A Method for Identification of Biotype-Specific Salivary Effector Candidates of Aphid
Abstract
:Simple Summary
Abstract
1. Introduction
2. Materials and Methods
2.1. Insect Materials
2.2. Identifying Effector Candidates by RNA-Seq
2.3. Identifying Candidate Effectors by Salivary Proteome
2.4. Combined Analysis of Transcriptome and Proteome
2.5. Statistical Analysis
3. Results
3.1. Both CU and MA Biotype Exhibited High Host-Specialization
3.2. Biotype-Specific Candidate Effectors Identified from Transcriptome Analysis
| Published Effector * | Aphid Species | Homologous Protein ID | Identity (%) | Expression Difference |
|---|---|---|---|---|
| C002 [17] | A. pisum | XP_027848216.1 | 55 | n.s. |
| Armet [44] | A. pisum | XP_027850649.1 | 95 | n.s. |
| Me10 [21] | M. euphorbiae | XP_027842596.1 | 55 | n.s. |
| Me23 [21] | M. euphorbiae | XP_027842036.1 | 55 | n.s. |
| Me47 [45] | M. euphorbiae | XP_027847499.1 | 54 | n.s. |
| AcDCXR [46] | A. craccivora | XP_027848224.1 | 99 | n.s. |
| Mp1 [22] | M. persicae | XP_027842597.1 | 51 | n.s. |
| Mp10 [47] | M. persicae | XP_027847843.1 | 93 | n.s. |
| Mp55 [47] | M. persicae | XP_027849472.1 | 46 | n.s. |
| Mp56 [47] | M. persicae | XP_027850553.1 | 89 | n.s. |
| Mp57 [47] | M. persicae | XP_027846130.1 | 32 | n.s. |
| Mp58 [47] | M. persicae | XP_027842596.1 | 69 | n.s. |
| ACE1 [48] | A. pisum | XP_027838689.1 | 86 | n.s. |
| ACE2 [48] | A. pisum | XP_027838669.1 | 95 | n.s. |
| ACE3 [48] | A. pisum | XP_027850009.1 | 96 | n.s. |
3.3. Biotype-Specific Candidate Effectors Identified by Salivary Proteome
3.4. Biotype-Specific Effector Candidates Identified by Combined Analysis
4. Discussion
Supplementary Materials
Author Contributions
Funding
Data Availability Statement
Conflicts of Interest
References
- Blackman, R.L.; Eastop, V.F. Aphids on the World’s Crops: An Identification and Information Guide; John Wiley & Sons Ltd.: Hoboken, NJ, USA, 2000. [Google Scholar]
- Peccoud, J.; Simon, J.-C.; von Dohlen, C.; D’acier, A.C.; Plantegenest, M.; Vanlerberghe-Masutti, F.; Jousselin, E. Evolutionary history of aphid-plant associations and their role in aphid diversification. C. R. Biol. 2010, 333, 474–487. [Google Scholar] [CrossRef]
- Guldemond, J.A.; Tigges, W.T.; De Vrijer, P.W.F. Host Races of Aphis gossypii (Homoptera: Aphididae) on Cucumber and Chrysanthemum. Environ. Èntomol. 1994, 23, 1235–1240. [Google Scholar] [CrossRef]
- Liu, X.-D.; Xu, T.-T.; Lei, H.-X. Refuges and host shift pathways of host-specialized aphids Aphis gossypii. Sci. Rep. 2017, 7, 2008. [Google Scholar] [CrossRef]
- Carletto, J.; Lombaert, E.; Chavigny, P.; Brévault, T.; Lapchin, L.; Vanlerberghe-Masutti, F. Ecological specialization of the aphid Aphis gossypii Glover on cultivated host plants. Mol. Ecol. 2009, 18, 2198–2212. [Google Scholar] [CrossRef] [PubMed]
- Wang, L.; Zhang, S.; Luo, J.-Y.; Wang, C.-Y.; Lv, L.-M.; Zhu, X.-Z.; Li, C.-H.; Cui, J.-J. Identification of Aphis gossypii Glover (Hemiptera: Aphididae) Biotypes from Different Host Plants in North China. PLoS ONE 2016, 11, e0146345. [Google Scholar] [CrossRef] [PubMed]
- Will, T.; Kornemann, S.R.; Furch, A.C.; Tjallingii, W.F.; van Bel, A.J. Aphid watery saliva counteracts sieve-tube occlusion: A universal phenomenon? J. Exp. Biol. 2009, 212 Pt 20, 3305–3312. [Google Scholar] [CrossRef]
- Will, T.; Furch, A.C.U.; Zimmermann, M.R. How phloem-feeding insects face the challenge of phloem-located defenses. Front. Plant Sci. 2013, 4, 336. [Google Scholar] [CrossRef]
- Vandermoten, S.; Harmel, N.; Mazzucchelli, G.; De Pauw, E.; Haubruge, E.; Francis, F. Comparative analyses of salivary proteins from three aphid species. Insect Mol. Biol. 2014, 23, 67–77. [Google Scholar] [CrossRef]
- Zhang, Y.; Liu, X.; Fu, Y.; Crespo-Herrera, L.; Liu, H.; Wang, Q.; Zhang, Y.; Chen, J. Salivary Effector Sm9723 of Grain Aphid Sitobion miscanthi Suppresses Plant Defense and Is Essential for Aphid Survival on Wheat. Int. J. Mol. Sci. 2022, 23, 6909. [Google Scholar] [CrossRef]
- Kuśnierczyk, A.; Winge, P.; Jørstad, T.S.; Troczyńska, J.; Rossiter, J.T.; Bones, A.M. Towards global understanding of plant defence against aphids--timing and dynamics of early Arabidopsis defence responses to cabbage aphid (Brevicoryne brassicae) attack. Plant Cell Environ. 2008, 31, 1097–1115. [Google Scholar] [CrossRef] [PubMed]
- Louis, J.; Shah, J. Plant defence against aphids: The PAD4 signalling nexus. J. Exp. Bot. 2015, 66, 449–454. [Google Scholar] [CrossRef]
- Moran, P.J.; Cheng, Y.; Cassell, J.L.; Thompson, G.A. Gene expression profiling of Arabidopsis thaliana in compatible plant-aphid interactions. Arch. Insect Biochem. Physiol. 2002, 51, 182–203. [Google Scholar] [CrossRef]
- Hogenhout, S.; Bos, J.I. Effector proteins that modulate plant–insect interactions. Curr. Opin. Plant Biol. 2011, 14, 422–428. [Google Scholar] [CrossRef]
- Snoeck, S.; Guayazán-Palacios, N.; Steinbrenner, A.D. Molecular tug-of-war: Plant immune recognition of herbivory. Plant Cell 2022, 34, 1497–1513. [Google Scholar] [CrossRef] [PubMed]
- Karban, R. The ecology and evolution of induced responses to herbivory and how plants perceive risk. Ecol. Èntomol. 2019, 45, 1–9. [Google Scholar] [CrossRef]
- Mutti, N.S.; Louis, J.; Pappan, L.K.; Pappan, K.; Begum, K.; Chen, M.-S.; Park, Y.; Dittmer, N.; Marshall, J.; Reese, J.C.; et al. A protein from the salivary glands of the pea aphid, Acyrthosiphon pisum, is essential in feeding on a host plant. Proc. Natl. Acad. Sci. USA 2008, 105, 9965–9969. [Google Scholar] [CrossRef]
- Cui, N.; Lu, H.; Wang, T.; Zhang, W.; Kang, L.; Cui, F. Armet, an aphid effector protein, induces pathogen resistance in plants by promoting the accumulation of salicylic acid. Philos. Trans. R. Soc. B Biol. Sci. 2019, 374, 20180314. [Google Scholar] [CrossRef]
- Wang, Z.; Lü, Q.; Zhang, L.; Zhang, M.; Chen, L.; Zou, S.; Zhang, C.; Dong, H. Aphid salivary protein Mp1 facilitates infestation by binding phloem protein 2-A1 in Arabidopsis. Biochem. Biophys. Res. Commun. 2021, 572, 105–111. [Google Scholar] [CrossRef]
- Bos, J.I.B.; Prince, D.; Pitino, M.; Maffei, M.E.; Win, J.; Hogenhout, S.A. A Functional Genomics Approach Identifies Candidate Effectors from the Aphid Species Myzus persicae (Green Peach Aphid). PLoS Genet. 2010, 6, e1001216. [Google Scholar] [CrossRef] [PubMed]
- Atamian, H.S.; Chaudhary, R.; Cin, V.D.; Bao, E.; Girke, T.; Kaloshian, I.; Luna, E.; van Eck, L.; Campillo, T.; Weinroth, M.; et al. In Planta Expression or Delivery of Potato Aphid Macrosiphum euphorbiae Effectors Me10 and Me23 Enhances Aphid Fecundity. Mol Plant Microbe Interact 2013, 26, 67–74. [Google Scholar] [CrossRef] [PubMed]
- Rodriguez, P.A.; Escudero-Martinez, C.; Bos, J.I. An Aphid Effector Targets Trafficking Protein VPS52 in a Host-Specific Manner to Promote Virulence. Plant Physiol. 2017, 173, 1892–1903. [Google Scholar] [CrossRef] [PubMed]
- Kanvil, S.; Powell, G.; Turnbull, C. Pea aphid biotype performance on diverse Medicago host genotypes indicates highly specific virulence and resistance functions. Bull. Entomol. Res. 2014, 104, 689–701. [Google Scholar] [CrossRef] [PubMed]
- Pitino, M.; Hogenhout, S.A. Aphid protein effectors promote aphid colonization in a plant species-specific manner. Mol. Plant Microbe Interact. 2013, 26, 130–139. [Google Scholar] [CrossRef]
- Boulain, H.; Legeai, F.; Jaquiéry, J.; Guy, E.; Morlière, S.; Simon, J.-C.; Sugio, A. Differential Expression of Candidate Salivary Effector Genes in Pea Aphid Biotypes With Distinct Host Plant Specificity. Front. Plant Sci. 2019, 10, 1301. [Google Scholar] [CrossRef]
- Liu, X.D.; Zhai, B.; Zhang, X. Studies on the host biotypes and its cause of cotton aphid in Nanjing, China. Agric. Sci. China 2002, 1, 1211–1215. [Google Scholar]
- Liu, X.D.; Zhai, B.; Zzhang, X.; Yang, L. Differentiation in morphometrics and ecological adaptability of cotton and cucumber biotypes of the cotton aphid, Aphis gossypii (Homoptera: Aphididae). Acta Entomol. Sin. 2004, 47, 768–773. [Google Scholar]
- Najar-Rodríguez, A.J.; McGRAW, E.A.; Hull, C.D.; Mensah, R.K.; Walter, G.H. The ecological differentiation of asexual lineages of cotton aphids: Alate behaviour, sensory physiology, and differential host associations. Biol. J. Linn. Soc. 2009, 97, 503–519. [Google Scholar] [CrossRef]
- Ali, F.; Hu, X.; Wang, D.; Yang, F.; Guo, H.; Wang, Y. Plant pathogen-mediated rapid acclimation of a host-specialized aphid to a non-host plant. Ecol. Evol. 2021, 11, 15261–15272. [Google Scholar] [CrossRef]
- Quan, Q.; Hu, X.; Pan, B.; Zeng, B.; Wu, N.; Fang, G.; Cao, Y.; Chen, X.; Li, X.; Huang, Y.; et al. Draft genome of the cotton aphid Aphis gossypii. Insect Biochem. Mol. Biol. 2018, 105, 25–32. [Google Scholar] [CrossRef]
- Zhang, S.; Gao, X.; Wang, L.; Jiang, W.; Su, H.; Jing, T.; Cui, J.; Zhang, L.; Yang, Y. Chromosome-level genome assemblies of two cotton-melon aphid Aphis gossypii biotypes unveil mechanisms of host adaption. Mol. Ecol. Resour. 2022, 22, 1120–1134. [Google Scholar] [CrossRef]
- Thorpe, P.; Cock, P.J.A.; Bos, J. Comparative transcriptomics and proteomics of three different aphid species identifies core and diverse effector sets. BMC Genom. 2016, 17, 172. [Google Scholar] [CrossRef] [PubMed]
- Boulain, H.; Legeai, F.; Guy, E.; Morlière, S.; Douglas, N.E.; Oh, J.; Murugan, M.; Smith, M.; Jaquiéry, J.; Peccoud, J.; et al. Fast Evolution and Lineage-Specific Gene Family Expansions of Aphid Salivary Effectors Driven by Interactions with Host-Plants. Genome. Biol. Evol. 2018, 10, 1554–1572. [Google Scholar] [CrossRef]
- Nicolis, V.F.; Burger, N.F.V.; Botha, A.-M. Whole-body transcriptome mining for candidate effectors from Diuraphis noxia. BMC Genom. 2022, 23, 493. [Google Scholar] [CrossRef] [PubMed]
- Carolan, J.C.; Fitzroy, C.I.J.; Ashton, P.D.; Douglas, A.E.; Wilkinson, T.L. The secreted salivary proteome of the pea aphid Acyrthosiphon pisum characterised by mass spectrometry. PROTEOMICS 2009, 9, 2457–2467. [Google Scholar] [CrossRef] [PubMed]
- Chaudhary, R.; Atamian, H.S.; Shen, Z.; Briggs, S.P.; Kaloshian, I. Potato Aphid Salivary Proteome: Enhanced Salivation Using Resorcinol and Identification of Aphid Phosphoproteins. J. Proteome Res. 2015, 14, 1762–1778. [Google Scholar] [CrossRef]
- Dobin, A.; Davis, C.A.; Schlesinger, F.; Drenkow, J.; Zaleski, C.; Jha, S.; Batut, P.; Chaisson, M.; Gingeras, T.R. STAR: Ultrafast universal RNA-seq aligner. Bioinformatics 2013, 29, 15–21. [Google Scholar] [CrossRef]
- Liao, Y.; Smyth, G.K.; Shi, W. feature Counts: An efficient general purpose program for assigning sequence reads to genomic features. Bioinformatics 2013, 30, 923–930. [Google Scholar] [CrossRef]
- Nielsen, H. Predicting Secretory Proteins with SignalP. Methods Mol Biol. 2017, 1611, 59–73. [Google Scholar]
- Krogh, A.; Larsson, B.; von Heijne, G.; Sonnhammer, E.L. Predicting transmembrane protein topology with a hidden markov model: Application to complete genomes. J. Mol. Biol. 2001, 305, 567–580. [Google Scholar] [CrossRef]
- Yang, Z.; Ma, L.; Francis, F.; Yang, Y.; Chen, H.; Wu, H.; Chen, X. Proteins Identified from Saliva and Salivary Glands of the Chinese Gall Aphid Schlechtendalia chinensis. PROTEOMICS 2018, 18, e1700378. [Google Scholar] [CrossRef]
- Cooper, W.R.; Dillwith, J.W.; Puterka, G.J. Salivary Proteins of Russian Wheat Aphid (Hemiptera: Aphididae). Environ. Èntomol. 2010, 39, 223–231. [Google Scholar] [CrossRef] [PubMed]
- van Bel, A.J.; Will, T. Functional Evaluation of Proteins in Watery and Gel Saliva of Aphids. Front. Plant Sci. 2016, 7, 1840. [Google Scholar] [CrossRef] [PubMed]
- Wang, W.; Dai, H.; Zhang, Y.; Chandrasekar, R.; Luo, L.; Hiromasa, Y.; Sheng, C.; Peng, G.; Chen, S.; Tomich, J.M.; et al. Armet is an effector protein mediating aphid-plant interactions. FASEB J. 2015, 29, 2032–2045. [Google Scholar] [CrossRef] [PubMed]
- Kettles, G.J.; Kaloshian, I. The Potato Aphid Salivary Effector Me47 Is a Glutathione-S-Transferase Involved in Modifying Plant Responses to Aphid Infestation. Front. Plant Sci. 2016, 7, 1142. [Google Scholar] [CrossRef]
- MacWilliams, J.R.; Dingwall, S.; Chesnais, Q.; Sugio, A.; Kaloshian, I. AcDCXR Is a Cowpea Aphid Effector With Putative Roles in Altering Host Immunity and Physiology. Front. Plant Sci. 2020, 11, 605. [Google Scholar] [CrossRef]
- Rodriguez, P.A.; Stam, R.; Warbroek, T.; Bos, J.I.B. Mp10 and Mp42 from the Aphid Species Myzus persicae Trigger Plant Defenses in Nicotiana benthamiana Through Different Activities. Mol. Plant Microbe Interact. 2014, 27, 30–39. [Google Scholar] [CrossRef]
- Wang, W.; Luo, L.; Lu, H.; Chen, S.; Kang, L.; Cui, F. Angiotensin-converting enzymes modulate aphid–plant interactions. Sci. Rep. 2015, 5, srep08885. [Google Scholar] [CrossRef] [PubMed]
- Zhang, Y.; Fu, Y.; Francis, F.; Liu, X.; Chen, J. Insight into watery saliva proteomes of the grain aphid, Sitobion avenae. Arch. Insect Biochem. Physiol. 2021, 106, e21752. [Google Scholar] [CrossRef]
- Nicholson, S.J.; Puterka, G.J. Variation in the salivary proteomes of differentially virulent greenbug (Schizaphis graminum Rondani) biotypes. J. Proteom. 2014, 105, 186–203. [Google Scholar] [CrossRef]
- Loudit, S.M.B.; Bauwens, J.; Francis, F. Cowpea aphid-plant interactions: Endosymbionts and related salivary protein patterns. Èntomol. Exp. Appl. 2018, 166, 460–473. [Google Scholar] [CrossRef]
- Nicholson, S.J.; Hartson, S.D.; Puterka, G.J. Proteomic analysis of secreted saliva from Russian Wheat Aphid (Diuraphis noxia Kurd.) biotypes that differ in virulence to wheat. J. Proteom. 2012, 75, 2252–2268. [Google Scholar] [CrossRef]
- Kaloshian, I.; Walling, L.L. Hemipteran and dipteran pests: Effectors and plant host immune regulators. J. Integr. Plant Biol. 2015, 58, 350–361. [Google Scholar] [CrossRef] [PubMed]
- Zhang, Y.; Fan, J.; Sun, J.-R.; Chen, J.-L. Cloning and RNA interference analysis of the salivary protein C002 gene in Schizaphis graminum. J. Integr. Agric. 2015, 14, 698–705. [Google Scholar] [CrossRef]
- Carolan, J.C.; Caragea, D.; Reardon, K.T.; Mutti, N.S.; Dittmer, N.; Pappan, K.; Cui, F.; Castaneto, M.; Poulain, J.; Dossat, C.; et al. Faculty Opinions recommendation of Predicted effector molecules in the salivary secretome of the pea aphid (Acyrthosiphon pisum): A dual transcriptomic/proteomic approach. J. Proteome Res. 2011, 10, 1505–1518. [Google Scholar] [CrossRef]
- Zhang, Y.; Liu, X.; Francis, F.; Xie, H.; Fan, J.; Wang, Q.; Liu, H.; Sun, Y.; Chen, J. The salivary effector protein Sg2204 in the greenbug Schizaphis graminum suppresses wheat defence and is essential for enabling aphid feeding on host plants. Plant Biotechnol. J. 2022, 20, 2187–2201. [Google Scholar] [CrossRef] [PubMed]
- Will, T.; Tjallingii, W.F.; Thönnessen, A.; van Bel, A.J.E. Molecular sabotage of plant defense by aphid saliva. Proc. Natl. Acad. Sci. USA 2007, 104, 10536–10541. [Google Scholar] [CrossRef] [PubMed]
- DE Vos, M.; Jander, G. Myzus persicae (green peach aphid) salivary components induce defence responses in Arabidopsis thaliana. Plant Cell Environ. 2009, 32, 1548–1560. [Google Scholar] [CrossRef]
- Hogenhout, S.A.; Van der Hoorn, R.A.L.; Terauchi, R.; Kamoun, S. Emerging Concepts in Effector Biology of Plant-Associated Organisms. Mol. Plant Microbe Interact. 2009, 22, 115–122. [Google Scholar] [CrossRef]
- Mondal, H.A. Aphid saliva: A powerful recipe for modulating host resistance towards aphid clonal propagation. Arthropod-Plant Interact. 2020, 14, 547–558. [Google Scholar] [CrossRef]
- Londono-Renteria, B.; Drame, P.M.; Montiel, J.; Vasquez, A.M.; Tobón-Castaño, A.; Taylor, M.; Vizcaino, L.; Lenhart, A.E. Identification and Pilot Evaluation of Salivary Peptides from Anopheles albimanus as Biomarkers for Bite Exposure and Malaria Infection in Colombia. Int. J. Mol. Sci. 2020, 21, 691. [Google Scholar] [CrossRef]
- Chen, Y.; Singh, A.; Kaithakottil, G.G.; Mathers, T.C.; Gravino, M.; Mugford, S.T.; van Oosterhout, C.; Swarbreck, D.; Hogenhout, S.A. An aphid RNA transcript migrates systemically within plants and is a virulence factor. Proc. Natl. Acad. Sci. USA 2020, 117, 12763–12771. [Google Scholar] [CrossRef] [PubMed]
- Acevedo, F.E.; Smith, P.; Peiffer, M.; Helms, A.; Tooker, J.; Felton, G.W. Phytohormones in Fall Armyworm Saliva Modulate Defense Responses in Plants. J. Chem. Ecol. 2019, 45, 598–609. [Google Scholar] [CrossRef] [PubMed]
- Whitehead, L.F.; Douglas, A.E. Populations of symbiotic bacteria in the parthenogenetic pea aphid (Acyrthosiphon pisum) symbiosis. Proc. R. Soc. B Boil. Sci. 1993, 254, 29–32. [Google Scholar]
- Chaudhary, R.; Atamian, H.S.; Shen, Z.; Briggs, S.P.; Kaloshian, I. GroEL from the endosymbiont Buchnera aphidicola betrays the aphid by triggering plant defense. Proc. Natl. Acad. Sci. USA 2014, 111, 8919–8924. [Google Scholar] [CrossRef]



| Salivary Protein Identified in A. gossypii | Aphid Species | |||||||||
|---|---|---|---|---|---|---|---|---|---|---|
| Sa | Ap | Mp | Mc | Rp | Sg | Me | Sc | Ac | Dn | |
| Actin | ✓ | ✓ | ✓ | ✓ | ✓ | ✓ | ✓ | ✓ | ||
| Glucose dehydrogenase | ✓ | ✓ | ✓ | ✓ | ✓ | ✓ | ✓ | ✓ | ✓ | |
| Peroxidase | ✓ | ✓ | ✓ | ✓ | ✓ | ✓ | ||||
| Heat shock protein | ✓ | ✓ | ✓ | ✓ | ||||||
| Carboxypeptidase | ✓ | |||||||||
| 14-3-3 protein | ✓ | ✓ | ||||||||
| EF1-α | ✓ | ✓ | ✓ | ✓ | ||||||
| 40S ribosomal protein | ✓ | |||||||||
| 60S ribosomal protein | ✓ | |||||||||
| Endochitinase | ✓ | |||||||||
| Calreticulin | ✓ | |||||||||
| Histone | ✓ | ✓ | ✓ | ✓ | ✓ | ✓ | ||||
| Carbonic anhydrase | ✓ | ✓ | ✓ | ✓ | ✓ | ✓ | ✓ | |||
| Apolipophorins | ✓ | ✓ | ✓ | ✓ | ✓ | |||||
| ATP synthase | ✓ | ✓ | ✓ | ✓ | ||||||
| Tubulin | ✓ | ✓ | ✓ | ✓ | ||||||
| ASC1 | ✓ | |||||||||
| MINPP | ✓ | |||||||||
| RNA-binding protein | ✓ | |||||||||
| LOC114119699 | ✓ | ✓ | ||||||||
| LOC114120354 | ✓ | ✓ | ✓ | ✓ | ✓ | |||||
| LOC114128856 | ✓ | ✓ | ||||||||
| LOC114129844 | ✓ | ✓ | ||||||||
| LOC114124500 | ✓ | ✓ | ✓ | ✓ | ✓ | |||||
| PF11_0213-like | ✓ | |||||||||
| LOC114124821 | ✓ | |||||||||
| LOC114118907 | ✓ | ✓ | ✓ | ✓ | ||||||
| LOC114119100 | ✓ | |||||||||
| LOC114119139 | ✓ | |||||||||
| LOC114124575 | ✓ | ✓ | ✓ | ✓ | ||||||
| LOC114133079 | ✓ | ✓ | ✓ | ✓ | ✓ | ✓ | ✓ | ✓ | ✓ | |
| LOC114123730 | ✓ | ✓ | ✓ | ✓ | ✓ | |||||
| LOC114123729 | ✓ | ✓ | ✓ | ✓ | ||||||
| LOC114128009 | ✓ | ✓ | ✓ | ✓ | ✓ | |||||
| LOC114123311 | ✓ | ✓ | ||||||||
| LOC114121223 | ✓ | ✓ | ||||||||
| LOC114130459 | ✓ | ✓ | ✓ | |||||||
| DDB_G0267840 | ✓ | |||||||||
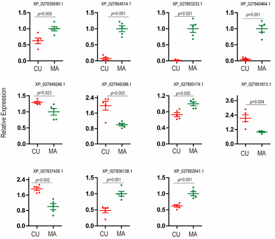
| Protein ID | Gene ID | Description | Regulate # | FC ¶ | Signal Peptide |
|---|---|---|---|---|---|
| XP_027839590.1 | LOC114121443 | actin | down | 0.43 | no |
| XP_027854514.1 | LOC114133090 | heat shock protein | down | 0.38 | no |
| XP_027853233.1 | LOC114132056 | heat shock protein | down | 0.46 | no |
| XP_027840464.1 | LOC114122099 | heat shock protein | down | 0.49 | no |
| XP_027849246.1 | LOC114128852 | histone H3.3 | up | 1.31 | no |
| XP_027845398.1 | LOC114125817 | apoptosis-stimulating protein | up | 1.24 | no |
| XP_027850174.1 | LOC114129582 | uncharacterized | down | 0.67 | yes |
| XP_027851813.1 | LOC114130922 | E3 ubiquitin-protein ligase | up | 1.27 | no |
| XP_027837426.1 | LOC114119891 | uncharacterized | up | 2.42 | yes |
| XP_027836138.1 | LOC114118907 | uncharacterized | down | 3.43 | yes |
| XP_027852041.1 | LOC114131096 | uncharacterized | down | 0.12 | yes |
Disclaimer/Publisher’s Note: The statements, opinions and data contained in all publications are solely those of the individual author(s) and contributor(s) and not of MDPI and/or the editor(s). MDPI and/or the editor(s) disclaim responsibility for any injury to people or property resulting from any ideas, methods, instructions or products referred to in the content. |
© 2023 by the authors. Licensee MDPI, Basel, Switzerland. This article is an open access article distributed under the terms and conditions of the Creative Commons Attribution (CC BY) license (https://creativecommons.org/licenses/by/4.0/).
Share and Cite
Wang, D.; Yang, Q.; Hu, X.; Liu, B.; Wang, Y. A Method for Identification of Biotype-Specific Salivary Effector Candidates of Aphid. Insects 2023, 14, 760. https://doi.org/10.3390/insects14090760
Wang D, Yang Q, Hu X, Liu B, Wang Y. A Method for Identification of Biotype-Specific Salivary Effector Candidates of Aphid. Insects. 2023; 14(9):760. https://doi.org/10.3390/insects14090760
Chicago/Turabian StyleWang, Duoqi, Qinglan Yang, Xiaoyue Hu, Biao Liu, and Yongmo Wang. 2023. "A Method for Identification of Biotype-Specific Salivary Effector Candidates of Aphid" Insects 14, no. 9: 760. https://doi.org/10.3390/insects14090760
APA StyleWang, D., Yang, Q., Hu, X., Liu, B., & Wang, Y. (2023). A Method for Identification of Biotype-Specific Salivary Effector Candidates of Aphid. Insects, 14(9), 760. https://doi.org/10.3390/insects14090760

