferguson, L.V. An invitation to measure insect cold tolerance: Methods, approaches, and workflow. J. Therm. Biol. 2015, 53, 180–197. [Google Scholar] [CrossRef] [PubMed]




| Stage | Intercept | Slope | R2 | n | Threshold (°C) | Degree Days a |
|---|---|---|---|---|---|---|
| Egg | −0.0660 | 0.0073 | 0.88 | 5 | 9.04 | 136.99 |
| Larvae | −0.0215 | 0.0018 | 0.96 | 8 | 11.94 | 555.56 |
| Pupae | −0.0114 | 0.0032 | 0.70 | 4 | 3.56 | 312.5 |
| Adult | −0.0243 | 0.0048 | 0.98 | 5 | 5.08 | 200.00 |
| Immature | −0.0097 | 0.0011 | 0.91 | 4 | 8.82 | 909.01 |
Disclaimer/Publisher’s Note: The statements, opinions and data contained in all publications are solely those of the individual author(s) and contributor(s) and not of MDPI and/or the editor(s). MDPI and/or the editor(s) disclaim responsibility for any injury to people or property resulting from any ideas, methods, instructions or products referred to in the content. |
© 2024 by the authors. Licensee MDPI, Basel, Switzerland. This article is an open access article distributed under the terms and conditions of the Creative Commons Attribution (CC BY) license (https://creativecommons.org/licenses/by/4.0/).
Share and Cite
Villegas, J.M.; Diaz, R.; Stout, M.J.; Papitchaya, F.; Wilson, B.E. Influence of Temperature and Photoperiod on Survival and Development of Eoreuma loftini (Lepidoptera: Crambidae). Insects 2024, 15, 915. https://doi.org/10.3390/insects15120915
Villegas JM, Diaz R, Stout MJ, Papitchaya F, Wilson BE. Influence of Temperature and Photoperiod on Survival and Development of Eoreuma loftini (Lepidoptera: Crambidae). Insects. 2024; 15(12):915. https://doi.org/10.3390/insects15120915
Chicago/Turabian StyleVillegas, James M., Rodrigo Diaz, Michael J. Stout, Fin Papitchaya, and Blake E. Wilson. 2024. "Influence of Temperature and Photoperiod on Survival and Development of Eoreuma loftini (Lepidoptera: Crambidae)" Insects 15, no. 12: 915. https://doi.org/10.3390/insects15120915
APA StyleVillegas, J. M., Diaz, R., Stout, M. J., Papitchaya, F., & Wilson, B. E. (2024). Influence of Temperature and Photoperiod on Survival and Development of Eoreuma loftini (Lepidoptera: Crambidae). Insects, 15(12), 915. https://doi.org/10.3390/insects15120915

