Effects of Methyl Jasmonate Fumigation on the Growth and Detoxification Ability of Spodoptera litura to Xanthotoxin
Abstract
Simple Summary
Abstract
1. Introduction
2. Materials and Methods
2.1. Insect Rearing
2.2. Methyl Jasmonate Fumigation Treatment
2.3. Xanthotoxin Treatment
2.4. Determination of CarE, GSTs Activity and P450s Contents
2.5. Developmental Parameters
2.6. Statistics and Analysis
3. Results
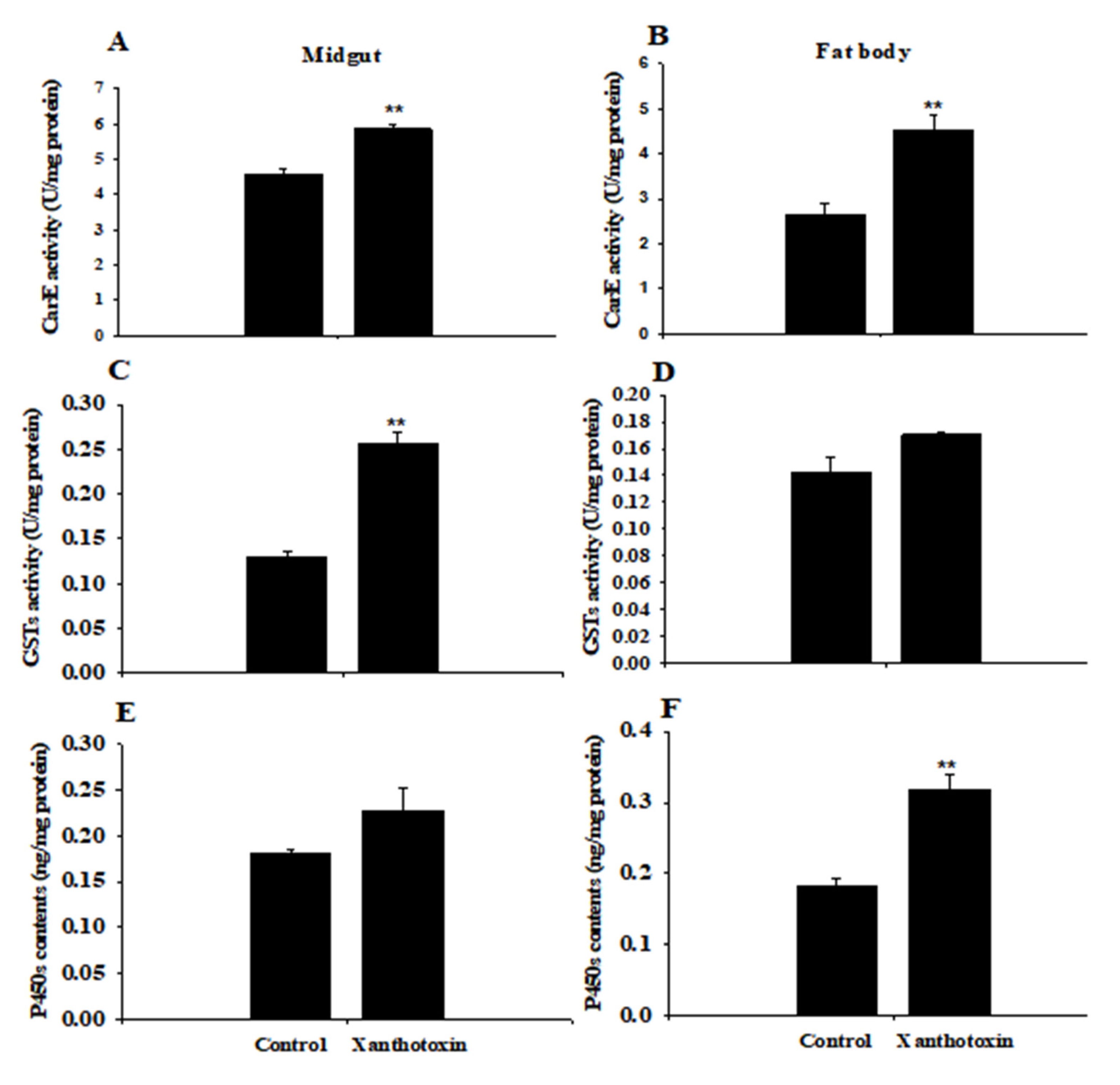
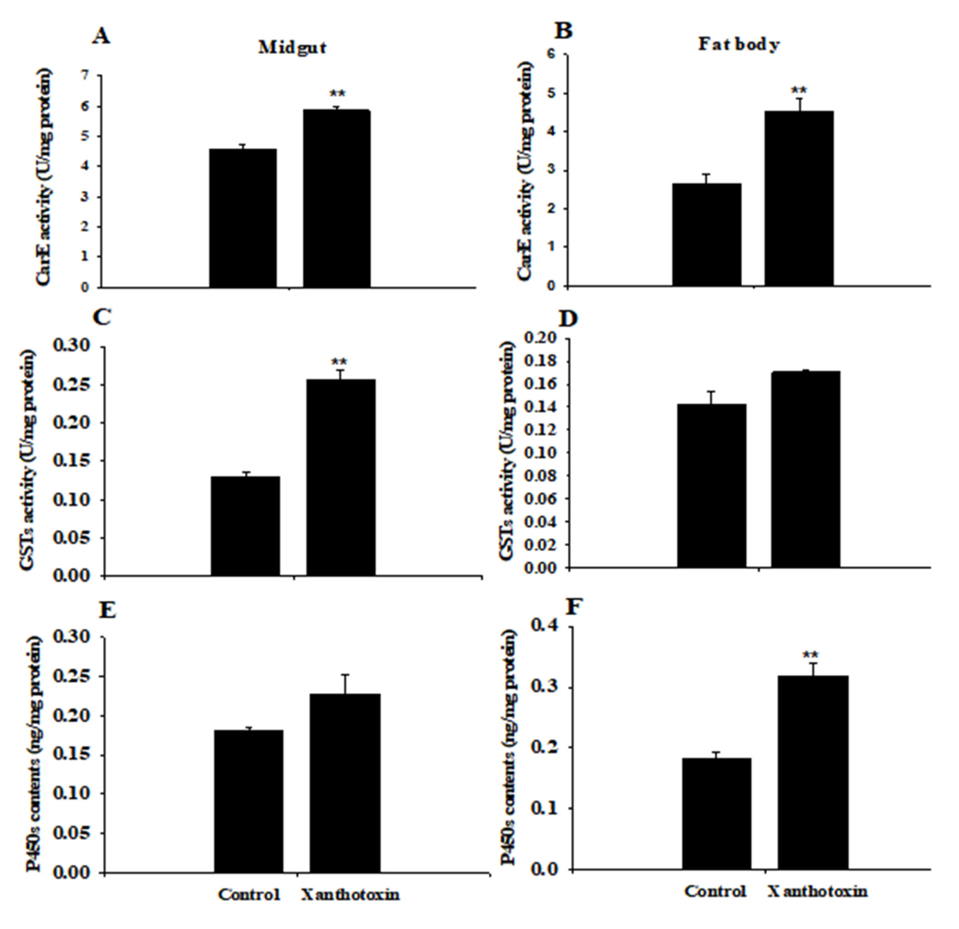
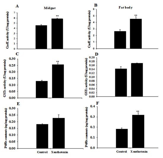
3.1. Increased Activities of Detoxifying Enzymes and P450 Contents in S. litura Larvae after Feeding on Xanthotoxin Diet
3.2. S. litura Larvae Exposed to MeJA Showed Higher Detoxifying Enzyme Activities
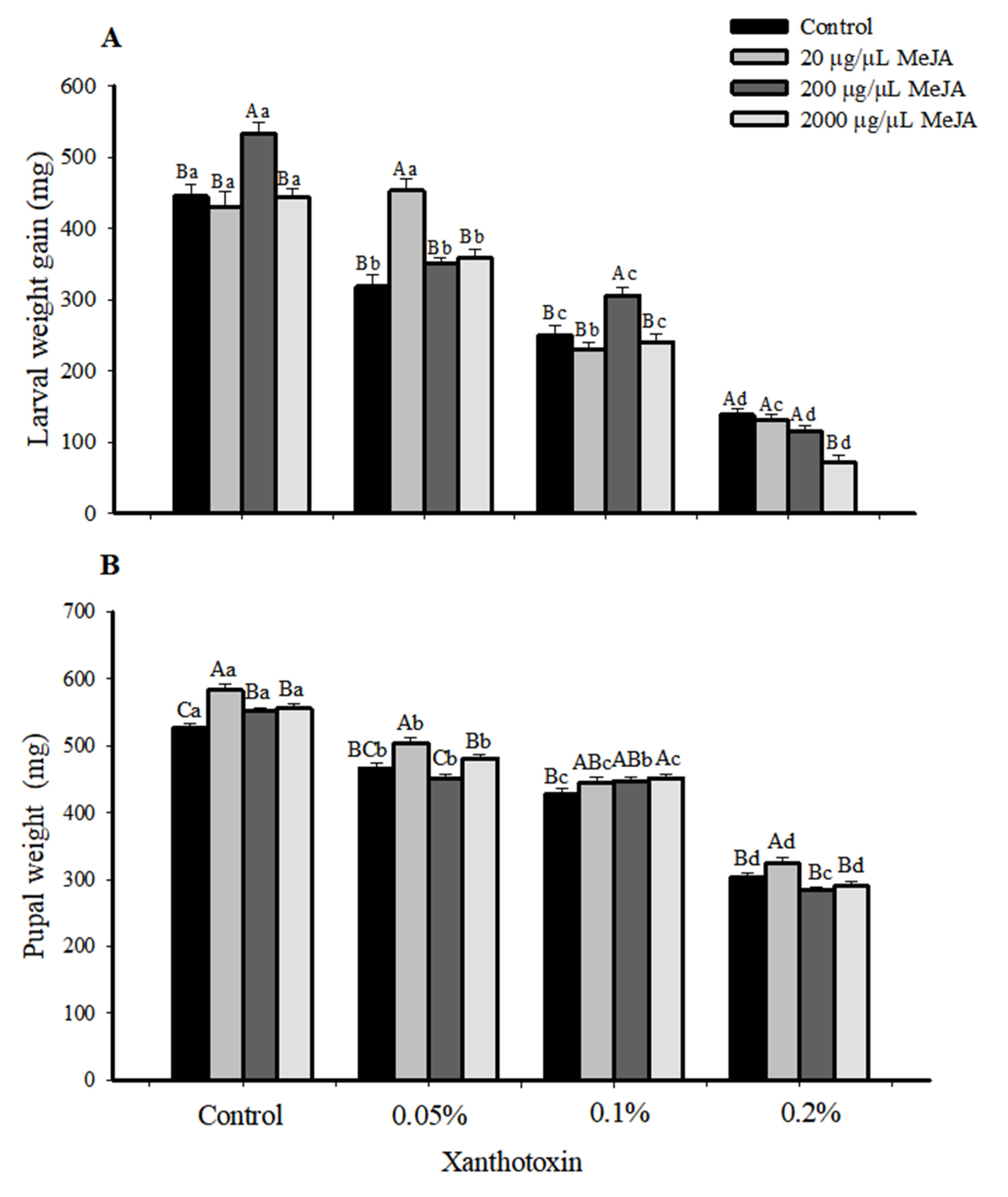
3.3. Enhanced Detoxification Ability of S. litura after Exposure to Different Concentrations of MeJA
4. Discussion
Author Contributions
Funding
Data Availability Statement
Acknowledgments
Conflicts of Interest
Appendix A
| MeJA (P) | Xanthotoxin (P) | MeJA × Xanthotoxin (P) | |
|---|---|---|---|
| Weight gain | <0.0001 *** | <0.0001 *** | <0.0001 *** |
| Pupal weight | <0.0001 *** | <0.0001 *** | <0.0001 *** |
| Duration of fourth instar | <0.0001 *** | <0.0001 *** | <0.0001 *** |
| Duration of fifth instar | <0.0001 *** | <0.0001 *** | <0.0001 *** |
| Duration of sixth instar | <0.0001 *** | <0.0001 *** | <0.0001 *** |
| Duration of prepupal instar | <0.0001 *** | <0.0001 *** | <0.0001 *** |
| Duration of pupal instar (d) | <0.0001 *** | <0.0001 *** | <0.0001 *** |
References
- Sharma, G.; Malthankar, P.A.; Mathur, V. Insect–plant interactions: A multilayered relationship. Ann. Entomol. Soc. Am. 2021, 114, 1–16. [Google Scholar] [CrossRef]
- Howe, G.A.; Jander, G. Plant immunity to insect herbivores. Annu. Rev. Plant Biol. 2008, 59, 41–66. [Google Scholar] [CrossRef]
- Afroz, M.; Rahman, M.; Amin, R. Insect Plant Interaction with Reference to Secondary Metabolites: A Review. Agric. Rev. 2021, 42, 427–433. [Google Scholar] [CrossRef]
- Zhang, W.H.; Liu, G.J. A review on plant secondary substances in plant resistance to insect pests. Chin. J. Bot. 2003, 20, 522. [Google Scholar]
- Divekar, P.A.; Narayana, S.; Divekar, B.A.; Divekar, A.B.; Kumar, R.; Gadratagi, B.G.; Ray, A.; Singh, A.K.; Rani, V.; Singh, V.; et al. Plant secondary metabolites as defense tools against herbivores for sustainable crop protection. Int. J. Mol. Sci. 2022, 23, 2690. [Google Scholar] [CrossRef]
- Ling, S.; Rizvi, S.A.H.; Xiong, T.; Liu, J.; Gu, Y.; Wang, S.; Zeng, X. Volatile signals from guava plants prime defense signaling and increase jasmonate-dependent herbivore resistance in neighboring citrus plants. Front. Plant. Sci. 2022, 13, 833562. [Google Scholar] [CrossRef]
- Tlak Gajger, I.; Dar, S.A. Plant allelochemicals as sources of insecticides. Insects 2021, 12, 189. [Google Scholar] [CrossRef]
- Kaur, M.; Saraf, I.; Kumar, R.; Singh, I.P.; Kaur, S. Biological effects of secondary metabolites of Inula racemosa on the parasitoid. Bracon hebetor. Èntomol. Exp. Appl. 2021, 169, 743–749. [Google Scholar] [CrossRef]
- Harvey, J.A.; Van Nouhuys, S.; Biere, A. Effects of quantitative variation in allelochemicals in Plantago lanceolata on development of a generalist and a specialist herbivore and their endoparasitoids. J. Chem. Ecol. 2005, 31, 287–302. [Google Scholar] [CrossRef]
- War, A.R.; Paulraj, M.G.; Ignacimuthu, S.; Sharma, H.C. Induced resistance to Helicoverpa armigera through exogenous application of jasmonic acid and salicylic acid in groundnut. Arachis hypogaea. Pest. Manag. Sci. 2015, 71, 72–82. [Google Scholar] [CrossRef]
- Heidel-Fischer, H.M.; Vogel, H. Molecular mechanisms of insect adaptation to plant secondary compounds. Curr. Opin. Insect Sci. 2015, 8, 8–14. [Google Scholar] [CrossRef]
- Wang, Z.; Nur, F.A.; Ma, J.Y.; Wang, J.G.; Cao, C.W. Effects of poplar secondary metabolites on performance and detoxification enzyme activity of Lymantria dispar. Comp. Biochem. Phys. C. 2019, 225, 108587. [Google Scholar] [CrossRef]
- Jiang, D.; Wu, S.; Tan, M.T.; Wang, Q.; Zheng, L.; Yan, S.C. The high adaptability of Hyphantria cunea larvae to cinnamic acid involves in detoxification, antioxidation and gut microbiota response. Pestic. Biochem. Physiol. 2021, 174, 104805. [Google Scholar] [CrossRef]
- Li, X.C.; Schuler, M.A.; Berenbaum, M.R. Jasmonate and salicylate induce expression of herbivore cytochrome P450 genes. Nature 2002, 419, 712–715. [Google Scholar] [CrossRef]
- Zhang, Y.; Fan, J.; Zhao, X.Y.; Liu, Y.; Sun, J.R.; Frederic, F.; Chen, J.L. The plant defense signal substance JA/SA induces the expression of the detoxification enzyme glutathione-S-transferase and salivary gland gene C002 in Myzus persicae. Sci. China Llfe Sci. 2016, 46, 665–672. [Google Scholar]
- Malka, O.; Easson, M.L.A.E.; Paetz, C.; Götz, M.; Reichelt, M.; Stein, B.; Luck, K.; Stanišić, A.; Juravel, K.; Santos-Garcia, G.; et al. Glucosylation prevents plant defense activation in phloem-feeding insects. Nat. Chem. Biol. 2020, 16, 1420–1426. [Google Scholar] [CrossRef]
- Xia, J.X.; Guo, Z.J.; Yang, Z.Z.; Han, H.L.; Wang, S.L.; Xu, H.F.; Yang, X.; Yang, F.S.; Wu, Q.J.; Wu, Q.J.; et al. Whitefly hijacks a plant detoxification gene that neutralizes plant toxins. Cell 2021, 184, 1693–1705. [Google Scholar] [CrossRef]
- Rane, R.V.; Ghodke, A.B.; Hoffmann, A.A.; Edwards, O.R.; Walsh, T.K.; Oakeshott, J.G. Detoxifying enzyme complements and host use phenotypes in 160 insect species. Curr. Opin. Insect Sci. 2018, 31, 131–138. [Google Scholar] [CrossRef]
- Fan, Y.J.; Kang, Z.J.; Wang, Z.C.; Shi, X.Y.; Gao, X.W. Effects of methyl jasmonate treatment on growth and detoxification of cotton bollworm. Entomol. Res. 2014, 57, 315–322. [Google Scholar]
- Bansal, R.; Michel, A. Expansion of cytochrome P450 and cathepsin genes in the generalist herbivore brown marmorated stink bug. BMC Genom. 2018, 19, 1–14. [Google Scholar] [CrossRef]
- Gu, T.Z.; Zhang, C.C.; Chen, C.Y.; Li, H.; Huang, K.R.; Tian, S.; Zhao, X.D.; Hao, D.J. Effects of exogenous methyl jasmonate-induced resistance in Populus× euramericana ‘Nanlin895′on the performance and metabolic enzyme activities of Clostera anachoreta. Arthropod-plant Interact. 2018, 12, 247–255. [Google Scholar]
- Jin, M.; Liao, C.; Fu, X.; Holdbrook, R.; Wu, K.; Xiao, Y. Adaptive regulation of detoxification enzymes in Helicoverpa armigera to different host plants. Insect Mol. Biol. 2019, 28, 628–636. [Google Scholar] [CrossRef]
- Li, L.S.; Yuan, Y.F.; Wu, L.; Chen, M. Effects of different host plants on feeding behavior and detoxification enzyme activities of white moth larvae. J. Entomol. 2018, 61, 232–239. [Google Scholar]
- Wang, Y.J.; Qiu, L.; Ranson, H.; Lumjuan, N.; Hemingway, J.; Setzer, W.N.; Meehan, E.J.; Chen, L. Structure of an insect epsilon class glutathione S-transferase from the malaria vector Anopheles gambiae provides an explanation for the high DDT detoxifying activity. J. Struct. Biol. 2008, 164, 228–235. [Google Scholar] [CrossRef]
- Zhou, W.W.; Liang, Q.M.; Xu, Y.; Gurr, G.M.; Bao, Y.Y.; Zhou, X.P.; Zhang, C.X.; Cheng, J.A.; Zhu, Z.R. Genomic insights into the glutathione S-transferase gene family of two rice planthoppers, Nilaparvata lugens (Stål) and Sogatella furcifera (Horváth)(Hemiptera: Delphacidae). PLoS ONE 2013, 8, e56604. [Google Scholar] [CrossRef]
- Lu, K.; Cheng, Y.; Li, W.R.; Ni, H.F.; Chen, X.; Li, Y.; Tang, B.J.; Li, Y.M.; Chen, D.M.; Zeng, R.S.; et al. Copper-induced H2O2 accumulation confers larval tolerance to xanthotoxin by modulating CYP6B50 expression in Spodoptera litura. Pestic. Biochem. Physiol. 2019, 159, 118–126. [Google Scholar] [CrossRef]
- Zhang, C.; Wong, A.; Zhang, Y.L.; Ni, X.Z.; Li, X.C. Common and unique cis-acting elements mediate xanthotoxin and flavone induction of the generalist P450 CYP321A1. Sci. Rep. 2014, 4, 1–8. [Google Scholar] [CrossRef]
- Harrison, T.L.; Zangerl, A.R.; Schuler, M.A.; Berenbaumet, M.R. Developmental variation in cytochrome P450 expression in Papilio polyxenes in response to xanthotoxin, a hostplant allelochemical. Arch. Insect Biochem. Physiol. 2001, 48, 179–189. [Google Scholar] [CrossRef]
- Lu, K.; Li, Y.; Cheng, Y.; Li, W.; Zeng, B.; Gu, C.; Zeng, R.S.; Song, Y.Y. Activation of the ROS/CncC and 20-Hydroxyecdysone Signaling Pathways Is Associated with Xanthotoxin-Induced Tolerance to λ-Cyhalothrin in Spodoptera litura. J. Agric. Food Chem. 2021, 69, 13425–13435. [Google Scholar] [CrossRef]
- Kessler, A.; Baldwin, I.T. Defensive function of herbivore-induced plant volatile emissions in nature. Science 2001, 291, 2141–2144. [Google Scholar] [CrossRef]
- Baldwin, I.T.; Halitschke, R.; Paschold, A.; Von Dahl, C.C.; Preston, C.A. Volatile signaling in plant-plant interactions: “talking trees” in the genomics era. Science 2006, 311, 812–815. [Google Scholar] [CrossRef] [PubMed]
- Wang, Y.; Mostafa, S.; Zeng, W.; Jin, B. Function and mechanism of jasmonic acid in plant responses to abiotic and biotic stresses. Int. J. Mol. Sci. 2021, 22, 8568. [Google Scholar] [CrossRef] [PubMed]
- Chen, H.; Wilkerson, C.G.; Kuchar, J.A.; Phinney, B.S.; Howe, G.A. Jasmonate-inducible plant enzymes degrade essential amino acids in the herbivore midgut. Proc. Natl. Acad. Sci. USA 2005, 102, 19237–19242. [Google Scholar] [CrossRef] [PubMed]
- Chen, H.; Gonzales-Vigil, E.; Wilkerson, C.G.; Howe, G.A. Stability of plant defense proteins in the gut of insect herbivores. Plant. Physiol. 2007, 143, 1954–1967. [Google Scholar] [CrossRef]
- De Moraes, C.M.; Mescher, M.C.; Tumlinson, J.H. Caterpillar-induced nocturnal plant volatiles repel conspecific females. Nature 2001, 410, 577–580. [Google Scholar] [CrossRef]
- Turlings, T.C.; Tumlinson, J.H.; Lewis, W.J. Exploitation of herbivore-induced plant odors by host-seeking parasitic wasps. Science 1990, 250, 1251–1253. [Google Scholar] [CrossRef]
- Haegeman, A.; Mantelin, S.; Jones, J.T.; Gheysen, G. Functional roles of effectors of plant-parasitic nematodes. Gene 2012, 492, 19–31. [Google Scholar] [CrossRef]
- Zhang, P.J.; Xu, C.X.; Zhang, J.M.; Lu, Y.B.; Wei, J.N.; Liu, Y.Q.; Anja, D.; Wilhelm, B.; Turlings, T.C. Phloem-feeding whiteflies can fool their host plants, but not their parasitoids. Funct. Ecol. 2013, 27, 1304–1312. [Google Scholar] [CrossRef]
- Cao, H.H.; Wang, S.H.; Liu, T.X. Jasmonate-and salicylate-induced defenses in wheat affect host preference and probing behavior but not performance of the grain aphid, Sitobion avenae. Insect Sci. 2014, 21, 47–55. [Google Scholar] [CrossRef]
- Cheong, J.J.; Do Choi, Y. Methyl jasmonate as a vital substance in plants. Trends Genet. 2003, 19, 409–413. [Google Scholar] [CrossRef]
- Das, A.; Lee, S.H.; Hyun, T.K.; Kim, S.W.; Kim, J.Y. Plant volatiles as method of communication. Plant. Biotechnol. Rep. 2013, 7, 9–26. [Google Scholar] [CrossRef]
- Farmer, E.E.; Ryan, C.A. Interplant communication: Airborne methyl jasmonate induces synthesis of proteinase inhibitors in plant leaves. Proc. Natl. Acad. Sci. USA 1990, 87, 7713–7716. [Google Scholar] [CrossRef]
- Elzaki, M.E.A.; Xue, R.; Hu, L.; Wang, J.J.; Zeng, R.S.; Song, Y.Y. Bioactivation of aflatoxin B1 by a cytochrome P450, CYP6AE19 induced by plant signaling methyl jasmonate in Helicoverpa armigra (Hübner). Pestic. Biochem. Physiol. 2019, 157, 211–218. [Google Scholar] [CrossRef]
- Shi, Y.; Li, W.; Zhou, Y.; Liao, X.; Shi, L. Contribution of multiple overexpressed carboxylesterase genes to indoxacarb resistance in Spodoptera litura. Pest. Manag. Sci. 2022, 78, 1903–1914. [Google Scholar] [CrossRef]
- Chen, Q.J.; Li, G.H.; Pang, Y. A simple artificial diet for mass rearing of some noctuid species. Entomol. Knowl. 2000, 37, 325–327. [Google Scholar]
- Cohen, M.B.; Berenbaum, M.R.; Schuler, M.A. Induction of cytochrome P450-mediated detoxification of xanthotoxin in the black swallowtail. J. Chem. Ecol. 1989, 15, 2347–2355. [Google Scholar] [CrossRef]
- Timmermann, S.E.; Zangerl, A.R.; Berenbaum, M.R. Ascorbic and uric acid responses to xanthotoxin ingestion in a generalist and a specialist caterpillar. Arch. Insect Biochem. Physiol. 1999, 42, 26–36. [Google Scholar] [CrossRef]
- Ramawat, K.G.; Goyal, S. Co-evolution of secondary metabolites during biological competition for survival and advantage: An overview. In Co-Evolution of Secondary Metabolites; Springer: Cham, Switzerland, 2020; pp. 3–17. [Google Scholar]
- Zhang, M.X.; Fang, T.T.; Pu, G.L.; Sun, X.Q.; Zhou, X.G.; Cai, Q.N. Xenobiotic metabolism of plant secondary compounds in the English grain aphid, Sitobion avenae (F.)(Hemiptera: Aphididae). Pestic. Biochem. Physiol. 2013, 107, 44–49. [Google Scholar] [CrossRef]
- AlJabr, A.M.; Hussain, A.; Rizwan-ul-Haq, M.; Al-Ayedh, H. Toxicity of plant secondary metabolites modulating detoxification genes expression for natural red palm weevil pesticide development. Molecules 2017, 22, 169. [Google Scholar] [CrossRef]
- Jin, R.H.; Mao, K.K.; Liao, X.; Xu, P.F.; Li, Z.; Ali, E.; Wan, H.; Li, J.H. Overexpression of CYP6ER1 associated with clothianidin resistance in Nilaparvata lugens (Stål). Pestic. Biochem. Physiol. 2019, 154, 39–45. [Google Scholar] [CrossRef]
- Li, Y.Q.; Bai, L.S.; Zhao, C.X.; Xu, J.J.; Sun, Z.J.; Dong, Y.L.; Li, D.X.; Liu, X.L.; Ma, Z.Q. Functional characterization of two carboxylesterase genes involved in pyrethroid detoxification in Helicoverpa armigera. J. Agric. Food Chem. 2020, 68, 3390–3402. [Google Scholar] [CrossRef] [PubMed]
- Enayati, A.A.; Ranson, H.; Hemingway, J. Insect glutathione transferases and insecticide resistance. Insect Mol. Biol. 2005, 14, 3–8. [Google Scholar] [CrossRef] [PubMed]
- Yang, J.; Sun, X.Q.; Yan, S.Y.; Pan, W.J.; Zhang, M.X.; Cai, Q.N. Interaction of ferulic acid with glutathione S-transferase and carboxylesterase genes in the brown planthopper. Nilaparvata lugens. J. Chem. Ecol. 2017, 43, 693–702. [Google Scholar] [CrossRef] [PubMed]
- Wu, C.F.; Ding, C.H.; Chen, S.; Wu, X.Y.; Zhang, L.Q.; Song, Y.Y.; Li, M.; Zeng, R.S. Exposure of Helicoverpa armigera larvae to plant volatile organic compounds induces cytochrome P450 monooxygenases and enhances larval tolerance to the insecticide methomyl. Insects 2021, 12, 238. [Google Scholar] [CrossRef] [PubMed]
- Huang, X.B.; Wang, X.C.; Li, H. Effects of quercetin on the growth, development and detoxification enzyme activities of the short star locust. North. Agric. J. 2021, 49, 71–77. [Google Scholar]
- Rupasinghe, S.G.; Wen, Z.; Chiu, T.L.; Schuler, M.A. Helicoverpa zea CYP6B8 and CYP321A1: Different molecular solutions to the problem of metabolizing plant toxins and insecticides. Protein Eng. Des. Sel. 2007, 20, 615–624. [Google Scholar] [CrossRef]
- Danielson, P.B.; Macintyre, R.J.; Fogleman, J.C. Molecular cloning of a family of xenobiotic-inducible drosophilid cytochrome P450s: Evidence for involvement in host–plant allelochemical resistance. Proc. Natl. Acad. Sci. USA 1997, 94, 10797–10802. [Google Scholar] [CrossRef]
- Sun, Z.X.; Lin, Y.B.; Wang, R.M.; Li, Q.L.; Shi, Q.; Baerson, S.R.; Chen, L.; Zeng, R.S.; Song, Y.Y. Olfactory perception of herbivore-induced plant volatiles elicits counter-defences in larvae of the tobacco cutworm. Funct. Ecol. 2021, 35, 384–397. [Google Scholar] [CrossRef]
- Li, W.; Schuler, M.A.; Berenbaum, M.R. Diversification of furanocoumarin-metabolizing cytochrome P450 monooxygenases in two papilionids: Specificity and substrate encounter rate. Proc. Natl. Acad. Sci. USA 2003, 100, 14593–14598. [Google Scholar] [CrossRef]
- Li, X.C.; Baudry, J.; Berenbaum, M.R.; Berenbaum, M.R.; Schuler, M.A. Structural and functional divergence of insect CYP6B proteins: From specialist to generalist cytochrome P450. Proc. Natl. Acad. Sci. USA 2004, 101, 2939–2944. [Google Scholar] [CrossRef]
- Lu, K.; Song, Y.; Zeng, R. The role of cytochrome P450-mediated detoxification in insect adaptation to xenobiotics. Curr. Opin. Insect Sci. 2021, 43, 103–107. [Google Scholar] [CrossRef]
- Feyereisen, R. Insect CYP genes and P450 enzymes. In Insect Molecular Biology and Biochemistry; Academic Press: Cambridge, MA, USA, 2012; pp. 236–316. [Google Scholar]
- Smith, J.L.; De Moraes, C.M.; Mescher, M.C. Jasmonate-and salicylate-mediated plant defense responses to insect herbivores, pathogens and parasitic plants. Pest. Manag. Sci. 2009, 65, 497–503. [Google Scholar] [CrossRef]
- Luo, Y.S.; Abdellah, Y.A.Y.; Hafeez, M.; Yang, X.; Hou, W.T.; Kong, X.H.; Wang, R.L. Herbivore-induced tomato plant volatiles lead to the reduction of insecticides susceptibility in Spodoptera litura. Pestic. Biochem. Physiol. 2022, 187, 105215. [Google Scholar] [CrossRef]
- Hu, Z.H.; Shen, Y.B.; Shen, F.Y.; Luo, Y.Q.; Su, X.H. Evidence for the signaling role of methyl jasmonate, methyl salicylate and benzothiazole between poplar (Populus simonii × P. pyramidalis Finding and accepting host plants ‘Opera 8277′) cuttings. Trees 2009, 23, 1003–1011. [Google Scholar] [CrossRef]
- Heil, M.; Karban, R. Explaining evolution of plant communication by airborne signals. Trends Ecol. Evol. 2010, 25, 137–144. [Google Scholar] [CrossRef]
- Song, J.; Wang, J.; Ye, M. Concentration and distance effects of methyl jasmonate in the induction of resistance to Spodoptera litura in adjacent tomato plants. Chin. J. Ecol. 2020, 40, 5433–5440. [Google Scholar]
- Miller, J.R.; Strickler, K.L.X. Finding and accepting host plants. Chem. Ecol. Insects 1984, 127–157. [Google Scholar]
- Knolhoff, L.M.; Heckel, D.G. Behavioral assays for studies of host plant choice and adaptation in herbivorous insects. Annu. Rev. Entomol. 2014, 59, 263–278. [Google Scholar] [CrossRef]



| MeJA Concentration (μg/μL) | Xanthotoxin Concentration (%) | Duration of Fourth Instar (d) | Duration of Fifth Instar (d) | Duration of Sixth Instar (d) | Duration of Prepupal Instar (d) | Duration of Pupal Instar (d) |
|---|---|---|---|---|---|---|
| Control | 0 | 3.10 ± 0.05 Bb | 2.08 ± 0.10 Ca | 1.98 ± 0.10 Aa | 1.12 ± 0.04 Bc | 9.71 ± 0.08 Ba |
| 0.05 | 3.05 ± 0.04 Bb | 2.10 ± 0.11 Cb | 2.27 ± 0.13 Ab | 1.18 ± 0.06 Bb | 9.70 ± 0.08 Ba | |
| 0.1 | 3.12 ± 0.10 Bb | 2.37 ± 0.10 Ba | 1.49 ± 0.07 Bc | 1.28 ± 0.06 Bb | 10.00 ± 0.08 Aa | |
| 0.2 | 3.37 ± 0.06 Ab | 2.83 ± 0.05 Aa | 2.25 ± 0.10 Ab | 1.58 ± 0.08 Aa | 10.13 ± 0.06 Ab | |
| 20 | 0 | 3.73 ± 0.06 Aa | 1.67 ± 0.08 Bc | 1.86 ± 0.07 Ca | 1.97 ± 0.07 Aa | 9.25 ± 0.06 Cc |
| 0.05 | 3.23 ± 0.07 Ba | 1.60 ± 0.09 Bc | 1.87 ± 0.07 Cc | 1.77 ± 0.06 Ba | 9.69 ± 0.08 Ba | |
| 0.1 | 3.77 ± 0.05 Aa | 2.00 ± 0.10 Ab | 2.39 ± 0.09 Ba | 1.27 ± 0.06 Db | 10.08 ± 0.08 Aa | |
| 0.2 | 3.75 ± 0.10 Aa | 2.13 ± 0.08 Ac | 2.87 ± 0.09 Aa | 1.59 ± 0.06 Ca | 10.07 ± 0.07 Ab | |
| 200 | 0 | 2.14 ± 0.04 Cc | 2.39 ± 0.09 ABb | 1.42 ± 0.07 Db | 1.61 ± 0.08 Bb | 9.10 ± 0.08 Cc |
| 0.05 | 2.23 ± 0.07 Cc | 2.57 ± 0.09 Aa | 2.68 ± 0.13 Ba | 1.90 ± 0.09 Aa | 9.69 ± 0.07 Ba | |
| 0.1 | 2.69 ± 0.06 Bc | 2.22 ± 0.07 Bab | 1.88 ± 0.08 Cb | 1.25 ± 0.06 Cb | 9.24 ± 0.06 Bc | |
| 0.2 | 3.04 ± 0.13 Ac | 2.58 ± 0.07 Ab | 3.04 ± 0.04 Aa | 1.60 ± 0.07 Ba | 10.14 ± 0.06 Ab | |
| 2000 | 0 | 2.05 ± 0.03 Ac | 1.07 ± 0.03 Dd | 2.09 ± 0.07 Ba | 2.04 ± 0.09 Aa | 9.51 ± 0.08 Cb |
| 0.05 | 2.06 ± 0.03 Ad | 1.39 ± 0.07 Cc | 2.24 ± 0.09 BCb | 1.82 ± 0.05 Ba | 9.76 ± 0.07 Ba | |
| 0.1 | 2.12 ± 0.04 Ad | 1.66 ± 0.07 Bc | 2.42 ± 0.09 Ba | 1.64 ± 0.07 Ba | 9.71 ± 0.07 Bb | |
| 0.2 | 2.12 ± 0.04 Ad | 2.02 ± 0.05 Ac | 2.87 ± 0.06 Aa | 1.75 ± 0.06 Ba | 10.43 ± 0.06 Aa |
Disclaimer/Publisher’s Note: The statements, opinions and data contained in all publications are solely those of the individual author(s) and contributor(s) and not of MDPI and/or the editor(s). MDPI and/or the editor(s) disclaim responsibility for any injury to people or property resulting from any ideas, methods, instructions or products referred to in the content. |
© 2023 by the authors. Licensee MDPI, Basel, Switzerland. This article is an open access article distributed under the terms and conditions of the Creative Commons Attribution (CC BY) license (https://creativecommons.org/licenses/by/4.0/).
Share and Cite
Chen, L.; Song, J.; Wang, J.; Ye, M.; Deng, Q.; Wu, X.; Wu, X.; Ren, B. Effects of Methyl Jasmonate Fumigation on the Growth and Detoxification Ability of Spodoptera litura to Xanthotoxin. Insects 2023, 14, 145. https://doi.org/10.3390/insects14020145
Chen L, Song J, Wang J, Ye M, Deng Q, Wu X, Wu X, Ren B. Effects of Methyl Jasmonate Fumigation on the Growth and Detoxification Ability of Spodoptera litura to Xanthotoxin. Insects. 2023; 14(2):145. https://doi.org/10.3390/insects14020145
Chicago/Turabian StyleChen, Lina, Jia Song, Jun Wang, Mao Ye, Qianqian Deng, Xiaobao Wu, Xiaoyi Wu, and Bing Ren. 2023. "Effects of Methyl Jasmonate Fumigation on the Growth and Detoxification Ability of Spodoptera litura to Xanthotoxin" Insects 14, no. 2: 145. https://doi.org/10.3390/insects14020145
APA StyleChen, L., Song, J., Wang, J., Ye, M., Deng, Q., Wu, X., Wu, X., & Ren, B. (2023). Effects of Methyl Jasmonate Fumigation on the Growth and Detoxification Ability of Spodoptera litura to Xanthotoxin. Insects, 14(2), 145. https://doi.org/10.3390/insects14020145
