Simple Summary
The tobacco cutworm, Spodoptera litura (Fabricius) (Lepidoptera: Noctuidae), is a highly polyphagous and destructive insect pest, damaging a wide range of vegetables and field crops in Korea. Timely management is very important, as delays can lead to considerable economic losses. For timely management, the development of precise forecasting models is important in pest management. In this study, we estimated the temperature-based thermal requirements of S. litura with linear and nonlinear models on host plants to develop models to foresee the spring emergence and population dynamics of S. litura. We found a significant impact of temperature and host plant on the development of S. litura. Development was found to be inversely proportionate to temperature, despite no development at extreme temperatures. Based on the estimated thermal requirements, we developed a forecasting model, and this predicated the spring emergence of S. litura in May–June. Thus, the continuous observation of S. litura in crop fields is required in order to prepare more advanced administration measures against S. litura.
Abstract
The tobacco cutworm, Spodoptera litura (Fabricius) (Lepidoptera: Noctuidae), is one of the most serious pests in field crops, vegetables, and ornamentals. Temperatures (15, 20, 25, 27, 30, 35, and 40 °C), host plants (soybean (Glycine max (L.)), maize (Zea mays L.), groundnut (Arachis hypogaea L.) and azuki bean (Vigna angularis (Willd.) Ohwi & H. Ohashi,), and the artificial diet-dependent developmental parameters and survival of S. litura were examined in this study. Stage-specific parameters such as threshold development temperature (LDT) and thermal constant (K) (Degree day (DD)) were determined by linear and nonlinear models (Sharpe–Schoolfield–Ikemoto), respectively. The total developmental time (egg–adult) decreased with increasing temperature on host plants and with an artificial diet. The total immature developmental time varied from 106.29, 107.57, 130.40, 111.82, and 103.66 days at 15 °C to 22.47, 21.25, 25.31, 18.30, and 22.50 days at 35 °C on soybean, maize, groundnut, azuki bean, and artificial diet, respectively. The LDT for the total immature completion was 7.50, 9.48, 11.44, 12.32, and 7.95 °C on soybean, maize, groundnut, azuki bean, and artificial diet, respectively. The K for the total immature completion was 587.88, 536.84, 517.45, 419.44, and 586.95 DD on soybean, maize, groundnut, azuki bean, and artificial diet, respectively. Temperature and host plant interaction also influenced the longevity and survival of adults. The findings of this study can be used to predict the number of generations, spring emergence, and population dynamics of S. litura. The nutrient content analysis of the host plants is discussed in terms of the developmental patterns of S. litura.
1. Introduction
The tobacco cutworm, Spodoptera litura (Fabricius) (Lepidoptera: Noctuidae), is an economic polyphagous pest that damages a wide range of crop, vegetable, and ornamental hosts in temperate and sub-tropical regions of Asia, Australasia, and the Pacific Islands [1,2,3,4]. It is known to attack 112 cultivated plant species in different parts of the world [5,6,7], with approximately 60 species being found in India [2]. Plant damage from larvae is the most serious problem due to the heavy feeding nature and insecticide resistance of the cutworm [8] and the lack of effective controls [9,10,11]. It can cause significant defoliation damage ranging anywhere between 26% and 100% due to vigorous defoliation [12], and sometimes up to 100% in field conditions [13]. Due to the severe damage it causes, S. litura infestations lead to considerable crop and economic losses [14,15,16,17,18,19]. The severe damage caused by this species has resulted in a 100% groundnut yield loss [14]. In Korea, S. litura is widespread in almost all provinces and inflicts significant damage to various crops and vegetables [20,21,22]. Further, there is a significant threat of a potential distribution expansion of S. litura on the Korean peninsula, as the species is found in a hot spot for climate change, especially global warming [22].
The nutritional quality of host plants varies according to each plant’s characteristics. Host plants offer diverse levels of nutritional content for different insect species, and they can have considerable effects on the life histories of these insects [23,24,25]. Hence, identifying the host-plant-mediated life table parameters of S. litura would provide fundamental information on the most damaging stages and help to measure and understand the population growth capacity of the species under specified conditions [26]. A deeper understanding of the host plant-based biology of insects will also provide information on the host suitability of herbivore insect species. Several previous studies reported the effects of different host plants on the biological parameters of S. litura under different environmental conditions [5,13,27,28,29,30,31,32,33,34]. However, the aforementioned studies focused on different host plants to those studied in this paper regarding the development, survival, pupal weight, and oviposition of S. litura under the same environmental conditions, and none of the prior research studied the interactive effects of constant temperature and host plants on the development of S. litura.
Insects are physiologically sensitive to external environmental factors due to being poikilothermic organisms; environmental factors govern the developmental rate and geographical distribution of insects, and temperature is considered one of the more significant factors affecting the overall developmental processes of insect species [35,36,37]. Pest forecasting, management, and pest risk analysis all depend on having access to information about a pest’s development, survival, and reproduction under various environmental conditions. In particular, temperature has a significant impact on the development, population dynamics, distribution, and survival of insect species [38,39,40,41,42], as well as on biological characteristics such as sex ratio [43], adult longevity, survival, and oviposition [44,45,46]. Insect development is very sensitive to temperature changes, and even slight variations in temperature can lead to huge differences in insect phenology [41,42,47]. Predicting the seasonal occurrence and abundance of any pest is essential for the accurate scheduling of control tactics. Such predictions require an understanding of the relationship between the insect development rate and temperature, especially with regard to prospective climate change [48,49], and this relationship is often described in temperature-driven phenology models based on the degree-day [50]. Although there are some studies related to the diet–temperature-mediated development of S. litura in Korea [22,51], there have been no studies examining the interactive effects of temperature and host plants on the developmental phenology and distribution of S. litura on host plants in Korea. This study examined the influence of temperature, host plant, and their interactions on the development of S. litura. Furthermore, this study developed a predictive model of pest distribution by estimating thermal requirements of S. litura using a climate change framework.
2. Materials and Methods
2.1. Insect Collection and Rearing
The larvae of S. litura were collected from a soybean field in the National Institute of Crop Science, Rural Development Administration (Miryang, Gyeongsangnam Province; 35°49′40″ N, 128°74′01″ E, Republic of Korea) in 2020 and reared on an artificial diet [52]. Newly emerged adults were kept separately inside acryl cages (40 × 40 × 40 cm, with side ventilation) along with greenhouse-grown soybean plants, and adults were fed a solution of honey (10%) and water. All of the cages were maintained under laboratory conditions (26 ± 1 °C, 60 ± 5% Relative Humidity (RH), and a 16:8 h L:D photoperiod). For the experiment, soybean leaves with egg clusters attached were collected by clipping the mother plant, and the egg clusters attached to the leaves were used in the experiment.
2.2. Host Food
The host plants tested in the experiment were selected based on their economic value and for their known associations with S. litura in Korea. The four host plants consisted of three leguminous and one cereal species: soybean (Glycine max (L.) Merr.; cv. Daewon; Fabaceae), groundnut (Arachis hypogaea L.; cv. Sinpalkwong; Fabaceae) and azuki bean (Vigna angularis (Willd.) Ohwi & H. Ohashi; cv. Hongeon; Fabaceae), maize (Zea mays L.; cv. Hangkeummaschal; Poaceae), and an artificial diet. The artificial diet used in this experiment is composed of several nutritional ingredients required for normal development, and was chosen given its use in other assays of defoliating insects [52,53,54], and at least to see the developmental pattern and closeness of the insects’ performance on artificial and natural foods. The seeds of all host plants were planted separately in plastic pots (18 cm dia. × 13 cm height) in commercial soil media (Baroker, Seoul Bio., Seoul, Republic of Korea) without any pesticides in a greenhouse at 28 ± 1 °C, 60–80% RH, and in a natural photoperiod. Approximately 2–3 week-old leaves of each host plant were used in the experiment. In addition, being scientifically accepted and a widely used medium for rearing of several insect species, the artificial diet [52] was also used in this experiment.
2.3. Experimental Procedure
The experiment began by exposing adults (<5 d old, reared on artificial diet) to greenhouse-grown soybean plants (cv. Poonsannamool; 10–12 leaves/plant; 2 weeks old without pesticides) for 24–48 h to obtain eggs. Exposure was performed in acryl cages (40 × 40 × 40 cm, with side ventilation), maintained at 26 ± 1 °C, 60 ± 5% RH, and a 16:8 h L:D photoperiod, and adults were fed a honey (10%) and water solution. Eggs were obtained 2 days after exposure to adults for the experiment. Once oviposition occurred on soybean leaves, a single egg cluster (non-overlapping) was separated and counted. Egg viability was determined based on the shape, size, and color of eggs using a microscope (LEICA EZ4D, Wetzlar, Germany) [55]. The selected egg clusters attached to the soybean leaves were placed into a Petri dish (9.8 cm dia. × 4 cm height) without food hosts, which was then kept at a RH of 70–75% in a humidity chamber (27 × 20 × 17 cm). To maintain the abovementioned RH, saturated salt (NaCl) solutions (Duksan Pure Chemicals, Ansan-si, Gyeonggi Province, Republic of Korea) were used as described in [56]. Before the humidity chamber was placed into an environmental chamber, each humidity chamber was affixed with a HOBO data logger (Huato Log-USB, Huato Electronic Co., Ltd., Baoan District, Shenzhen, China) to measure the actual temperature and humidity within the environmental chambers. Following this, the humidity chambers were transferred to the incubators (Eyela, model MTI-202B, Tokyo, Japan) and the temperatures were set to 15, 20, 25, 27, 30, 35, and 40 °C, and a 16:8 h L:D photoperiod. Once the eggs had hatched, the egg hatching period was recorded at different temperatures. Newly hatched larvae (first instar) were transferred to a separate Petri dish (5 cm dia. × 1.5 cm height, with topside ventilation) with one of the host foods (n = 37 to 58/host food) [52]. The single Petri dishes (5 cm dia. × 1.5 cm height, with topside ventilation) with an individual larva on each host plant and with an artificial diet were sealed with para-film, and then kept inside the same humidity chamber and environmental chamber. A single leaf dish for soybean, single leaf piece for maize, multiple leaves for groundnut, and single leaf for azuki bean from the middle of the plant of each host plant, along with the artificial diet, equivalent to 2.5 g, were replaced with new ones daily, and then each Petri dish was sealed with para-film. Observations on the duration of each developmental stage (egg, larva, pupa, and adult) at each temperature and host plant were carried out every 12 h (morning and evening) until adult emergence or death for each development stage. Once the adult emerged, their sex was determined based on their morphology [57]. Each sexed adult was then kept individually in Petri dishes (5 cm dia. × 1.5 cm height, with topside ventilation) for measuring adult longevity at the respective temperatures and host plants. The adults were fed 10% honey–water solution.
2.4. Criteria for Judging Model
Several statistical criteria have been proposed to evaluate model performance including the Pearson χ2, coefficient of determination (r2) and information criteria such as the Akaikes and Bayes-Schwarz information. We evaluated the models as following: number of fitted coefficients, biological interpretation of fitted coefficients, the Pearson χ2, coefficient of determination (for linear model), or the coefficient of nonlinear regression. The higher the value of r2, the better the fit is [58,59].
2.5. Developmental Distribution Model
The Weibull function is a continuous probability distribution function that can fit an extensive range of distribution shapes. The Weibull function could be applied in a wide variety of data analysis and prediction with small samples. Cumulative probability distributions of insect development time are presented in time because insect development periods depend on temperature. The probability distribution of development times for individuals in a population is described by a cumulative Weibull function. Further, the development period of each life stage was expressed in days spent at the specific temperature, and was normalized by dividing the number of days by the mean development time of the temperature. To generate a temperature-independent distribution model for each life stage, the cumulative proportion was plotted against the normalized times. Cumulative proportion was analyzed by dividing the cumulative number of completing any life stage at a normalized time by the total number of completing any life stage. This temperature-independent distribution can be used to predict the development times of individual in a population under variable temperature conditions. The relationships between the cumulative proportion of each life stage and the developmental times [60,61], which help to predict the minor data with the Weibull function (Equation (1)), were estimated by fitting a two-parameter Weibull distribution function:
where F(x) is the cumulative proportion at development time x, α is the scale parameter, and β is the parameter of the curve shape.
The median development time (i.e., time to 50% cumulative frequency) was calculated as α × [−ln(0.5)]1/β. To generate a temperature-independent distribution model for each stage, the cumulative frequency was plotted against the normalized time, which was calculated by dividing the development time by the median development time at each temperature (i.e., development days/median days). The normalized data were pooled across temperatures and fit into the Weibull model [60].
2.6. Developmental Rate Models
Linear and nonlinear functions were used to describe the relationship between the developmental rates (1/developmental periods) and temperature. The lower developmental threshold (LDT,) and thermal constant (K, ) were estimated using a linear function (y = aT + b, where y is the developmental rate and T is the assessed temperature) [62], and the parameters of the linear equation were estimated using the TableCurve 2D program (1996).
Among the various nonlinear equations that have been proposed to describe the relationship between developmental rates and temperature [63,64,65,66,67], we selected the Sharpe–Schoolfield–Ikemoto (SSI) model (Equation (2)).
The SSI model, based on thermodynamics, was proposed by [68] and subsequently modified by [69,70]. It presents the temperature-dependent reaction rates of active temperature ranges for a theoretical rate-controlling enzyme. The parameters of the SSI model were estimated using an R script (2015) developed by [71]. In Equation (2), r(T) represents the developmental rate at the absolute temperature T (°K); ΔHA, ΔHL, and ΔHH are enthalpy changes (Jmol−1); R is the universal gas constant; is the developmental rate at ; and TL and TH are the temperatures at which the rate-controlling enzyme has an equal probability of being active or inactive, depending on low- or high-temperature inactivation, respectively. is the intrinsic optimum temperature at which the species can optimize its fitness to the environment [68,70].
Equation (3) is the probability that the rate-controlling enzyme is in the active state. The maximum probability of is observed at .
2.7. Simulation of Adult Emergence
The adult emergence of S. litura was simulated according to temperature (°C) and time (day) by incorporating two functions of S. litura development: the Weibull function for the development distribution, and the SSI model for the temperature-dependent rate. The SSI model was also used to measure the rate of daily emergence at a given temperature, and the cumulative frequency of the adults was calculated using the Weibull distribution model (Equation (4)):
where F(x, T) is the cumulative proportion of the emergence of S. litura adults at time x and constant temperature T, x is the time (day), r(T) is the development rate model, and α and β are parameters from the Weibull equation.
2.8. Composition of Host Plant Nutrient Contents
Lipids: The lipid content was analyzed by preparing a 2 g sample of ground leaves of each host plant and automatically weighing the container containing the sample. Each sample was then kept in a fat extraction thimble (BUCHI Extraction Thimbles 25 × 100 mm), using an n-hexane solvent for an automatic maintenance extraction system (BUCHI Labotechnik, B-811, AG, Meierseggstrasse 40, Postfach, Flawil, Switzerland). The reaction was carried out at a temperature of 105 °C for 2 h and 40 min. The weight of the extracted fat was measured after sample cooling for 30 min in the desiccator [72].
Protein: The moisture content of each host plant was maintained at 12–13% by drying with a hot air dryer (40 °C), at which point they were all ground (C/11/1, Glenmills, Middletown, PA, USA). The ground leaf sample (50 g) was then wrapped in lactic acid paper and analyzed using an automatic Dumas Combustion Analyzer (Rapid N Cube, Elementar Analysensysteme GmbH, Langenselbold, Germany) [73].
Free sugar: The analysis of free sugar was initiated with grinding the leaves of each host plant to make ground leaf samples. For this, 1 g of the ground leaf sample of the host plant was placed in a Falcon tube with 10 mL of 70% EtOH and shaken for 3 h in a stirrer. Then, the sample filtration process with filter paper was conducted 24 h after the addition of EtOH. A vortex mixer was used to mix the filtered solution and H2O in a 1:1 (v:v) ratio, and then the free sugar content was analyzed by HPLC (Ultimate 3000; Thermo Scientific, Waltham, MA, USA) in an autosampler vial [72]. Approximately 2–3 week-old leaves of each host plant were used in the nutrient content analysis.
2.9. Statistical Analysis
Regression analyses were performed for modeling the temperature-dependent development of each S. litura stage, and the model parameter values for the linear and nonlinear functions were estimated using the TableCurve 2D Automated Curve Fitting program [74]. The effects of temperature on developmental time of each stage, % survivorship, adult longevity of S. litura, the nutrient content of the host plants, and the combined effect of temperature and host plant were analyzed using analysis of variance (ANOVA) PROC GLM. Tukey’s Studentized Range Honestly Significant Difference (HSD) test was used for further separation of means among the factors. The differences in adult longevity between females and males were compared with a t-test. The relationships of (1) lipid to larval developmental time and adult emergence rate, and (2) protein to larval development and adult emergence rate were calculated using the GLM module. The ANOVA, t-test, and GLM analyses were performed using the SAS program [75].
3. Results
3.1. Developmental Period
The developmental period of the eggs, larvae, pupae, and total immature stage of S. litura varied significantly among the temperatures, although development occurred successfully on all host plants at all temperatures except 40 °C, at which no eggs hatched (Table 1). The developmental period trend of S. litura was inverse with temperature from 15 to 35 °C. The mean time required for the development from egg to adult emergence ranged from: 106.29 d at 15 °C to 22.47 d at 35 °C on soybean; 107.57 d at 15 °C to 21.25 d at 35 °C on maize; 130.40 d at 15 °C to 25.31 d at 35 °C on groundnut; 111.82 d at 15 °C to 18.30 d at 35 °C on azuki bean; and 103.66 d at 15 °C to 22.50 d at 35 °C on the artificial diet.
Table 1.
Developmental period (day, mean ± SE) of Spodoptera litura on host plants (soybean, maize, groundnut, and azuki bean) and the artificial diet as food sources at a constant temperature.
3.2. Survivorship
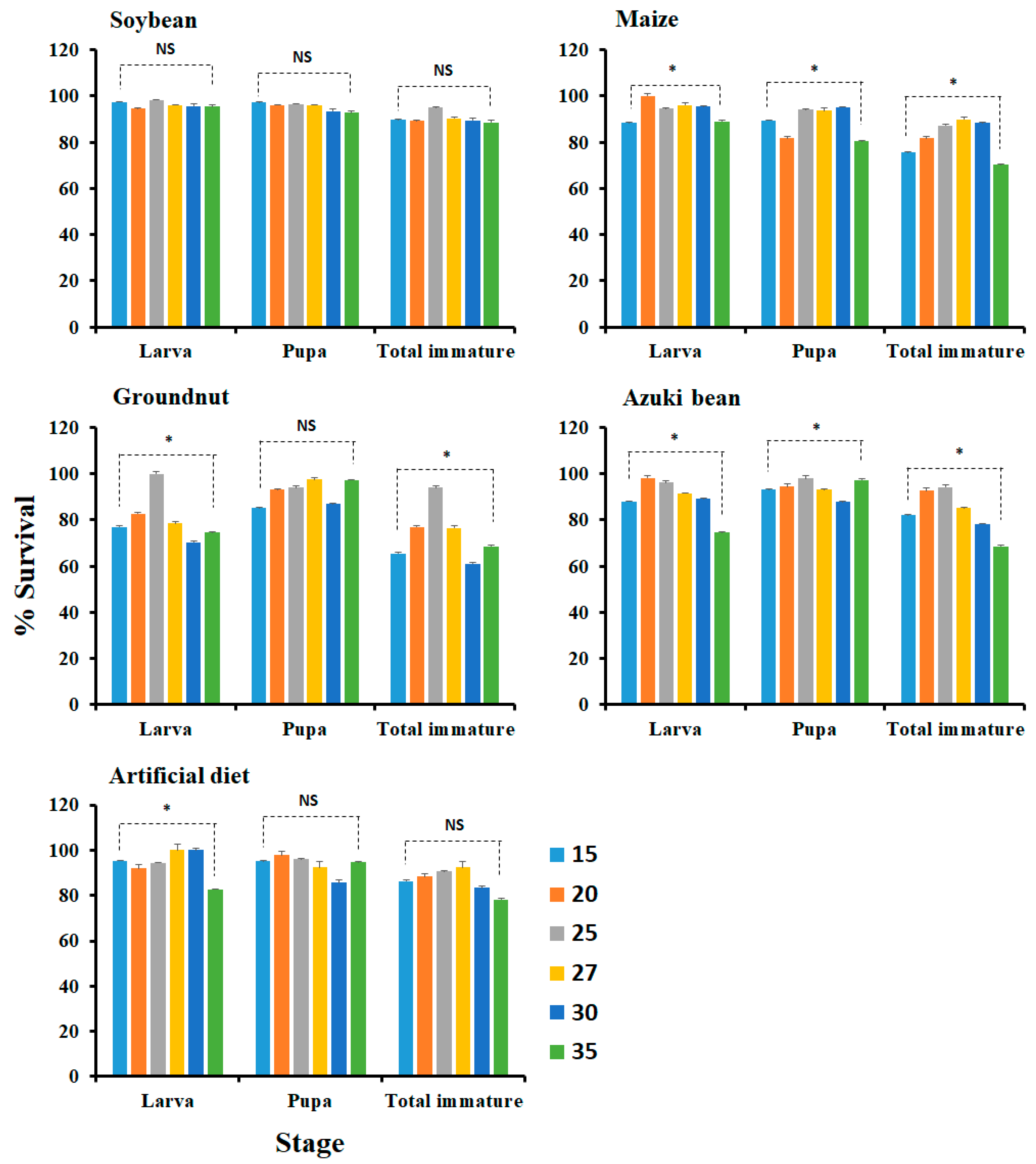
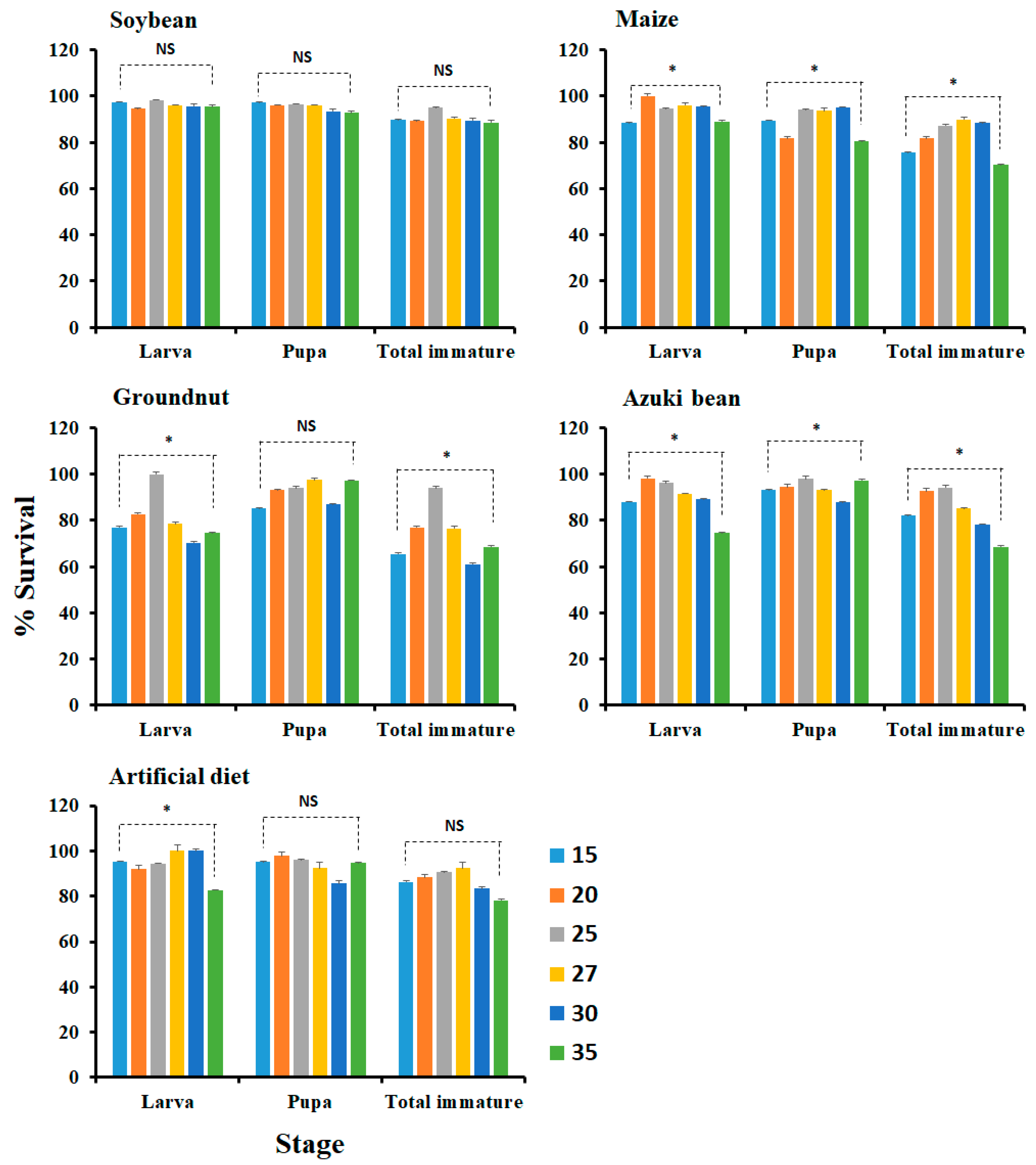
The survival percent of each life stage at different constant temperatures is presented in Figure 1. As a result, on soybean, the survival of larva (F5, 287 = 0.29, p = 0.9189), pupal (F5, 252 = 0.22, p = 0.9523), and total immature (F5, 291 = 0.34, p = 0.8892) was not significantly different among temperatures. On maize, the survival of larva (F5, 284 = 4.96, p = 0.0002), pupa (F5, 279 = 3.10, p = 0.0009), and total immature (F5, 289 = 2.16, p = 0.0.0448) was significantly different among temperatures. On groundnut, the survival of larva (F5, 308 = 3.75, p = 0.0026) and total immature (F5, 312 = 3.68, p = 0.0030) were significantly different, while survival of pupa (F5, 271 = 1.29, p = 0.2781) was not significantly different among temperatures. On azuki bean, the survival of larva (F5, 303 = 2.52, p = 0.0294), pupal (F5, 274 = 3.03, p = 0.0111), and total immature (F5, 303 = 3.54, p = 0.0040) was significantly different among temperatures. On artificial diet, the survival of larva (F5, 279 = 3.57, p = 0.0038) was significantly different, while pupa (F5, 262 = 1.33, p = 0.2527), and total immature (F5, 283 = 1.08, p = 0.3692) was not significantly different among temperatures. On the soybean, all the stages equally survived among temperatures. On the maize, the higher percent of survival—100% of larvae, 95.1% of pupa, and 88.4% of total immature—was at 20 °C, at 30 °C, and at 30 °C, respectively; on groundnut, the higher percent of survival—100% of larvae, 97.5% of pupa, and 93.9% of total immature—was at 25 °C at 27 °C, and at 25 °C, respectively; on azuki bean, the higher percent of survival—98.2% of larvae, 98.0% of pupa, and 94.1% of total immature—was at 20 °C, at 25 °C, and at 25 °C, respectively; and on the artificial diet, the higher percent of survival—98.2% of larvae, 98.0% of pupa, and 94.1% of total immature—was 100% of larvae, 97.8% for pupa, and 92.3% of total immature at 27 and 30 °C, at 20 °C, and at 27 °C, respectively. In the meantime, the bottommost survival percent of the larvae (70.4% at 30 °C), and total immature stage (61.1% at 30 °C) were measured on groundnut.
Figure 1.
Survivorship of different stages (larva, pupa, and total immature stage) of Spodoptera litura at different constant temperatures (15, 20, 25, 27, 30, and 35 °C) on host plants (soybean, maize, groundnut, and azuki bean) and the artificial diet. No eggs hatched at 40 °C. Bars represent standard error and NS denotes not significant. * Significantly different among temperatures (ANOVA, Tukey’s test, p < 0.05).
3.3. Adult Longevity and Sex Ratio
In comparison, the adult longevity of S. litura significantly differed among the temperatures on all host plants (Table 2). The longevity between females and males also varied significantly among all temperatures for soybean and azuki bean, except at 35 °C for maize, at 30 and 27 °C for groundnut, and at 20 °C for the artificial diet. The adults were found to live longer (females: 24.89 and males: 23.96 d) at 15 °C on soybean and live shorter (males: 4.81 d) at 35 °C on groundnut. The sex ratio of almost 1:1 did not differ significantly between the moths that emerged from the host plants and those given the artificial diet (p > 0.05). In the meantime, the highest sex ratio (0.61) was observed at 15 °C on azuki bean, with the lowest sex ratio (0.44) at 35 °C on the artificial diet.
Table 2.
Adult longevity (day, mean ± SE) and sex ratio (female proportion) of Spodoptera litura reared on different host plants (soybean, maize, groundnut, azuki bean) and the artificial diet as a food source at constant temperatures.
3.4. Combined Effects of Temperature and Host Plant
The development of each life stage (egg, larva, pupa, and total immature stage) was significantly impacted by both temperature and host plant (Table 3). It took longer for development at the lower extreme temperature (15 °C), whereas a shorter time was required for the development of all life stages at the upper extreme temperature (35 °C) on the host plant (p < 0.0001). The interaction between the temperature and host plant was also significant (p < 0.0001).
Table 3.
ANOVA results for the combined effects of temperature and hosts (soybean, maize, groundnut, and azuki bean, and the artificial diet) and interaction of temperature and host plant on the development of egg, larva, pupa, and total immature stage of Spodoptera litura.
3.5. Nutrient Content
The nutrient content differed significantly among the host plants in terms of protein (F3, 8 = 2693.57, p < 0.0001), free sugar content (stachyose: F1, 4 = 2500.07, p < 0.0001; sucrose: F3, 8 = 738.43, p < 0.0001; glucose: F3, 8 = 467.02, p < 0.0001; fructose: F1, 4 = 9.05, p = 0.0396), and fatty acid compositions (C16:0-F3, 8 = 112.41, p < 0.0001; C18:0-F3, 8 = 153.37, p < 0.0001; C18:1-F3, 8 = 25.87, p = 0.0002; C18:2-F3, 8 = 252.63, p < 0.0001; C18:3-F2, 6 = 14.40, p = 0.0051; C20:0-F2, 6 = 20444.7, p < 0.0001; C20:1-F2, 6 = 25.10, p = 0.0012; C22:0-F2, 6 = 19.50, p = 0.0024). A higher level of protein (47.5%) was recorded in soybean. However, the lipid content was not significant for any of the host plants. A higher sucrose level (20.31 mg/g) was recorded in maize, followed by soybean (9.3 mg/g). However, raffinose and galactose were not detected in any of the host plants. In the case of fatty acid composition, higher levels of C16:0 (18.8%), C18:0 (5.2%), C18:2 (25.1%), and C20:0 (50.6%) were recorded in azuki bean, soybean, and groundnut, respectively (Table 4).
Table 4.
Composition of lipids (%), protein (%), free sugar content (mg/g), and fatty acid composition (%) in host plant (soybean, maize, groundnut, and azuki bean) leaves.
3.6. Relationship between Host Plant Nutrient Content and Life-Table Parameters
Table 5 shows the relationships between nutrient contents of host plants and life-table parameters. There were negative relationships between nutrient contents (lipid and protein) of host plant and larval development, and positive relationships between nutrient contents (lipid and protein) of host plant and adult emergence rate.
Table 5.
Relationship between plant nutrient contents (lipids and protein) and life-table parameters (larval developmental time and adult emergence rate in host plant (soybean, maize, groundnut, and azuki bean) leaves.
3.7. Developmental Distribution Model
The stage-specific frequency distribution of S. litura against the normalized time (day/median) on host plants and artificial diet was described with the Weibull model (Table 6 and Figure 2). The cumulative frequency distribution of the developmental times of S. litura at each temperature on each host plant and artificial diet was found to be well fitted and described by the Weibull model (r2 > 0.94, p < 0.0001).
Table 6.
Parameter estimates (mean ± SE) of the Weibull distribution model for the development of Spodoptera litura using host plants (soybean, maize, groundnut, and azuki bean), and on the artificial diet as food sources against the normalized time (day/mean).
Figure 2.
Cumulative frequency of the development of Spodoptera litura using host plants (soybean, maize, groundnut, and azuki bean) and the artificial diet as food sources against the normalized time (day/median day), fit to the Weibull function. Red dots: observed data; solid black lines: estimated values.
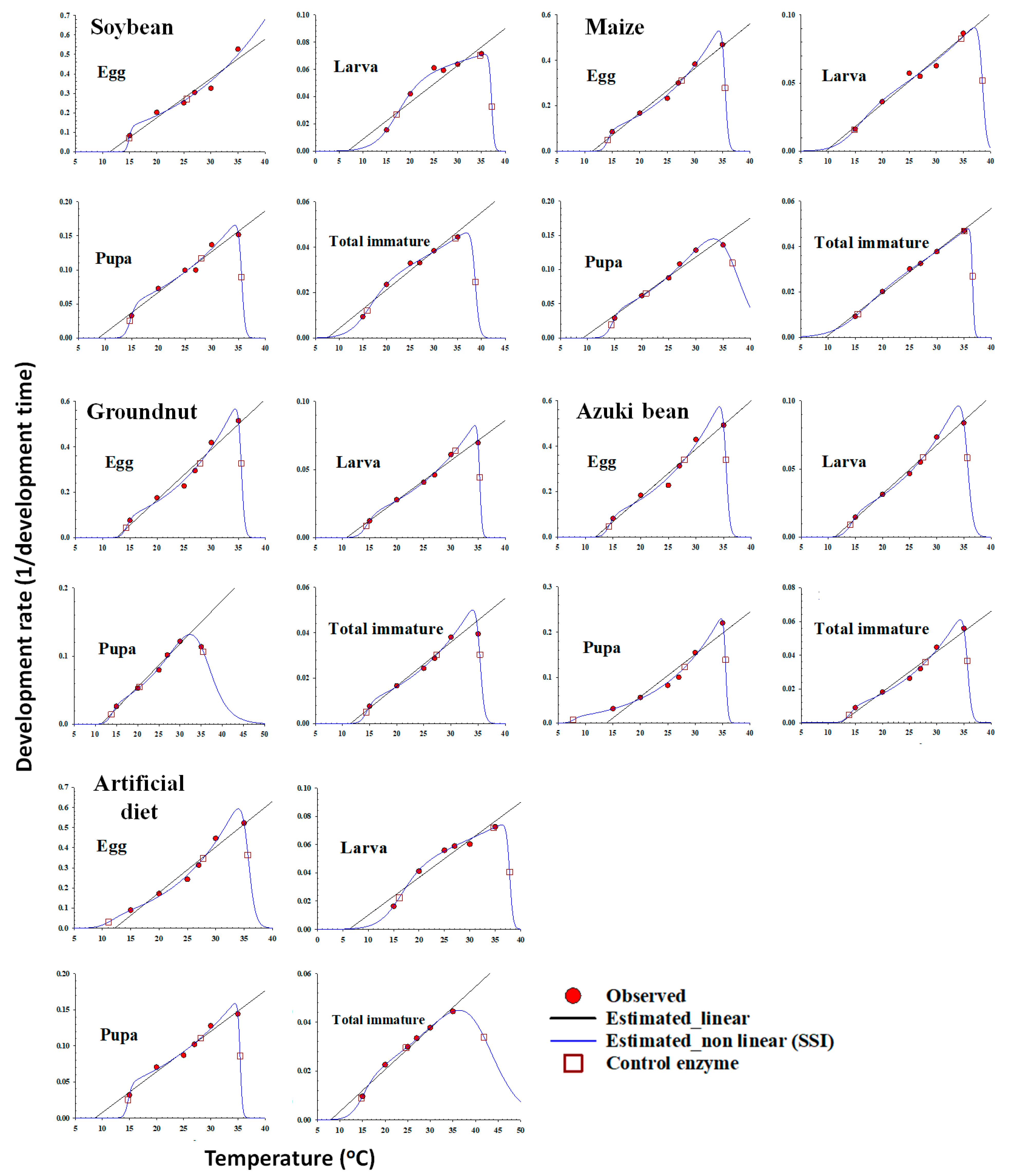
The relationship between temperature and the development rate of different life stages of S. litura was described with a linear regression model, and then this model was fit to the development rate in the mid-range on the host plants and artificial diet. The LDT and K of each life stage of S. litura were estimated with the regression model, and the estimates of the LDT and the K values for egg and total immature stage development were presented in Table 7 and Figure 3.
Table 7.
Linear regression analysis for Spodoptera litura using host plants (soybean, maize, groundnut, and azuki bean) and the artificial diet as food sources.
Figure 3.
Linear, nonlinear, and enzyme control models for the temperature-dependent rate (1/day) of the development of Spodoptera litura using host plants (soybean, maize, groundnut, and azuki bean) and the artificial diet as food sources. Red circles: observed data; solid blue curve lines: estimated nonlinear result; solid black straight lines: linear result; red square box: control enzyme.
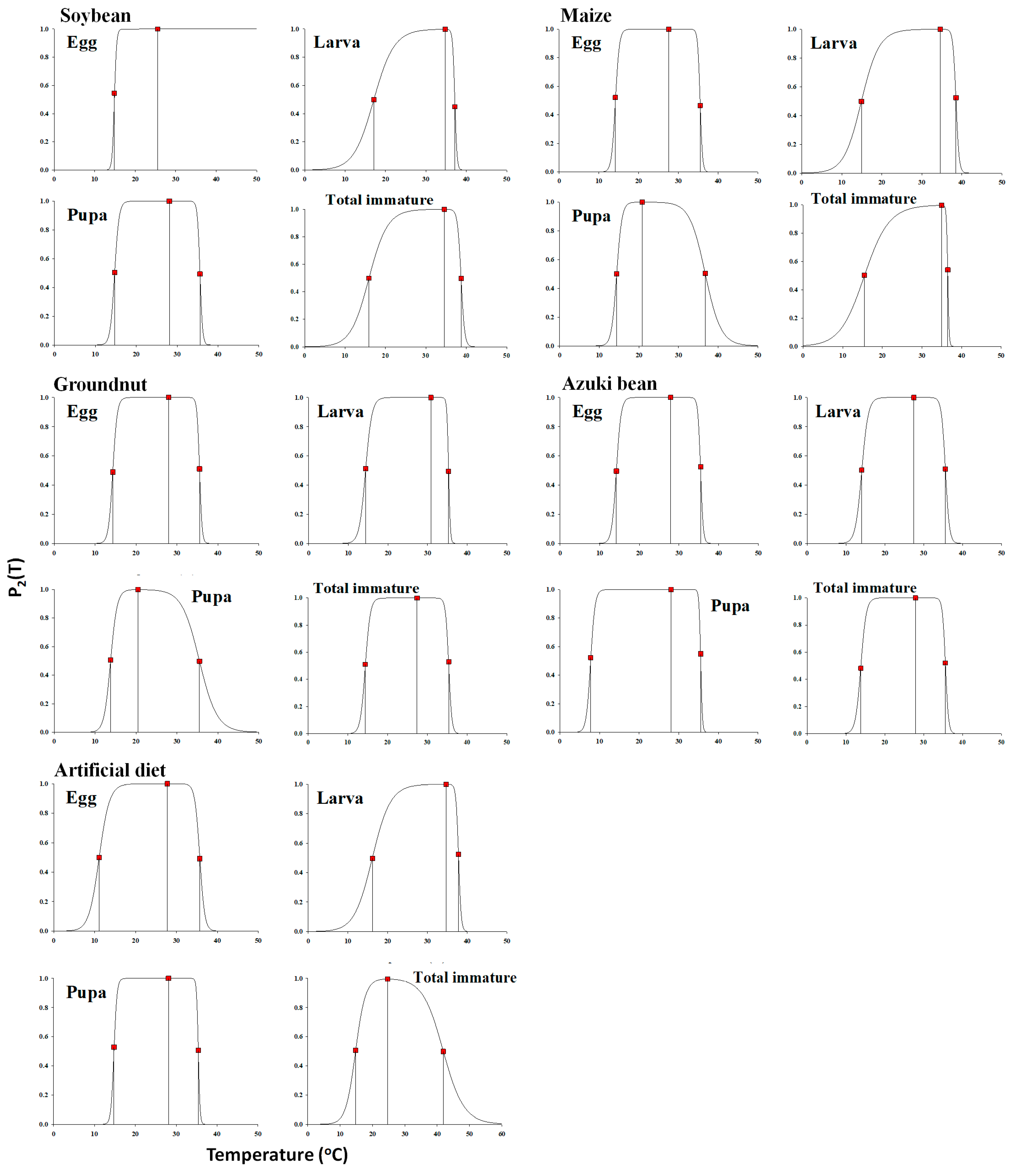
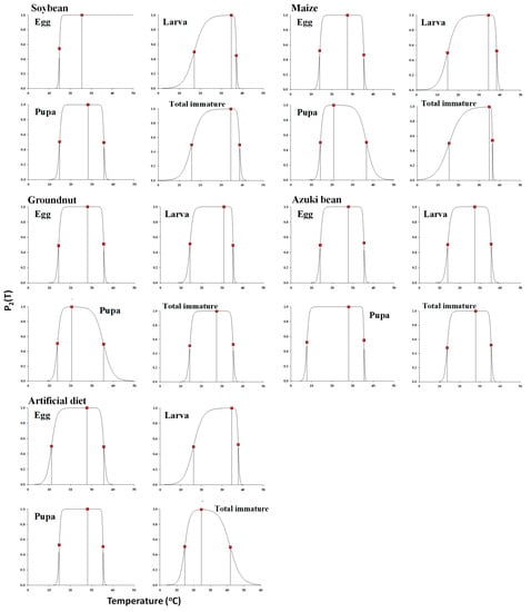
The estimated parameters of the nonlinear function for each life stage on each host plant are illustrated in the Table 8. A typical skewed bell shape, presenting a sharp decline when the rates were extremely high at temperatures above the optimal temperature, was noted for describing the temperature-dependent pattern of the S. litura development rate over the entire range (Figure 3 and Figure 4). The nonlinear model (SSI) was found as the best fit for the temperature-dependent rate of S. litura development on host plants and with an artificial diet (Table 4 and Figure 2). The respective intrinsic optimum temperatures (Topt.) of the control enzyme for the egg, larva, pupa, and total immature stage were 25.54, 34.68, 28.09, and 34.57 °C on soybean, 27.60, 34.62, 20.81, and 34.99 °C on maize, 27.96, 30.82, 20.47, and 27.39 °C on groundnut, 27.90, 34.62, 28.23, and 35.63 °C on azuki bean, and 27.77, 27.73, 14.76, and 24.65 °C on the artificial diet, respectively. The temperature window for the development of S. litura could be approximated from TL to TH. The temperature ranges for the total immature stage of S. litura reared on soybean, maize, groundnut, and the artificial diet were 22.78, 21.05, 20.98, 21.78, and 27.12 °C, respectively (Figure 4).
Table 8.
Parameter estimates of the nonlinear developmental rate model for Spodoptera litura using host plants (soybean, maize, groundnut, and azuki bean) and the artificial diet as food sources.
Figure 4.
P2(T) is the probability that the rate-controlling enzyme of Spodoptera litura is in the active stage. The three closed squares from left to right represent the development rates at , and . and are temperatures at which the control enzyme has equal probability to be active or inactive by low or high temperature inactivation, and is the intrinsic optimum temperature. Red dots: observed data; solid black curve lines: estimated data.
The nonlinear function was used to predict the daily emergence of adult emergence from a cohort of S. litura eggs under constant temperatures, and presented in relation to temperature (°C) and time (day) (Figure 5). The adult emergence occurred earlier over a much shorter time period under optimum temperatures; however, the adult emergence exhibited a delay over extended periods under very low and very high temperatures. For example, from the cohort of eggs, adult emergence occurred between 20 and 30 days at 35 °C, whereas it took 90–97 days at 15 °C and 25–30 days at 27 °C on the host plants and the artificial diet.
Figure 5.
Simulation frequency of Spodoptera litura adult emergence from an egg cohort in relation to time (day) and constant temperature (°C) on host plants (soybean, maize, groundnut, and azuki bean) and the artificial diet.
3.8. Simulation of Adult Emergence
According to the biofix date (1 January), the voltinism of S. litura ranged from 4.00 to 5.47 generations on the host plants and on the artificial diet over 4 years. The number of generations was higher on soybean in 2021 and lower on groundnut in 2020. The spring emergence of adults in the field ranged from 24 May to 19 June on the host plants and on the artificial diet over 5 years. Early spring emergence (24 May) was recorded on soybean in 2022, while late spring emergence (19 June) was recorded on groundnut in 2019. However, the generation and spring emergence of adults were not significant among hosts and by year (p > 0.05) (Table 9).
Table 9.
Estimated annual voltinism over five-year period in Miryang, Republic of Korea, based on a biofix of 1 January, and date of spring emergence of Spodoptera litura adults.
4. Discussion
The surge in temperatures due to global warming has intensively impacted the biological processes of plants and insects, as well as insect population dynamics worldwide [76]. As a consequence, it is anticipated that serious problems in terms of pest management programs and challenges to food security will become more prevalent [77,78,79]. Hence, it is vital to understand the relationship between temperature and the development rate of insect pests in order to assess adult emergence in the field, develop forecasting models, and ultimately formulate integrated pest management programs [80]. Temperature is a core factor that leads to noticeable changes in the development of a wide range of insect species [81,82,83,84]. In this study, we estimated the thermal requirements of S. litura using linear and nonlinear developmental rate models on different host plant leaves and an artificial diet. Our study revealed that the pattern of development of S. litura was influenced by the studied temperatures, and the developmental pattern was inversely related to these temperatures [85,86]. Our results on the development rate of S. litura eggs, larvae, and pupae are largely in agreement with the studies conducted by [7,87,88], except at 15 °C. In the present study, we estimated 63.92 d on soybean and 80.20 d on groundnut at 15 °C, which are lower estimates than those found in [7,87] on soybean and groundnut, respectively, and higher estimates than those in [88] on groundnut. These variations may be due to the different host plants (especially cultivars) offered to the larvae as well as the available nutrient content and nutritional quality of the host plants [6,34,89]. The differences in chemical compounds, along with factors other than the temperature, such as insect genetic makeup, geographic origin, and environmental conditions (relative humidity and photoperiod) [90,91], emphasized that information regarding the nutritional value of the host plants offered is significant in order to develop viable and applicable management strategies against polyphagous insects, because the economic standing of polyphagous insects is mediated by the nutritional quality and by the relative abundance of the host plants. In this study, the S. litura eggs could not hatch or complete their development at the higher extreme temperature (40 °C) on either the host plants or the artificial diet. Previous studies have also reported the failure of egg development at extreme temperatures [42,92,93]. This abnormal development and the death of the eggs may be attributed to the rapid dehydration and physiological disorders mediated by the induced heat. Ref. [94] reported metabolic disorders and even death in insects that experienced prolonged exposure to extreme temperatures. In addition, exposure to extreme temperature regimes also inactivated the enzymes that prevent cell cycle development, thus significantly reducing the temperature range over which insect embryos develop compared to the thermal tolerance range of adults [95,96], which would explain why the extreme temperatures had such unfavorable impacts on the development of S. litura. However, the unsuccessful development of eggs due to extreme temperatures may vary under the fluctuating temperatures found outdoors. Ref. [97] reported that plants can maintain leaf temperatures that differ from the ambient temperature; for example, through evapotranspiration, host plants may insulate eggs from extreme temperatures. This phenomenon can be associated with egg size and proximity, and the eggs may exploit the physiology of their host’s leaves to escape from damage due to high temperatures.
In nature, the selection of a host by insect species is governed by adoptative evolution, and this selection behavior guides the evolution of host plant specificity [98,99]. Host plants play a vital role in the optimum development, mating behavior, and survival of insects in a given environmental condition, and the development and life variables of polyphagous insects are often associated with their host plants [100,101]. Within plant characteristics, the nutritional value and quality of the host plants are the significant factors that affect the survival and fitness of insects [23,25,102,103].
Insect development depends on diet to a considerable degree [25,104], and the utilization of different plant food sources brings variation to the life variables of insects [105,106]. In this study, alongside the effect of temperature (Table 3), the host plants also influenced the development and survival of S. litura, and the data clearly showed variation in the developmental time of the larvae, and their survival on soybean, maize, groundnut, and azuki bean. This influence of host plants on development of larvae is also backed by our regression analysis (Table 5). These findings are supported by several previous studies, despite the fact that a coordinated comparison of the findings can be difficult as diverse host plants and natural conditions were utilized in the research [6,42,51,101,107,108]. A study by [7] examining the developmental variables on soybean reported the developmental time of S. litura larva as 93.0 d at 15 °C, which was much longer than in this study. Other studies by [87,88] estimating the developmental variables on groundnut reported developmental times for larvae of 94.5 d and 51 d at 15 °C, respectively; the estimates of [87] were lower and those of [89] were higher than our estimates. In addition, [88] reported the developmental time of larvae on groundnut to be 17 d at 27 °C, which was approximately 4 d shorter than in this study. However, a slightly longer developmental time (23.2 d) on tobacco and shorter developmental times (15.8 and 13.3 d) on cowpea and Chinese cabbage, respectively, have been reported, in comparison to our estimates for S. litura larvae at 26 ± 1 °C [6]. This difference in the developmental time of S. litura may be due to different soybean and groundnut varieties and the nutritional quality associated with (and the quantity of) the host plant variety [98,109]. The accessibility of primary and secondary biochemicals on diverse host plants or diverse host plant parts consumed by the larvae may also have influenced the developmental time of this moth [110]. A study conducted by [111] examining the feeding environment of several insect species found that some plants contained fewer of the basic supplements necessary for the typical development of insects; specifically, insects that feed on sources with such poor nutrient levels tend to store the most important substances, such as lipids, instead of utilizing them for ordinary development, resulting in a longer development time. Other studies have also posited that this type of prolonged developmental time may be due to a lack of basic host plant nutrients [112], with nutrient deficiency ultimately leading to a longer development time in lepidopterans [113]. Refs. [114,115] reported that a lack of certain proteins may antagonistically influence the developmental times of insect species. In addition, Lepidoptera showed weak performance and slower development when they consumed leaves containing a higher amount of crude fiber and less protein [116], secondary metabolites, and toxic proteins [117,118]. We observed a longer developmental time for S. litura when they were fed on groundnut, which may be associated with higher amounts of secondary metabolites and toxic proteins, and less protein, as described by [118]. The influence of the nutrient contents of host plants on the developmental time of S. litura is well supported by the nutrient analysis carried out in this study, which clearly showed the differences in nutrient content among the host plants’ leaves, and the association between nutrient contents of host plants and life-table parameters of S. litura (Table 4 and Table 5).
In this study, we found that the pupal development varies among temperatures on all food hosts. In the case of pupal development, [28] reported that it was not mediated by the host plants on which the larvae fed. The developmental time of pupae on the host plants may be explained by the fact that pupal development is controlled by factors other than just the host plant, such as temperature and relative humidity, and such factors may be more critical than the host plant in some circumstances. This phenomenon is well supported by [21], who reported that temperature plays a vital role in the pupal development of S. litura. Further, the authors reported that the mean pupal developmental duration was as long as 13.83 d at 24 °C on perilla and as short as 7.00 d at 32 °C on soybean.
In this study, we presented evidence that temperature and host plants significantly influence the longevity of S. litura. However, the sex ratio (female proportion) was not biased, and almost equal numbers of female and male adults emerged when their larvae were fed with the host plants and the artificial diet. The longevities of both the female and male S. litura adults were also significantly affected by the host plants and the artificial diet on which their larvae fed (Table 2). The females that emerged from larvae fed with soybean lived the longest at 15 °C, while the males that emerged from larvae fed with groundnut lived the longest at 35 °C. Again, this varied outcome may be attributed to the nutritional quality and quantity of the host plant species and the biochemical components available on those plants [98,108]. We noticed significant differences between the females’ and males’ longevities among those that emerged from the host plants. These results are in agreement with the findings of previous studies [6,41,42,98]. In addition to the nutrition quality of each host plant, these longevity differences may be linked to several factors and interactions such as the complex interaction between specific native environmental conditions and sex-specific costs of reproduction, the epigenetic control of longevity by imprinting through DNA methylation, and increased fecundity and protection from aging stemming from the act of mating or components from the male ejaculate [119].
The estimation of the population development of organisms is generally carried out using origination and the development-based lower temperature threshold [120]. The estimations of the LTDs for the eggs, larvae, and pupae of S. litura using the linear model estimated by [7] on soybean and by [87] on groundnut are in contrast to the present study. Ref. [7] estimated lower LTDs for eggs (10.2 °C), but higher for larvae and pupae (9.9 and 9.8 °C, respectively) than we estimated in the present study. However, Ref. [87] reported lower LDTs for the egg (8.2 °C), larval (10.0 °C), and pupal (10.2 °C) stages on groundnut than our estimates. In the present study, our estimate was 45.08 DD for eggs to hatch on groundnut, which is lower than the thermal constant estimated by [87], who reported 64 DD for eggs on groundnut. However, Ref. [88] estimated lower thermal constants for larvae (303 DD) and pupae (155 DD) on groundnut than we estimated in the present study. This differences in the estimations of the lower developmental threshold and thermal constant may be attributed to differences in the rearing conditions, exposed environmental conditions, host plant variety, nutrient contents present, and the quality of the host plants used as larval food [6,42]. This reflects that there are factors other than temperature involved in the variations observed among the host plants, temperatures, and their interaction in this study (Table 3). This type of variation due to the significant interaction between temperature and diet was also noticed in other Spodoptera species [42,121]. It may also be due to the contrasts in each study’s exploratory technique. In this study, we allowed the larvae to pupate and remain pupae in the same Petri dish (5 cm dia. × 1.5 cm height, with topside ventilation) until the adults emerged. However, Ref. [88] used transparent plastic cups, and [7] utilized bigger Petri dishes (10 cm dia.) than we provided for our larvae, and the pupae were kept in a test tube rather than a Petri dish. It is worth considering whether the materials and techniques utilized have an influence on the developmental requirements of S. litura.
In the field of scientific research, there is still debate on the validity of the existing mathematical functions. Although a wide range of mathematical functions have been developed and are being used in developmental research for describing insect development rates across thermal regimes, authors tend to select models based on strong subject- and field-associated biases. Moreover, the performance of each model also varies according to the specific context, and there is no clear agreement on one particular model that can be ideally used across a wide range of applications [122]. At present, either a single model or a number of models focusing on a specific taxonomic group, frequently without justification, are used in many studies to describe temperature-dependent advancement, meaning that the key qualities of the model such as prescient control or other beneficial qualities may also be neglected [123]. Considering this shortcoming, we chose a number of diverse models to perform the data analysis. In the present study, we utilized one nonlinear numerical model (SSI) to sufficiently depict the formative rate versus the temperature curve, since the relationship between them is curvilinear near to the extremes. The reason for selecting the SSI nonlinear model is that the model offers clear biophysical meaning and thermodynamic information among the model parameters [95,124], and can best describe the temperature ranges for insect development with the temperature threshold and the maximum temperature estimates. The superior performance of the SSI nonlinear model is also supported by [125], who described that the SSI function performed as well as, or better than, other functions. In this study, we found that the high correlation coefficient (r2-values: 0.98–0.99) and the minimum variance of the estimated parameters on all host plants showed that the developmental rate of S. litura was well fitted and described using a nonlinear model. The intrinsic optimum temperature (Tφ) value is known as the most critical factor for development that determines the fitness of an optimum life history strategy [70], which is evidence for the involvement of the maximal active state of enzymes in the development process [126,127]. The data we estimated in this study was found to fit well into the rate-control enzyme model and well described the development of S. litura (Figure 4).
Standard laboratory-based research conducted under a standard set of conditions, such as a consistent temperature and other controlled and replicable conditions with a specific physiological or behavioral response or survival, regularly delivers generally straightforward relationships. Nevertheless, these relationships may not be as simple as those observed under controlled conditions due to the complexity and variability experienced in field conditions, along with the involvement of little-known or unclear characteristics [128]. Ref. [129] presented evidence concerning the impact on modification within the phenotype of Drosophila melanogaster Meigen due to the development mediated by adult temperature acclimation. Supporting the notion of the impact of temperature acclimation, Ref. [128] detailed the versatile effects of acclimation in both laboratory and field tests, with more grounded impacts being observed within the field test. In spite of the fact that there is a difference in the relationship between the laboratory and the field, the evaluated laboratory-based traits might still be significant and pertinent to field execution, but this basic assumption should be verified [130]. Moreover, Ref. [87] reported that the response of different stages of S. litura to temperature under constant laboratory conditions was similar to that under field conditions.
We estimated the lower temperature threshold and thermal constant of S. litura using linear models because these are broadly utilized to assess the lower temperature limit and thermal constant of insect species [131] despite the fact that analysts have highlighted numerous drawbacks [132,133]. In spite of these inadequacies, linear models remain widely utilized since they require negligible information input for definitions using simple calculation. Hence, their application has generally been found to be sufficient with acceptable exactness [134]. By using a linear model with thermal constant estimates on the host plants and the artificial diet, we tested the simple application of a degree-day model with the biofix of 1 January [135,136] to predict the number of generations of S. litura, which resulted in 4.21–5.30 generations in 2018, 4.11–5.23 in 2019, 4.0–5.16 in 2020, 4.30–5.47 in 2021, and 4.27–5.42 in 2022 on the host plants and the artificial diet. The resulting spring emergence dates for S. litura were 28 May–13 June in 2018, 31 May–19 June in 2019, 26 May–13 June in 2020, 26 May–17 June in 2021, and 24 May–12 June in 2022 in the fields of the host plants in Korea (Table 8) (Maharjan, unpublished). Therefore, this study delivers important information on the temperature-dependent development of this polyphagous pest in Korea, which is anticipated to be valuable for the forecast modeling of the distribution expansion and population regulation of S. litura from a climate change viewpoint [133,137]. The model developed based on the thermal requirements for the development of S. litura estimated in this study might contribute to the advancement of integrated pest management strategies, including spray timing [138,139], with the constrained capacity of extrapolation from the laboratory-based parameter estimation [46,140]. Despite the fact that Spodoptera species can only successfully breed during the summer and struggle to survive the winter on the Korean peninsula due to the extreme temperatures, rapid climate change has the potential to significantly increase population, spread, and damage [141]. Global warming not only leads greater overwinter survival and an increase in population, but also impacts earlier emergence of insects in spring [142]. Based on the spring emergence trend we presented, it can be said that the emergence of S. litura is becoming earlier as time passes, and this may be mediated by global warming. Climate change impacts have been already experienced in the Miryang as winter temperature is getting warmer [143], and earlier appearance in spring of insects has already noticed in Miryang [144]. The spring emergence trend presented in this study is supported by our field monitoring study of Spodoptera species. Our field monitoring study clearly showed the early emergence and damage increment in crop fields as time passed in Miryang (Maharjan, unpublished). Further, Ref. [144] reported the earlier spring emergence of Nysius species (Heteroptera: Lygaeidae) in Miryang. This clearly indicates the impact of climate change on the seasonal occurrence and population dynamics of insect species in Miryang. Therefore, this climate change-mediated phenomenon could accelerate higher winter survival, lead to an increase in generations, and prolong the reproductive season, and this will ultimately help bring the great risks of profound damage of crop species and increased damage coverage of crop species, and the host shifting of insects, to both the local (Miryang) and national (Korea) levels.
5. Conclusions
Thermal requirements determined in this study, can be used as parameters for modeling areas and field crops that are appropriate for predicting the occurrence, number of generations, and potential distribution of S. litura. The optimal temperature range for egg, larval, and egg-to-adult development of S. litura was 25 and 30 °C. The minimum temperature threshold range for egg, larva, and pupa was 11.30 and 12.49, 6.23 and 11.19, and 8.64 and 13.78 °C on food hosts, respectively. This shows that S. litura will not develop and continue in those geographical regions where temperatures drop to below these temperature points during winter season. Further, in the state of changing population dynamics of insects due to climate change, we developed a model that enables correct prediction of S. litura, and the generated information may be a base for developing models for forecasting a wide range of insect pest species. However, the continuous monitoring of polyphagous pest species in field crops is strongly recommended.
Author Contributions
Conceptualization, S.H. and H.Y.; Methodology, S.H. and H.Y.; Software, R.M. and J.A.; Formal analysis, J.K. and M.L.; Data curation, Y.J. and M.L.; Writing—original draft, R.M., J.A., J.K. and K.P.; Writing—review & editing, Y.J. and M.L.; Visualization, J.K. and K.P.; Supervision, Y.J. and M.L.; Project administration, Y.Y. and K.P.; Funding acquisition, Y.Y. All authors have read and agreed to the published version of the manuscript.
Funding
This research was supported by grants from the Cooperative Research Program for Agriculture Science & Technology Development (Grant no. PJ01571901), the National Institute of Crop Science (NICS), and the Rural Development Administration (RDA), Republic of Korea.
Institutional Review Board Statement
Not applicable.
Informed Consent Statement
Not applicable.
Data Availability Statement
Data are available upon request to the corresponding author.
Acknowledgments
The authors thank Chan-Sik Jung, Upland Crop Breeding Research Division, NICS, RDA, Miryang, for managing the facilities used to analyze the nutrient content of the host plants.
Conflicts of Interest
The authors declare no conflict of interest.
References
- Feakin, S.D. Pest Control in Groundnut. PANS Manual No. 2; Centre for Overseas Pest Research, Overseas Development Administration: London, UK, 1973.
- Garad, G.P.; Shivapuje, P.R.; Bilapate, G.G. Life fecundity tables of Spodoptera litura (F.) on different hosts. Proc. Indian Acad. Sci. 1984, 93, 29–33. [Google Scholar] [CrossRef]
- IIE. Distribution Maps of Plant Pests; No. 61; CAB International: Wallingford, UK, 1993. [Google Scholar]
- EPPO. PQR Database: European and Mediterranean Plant Protection Organization, Paris, France. 2013. Available online: http://www.eppo.int/DATABASES/pqr/pqr.htm (accessed on 1 November 2022).
- Holloway, J.D. The moths of Borneo: Family Noctuidae, trifine subfamilies: Noctuinae, Heliothinae, Hadeninae, Acronictinae, Amphipyrinae, Agaristinae. Malay. Nat. J. 1989, 42, 57–228. [Google Scholar]
- Xue, M.; Pang, Y.H.; Wang, H.T.; Li, Q.L.; Liu, T.X. Effects of four host plants on biology and food utilization of the cutworm, Spodoptera litura. J. Insect Sci. 2010, 10, 22. [Google Scholar] [CrossRef]
- Fand, B.B.; Sul, N.T.; Bal, S.K.; Minhas, P.S. Temperature impacts the development and survival of common cutworm (Spodoptera litura): Simulation and visualization of potential population growth in India under warmer temperatures through life cycle modelling and spatial mapping. PLoS ONE 2015, 10, e0124682. [Google Scholar] [CrossRef] [PubMed]
- Kondo, E. Size-related susceptibility of Spodoptera litura (Lepidoptera: Noctuidae) larvae to entomogenous nematode, Steinernema feltiae (DD-136). Appl. Entomol. Zool. 1987, 22, 560–569. [Google Scholar] [CrossRef]
- Kranthi, K.R.; Jadhav, D.R.; Kranthi, S.; Wanjari, R.R.; Ali, S.S.; Russell, D.A. Insecticide resistance in five major insect pests of cotton in India. Crop Prot. 2002, 21, 449–460. [Google Scholar] [CrossRef]
- Ahmad, M.; Arif, M.I.; Ahmad, M. Occurrence of insecticide resistance in field populations of Spodoptera litura (Lepidoptera: Noctuidae) in Pakistan. Crop Prot. 2007, 26, 809–817. [Google Scholar] [CrossRef]
- Huang, S.; Han, Z. Mechanisms for multiple resistances in field populations of common cutworm, Spodoptera litura (Fabricius) in China. Pestic. Biochem. Physiol. 2007, 87, 14–22. [Google Scholar] [CrossRef]
- Zou, Z.S.; Chen, Z.P.; Deng, H.B.; Chen, Y.M.; Xu, Z.F. Life tables of natural populations of Spodoptera litura (Fab.) on tobacco and taro. Acta Ecol. Sin. 2007, 27, 1515–1523. [Google Scholar]
- Qin, H.; Ye, Z.; Huang, S.; Ding, J.; Luo, R. The correlation of the different host plants with preference level, life duration and survival rate of (Spodoptera litura) Fabricius. Chin. J. Eco-Agric. 2004, 12, 40–42. [Google Scholar]
- Dhir, B.C.; Mohapatra, H.K.; Senapati, B. Assessment of crop loss in groundnut due to tobacco caterpillar, Spodoptera litura (F.). Indian J. Plant Prot. 1992, 20, 215–217. [Google Scholar]
- Patil, R.K.; Ravishankar, G.; Mannikeri, I.M.; Giriraj, K.; Rayar, S.G. Effect of sowing time on production potential and incidence of Spodoptera litura on groundnut cultivars. J. Oilseeds Res. 1996, 13, 18–21. [Google Scholar]
- Choudhary, A.K.; Srivastava, S.K. Efficacy and economics of some neem based products against tobacco caterpillar, Spodoptera litura F. on soybean in Madhya Pradesh, India. Int. J. Agric. Sci. 2007, 3, 15–17. [Google Scholar]
- Gedia, M.V.; Vyas, H.J.; Acharya, M.F.; Patel, P.V. Life table, rate of increase and stable age distribution of Spodoptera litura (Fabricius) on Cotton. Ann. Plant Prot. Sci. 2008, 16, 62–65. [Google Scholar]
- Punithavalli, M.; Sharma, A.N.; Balaji, R.M. Seasonality of the common cutworm Spodoptera litura in a soybean ecosystem. Phytoparasitica 2014, 42, 213–222. [Google Scholar] [CrossRef]
- Sharma, A.N.; Gupta, G.K.; Verma, R.K.; Sharma, O.P.; Bhagat, S.; Amaresan, N.; Saini, M.R.; Chattopadhyay, C.; Sushil, S.N.; Asre, R.; et al. Integrated Pest Management Package for Soybean; Directorate of Plant Protection, Quarantine and Storage: Faridabad, India, 2014; p. 41.
- Kim, C.H.; Shin, H.Y. Studies on bionomics and control of tobacco cutworm, Spodoptera litura Fabricius in southern part of Korea. J. Inst. Agric. Resour. Util.-Gyeongsang Natl. Univ. 1987, 21, 105–122. [Google Scholar]
- Bae, S.; Park, K.B. Effects of temperature and food source on pupal development, adult longevity and oviposition of the tobacco cutworm, Spodoptera litura Fabricius. Korean J. Appl. Entomol. 1999, 38, 23–28. [Google Scholar]
- Jung, J.M.; Byeon, D.-H.; Jung, S.; Lee, W.-H. Effect of climate change on the potential distribution of the common cutworm (Spodoptera litura) in South Korea. Entomol. Res. 2019, 49, 519–528. [Google Scholar] [CrossRef]
- Awmack, C.S.; Leather, S.R. Host plant quality and fecundity in herbivorous insects. Annu. Rev. Entomol. 2002, 47, 817–844. [Google Scholar] [CrossRef]
- Quan, W.L.; Liu, W.; Zhou, R.Q.; Qureshi, S.R.; Ding, N.; Ma, W.H.; Lei, C.L.; Wang, X.P. Do different in life-history traits and the timing of peak mating activity between host-associated populations of Chilo supressalis have a genetic basis? Ecol. Evol. 2016, 6, 4478–4487. [Google Scholar] [CrossRef]
- Hosseini, A.; Hosseini, M.; Michaud, J.P.; Awal, M.M.; Ghadamyari, M. Life history responses of Hippodamia variegata (Coleoptera: Coccinellidae) to changes in the nutritional content of its prey, Aphis gossypii (Hemiptera: Aphididae), mediated by nitrogen fertilization. Biol. Control 2019, 130, 27–33. [Google Scholar] [CrossRef]
- Southwood, T.R.E.; May, R.M.; Hassell, M.P.; Conway, G.R. Ecological strategies and populations parameters. Am. Nat. 1974, 108, 791–804. [Google Scholar] [CrossRef]
- Etman, A.; Hooper, G.H.S. Developmental and reproductive biology of Spodoptera litura (F.) (Lepidoptera: Noctuidae). J. Aust. Entomol. Soc. 1979, 18, 363–372. [Google Scholar] [CrossRef]
- Patel, I.S.; Rote, N.B.; Shah, A.H.; Patel, U.G.; Patel, B.K. Biology of cotton leafworm Spodoptera litura Fb. (Noctuidae: Lepidoptera) on cotton. Gujarat Agric. Univ. Res. J. 1986, 11, 67–68. [Google Scholar]
- Patel, I.S.; Shah, A.H.; Rote, N.B. Effect of different food plants on development of leaf eating caterpillar, Spodoptera litura (F.). Gujarat Agric. Univ. Res. J. 1987, 12, 57–58. [Google Scholar]
- Bae, S.D.; Park, K.B.; Oh, Y.J. Effects of temperature and food source on the egg and larval development of tobacco cutworm, Spodoptera litura Fabricius. Korean J. Appl. Entomol. 1997, 36, 48–54. [Google Scholar]
- Bae, S.D. Leaf characteristics of leguminous plants and the biology of tobacco cutworm, Spodoptera litura Fabricius: I. The larval development and leaf feeding amount. Korean J. Appl. Entomol. 1999, 38, 217–224. [Google Scholar]
- Bae, S.D. Leaf characteristics of leguminous plants and the biology of tobacco cutworm, Spodoptera litura Fabricius: II. Pupal development and adult longevity. Korean J. Appl. Entomol. 1999, 38, 225–230. [Google Scholar]
- Guan, B.B.; Chen, O.J. Biology and Ecology of Spodoptera litura. Acta Entomol. East. China 1999, 8, 57–61. [Google Scholar]
- Zhu, S.D.; Lu, Z.Q.; Chen, L.F.; Yu, W.; Zhang, S.J. Effect of temperature and food on Spodoptera litura population. Chin. J. Appl. Ecol. 2000, 11, 111–114. [Google Scholar]
- Taylor, F. Ecology and evolution of physiological time in insects. Am. Nat. 1981, 117, 1–23. [Google Scholar] [CrossRef]
- Pedigo, L.P. Entomology and Pest Management; Macmillan Publishing Company: New York, NY, USA, 1989; p. 646. [Google Scholar]
- Lange, H.; Okland, B.; Krokene, P. Thresholds in life cycle of the spruce bark beetle under climate change. Int. J. Complex Syst. 2006, 1648, 1–10. [Google Scholar]
- Danilevskii, A.S. Photoperiodism and Seasonal Development of Insects; Oliver and Boyd Ltd.: Edinburg/London, UK, 1965; p. 283. [Google Scholar]
- Briere, J.F.; Pracros, P.; Le Roux, A.Y.; Pierre, J.S. A novel rate model of temperature-dependent development for arthropods. Environ. Entomol. 1999, 28, 22–29. [Google Scholar] [CrossRef]
- Angilletta, M.J. Thermal Adaptation: A Theoretical and Empirical Synthesis; Oxford University Press: New York, NY, USA, 2009; p. 289. [Google Scholar]
- Maharjan, R.; Jeongjoon, A.; Park, C.; Yoon, Y.; Jang, Y.; Kang, H.; Bae, S. Effects of temperature on development of the azuki bean weevil, Callosobruchus chinensis (Coleoptera: Bruchidae) on two leguminous seeds. J. Stored-Prod. Res. 2017, 72, 90–99. [Google Scholar] [CrossRef]
- Maharjan, R.; Jeongjoon, A.; Yi, H. Interactive effects of temperature and plant host on the development parameters of Spodoptera exigua (Hübner) (Lepidoptera: Noctuidae). Insects 2022, 13, 747. [Google Scholar] [CrossRef] [PubMed]
- Zheng, F.S.; Du, Y.Z.; Wang, Z.J.; Xu, J.J. Effect of temperature on the demography of Galerucella birmanica (Coleoptera: Chrysomelidae). Insect Sci. 2008, 15, 375–380. [Google Scholar] [CrossRef]
- Yang, P.J.; Carey, J.R.; Dowell, R.V. Temperature influence on the development and demography of Bactrocera dorsalis (Diptera: Tephritidae) in China. Environ. Entomol. 1994, 23, 971–974. [Google Scholar] [CrossRef]
- Dreyer, H.; Baumagartner, J. Temperature influence on cohort parameters and demographic characteristics of the two cowpea coreids Clavigralla tomentosicollis and C. shadabi. Entomol. Exp. Appl. 1996, 78, 201–213. [Google Scholar] [CrossRef]
- Infante, F. Development and population growth rates of Prorops nasuta (Hym., Bethylidae) at constant temperatures. J. Appl. Entomol. 2000, 124, 343–348. [Google Scholar] [CrossRef]
- Jarvis, C.H.; Baker, R.H.A. Risk assessment for nonindigenous pests: 2. Accounting for inter-year climate variability. Diver. Distrib. 2001, 7, 237–248. [Google Scholar] [CrossRef]
- IPCC. Climate Change: The physical science basis. In Contribution of Working Group I to the Fifth Assessment Report of the Intergovernmental Panel on Climate Change; Stocker, T.F., Qin, D., Plattner, G.K., Tignor, M., Allen, S.K., Boschung, J., Nauels, A., Xia, Y., Bex, V., Midgley, P.M., Eds.; Cambridge University Press: Cambridge, UK; New York, NY, USA, 2013; p. 1535. [Google Scholar]
- Kwon, M.; Kim, J.; Maharjan, R.; Choi, J.-Y.; Kim, G.-H. Change in the distribution of the potato tuber moth, Phthorimaea operculella (Zeller) (Lepidoptera: Gelechiidae) in Korea. J. Asia-Pac. Entomol. 2017, 20, 1249–1253. [Google Scholar] [CrossRef]
- Gregg, P.C. A simulation model of the development of Chortoicetes terminifera (Orthoptera: Acrididae) under fluctuating temperatures. In Proceedings of the 3rd Australasian Conference Grassland Invertebrate Ecology, Adelaide, Australia, 30 November–4 December 1982; pp. 117–125. [Google Scholar]
- Mo, H.-H.; Jang, K.B.; Park, J.-J.; Lee, S.-E.; Shin, K.-I.; Lee, J.-H.; Cho, K. Interactive effect of diet and temperature on instar numbers in Spodoptera litura, with reference to head capsule width and weight. J. Asia-Pac. Entomol. 2013, 16, 521–525. [Google Scholar] [CrossRef]
- Goh, H.G.; Lee, S.G.; Lee, B.P.; Choi, K.M.; Kim, J.H. Simple mass-rearing of beet armyworm, Spodoptera exigua (Hübner) (Lepidoptera: Noctuidae), on artificial diet. Korean J. Appl. Entomol. 1990, 29, 180–183. [Google Scholar]
- Lee, S.-D.; Ahn, S.-B.; Cho, W.-S.; Choi, K.-M. Effects of temperature on the development of Beet armyworm, Spodoptera exigua Hubner (Lepidoptera: Noctuidae). Res. Rep. 1991, 33, 58–62. [Google Scholar]
- Wang, S.Y.; Zhu, Q.Z.; Tan, Y.T.; Ma, Q.L.; Wang, R.F.; Zhang, M.F.; Xu, H.H.; Zhang, Z.X. Artificial diets and rearing technique of Spodoptera frugiperda (J. E. Smith) in laboratory. J. Environ. Entomol. 2019, 41, 742–747. [Google Scholar]
- Barghi, N.; Ramirez-Lanzas, C. A high throughput method for egg size measurement in Drosophila. Sci. Rep. 2023, 13, 3791. [Google Scholar] [CrossRef] [PubMed]
- Winston, P.W.; Bates, D.H. Saturated solutions for the control of humidity in biological research. Ecology 1960, 41, 232–237. [Google Scholar] [CrossRef]
- EPPO. Spodoptera littoralis, Spodoptera litura, Spodoptera frugiperda, Spodoptera eridania. EPPO Bull. 2015, 45, 410–444. [Google Scholar] [CrossRef]
- Kontodimas, D.C.; Eliopoulos, P.A.; Stathas, G.J.; Economou, L.P. Comparative temperature-dependent development of Nephus includens (Kirsch) and Nephus bisignatus (Boheman) (Coleoptera: Coccinellidae) preying on Planococcus citri (Risso) (Homoptera: Pseudococcidae): Evaluation of a linear and various nonlinear models using specific criteria. Environ. Entomol. 2004, 33, 1–11. [Google Scholar]
- Damos, P.; Savopoulou-Soultani, M. Temperature-driven models for insect development and vital thermal requirements. Psyche A J. Entomol. 2012, 123405. [Google Scholar] [CrossRef]
- Wagner, T.L.; Wu, H.I.; Sharpe, P.J.H.; Schoolfield, R.M.; Coulson, R.N. Modeling insect development rates: A literature review and application of a biophysical model. Ann. Entomol. Soc. Am. 1984, 77, 208–225. [Google Scholar] [CrossRef]
- Weibull, W. A statistical distribution functions with wide applicability. J. Appl. Mech. 1951, 18, 293–297. [Google Scholar] [CrossRef]
- Campbell, A.; Frazer, B.D.; Gilbert, N.; Gutierrez, A.P.; Mackauer, M. Temperature requirements of some aphids and their parasites. J. Appl. Entomol. 1974, 11, 431–438. [Google Scholar] [CrossRef]
- Roy, M.; Brodeur, J.; Cloutier, C. Relationship between temperature and developmental rate of Stethorus punctillum (Coleoptera: Coccinellidae) and its prey Tetranychus mcdanieli (Acarina: Tetranychidae). Environ. Entomol. 2002, 31, 177–187. [Google Scholar] [CrossRef]
- Shi, P.J.; Reddy, G.V.P.; Chen, L.; Ge, F. Comparison of thermal performance equations in describing temperature-dependent developmental rates of insects: (I) empirical models. Ann. Entomol. Soc. Am. 2016, 109, 211–215. [Google Scholar] [CrossRef]
- Kim, D.S.; Ahn, J.J.; Lee, J.-H. A Review for non-linear models describing temperature-dependent development of insect populations: Characteristics and developmental process of models. Korean J. Appl. Entomol. 2017, 56, 1–18. [Google Scholar] [CrossRef]
- Mirhosseini, M.A.; Fathipour, Y.; Reddy, G.V.P. Arthropod development’s response to temperature: A review and new software for modeling. Ann. Entomol. Soc. Am. 2017, 110, 507–520. [Google Scholar] [CrossRef]
- Ratkowsky, D.A.; Reddy, G.V.P. Empirical model with excellent statistical properties for describing temperature-dependent developmental rates of insects and mites. Ann. Entomol. Soc. Am. 2017, 110, 302–309. [Google Scholar] [CrossRef]
- Sharpe, P.J.H.; DeMichele, D.W. Reaction kinetics of poikilotherm development. J. Theor. Biol. 1977, 64, 649–670. [Google Scholar] [CrossRef]
- Schoolfield, R.M.; Sharpe, P.J.H.; Magnuson, C.E. Non-linear regression of biological temperature-dependent rate models based on absolute reaction-rate theory. J. Theor. Biol. 1981, 88, 719–731. [Google Scholar] [CrossRef]
- Ikemoto, T. Intrinsic optimum temperature for development of insects and mites. Environ. Entomol. 2005, 34, 1377–1387. [Google Scholar] [CrossRef]
- Shi, P.J.; Reddy, G.V.P.; Chen, L.; Ge, F. Comparison of thermal performance equations in describing temperature-dependent developmental rates of insects: (II) two thermodynamic models. Ann. Entomol. Soc. Am. 2017, 110, 113–120. [Google Scholar] [CrossRef]
- Han, W.Y.; Park, K.Y.; Choung, M.G.; Kim, H.T.; Ko, J.M.; Baek, I.Y.; Lee, C.Y. Growth characteristics and qualities of Korean soybean landraces. Korean J. Crop Sci. 2008, 53, 89–95. [Google Scholar]
- Kim, D.K.; Choi, J.G.; Kim, S.G.; Lee, K.D.; Seo, M.J.; Kang, B.K.; Ha, T.J. A description of plant and seed morphology of the cowpea cultivar ‘Seonhyeon’. Korean J. Breed. Sci. 2019, 51, 209–213. [Google Scholar] [CrossRef]
- Jandel Scientific. TableCurve User’s Manual; Jandel Scientific: San Rafael, CA, USA, 1994. [Google Scholar]
- SAS, Institute Inc. SAS Use’s Guide. In Statistics; SAS, Institute Inc.: Cary, NC, USA, 2002. [Google Scholar]
- Bale, J.; Masters, G.J.; Hodkins, I.D.; Awmack, C.; Bezemer, T.M.; Brown, V.K.; Butterfield, J.; Buse, A.; Coulson, J.C.; Farrar, J.; et al. Herbivory in global climate change research: Direct effects of rising temperature on insect herbivores. Glob. Chang. Biol. 2002, 8, 1–16. [Google Scholar] [CrossRef]
- Penuelas, J.; Filella, I. Phenology, responses to a warming world. Science 2001, 294, 793–795. [Google Scholar] [CrossRef]
- Walther, G.R.; Post, E.; Convey, P.; Menzel, A.; Parmesan, C.; Beebee, T.J.C.; Fromentin, J.M.; Hoegh-Guldberg, O.; Bairlein, F. Ecological responses to recent climate change. Nature 2002, 416, 389–395. [Google Scholar] [CrossRef] [PubMed]
- Root, T.L.; Price, J.T.; Hall, K.R.; Schneider, S.H.; Rosenzweig, C.; Pounds, J.A. Fingerprints of global warming on wild animals and plants. Nature 2003, 421, 57–60. [Google Scholar] [CrossRef]
- Ranjbar-Aghdam, H.; Fathipour, Y.; Kontodimas, D.; Radjabi, G.; Rezapanah, M. Age-specific life table parameters and survivorship of an Iranian population of codling moth (Lep.: Tortricidae) at different constant temperatures. Ann. Entomol. Soc. Am. 2009, 102, 233–240. [Google Scholar] [CrossRef]
- Gillooly, J.F.; Brown, J.H.; West, G.B.; Savage, V.M.; Charnov, E.L. Effects of size and temperature on metabolic rate. Science 2001, 293, 2248–2251. [Google Scholar] [CrossRef]
- Brown, J.H.; Gillooly, J.F.; Allen, A.P.; Savage, V.M.; West, G.B. Toward a metabolic theory of ecology. Ecology 2004, 85, 1771–1789. [Google Scholar] [CrossRef]
- Shi, S.S.; Cui, J.; Zang, L.S. Development, survival, and reproduction of megacopta cribraria (Heteroptera: Plataspidae) at different constant temperatures. J. Econ. Entomol. 2014, 107, 2061–2066. [Google Scholar] [CrossRef] [PubMed]
- Kobori, Y.; Hanboosong, Y. Effect of temperature on the development and reproduction of the sugarcane white leaf insect vector, Matsumuratettix hiroglyphicus (Matsumura) (Hemiptera: Cicadellidae). J. Asia-Pac. Entomol. 2017, 20, 281–284. [Google Scholar] [CrossRef]
- Danks, H.V. The elements of seasonal adaptations in insects. Can. Entomol. 2007, 139, 1–44. [Google Scholar] [CrossRef]
- Hullé, M.; Coeur d’Acier, A.; Bankhead-Dronnet, S.; Harrington, R. Aphids in the face of global changes. Comptes Rendus Biol. 2010, 333, 497–503. [Google Scholar] [CrossRef]
- Rao, G.V.R.; Wightman, J.A.; Rao, D.V.R. Threshold temperatures and thermal requirements for the development of Spodoptera litura (Lepidoptera: Noctuidae). Environ. Entomol. 1989, 18, 548–551. [Google Scholar] [CrossRef]
- Rao, M.S.; Prasad, T.V. Temperature based phenology model for predicting establishment and survival of Spodoptera litura (Fab.) on groundnut during climate change scenario in India. J. Agrometerorol. 2020, 22, 24–32. [Google Scholar]
- Zhu, J.H.; Zhang, F.P.; Ren, H.G. Development and nutrition of Prodenia litura on four food plants. Chin. Bull. Entomol. 2005, 42, 643–646. [Google Scholar]
- Sun, J.; Tan, X.; Li, Q.; Francis, F.; Chen, J. Effects of different temperatures on the development and reproduction of Sitobion miscanthi from six different regions in China. Front. Ecol. Evol. 2022, 10, 794495. [Google Scholar] [CrossRef]
- Ali, A.; Luttrell, R.G.; Schneider, J.C. Effects of temperature and larval diet on development of the fall armyworm (Lepidoptera: Noctuidae). Ann. Entomol. Soc. Am. 1990, 83, 725–733. [Google Scholar] [CrossRef]
- Yin, R.G.; Ouyang, B.Y.; Liu, Y.Y. Studies on the biological characteristic of Spodoptera exigua. Entomol. Knowl. 1994, 31, 7–10. [Google Scholar]
- Dai, H.Q.; Zhang, G.L.; Zhang, W.J. Temperature dependent development parameters and population life table of beet armyworm, Spodoptera exigua (Hübner) (Lepidoptera: Noctuidae). Arthropods 2017, 6, 117–125. [Google Scholar]
- Neven, L.G. Physiological responses of insects to heat. Postharvest Biol. Technol. 2000, 21, 103–111. [Google Scholar] [CrossRef]
- Van der Have, T.M. A proximate model for thermal tolerance in ectotherms. Oikos 2002, 98, 141–155. [Google Scholar] [CrossRef]
- Kültz, D. DNA damage signals facilitate osmotic stress adaptation. Am. J. Physiol. Ren. Physiol. 2005, 289, F504–F505. [Google Scholar] [CrossRef]
- Potter, K.; Davidowitz, G.; Woods, H.A. Insect eggs protected from high temperatures by limited homeothermy of plant leaves. J. Exp. Biol. 2009, 212, 3448–3454. [Google Scholar] [CrossRef]
- Bernays, E.A.; Chapman, R.F. Host-Plant Selection by Phytophagous Insects; Chapman and Hall: New York, NY, USA, 1994; p. 312. [Google Scholar]
- Gripenberg, S.; Mayhew, P.J.; Parnell, M.; Roslin, T. A meta-analysis of preference-performance relationships in phytophagous insects. Ecol. Lett. 2010, 13, 383–393. [Google Scholar] [CrossRef]
- Landolt, P.J.; Phillips, T.W. Host plant influences on sex pheromone behavior of phytophagous insects. Annu. Rev. Entomol. 1997, 42, 371–391. [Google Scholar] [CrossRef]
- Shekhawat, S.S.; Ansari, M.S.; Basri, R. Effect of host plants on life table parameters of Spodoptera litura. Int. J. Pure App. Biosci. 2018, 6, 324–332. [Google Scholar]
- Liu, Z.D.; Li, D.M.; Gong, P.Y.; Wu, K.J. Life table studies of the cotton Bollworm, Helicoverpa armigera (Hübner) (Lepidoptera: Noctuidae), on different host plants. Environ. Entomol. 2004, 33, 1570–1576. [Google Scholar] [CrossRef]
- Atrchian, H.; Mahdian, K.; Shahidi, S. Effect of different natural and factitious diets on development and life history parameters of Chilocorus bipustulatus. Biocontrol 2016, 61, 703–715. [Google Scholar] [CrossRef]
- Tuan, S.-J.; Lin, Y.-H.; Yang, C.-M.; Atlihan, R.; Saska, P.; Chi, H. Survival and reproductive strategies in two-spotted spider mites: Demographic analysis of arrhenotokous parthenogenesis of Tetranychus urticae (Acari: Tetranychidae). J. Econ. Entomol. 2016, 109, 502–509. [Google Scholar] [CrossRef] [PubMed]
- Hong, F.; Han, H.L.; Pu, P.; Wei, D.; Wang, J.; Liu, Y.H. Effects of five host plant species on the life history and population growth parameters of Myzus persicae (Hemiptera: Aphididae). J. Insect Sci. 2019, 19, 15. [Google Scholar] [CrossRef] [PubMed]
- Guo, J.F.; Zhang, M.D.; Gao, Z.P.; Wang, D.J.; He, K.L.; Wang, Z.Y. Comparison of larval performance and oviposition preference of Spodoptera frugiperda among three host plants: Potential risks to potato and tobacco crops. Insect Sci. 2020, 28, 602–610. [Google Scholar] [CrossRef] [PubMed]
- Ahmad, M.; Abdul Ghaffar, A.; Rafiq, M. Host plants of leaf worm, Spodoptera litura (Fabricius) (Lepidoptera: Noctuidae) in Pakistan. Asian J. Agric. Biol. 2013, 1, 23–28. [Google Scholar]
- Narvekar, P.F.; Mehendale, S.K.; Golvankar, G.M.; Karmarkar, M.S.; Desai, S.D. Comparative biology of Spodoptera litura (Fab.) on different host plants under laboratory Condition. Int. J. Chem. Stud. 2018, 6, 65–69. [Google Scholar]
- Esperk, T.; Tammaru, T.; Nylin, S. Intraspecific variability in number of larval instars in insects. J. Econ. Entomol. 2007, 100, 627–645. [Google Scholar] [CrossRef]
- Farahani, S.; Naseri, B.; Talebi, A.A. Comparative life table parameters of the beet armyworm, Spodoptera exigua (Hübner) (Lep.: Noctuidae) on five host plants. J. Entomol. Res. Soc. 2011, 13, 91–101. [Google Scholar]
- Panizzi, A.R.; Silva, F.A.C. Insetos Sugadores de Sementes (Heteroptera). In Bioecologia e Nutrição de Insetos: Bases Para o Manejo Integrado de Pragas; Panizzi, A.R., Parra, J.R.P., Eds.; EMBRAPA (Empressa Brasileira de Pesquisa Agropecuária) Informação Tecnológica: Brasília, Brazil, 2009; pp. 465–522. [Google Scholar]
- Hemati, S.A.; Naseri, B.; Nouri-Ghanbalani, G.; Rafiee-Dastjerdi, H.; Golizadeh, A. Effect of different host plants on nutritional indices of the pod borer, Helicoverpa armigera. J. Insect Sci. 2012, 12, 15. [Google Scholar] [CrossRef]
- Silva, I.F.D.; Baldin, E.L.L.; Specht, A.; Roque-Specht, V.F.; Morando, R.; Malaquias, J.V.; Paula-Moraes, S.V. Role of nutritional composition in the development and survival of Helicoverpa armigera (Hübner) (Lepidoptera: Noctuidae) on artificial diet and natural hosts. Bull. Entomol. Res. 2021, 111, 257–269. [Google Scholar] [CrossRef]
- Sentinella, A.T.; Crean, A.J.; Bonduriansky, R. Dietary protein mediates a trade-off between larval survival and the development of male secondary sexual traits. Funct. Ecol. 2013, 27, 1134–1144. [Google Scholar] [CrossRef]
- Khanamani, M.; Fathipour, Y.; Talebi, A.A.; Mehrabadi, M. Linking pollen quality and performance of Neoseiulus californicus (Acari: Phytoseiidae) in two-spotted spider mite management programmes. Pest. Manag. Sci. 2017, 73, 452–461. [Google Scholar] [CrossRef] [PubMed]
- Kursar, T.A.; Wolfe, B.T.; Epps, M.J.; Coley, P.D. Food quality, competition, and parasitism influence feeding preference in a Neotropical Lepidopteran. Ecology 2006, 87, 3058–3069. [Google Scholar] [CrossRef] [PubMed]
- Hanley, M.E.; Lamont, B.B.; Fairbanks, M.M.; Rafferty, C.M. Plant structural traits and their role in anti-herbivore defense. Perspect. Plant Ecol. Evol. Syst. 2007, 8, 157–178. [Google Scholar] [CrossRef]
- War, A.R.; Paulraj, M.G.; War, M.Y.; Ignacimuthu, S. Herbivore and elicitor induced resistance in ground nut to Asian armyworm, Spodoptera litura (Fab.) (Lepidoptera: Noctuidae). Plant Signal Behav. 2011, 6, 1769–1777. [Google Scholar] [CrossRef] [PubMed]
- Loof, A.D. Longevity and aging in insects: Is reproduction costly; cheap; beneficial or irrelevant? A critical evaluation of the “trade-off” concept. J. Insect Physiol. 2011, 57, 1–11. [Google Scholar] [CrossRef]
- Cao, Y.; Li, C.; Yang, W.J.; Meng, Y.L.; Wang, L.J.; Shang, B.Z.; Gao, Y.L. Effects of temperature on the development and reproduction of Thrips hawaiiensis (Thysanoptera: Thripidae). J. Econ. Entomol. 2018, 111, 755–760. [Google Scholar] [CrossRef]
- Lee, K.P.; Roh, C. Temperature-by-nutrient interactions affecting growth rate in an insect ectotherm. Entomol. Exp. Appl. 2010, 136, 151–163. [Google Scholar] [CrossRef]
- McCalla, K.A.; Keçeci, M.; Milosavljević, I.; Ratkowsky, D.A.; Hoddle, M.S. The influence of temperature variation on life history parameters and thermal performance curves of Tamarixia radiata (Hymenoptera: Eulophidae), a parasitoid of the Asian citrus psyllid (Hemiptera: Liviidae). J. Econ. Entomol. 2019, 112, 1560–1574. [Google Scholar] [CrossRef]
- Quinn, B.K. A critical review of the use and performance of different function types for modeling temperature-dependent development of arthropod larvae. J. Therm. Biol. 2017, 63, 65–77. [Google Scholar] [CrossRef]
- Dixon, A.F.G.; Honek, A.; Kell, P.; Kotela, M.A.A.; Šizling, A.L.; Jarošik, V. Relationship between the minimum and maximum temperature thresholds for development in insects. Funct. Ecol. 2009, 23, 257–264. [Google Scholar] [CrossRef]
- Quinn, B.K. Performance of the SSI development function compared with 33 other functions applied to 79 arthropod species’ datasets. J. Therm. Biol. 2021, 102, 103–112. [Google Scholar] [CrossRef] [PubMed]
- Shi, P.J.; Li, B.L.; Ge, F. Intrinsic optimum temperature of the diamondback moth and its ecological meaning. Environ. Entomol. 2012, 41, 714–722. [Google Scholar] [CrossRef] [PubMed]
- Padmavathi, C.; Katti, G.; Sailaja, V.; Padmakumari, A.P.; Jhansilakshmi, V.; Prabhakar, M.; Prasad, Y.G. Temperature thresholds and thermal requirements for the development of the rice leaf folder, Cnaphalocrocis medinalis. J. Insect Sci. 2013, 13, 96. [Google Scholar] [CrossRef]
- Sørensen, J.G.; Addison, M.F.; Terblanche, J.S. Mass-rearing of insects for pest management: Challenges, synergies and advances from evolutionary physiology. Crop Prot. 2012, 38, 87–94. [Google Scholar] [CrossRef]
- Kristensen, T.N.; Hoffmann, A.A.; Overgaard, J.; Sørensen, J.G.; Hallas, R.; Loeschcke, V. Costs and benefits of cold acclimation in field-released Drosophila. Proc. Natl. Acad. Sci. USA 2008, 105, 216–221. [Google Scholar] [CrossRef]
- Chidawanyika, F.; Terblanche, J.S. Costs and benefits of thermal acclimation for codling moth, Cydia pomonella (Lepidoptera: Tortricidae): Implications for pest control and the sterile insect release programme. Evol. Appl. 2011, 4, 534–544. [Google Scholar] [CrossRef]
- Honek, A. Constraints on thermal requirements for insect development. Entomol. Sci. 1999, 2, 615–621. [Google Scholar]
- Gilbert, N.; Gutierrez, P.A.; Frazer, D.B.; Jones, R.E. Ecological Relationships; W.H. Freeman and Co.: Reading, UK, 1976; p. 157. [Google Scholar]
- Jervis, M.A.; Copland, M.J.W. The Life Cycle. In Insect Natural Enemies, Practical Approaches to Their Study and Evaluation; Jervis, M., Kidd, N., Eds.; Chapman & Hall: London, UK, 1996; pp. 63–161. [Google Scholar]
- Haghani, M.; Fathipour, Y.; Talebi, A.A.; Baniameri, V. Thermal requirement and development of Liriomyza sativae (Diptera: Agromyzidae) on cucumber. J. Econ. Entomol. 2007, 100, 350–356. [Google Scholar] [CrossRef]
- Young, L.J.; Young, J.J. Statistical Ecology; Kluwer Academic Publishers: Boston, MA, USA, 1998; p. 565. [Google Scholar]
- Jianhua, M.; Stevens, M.M. A degree-day model for predicting adult emergence of the citrus gall wasp, Bruchophagus fellis (Hymenoptera: Eurytomidae), in southern Australia. Crop Prot. 2021, 143, 105553. [Google Scholar]
- Worner, S.P. Performance of phonological models under variable temperature regimes: Consequence of the Kaufman or rate summation effect. Environ. Entomol. 1992, 21, 689–699. [Google Scholar] [CrossRef]
- Cox, D.L.; Remick, M.D.; Lasota, J.A.; Dybas, R.A. Toxicity of avermectins to Liriomyza trifolii (Diptera: Agromyzidae) larvae and adults. J. Econ. Entomol. 1995, 88, 1415–1419. [Google Scholar] [CrossRef]
- Wang, K.; Tsai, J.H.; Harrison, N.A. Influence of temperature on development, survivorship, and reproduction of buckthorn aphid (Homoptera: Aphididae). Ann. Entomol. Soc. Am. 1997, 90, 62–68. [Google Scholar] [CrossRef]
- Omar, A.M.; Johnson, M.W.; Tabashnik, B.E. Demography of the leafminer parasitoid Ganaspidium unilis Beardsley (Hymenoptera: Eucolidae) at different temperatures. Biol. Control 1996, 6, 29–34. [Google Scholar] [CrossRef]
- Maharjan, R.; Jung, C. Rearing methods of potato tuber moth, Phthorimaea operculella (Zeller) (Lepidoptera: Gelechiidae). Korean J. Soil Zool. 2011, 15, 53–57. [Google Scholar]
- Kiritani, K. Different effects of climate change on the population dynamics of insects. Appl. Entomol. Zool. 2013, 48, 97–104. [Google Scholar] [CrossRef]
- Hong, S.Y.; Yi, H.J.; Yoon, Y.N.; Jang, Y.W.; Park, K.D.; Maharjan, R. Evaluation of commercial pheromones on the population dynamics of Spodoptera frugiperda (J.E. Smith) and Mythimna loreyi (Duponchel) (Lepidoptera: Noctuidae). Korean J. Crop Sci. 2022, 67, 285–295. [Google Scholar]
- Maharjan, R.; Yoon, Y.; Jang, Y.; Kim, J.; Nam, H.Y.; Jeong, M.; Park, K.; Yi, H. Species composition, abundance, and seasonal dynamics of perilla seed bugs (Heteroptera: Lygaeidae) in weeds and perilla fields in Korea. Environ. Entomol. 2021, 51, 263–277. [Google Scholar] [CrossRef]
Disclaimer/Publisher’s Note: The statements, opinions and data contained in all publications are solely those of the individual author(s) and contributor(s) and not of MDPI and/or the editor(s). MDPI and/or the editor(s) disclaim responsibility for any injury to people or property resulting from any ideas, methods, instructions or products referred to in the content. |
© 2023 by the authors. Licensee MDPI, Basel, Switzerland. This article is an open access article distributed under the terms and conditions of the Creative Commons Attribution (CC BY) license (https://creativecommons.org/licenses/by/4.0/).




