Simple Summary
The beet armyworm Spodoptera exigua (Hübner) (Lepidoptera: Noctuidae) is an economic pest that causes significant damage to various vegetables and field crops in Korea. Timely forecasting of pest emergence and occurrence plays a vital role in pest management. To predict the spring emergence and population dynamics of S. exigua, constant temperature-mediated developmental parameters of S. exigua were studied with linear and nonlinear models on different plant hosts. The temperature and plant host significantly influenced the development of S. exigua. The total developmental time decreased with the increase in temperature, although there was no development at extreme temperatures. We developed a forecasting model, and our findings predicted the spring emergence of S. exigua in June. Thus, continuous monitoring of S. exigua in crop fields is needed to be ready to take advanced management measures against S. exigua.
Abstract
This study investigated the effects of different temperatures (15, 20, 25, 27, 30, 35, and 40 °C) on the development rate of Spodoptera exigua (Hübner) eggs, larvae, pupae, and total immatures on plant hosts (soybean, maize, potato, and green pea). The eggs of S. exigua developed successfully at all the tested temperatures, except at 40 °C. The total developmental time (egg-adult) decreased with an increasing temperature from 15 to 35 °C on plant hosts. Stage-specific parameters such as the lower threshold temperature (TH) were determined using linear and nonlinear models (Sharpe-Schoolfield-Ikemoto [SSI]). The lower developmental threshold (LDT) and thermal constant (K) were determined using a linear model. The LDT and K for the total immature stage had respective values of 11.9 °C and 397.27° -day (DD) on soybean, 11.6 °C and 458.34° -day (DD) on maize, 11.2 °C and 446.23° -day (DD) on potato, 10.7 °C and 439.75° -day (DD) on green pea, and 12.2 °C and 355.82° -day (DD) on the artificial diet. The emergence frequency of adult S. exigua over the full range of constant temperatures was simulated using nonlinear developmental rate functions and the Weibull function. This study predicted the spring emergence date in the first to second weeks of June, with approximately five generations for plant hosts. The interaction of temperature and plant host also influenced the development and longevity of the adults. Overall, the findings of this study may be useful for predicting the number of generations, occurrence, population dynamics in crop fields, and management of S. exigua.
1. Introduction
Spodoptera exigua (Hübner), which is native to Southeast Asia, is a serious pest to numerous field crops, vegetables, and ornamentals including corn, soybean, potato, green pea, cotton, onion, peanut, and tomato [1,2,3,4,5]. It is a cosmopolitan species that feeds on 170 species, including 35 families of plants [6,7,8]. Spodoptera exigua generally has five, sometimes six instars of larvae [9]; starting from the fourth instar, larvae cause huge damage by consuming 80–90% of total food [10,11]. Chemical insecticides are commonly used to manage S. exigua. However, management of this pest has failed due to its rapidity in developing resistance to conventional chemical insecticides due to its wide host range, higher mobility and higher reproduction capacity [9,12], and a reduction in the haphazard use of broad-spectrum insecticides due to the substantial environmental concerns involved [13,14,15,16,17,18].
The host range of S. exigua is wide, and it can successfully breed on several plant hosts [1,6,11]. It has been reported that the oviposition and development of S. exigua can be affected by the physical/chemical attributes of the hosts as well as abiotic factors (temperature, humidity, and light) [6,11,19,20,21,22]. The rate of population build-up of S. exigua is responsible for the severity of the damage to the hosts, and abiotic factors such as temperature, humidity, and the nutritional quality of the hosts can play a role in population growth and damage intensity [3,11,22]. Consequently, there is a need for the development of environmentally sound alternative control measures for the integrated management of S. exigua.
It is important to construct a precise predictive model for adult emergence, and a prediction strategy that can serve as a critical component of an integrated pest management system wherein it facilitates decision making and enhances control efficacy [1,23]. Predicting the accurate seasonal occurrence of agricultural insect pests including S. exigua is significant for scheduling, sampling, and the selection of control tactics. Climatic factors in general have been shown to play significant roles in insect life; among such climatic factors, temperature has the greatest influence on population dynamics and the timing of biological events of insect species [24,25]. The development of insects occurs within narrow temperature ranges that vary between different insect species [26], and is sensitive to temperature changes [26,27,28,29,30,31,32,33]. Even slight alterations in temperature could cause spatial and temporal changes in the phenology of insects. The thermal requirements of the development of insects and biological agents are often used to predict their activity, seasonality, and population build-up [34,35,36]. The accurate and timely prediction of the occurrence of insect pests is one of the crucial aspects of an integrated pest management system, and it can be a foundation for understanding the sources and dynamics of local insect populations driven by temperature.
Temperature-dependent developmental models are essential for forecasting pest emergence [34], and there are several models based on the simplified analytic method [37,38,39,40,41,42] and biophysical approaches [43,44,45,46] that are often used to elucidate the relationship between temperature and the development rate. Although there is some information in the existing literature on the temperature-mediated development of S. exigua on artificial diets in Korea [19,21], there have been no studies examining the effects of temperature on the developmental biology and developmental distribution of S. exigua on different crop hosts in Korea. Although outbreaks of S. exigua are sporadic, they are very difficult to control with insecticides due to the rapid development of final instar larvae and insecticide resistance; therefore, early forecasting of the spring emergence of S. exigua is a crucial aspect of an effective intervention. Therefore, in this study, we examined the effects of constant temperatures on the development, adult longevity, and sex ratio relative to plant hosts soybean (Glycine max [L.] Merr.; cv. Daewon; Fabaceae), maize (Zea mays L.; cv. Hangkeummaschal; Poaceae), potato (Solanum tuberosum L.; cv. Sumi; Solanaceae), and green pea (Pisum sativum L.; cv. Spakal; Fabaceae), in order to develop empirical developmental models to estimate the thermal requirements of the development of S. exigua.
2. Materials and Methods
2.1. Insect Rearing
For the experiment, larvae of S. exigua were collected manually from soybean and potato fields at the Department of Southern Area Crop Science, National Institute of Crop Science (NICS), Rural Development Administration (RDA) (http://www.nics.go.kr/english/index.do, accessed on 1 January 2022), Miryang (Gyeongsangnam Province; 35°49′40′′ N, 128°74′01′′ E), Korea, in 2020. The field-collected larvae were maintained as separate colonies in the laboratory on an artificial diet [47]. To maintain the insect colonies, once the adults emerged, they were separately reared inside acryl cages (40 × 40 × 40 cm, with side ventilation) along with soybean plants (cv. Poonsannamool; greenhouse grown with commercial soil media, Baroker, Seoul Bio., Seoul, Republic of Korea), a honey solution (10%), and water. In the laboratory condition, all the cages were kept at 26 ± 1 °C, 60 ± 5% RH, and a 16:8 h L:D photoperiod. For the experiment, egg cluster layers attached on the soybean leaves collected by clipping the mother plant, and leaves with eggs clusters were used in the test.
2.2. Plant Hosts
The plant hosts in this study were soybean (Glycine max [L.] Merr.; cv. Daewon; Fabaceae), maize (Zea mays L.; cv. Hangkeummaschal; Poaceae), potato (Solanum tuberosum L.; cv. Sumi; Solanaceae), and green pea (Pisum sativum L.; cv. Spakal; Fabaceae). Briefly, these plant hosts were selected because they are important cash crops in Korea and for their known associations with S. exigua. Single seeds of soybean, maize, and green pea, and seed pieces (approx. size: 20–30 g with a sprout) of potato, were planted individually in plastic pots (18 cm dia. × 13 cm height) in commercial soil media (Baroker, Seoul Bio., Seoul, Korea) without any pesticides. The growth of each plant host was synchronized by varying the planting date according to the varietal characteristics. All the plants were grown in a greenhouse at 28 ± 1 °C, 60–80% RH, and in a natural photoperiod.
2.3. Experimental Procedure
For oviposition, soybean plants (cv. Poonsannamool; 10–12 leaves/plant; 2 weeks old; greenhouse grown with commercial soil media (Baroker, Seoul Bio., Seoul, Korea) without pesticides) were exposed for 24–48 h to the laboratory colony of S. exigua (2–4 days old). They were kept in acryl cages (40 × 40 × 40 cm, with side ventilation) along with a honey solution (10%) and water, and held at 26 ± 1 °C, 60 ± 5% RH, and a 16:8 (L:D) h photoperiod. After exposure to adult S. exigua for 2 days, eggs were traced and collected for the experiment. Next, soybean leaves with eggs were placed into a Petri-dish (9.8 cm dia. × 4 cm height) and then placed inside humidity chambers (27 × 20 × 17 cm) in which the relative humidity (RH) (70–75%) level was set using saturated salt (NaCl) solutions (Duksan Pure Chemicals, Ansan-si, Gyeonggi Province, Korea) as described in [48]. The humidity chambers along with the eggs were then kept inside incubators (Eyela, model-MTI-202B, Tokyo, Japan) and set at temperatures of 15, 20, 25, 27, 30, 35, and 40 °C. All chambers had a photoperiod of 16:8 (L:D) hours. To monitor the temperature and humidity inside the environmental chambers, data loggers (Huato Log-USB, Huato Electronic Co. Ltd., Baoan District, Shenzhen, China) were used; the data loggers were attached inside the walls of the humidity chambers. Once the eggs hatched, each larva (1st instar) was separated and kept individually in a Petri-dish (5 cm dia. × 1.5 cm height, with topside ventilation) with the leaves of each plant host, and were fed an artificial diet [47]. The leaves (from the middle of the plant) of each plant host were replaced with new ones based on dryness. To measure the duration of each developmental stage, observations were conducted every 12 h (morning and evening) until adult emergence or death for each development stage. Once the pupae developed, their sexes were determined based on the morphology of the pupae [49], and were kept individually in Petri-dishes (5 cm dia. × 1.5 cm height, with topside ventilation). To determine the adult longevity based on the respective temperatures used during their development, emerged adults were also kept in the same Petri-dish with a honey solution (10%) as a food source.
2.4. Developmental Distribution Model
The two-parameter Weibull distribution function was used to analyze the relationships between the cumulative proportion of each life stage and the developmental times [34,50], which helps to predict the minor data with the Weibull function (Equation (1).
where F(x) is the cumulative proportion at development time x, α is the scale parameter, and β is the parameter of the curve shape.
The median development time (i.e., time to 50% cumulative frequency) was calculated as α × [–Ln (0.5)]1/β. To generate a temperature-independent distribution model for each stage, the cumulative frequency was plotted against the normalized time, which was calculated by dividing the development time by the median development time at each temperature (i.e., development days/median days). The normalized data were pooled across temperatures and fit to the Weibull model [34].
2.5. Developmental Rate Models
Linear and nonlinear functions were used to describe the relationship between developmental rates (1/developmental periods) and temperature. The lower developmental threshold (LDT, ) and thermal constant (K, 1/a) were estimated using a linear function (y = aT + b: where y = developmental rate, and T = assessed temperature) [37], and the parameters of the linear equation were estimated using the TableCurve 2D program (1996).
Among the various nonlinear equations that have been proposed to describe the relationship between developmental rates and temperature [51,52,53,54,55,56,57], we selected the Sharpe-Schoolfield-Ikemoto (SSI) model (Equation (2)).
The SSI model based on thermodynamics was proposed by [43] and subsequently modified by [44,58]. It presents temperature-dependent reaction rates of active temperature ranges for a theoretical rate-controlling enzyme. The parameters of the SSI model were estimated using an R script (2015) developed by [54]. In Equation (2), r(T) represents the developmental rate at the absolute temperature T (°K); ΔHA, ΔHL, and ΔHH are enthalpy changes (Jmol−1); R is the universal gas constant; is the developmental rate at ; TL and TH are the temperatures at which the rate-controlling enzyme has an equal probability of being active or inactive, depending on low- or high-temperature inactivation, respectively. is the intrinsic optimum temperature at which the species can optimize its fitness to the environment [43,58].
2.6. Simulation of Spodoptera exigua Adult Emergence
The adult emergence of S. exigua was simulated according to temperature (°C) and time (day) by incorporating two functions of S. exigua development: the Weibull function for the development distribution, and the Performance model for the temperature-dependent rate. The rate of daily emergence at a given temperature was determined by the Performance model, and the cumulative frequency of adults was calculated using the Weibull distribution model (Equation (3)):
where F(x, T) is the cumulative proportion of the emergence of S. exigua adults at time x and constant temperature T, x is time (day), r(T) is the development rate model, and α and β are parameters from the Weibull equation.
2.7. Nutrient Contents of Plant Hosts
To analyze the lipid content, we prepared a 2 g sample of ground leaves by automatically weighing the container containing the sample, and then placed the sample in a fat extraction thimble (BUCHI Extraction Thimbles 25 × 100 mm) while using an n-hexane solvent for an automatic maintenance extraction system (BUCHI Labotechnik, B-811, AG, Meierseggstrasse 40. Postfach 9230 Flawil, Switzerland). The reaction was performed at 105 °C for 2 h and 40 min. After being allowed to cool for 30 min. in the desiccator, the weight of the extracted fat was measured [59].
To analyze the protein content, the plant host leaves were dried with a hot air dryer (40 °C) to 12–13% moisture content, at which point they were ground (C/11/1, Glenmills, 1439 Middletown, PA, USA). Fifty mg of the ground leaves was then wrapped in lactic acid paper and analyzed using an automatic Dumas combustion analyzer (Rapid N Cube, Elementar Analysensysteme GmbH, Langenselbold 63505, Germany) [60].
To analyze the sugar contents (stachyose, raffinose, sucrose, glucose, galactose, and fructose), the ground leaf sample (1 g) was placed in a falcon tube with 10 mL of 70% EtOH and shaken for 3 h in a stirrer. Twenty-four hours after the addition of EtOH, it was filtered using a filter paper. The filtered solution and H2O were mixed in a 1:1 (v:v) ratio using a vortex mixer and then analyzed by HPLC (Ultimate 3000; Thermo Scientific, Waltham, MA, USA) in an autosampler vial [59].
2.8. Statistical Analysis
Regression analyses were used to model the temperature-dependent development of each S. exigua stage, and the model parameter values for the linear and nonlinear functions were estimated using the TableCurve 2D Automated Curve Fitting program [61]. The effects of temperature on adult longevity and the nutrient contents among plant hosts were analyzed using analysis of variance (ANOVA) PROC GLM. The differences in adult longevity between females and males were compared with a t-test. All analyses were performed using the SAS program [62].
3. Results
3.1. Developmental Period
Spodoptera exigua developed successfully on all plant hosts (soybean, maize, potato, and green pea) at all temperatures, however at 40 °C, no eggs hatched. The developmental time of S. exigua was inversely related to the temperature from 15 to 35 °C. The egg, larva, pupa, and total immature developmental times were significantly influenced by temperature on all plant hosts (Table 1). The mean time required for development from eggs to adult emergence on soybean, maize, potato, green pea, respectively, ranged from 123.27 days at 15 °C up to 17.86 days at 35 °C, 125.95 days at 15 °C up to 20.03 days at 35 °C, 114.90 days at 15 °C up to 20.28 days at 35 °C, 109.27 days at 15 °C up to 16.15 days at 35 °C, and 125.47 days at 15 °C up to 16.32 days at 35 °C.
Table 1.
Development time in days (mean ± SE) for Spodoptera exigua on soybean, maize, potato, green pea and the artificial diet as food sources at a constant temperature.
3.2. Developmental Distribution Model
The Weibull model was applied to describe the stage-specific frequency distribution of S. exigua against the normalized time (day/median) on soybean, maize, potato, green pea (Table 2, Figure 1). The cumulative frequency distribution of the developmental times of S. exigua at each temperature on each plant host was found to be well described by the Weibull model (r2 > 0.93, p < 0.0001) (Table 2).
Table 2.
Parameter estimates (mean ± SE) of the Weibull distribution models for the development of Spodoptera exigua using plant hosts (soybean, maize, potato and green pea) and on the artificial diet as food sources against the normalized time (day/mean).
Figure 1.
Cumulative frequency of the development of Spodoptera exigua using plant hosts (soybean, maize, potato and green pea) and the artificial diet as food sources against the normalized time (day/median day), fit to the Weibull function. Red circles: observed data; solid lines: estimated value.
The linear regression model was fit to the development rate data in the mid-range on all plant hosts (Table 3, and Figure 2, Figure 3 and Figure 4). The LDT and K for each life stage of S. exigua were estimated using linear regression analysis. The LDT values of total immature were 11.88 °C on soybean, 11.55 °C on maize, 11.18 °C on potato, 10.69 °C on green pea, and 12.18 °C on the artificial diet. Based on the LTDs, the K values of total immature were 397.27 (DD) on soybean, 458.34 (DD) on maize, 446.23 (DD) on potato, 439.75 (DD) on green pea, and 355.82 (DD) on the artificial diet.
Table 3.
Linear regression analysis for Spodoptera exigua using plant hosts (soybean, maize, potato and green pea) and the artificial diet as food resources.
Figure 2.
Linear and non-linear models for the temperature-dependent rate (1/day) of the development of Spodoptera exigua using soybean and maize as food sources. Red circles: observed data; solid blue lines: estimated nonlinear result; long solid black lines: estimated linear result.
Figure 3.
Linear and non-linear models for the temperature-dependent rate (1/day) of the development of Spodoptera exigua using potato and green pea as food sources. Red circles: observed data; solid blue lines: estimated nonlinear result; long solid black lines: estimated linear result.
Figure 4.
Linear and non-linear models for the temperature-dependent rate (1/day) of the development of Spodoptera exigua using the artificial diet as a food source. Red circles: observed data; solid blue lines: estimated nonlinear result; long solid black lines: estimated linear result.
Table 4 presents the estimated parameters of the nonlinear function. For all life stages, the temperature-dependent pattern of the S. exigua development rate over the entire range showed a typical skewed bell shape that featured a sharp decline if the rates were at exceedingly high temperatures above the optimal temperature (Figure 2, Figure 3 and Figure 4). The SSI model provided a significant fit to the temperature-dependent rate of S. exigua development on all plant hosts (Table 4, and Figure 2, Figure 3 and Figure 4). The respective intrinsic optimum temperatures (Topt.) of the control enzyme for the larva, pupa, and total immature periods were 34.0, 33.8, and 33.8 °C on soybean, 33.5, 40.6, and 34.7 °C on maize, and 34.3, 33.2, and 34.5 °C on potato; those for pupae and total immatures were 33.8 and 49.1 °C on green pea, and for eggs, larvae, pupae, and total immatures, the values were 34.3, 43.6, 32.9, and 33.7 °C on the artificial diet.
Table 4.
Parameter estimates of the nonlinear developmental rate model for Spodoptera exigua using plant hosts (soybean, maize, potato and green pea) and the artificial diet as food resources.
Given a cohort of S. exigua eggs under constant temperatures, the daily frequency of adult emergence was predicted using the nonlinear function, and it is presented in relation to temperature (°C) and time (day) (Figure 5). The results predicted that, at the optimum temperature, the adult emergence of S. exigua would occur earlier in a much shorter time, while at both extreme ends of temperature, the adult emergence would suffer from an extended delay. For instance, from the cohort of S. exigua eggs, adult emergence would occur in 19–30 days at 35 °C, whereas it would take 90–97 days at 15 °C and 25–30 days at 29 °C on all plant hosts.
Figure 5.
Simulation frequency of Spodoptera exigua adult emergence from an egg cohort in relation to time (day) and constant temperature (°C) on plant hosts (soybean, maize, potato and green pea) and on the artificial diet.
3.3. Simulation of Adult Emergence
Based on the biofix of 1 January, the voltinism of S. exigua ranged from 4.46 to 5.79 generations on plant hosts over four years (Table 5). The number of generations was higher on the artificial diet in 2021, whereas it was lower on maize in 2020. However, the differences among hosts were not significant (p > 0.05).
Table 5.
Estimated annual voltinism over a four-year period in Miryang, Korea, based on a biofix: 1 January, and date of spring emergence of Spodoptera exigua adults.
3.4. Combined Effects of Temperature and Host
The combined analysis results show that temperature as well as plant hosts and the artificial diet significantly influenced the development of the life stages (egg, larva, pupa, and total immature) of S. exigua (Table 6). A longer time was needed for the development of all stages at the lower temperature (15 °C) whereas a shorter time was needed for the development of all stages at the higher temperature (35 °C) on all the plant hosts. The interaction between the temperatures and plant hosts was also significant (p < 0.0001) (Table 6 and Figure 6).
Table 6.
ANOVA results for the combined effects of temperature and plant hosts (soybean, maize, potato and green pea), and interaction of temperature and host (plant hosts [soybean, maize, potato and green pea] and the artificial diet) on the development of eggs, larvae, pupae, and total immatures of Spodoptera exigua.
Figure 6.
Combined effects of temperature (°C) (A) and plant hosts (B) on the developmental time (DT) of eggs, larvae, pupae, and total immatures of Spodoptera exigua.
3.5. Adult Longevity
The adult longevity of both female and male S. exigua was significantly influenced by temperature on all plant hosts (Table 7). The difference in longevity between females and males was also significantly influenced by temperature except at 20 and 35 °C on soybean, at 15, 20, 25, and 30 °C on maize, at 15 °C on potato, at 27 °C on green pea, and at 25 °C on the artificial diet. The sex ratios (proportion female) between moths that emerged from soybean, maize, potato, green pea and the artificial diet were almost 1:1 ratio in all those cases (p > 0.05). Meanwhile, the highest female ratio (0.70) was at 25 °C on potato, and the lowest female ratio (0.40) was at 15 °C on potato and at 25 °C on maize (Table 7).
Table 7.
Adult longevity (day, mean ± SE) and sex ratio (female) of Spodoptera exigua reared on different plant hosts (soybean, maize, potato and green pea) and the artificial diet as a food source at constant temperatures.
3.6. Survivorship
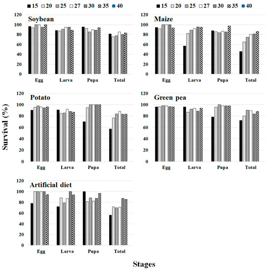
Figure 7 shows the survival of each life stage at different temperatures. The results show that the survival of S. exigua increased with temperature between 15 and 35 °C. The higher survival rates on soybean were 100% at 25, 27, and 35 °C for eggs, 95.12% at 27 °C for larvae, 95.65% at 15 °C for pupae, and 85.36% at 27 °C for total immatures; on maize, they were 100% at 25, 27, and 30 °C for eggs, 95.34% at 30 °C for larvae, 97.43 at 35 °C for pupae, and 86.36% at 35 °C for total immatures; on potato, they were 97.95% at 25 °C for eggs, 91.83% at 27 °C for larvae, 100% at 25, 27, 30, and 35 °C for pupae, and 88.23% at 27 °C for total immatures; on green pea, they were 98.03% at 25 °C for eggs, 95.83% at 15 °C for larvae, 97.87% at 30 °C for pupae, and 90.19% at 25 °C for total immatures; and on the artificial diet, they were 100% at 20, 25, 27, and 30 °C for eggs, 100% at 30 °C for larvae, 100% at 15 °C for pupa, and 87.17% at 30 °C for total immatures. Meanwhile, the lowest larval survival rate of total immatures (45.94% at 15 °C) was measured on maize.
Figure 7.
Survivorship of different stages (egg, larva, pupa, and total) of Spodoptera exigua at different temperatures (15, 20, 25, 27, 30, 35, and 40 °C) on plant hosts (soybean, maize, potato and green pea). At the temperature of 40 °C, no eggs hatched.
3.7. Nutrient Contents
The nutrient contents exhibited significant differences among plant hosts for lipid (F3,8 = 19.15, p = 0.0005), protein (F3,8 = 707.77, p < 0.0001), raffinose (F1,4 = 7.41, p = 0.0529), sucrose (F3,8 = 3914.46, p < 0.0001), glucose (F3,8 = 760.55, p < 0.0001), and fructose (F3,8 = 5.71, p = 0.0218). Higher levels of lipid (5.31%) and protein (35.94%) were found in green pea and soybean, respectively. Galactose was only detected in green pea. Finally, stachyose was not detected in any plant hosts (Table 8).
Table 8.
Composition of lipid, protein, and CHO (stachyose, raffinose, sucrose, glucose, galactose, and fructose) (mean ± SE) in soybean, maize, potato and green pea leaves.
4. Discussion
Global warming mediated by anthropogenic activities is anticipated to raise the earth’s temperature by approximately 1.5–5.8 °C by the end of the century, which is expected to lead to serious challenges to pest management and food security [63,64,65]. Temperature is the abiotic factor that determines the development rate and population growth of almost all organisms [66,67]. Insects are exothermic organisms, and the temperature is an important determinant of the pre-adult development rates of insects [68,69]. Therefore, it is crucial to understand the relationship between temperature and rate of development, because temperature influences insect biology, distribution, abundance, and damaging behavior [70,71,72,73,74]. Information on the influence of a constant temperature on the thermal requirements of a given insect pest is significant for the formulation of an integrated pest management program [75]. We investigated the effects of a wide range of temperatures on S. exigua development, and we estimated important thermal requirement parameters to understand the biological processes by using developmental rate models (linear and nonlinear) on different crop hosts (soybean, maize, potato, and green pea). This study details the prediction of S. exigua population dynamics in soybean, maize, potato, and green pea fields in Korea. Temperature affects the developmental time of S. exigua as it does for several insect pests in crop fields, including Riptortus pedestris (Thunberg) (Hemiptera: Alydidae), Halyomorpha halys (Stål) (Heteroptera: Pentatomidae), and Aphis glycines (Matsumura) (Hemiptera: Aphididae) [76,77,78]. The development trend of S. exigua at seven constant temperatures revealed decreases in the developmental time from eggs to adults with increases in temperature on all crop hosts (Table 1). The developmental time (1.81, 2.08, 2.93, 3.84, 5.86, and 13.04 days for eggs, 8.92, 10.73, 13.21, 14.76, 29.77, and 70.83 days for larvae, and 5.56, 5.58, 7.06, 8.76, 14.90, and 41.58 days for pupae at 35, 30, 27, 25, 20, and 15 °C, respectively) estimated on the artificial diet in the present study is similar to the estimated time for S. exigua on other artificial diets [19,21]. However, [19] estimated a slightly higher number of days for the development at 15 and 20 °C than we estimated in the present work. The developmental time estimated in this study is different from that of a study estimated on an artificial formula [11], which reported values of 0.76, 0.93, 0.93, 1.04, and 3.20 days for eggs, 5.99, 6.91, 7.77, 10.34, and 17.55 days for larvae, and 3.12, 3.99, 5.64, 6.63, and 7.68 days for pupae at 35, 30, 27, 25, and 20 °C, respectively. These discrepancies may be due to the differences in the diet fed to larvae and its composition, along with factors other than temperature such as genetic makeup, geographic origin, relative humidity, and photoperiod. Among the temperatures, S. exigua could not complete its development at 40 °C on all the plant hosts due to the fact that all eggs died. This type of unsuccessful egg/pupa development has also been reported by [11,79]. This failure in the development of S. exigua at the highest temperature might be interpreted to mean that high heat induces rapid dehydration of eggs, and that physiological disorders are responsible for the abnormal development and death of eggs. Substantial inhibition and unsuccessful development of eggs at high temperature were also reported in other insect species such as Hawaiian flower thrips, Thrips hawaiiensis (Morgan) (Thysanoptera: Thripidae) [80]. Prolonged exposure to high temperatures has been shown to produce various metabolic disorders in insects that ultimately lead to death [81]. High and low temperature exposure can also inactivate enzymes blocking cell cycle development, thereby substantially narrowing the temperature range for embryonic development in insects compared to the range of thermal tolerance in adults [82], which would explain why extreme temperatures had such adverse effects on the development of S. exigua.
The results regarding the combined effects of temperature and plant hosts (Table 6 and Figure 6) clearly show that, just like temperature, plant hosts also influenced the developmental time of S. exigua. This result is similar to that reported by [3,8,11], who also reported that plant hosts significantly affected the development of S. exigua. However, the developmental time of each stage varied according to the plant host. The results show that the insect had the shortest (109.27 days) developmental time when feeding on green pea, followed by when feeding on potato (114.90 days), and the longest (125.95 days) when feeding on maize (Table 1). However, the results of the present study contradict those reported by [3] for S. exigua, who found a longer developmental time (28 days at 27 °C) on pea. This discrepancy in developmental time may be due to variability in either the nutritional quality, or the quantity of host plant species [83]. These differences may also be related to the availability of different primary and secondary biochemicals on different host plants or different plant parts consumed by the larvae [84]. A study by [85] examining the feeding ecology of several species of bugs reported negative aspects of food containing limited nutrient contents that are essential for the normal development of bugs; specifically, insects feeding on such poor nutrient sources tend to store important nutrient contents such as lipids rather than utilize them for normal development, thus resulting in a longer development time. This plant host-based developmental time (which is shorter on green pea and longer on maize) of S. exigua is well supported by our nutrient content analysis, which clearly showed variations in the nutrient contents among the host plant leaves (Table 8). The contents of all nutrients (lipid, protein, raffinose, sucrose, glucose, galactose, and fructose) except stachyose were detected in green pea, with a higher lipid content (5.31%) and protein content (35.94%) than maize (lipid: 4.74%; protein: 29.78%). In contrast to our study, [84] reported lower developmental times of 3 days for eggs, 14.91 and 13.10 days for larvae, 7.02 and 6.66 days for pupae, and 24.93 and 22.74 days for egg-adults at 26 ± 1 °C on maize (Z. mays) and soybean (G. max), respectively. The authors of [8] reported lower total developmental times of 16.91, 27.21, 41.63, and 120.50 days at 30, 25, 20, and 15 °C, respectively, on sugar beet. These differences may be attributed to food (sugar beet), geographic origin, genetic makeup, and the exposure and experience of differential adaption to the environmental regimes. This phenomenon (variations in developmental time based on the host plant and nutrient quality) of S. exigua has been reported in several previous studies [3,6,9,84,86,87,88,89,90].
Origination and the development-based lower temperature threshold can be used to estimate the population development of organisms [91]. The estimations of LTDs for different stages of S. exigua from the linear model estimated by [19,21] on the artificial diet as well as [8], are all in contrast to the findings of our study. The authors of [19,21] estimated higher LTDs for eggs, larvae, pupae and total immatures. However, [8] reported lower LDTs for the egg, larva, and pupa stages on sugar beet than we estimated on soybean and the artificial diet.
The authors of [11] also reported lower LDTs for eggs (7.50 °C), larvae (7.96 °C), pupae (5.60 °C), and total immatures (5.60 °C) than our estimates for eggs (12.80 °C), larvae (12.43 °C), pupae (13.11 °C), and total immatures (12.18 °C) on the artificial diet. According to the present study, eggs required 39.91 DD to hatch on the artificial diet, which is similar to the thermal constant (39.37 DD) reported by [9] and lower than the thermal constant (23.62) reported by [11]. However, Refs. [79,92] reported higher thermal constant values (42.55 and 49.15 DD, respectively) on an artificial diet than the present study. In contrast to our study, Ref. [8] reported a lower thermal constant (40.16 DD) for egg hatching on sugar beet than we estimated on the plant hosts. The thermal constant of the larval period in our study (195.24 DD) was higher on the artificial diet than that estimated by [21] (155.72 DD), [19] (155.80 DD), [9] (128.70 DD), and [11] (191.49 DD). Similarly, we also estimated a higher thermal constant on plant hosts than that reported by [8] on sugar beet (174.83 DD) and by [9] on Pigweed (123.20 DD) and cotton (157.70 DD). This variation may also be due to differences in the nutrient quality of plant hosts i.e., it is possible that a factor other than temperature affects the thermal requirement, as suggested by the significant differences seen among plant hosts, temperatures, and the interaction between plant host and temperature in this study (Table 6). With similar findings to this study, Ref. [93] reported that there is a significant interaction of temperature and diet that ultimately alters the developmental time of larvae of S. exigua, even at an identical temperature on different diets. This discrepancy could also be due to the differences in each study’s experimental methodology. For example, in this study, for pupal development, we used a Petri dish (5 cm dia. × 1.5 cm height, with topside ventilation) with the leaves of each plant host above a piece of tissue paper to provide a rough surface. Each Petri dish was then closed tightly with para film to protect the larvae from escaping and to maintain moisture. However, we did not provide soil for pupation, whereas Ref. [8] provided 1 cm height soil for pupation purposes. One should therefore consider the possibility that the materials and methodologies adopted could affect pupal development and its thermal constants.
In existing research studies, several mathematical functions have been developed and employed to describe the insect development rates across thermal regimes. The selection of models is generally based on the choice of authors and is strongly subject to field -associated biases. While certain models consistently perform better within a specific context, there is no consensus on which are generally best across a wide range of applications [94]. Many investigations related to temperature-dependent development are carried out with a single model or a few models targeting a particular taxonomic group, often without justification. Some of the important qualities of the model, such as the potentially superior predictive power or other beneficial qualities may be overlooked [95]. To overcome this limitation, we selected several models and analyzed the observed data using different models. One nonlinear mathematical function (SSI) was used to adequately describe the developmental rate versus temperature curve, because the relationship between the developmental rate and temperature is curvilinear near extremes. Both the temperature threshold and the temperature maximum using the SSI nonlinear model were employed to estimate the temperature ranges for insect development, because the model provides clear biophysical meaning and thermodynamic information among model parameters [82,96]. Further, Ref. [97] suggested that the SSI function performed as well as, or relatively better than, other functions. The developmental rate of S. exigua was well fitted and described using a nonlinear model, which is indicated by the high coefficient (r2) values (0.98–0.99) and the minimum variance of the estimated parameters on all plant hosts. The intrinsic optimum temperature () value for development is the most critical factor that determines the fitness of an optimum life history strategy [58], which suggests the involvement of the maximal active state of enzymes in the development process [98,99]. The values in this study using the SSI model were 26.6 °C on soybean, 23.6 °C on maize, 22.3 °C on potato, 33.1 °C on green pea, and 26.7 °C on the artificial diet, which differ from those of [8], who estimated 28.5 °C on sugar beet. The T low values estimated by the SSI model varied between 12.11 °C and 14.91 °C, and the T high values estimated by the SSI model for the total immature stage were 35.6 °C on soybean, 37.1 °C on maize, 37.9 °C on potato, 50.3 °C on green pea, and 37.0 °C on the artificial diet (Table 4). The estimated T low and T high values in the present study differ from those reported by [8], who estimated respective values of 13.3 °C and 34.6 °C on sugar beet. The value (33.1 °C on green pea) estimated by the SSI model for the total immature stage refers to the temperature that can make the population obtain maximum fitness as the true optimal temperature, in which the developmental rate was 0.0544 day-1.
Standard laboratory tests under a standard set of conditions, such as constant temperature and other controlled and replicable conditions with a particular physiological or behavioral response or survival, often produce relatively simple relationships. However, when comparing laboratory conditions with field conditions, field conditions are much more complex and variable. and within this complexity, several types of known or unknown traits might be involved [100]. The authors of [101] reported an alteration in the phenotype of Drosophila melanogaster Meigen due to the effect of developmental and adult temperature acclimation. The authors of [100] reported adaptive effects of acclimation in both laboratory and field tests, with stronger effects in the field test. Though there is a difference in the relationship between the laboratory and field, the estimated laboratory-based traits might still be significant and highly relevant to field performance, but this critical assumption needs to be verified [102].
The results of the present study provide substantial evidence indicating that temperature and plant hosts significantly affect the longevity of S. exigua (Table 7). The longest longevity for S. exigua was found at 30 °C on soybean, while the shortest was found at 35 °C on potato. As stated above, longevity differences among plant hosts can also be related to the nutritional quality and quantity of plant host species as well as the primary and secondary biochemical contents available on those plant hosts [83,84]. Significant differences were also found between the longevity values of females and males. On all plant hosts, females had longer longevity than males. Several previous studies have also reported differences in longevity between sexes of S. exigua [19,21] and other insect species, such as the azuki bean weevil (Callosobruchus chinensis, Coleoptera: Bruchidae) [26] and the potato leafminer fly (Liriomyza huidobrensis, Diptera: Agromyzidae) [103]. These differences in adult longevity could be due to (i) complex interactions between the specific local environmental conditions and sex-specific costs of reproduction, (ii) epigenetic control of longevity by imprinting through DNA methylation, and (iii) increased fecundity and protection from aging stemming from the act of mating or components from the male ejaculate [104].
Linear models are widely used to estimate the lower temperature threshold and thermal constant of insect species [105], though researchers have highlighted many drawbacks [106,107]. Despite these shortcomings, linear models remain widely used because they require minimal data input for formulation with easy calculation. Therefore, their application has generally been found to yield correct values with negligible differences in accuracy [36]. For these reasons, we adopted and used a linear model to estimate the parameters of temperature-dependent development on different plant hosts and on an artificial diet. By using a linear model with 397.27 DD on soybean, 458.34 DD on maize, 446.23 DD on potato, 439.75 DD on green pea, and 355.82 DD on the artificial diet, we tested the simple application of a degree-day model with the biofix of 1 January [33,108] to predict the number of generations of S. exigua, which resulted in 5.2, 4.6, 5.0, 5.3, and 5.6 generations on soybean, maize, potato, green pea, respectively. The resulting spring emergence date of S. exigua was 2–8 June in 2018, 6–14 June in 2019, 4–9 June in 2020, and 6–13 June in 2021 on plant hosts in Korea (Table 5) (Maharjan, unpublished). As a result, this study provides important information on the temperature-dependent development of this polyphagous pest in Korea, which is expected to be useful for the prediction modeling of the distribution expansion and population regulation of S. exigua from a climate change perspective [107,109]. The model developed in the present study could contribute to the development of integrated pest management strategies including spray timing [110,111], even with limited capacity of extrapolation from the laboratory-based parameter estimation [112,113].
Author Contributions
Conceptualization, R.M. and H.Y.; Methodology, R.M. and H.Y.; Software, J.A.; Validation, R.M., H.Y. and J.A.; Formal Analysis, R.M. and J.A.; Investigation, R.M. and H.Y.; Resources, H.Y.; Data Curation, R.M.; Writing—Original Draft Preparation, H.Y. and R.M.; Writing—Review and Editing, R.M., J.A. and H.Y.; Visualization, R.M. and H.Y.; Supervision, H.Y. and J.A.; Project Administration, H.Y.; Funding Acquisition, H.Y. All authors have read and agreed to the published version of the manuscript.
Funding
This research was supported by grants from the Cooperative Research Program for Agriculture Science & Technology Development (Grant no. PJ01571901), National Institute of Crop Science (NICS), Rural Development Administration (RDA), Republic of Korea.
Institutional Review Board Statement
Not applicable.
Informed Consent Statement
Not applicable.
Data Availability Statement
Data are available upon request to the corresponding author of this MS.
Acknowledgments
This study was funded by the Cooperative Research Program for Agriculture Science & Technology Development (Grant no. PJ01571901), National Institute of Crop Science (NICS), Rural Development Administration (RDA), Korea. The authors thank Myoung Hee Lee and Jae Eun Park for analyzing the crop hosts nutrients. The authors also thank Ki Do Park, Young Nam Yoon, Yun Woo Jang, and Seo Yeon Hong for assisting in the fund acquisition and administrative work. We would also like to acknowledge Chan-Sik Jung, Upland Crop Breeding Research Division, NICS, RDA, Miryang, for providing the facilities used to analyze the nutrient contents of the crop hosts.
Conflicts of Interest
The authors declare no conflict of interest.
References
- Greenberg, S.M.; Sappington, T.W.; Legaspi, B.C., Jr.; Liu, T.-X.; Sétamou, M. Feeding and life history of Spodoptera exigua (Lepidoptera: Noctuidae) on different host plants. Ann. Entomol. Soc. Am. 2001, 94, 566–575. [Google Scholar] [CrossRef]
- Taylor, J.E.; Riley, D.G. Artificial infestations of beet armyworm, Spodoptera exigua (Lepidoptera: Noctuidae), used to estimate an economic injury level in tomato. Crop Prot. 2008, 27, 268–274. [Google Scholar] [CrossRef]
- Saeed, S.; Sayyed, A.H.; Ahmad, I. Effect of host plants on life-history traits of Spodoptera exigua (Lepidoptera: Noctuidae). J. Pest Sci. 2010, 83, 165–172. [Google Scholar] [CrossRef]
- Lai, T.; Li, J.; Su, J. Monitoring of beet armyworm Spodoptera exigua (Lepidoptera: Noctuidae) resistance to chlorantraniliprole in China. Pestic. Biochem. Phys. 2011, 101, 198–205. [Google Scholar] [CrossRef]
- Zheng, X.L.; Cong, X.P.; Wang, X.P.; Lei, C.L. A review of geographic distribution, overwintering and migration in Spodoptera exigua Hübner (Lepidoptera: Noctuidae). J. Entomol. Res. Soc. 2011, 13, 39–48. [Google Scholar]
- Greenberg, S.M.; Sappington, T.W.; Liu, T.-X. Beet armyworm (Lepidoptera: Noctuidae) host plant preference for oviposition. Environ. Entomol. 2002, 31, 142–148. [Google Scholar] [CrossRef]
- Luo, L.Z.; Cao, Y.Z. Studies on the Spodoptera exigua occurrence, damage characteristics and the trend analysis. Plant Prot. 2000, 26, 37–39. [Google Scholar]
- Karimi-Malati, A.; Fathipour, Y.; Talebi, A.A. Development response of Spodoptera exigua to eight constant temperatures: Linear and nonlinear modeling. J. Asia-Pac. Entomol. 2014, 17, 349–354. [Google Scholar] [CrossRef]
- Ali, A.; Gaylor, M.J. Effects of temperature and larval diets on development of the beet armyworm. Environ. Entomol. 1992, 21, 780–786. [Google Scholar] [CrossRef]
- Ehler, L.E. An evaluation of some natural enemies of Spodoptera exigua on sugar beet in northern California. Biocontrol 2004, 49, 121–135. [Google Scholar] [CrossRef]
- Dai, H.Q.; Zhang, G.L.; Zhang, W.J. Temperature dependent development parameters and population life table of beet armyworm, Spodoptera exigua (Hübner) (Lepidoptera: Noctuidae). Arthropods 2017, 6, 117–125. [Google Scholar]
- Hogg, D.B.; Gutierrez, A.P. A model of the flight phenology of the beet armyworm (Lepidoptera: Noctuidae) in Central California. Hilgardia 1980, 48, 26–36. [Google Scholar] [CrossRef]
- Brewer, M.J.; Trumble, J.T. Inheritance and fitness consequences of resistance to fenvalerate in Spodoptera exigua (Lepidoptera: Noctuidae). J. Econ. Entomol. 1991, 84, 1638–1644. [Google Scholar] [CrossRef]
- Burris, E.; Graves, J.B.; Leonard, B.R.; White, C.A. Beet armyworms (Lepidoptera: Noctuidae) in northeast Louisiana: Observations on an uncommon insect pest. Fla. Entomol. 1994, 77, 454–459. [Google Scholar] [CrossRef]
- Mascarenhas, V.J.; Graves, J.B.; Leonard, B.R.; Burris, E. Susceptibility of field populations of beet army-worm (Lepidoptera: Noctuidae) to commercial and experimental insecticides. J. Econ. Entomol. 1998, 91, 827–833. [Google Scholar] [CrossRef]
- Osorio, A.; Martínez, A.M.; Schneider, M.I.; Díaz, O.; Corrales, J.L.; Avilés, M.C.; Avilés, G.S.; Pineda, S. Monitoring of beet army-worm resistance to spinosad and methoxyfenozide in Mexico. Pest Manag. Sci. 2008, 64, 1001–1007. [Google Scholar] [CrossRef]
- Ahmad, M.; Arif, M.I. Resistance of beet armyworm Spodoptera exigua (Lepidoptera: Noctuidae) to endosulfan organophosphorus and pyrethroid insecticides in Pakistan. Crop Prot. 2010, 29, 1428–1433. [Google Scholar] [CrossRef]
- Lai, T.; Su, J. Assessment of resistance risk in Spodoptera exigua (Hübner) (Lepidoptera: Noctuidae) to chlorantraniliprole. Pest Manag. Sci. 2011, 67, 1468–1472. [Google Scholar] [CrossRef]
- Lee, S.D.; Ahn, S.B.; Cho, W.S.; Choi, K.M. Effects of temperature on the development of beet armyworm, Spodoptera exigua Hübner (Lepidoptera: Noctuidae). Res. Rep. RDA 1991, 33, 58–62, (In Korean with English Summary). [Google Scholar]
- Abdullah, M.D.; Sarnthoy, O.; Chaeychomsri, S. Comparative study of artificial diet and soybean leaves on growth, development and fecundity of beet armyworm, Spodoptera exigua (Hübner) (Lepidoptera: Noctuidae). Kasetsart J. Nat. Sci. 2000, 34, 339–344. [Google Scholar]
- Choi, J.S.; Park, Y.D. Effects of temperatures on larval development, adult longevity, and oviposition of the beet armyworm, Spodoptera exigua Hübner. Korean J. Life Sci. 2000, 10, 1–6, (In Korean with English Summary). [Google Scholar]
- Karimi-Malati, A.; Fathipour, Y.; Talebi, A.A.; Bazoubandi, M. Life table parameters and survivorship of Spodoptera exigua (Lepidoptera: Noctuidae) at constant temperatures. Environ. Entomol. 2014, 43, 795–803. [Google Scholar] [CrossRef] [PubMed]
- Tisdale, R.A.; Sappington, T.W. Realized and potential fecundity, egg fertility, and longevity of laboratory-reared female beet armyworm (Lepidoptera: Noctuidae) under different adult diet regimes. Ann. Entomol. Soc. Am. 2001, 94, 415–419. [Google Scholar] [CrossRef]
- Danilevskii, A.S. Photoperiodism and Seasonal Development of Insects; Oliver and Boyd Ltd.: Edinburg/London, UK, 1965; p. 283. [Google Scholar]
- Angilletta, M.J., Jr. Thermal Adaptation: A Theoretical and Empirical Synthesis; Oxford University Press: New York, NY, USA, 2009; p. 289. [Google Scholar]
- Maharjan, R.; Ahn, J.; Park, C.; Yoon, Y.; Jang, Y.; Kang, H.; Bae, S. Effects of temperature on development of the azuki bean weevil, Callosobruchus chinensis (Coleoptera: Bruchidae) on two leguminous seeds. J. Stored-Prod. Res. 2017, 72, 90–99. [Google Scholar] [CrossRef]
- Howe, R.W.; Currie, J.E. Some laboratory observations on the rates of development, mortality and oviposition of several species of bruchidae breeding in stored pulses. Bull. Entomol. Res. 1964, 55, 437–477. [Google Scholar] [CrossRef]
- Howe, R.W. A summary of estimates of optimal and minimal conditions for population increase of some stored products insects. J. Stored-Prod. Res. 1965, 1, 177–184. [Google Scholar] [CrossRef]
- Tobin, P.C.; Nagarkatti, S.; Lobe, G.; Saunders, M.C. Historical and projected interactions between climate change and insect voltinism in a multivoltine species. Glob. Change Biol. 2008, 14, 951–957. [Google Scholar] [CrossRef]
- Régnière, J.; Powell, J.; Bentz, B.; Nealis, V. Effects of temperature on development, survival and reproduction of insects: Experimental design, data analysis and modeling. J. Insect Physiol. 2012, 58, 634–647. [Google Scholar] [CrossRef]
- Ahn, J.J.; Son, Y.; He, Y.; Lee, E.; Park, Y.-L. Effects of temperature on development and voltinism of Chaetodactylus krombeini (Acari: Chaetodactylidae): Implications for climate change impacts. PLoS ONE 2016, 11, e0161319. [Google Scholar] [CrossRef] [PubMed]
- Johnson, C.A.; Coutinho, R.M.; Berlin, E.; Dolphin, K.E.; Heyer, J.; Kim, B.; Leung, A.; Sabellon, J.L.; Amarasekare, P. Effects of temperature and resource variation on insect population dynamics: The bordered plant bug as a case study. Funct. Ecol. 2016, 30, 1122–1131. [Google Scholar] [CrossRef]
- Jianhua, M.; Stevens, M.M. A degree-day model for predicting adult emergence of the citrus gall wasp, Bruchophagus fellis (Hymenoptera: Eurytomidae), in southern Australia. Crop Prot. 2021, 143, 105553. [Google Scholar]
- Wagner, T.L.; Wu, H.I.; Sharpe, P.J.H.; Schoolfield, R.M.; Coulson, R.N. Modeling insect development rates: A literature review and application of a biophysical model. Ann. Entomol. Soc. Am. 1984, 77, 208–225. [Google Scholar] [CrossRef]
- Lamb, R.J. Development rate of Acyrthosiphion pisum (Homoptera: Aphididae) at low temperatures; implication for estimating rate parameters for insects. Environ. Entomol. 1992, 21, 10–19. [Google Scholar] [CrossRef]
- Haghani, M.; Fathipour, Y.; Talebi, A.A.; Baniameri, V. Thermal requirement and development of Liriomyza sativae (Diptera: Agromyzidae) on cucumber. J. Econ. Entomol. 2007, 100, 350–356. [Google Scholar] [CrossRef]
- Campbell, A.; Frazer, B.D.; Gilbert, N.; Gutierrez, A.P.; Mackauer, M. Temperature requirements of some aphids and their parasites. J. Appl. Entomol. 1974, 11, 431–438. [Google Scholar] [CrossRef]
- Logan, J.A.; Wollkind, D.J.; Hoyt, S.C.; Tanigoshi, L.K. An analytic model for describing of temperature dependent rate phenomena in arthropods. Environ. Entomol. 1976, 5, 1133–1140. [Google Scholar] [CrossRef]
- Lactin, D.J.; Holliday, N.J.; Johnson, D.L.; Craigen, R. Improved rate model of temperature dependent development by arthropods. Environ. Entomol. 1995, 24, 68–75. [Google Scholar] [CrossRef]
- Briere, J.P.; Pracros, P.; LeRoux, A.Y.; Pierre, J.S. A novel rate model of temperature dependent development for arthropods. Environ. Entomol. 1999, 28, 22–29. [Google Scholar] [CrossRef]
- Ikemoto, T.; Takai, K. A new linearized formula for the law of total effective temperature and the evaluation of line fitting methods with both variables subjects to error. Environ. Entomol. 2000, 29, 671–682. [Google Scholar] [CrossRef]
- Shi, P.; Ge, F.; Sun, Y.; Chen, C. A simple model for describing the effect of temperature on insect developmental rate. J. Asia-Pac. Entomol. 2011, 14, 15–20. [Google Scholar] [CrossRef]
- Sharpe, P.J.H.; DeMichele, D.W. Reaction kinetics of poikilotherm development. J. Theor. Biol. 1977, 64, 649–670. [Google Scholar] [CrossRef]
- Schoolfield, R.M.; Sharpe, P.J.H.; Magnuson, C.E. Non-linear regression of biological temperature-dependent rate models based on absolute reaction-rate theory. J. Theor. Biol. 1981, 88, 719–731. [Google Scholar] [CrossRef]
- Shi, P.; Ikemoto, T.; Egami, C.; Sun, Y.; Ge, F. A modified program for estimating the parameters of the SSI model. Environ. Entomol. 2011, 40, 462–469. [Google Scholar] [CrossRef]
- Ikemoto, T.; Kurahashi, I.; Shi, P.J. Confidence interval of intrinsic optimum temperature estimated using thermodynamics SSI model. Insect Sci. 2013, 20, 420–428. [Google Scholar] [CrossRef] [PubMed]
- Goh, H.G.; Lee, S.G.; Lee, B.P.; Choi, K.M.; Kim, J.H. Simple mass-rearing of beet armyworm, Spodoptera exigua (Hübner) (Lepidoptera: Noctuidae), on artificial diet. Korean J. Appl. Entomol. 1990, 29, 180–183. [Google Scholar]
- Winston, P.W.; Bates, D.H. Saturated solutions for the control of humidity in biological research. Ecology 1960, 41, 232–237. [Google Scholar] [CrossRef]
- Bandoly, M.; Steppuhn, A. Bioassays to investigate the effects of insect oviposition on a plant’s resistance to herbivores. Bio-Protocol 2016, 6, e1823. [Google Scholar] [CrossRef]
- Weibull, W. A statistical distribution functions with wide applicability. J. Appl. Mech. 1951, 18, 293–297. [Google Scholar] [CrossRef]
- Roy, M.; Brodeur, J.; Cloutier, C. Relationship between temperature and developmental rate of Stethorus punctillum (Coleoptera: Coccinellidae) and its prey Tetranychus mcdanieli (Acarina: Tetranychidae). Environ. Entomol. 2002, 31, 177–187. [Google Scholar] [CrossRef]
- Kontodimas, D.C.; Eliopoulos, P.A.; Stathas, G.J.; Economou, L.P. Comparative temperature-dependent development of Nephus includens (Kirsch) and Nephus bisignatus (Boheman) (Coleoptera: Coccinellidae) preying on Planococcus citri (Risso) (Homoptera: Pseudococcidae): Evaluation of a linear and various nonlinear models using specific criteria. Environ. Entomol. 2004, 33, 1–11. [Google Scholar]
- Shi, P.J.; Reddy, G.V.P.; Chen, L.; Ge, F. Comparison of thermal performance equations in describing temperature-dependent developmental rates of insects: (I) empirical models. Ann. Entomol. Soc. Am. 2016, 109, 211–215. [Google Scholar] [CrossRef]
- Shi, P.J.; Reddy, G.V.P.; Chen, L.; Ge, F. Comparison of thermal performance equations in describing temperature-dependent developmental rates of insects: (II) two thermodynamic models. Ann. Entomol. Soc. Am. 2017, 110, 113–120. [Google Scholar] [CrossRef]
- Kim, D.S.; Ahn, J.J.; Lee, J.-H. A Review for non-linear models describing temperature-dependent development of insect populations: Characteristics and developmental process of models. Korean J. Appl. Entomol. 2017, 56, 1–18. [Google Scholar] [CrossRef]
- Mirhosseini, M.A.; Fathipour, Y.; Reddy, G.V.P. Arthropod development’s response to temperature: A review and new software for modeling. Ann. Entomol. Soc. Am. 2017, 110, 507–520. [Google Scholar] [CrossRef]
- Ratkowsky, D.A.; Reddy, G.V.P. Empirical model with excellent statistical properties for describing temperature-dependent developmental rates of insects and mites. Ann. Entomol. Soc. Am. 2017, 110, 302–309. [Google Scholar] [CrossRef]
- Ikemoto, T. Intrinsic optimum temperature for development of insects and mites. Environ. Entomol. 2005, 34, 1377–1387. [Google Scholar] [CrossRef]
- Han, W.Y.; Park, K.Y.; Choung, M.G.; Kim, H.T.; Ko, J.M.; Baek, I.Y.; Lee, C.Y. Growth characteristics and qualities of Korean soybean landraces. Korean J. Crop Sci. 2008, 53, 89–95. [Google Scholar]
- Kim, D.K.; Choi, J.G.; Kim, S.G.; Lee, K.D.; Seo, M.J.; Kang, B.K.; Ha, T.J. A description of plant and seed morphology of the cowpea cultivar ‘Seonhyeon’. Korean J. Breed. Sci. 2019, 51, 209–213. [Google Scholar] [CrossRef]
- Jandel Scientific. TableCurve User’s Manual; Jandel Scientific: San Rafael, CA, USA, 1994. [Google Scholar]
- SAS, Institute Inc. SAS Use’s Guide. Statistics; SAS, Institute Inc.: Cary, NC, USA, 2002. [Google Scholar]
- Penuelas, J.; Filella, I. Phenology, responses to a warning world. Science 2001, 294, 793–795. [Google Scholar] [CrossRef]
- Walther, G.R.; Post, E.; Convey, P.; Menzel, A.; Parmesan, C.; Beebee, T.J.C.; Fromentin, J.M.; Hoegh-Guldberg, O.; Bairlein, F. Ecological responses to recent climate change. Nature 2002, 416, 389–395. [Google Scholar] [CrossRef]
- Root, T.L.; Price, J.T.; Hall, K.R.; Schneider, S.H.; Rosenzweig, C.; Pounds, J.A. Fingerprints of global warning on wild animals and plants. Nature 2003, 421, 57–60. [Google Scholar] [CrossRef] [PubMed]
- Gillooly, J.F.; Brown, J.H.; West, G.B.; Savage, V.M.; Charnov, E.L. Effects of size and temperature on metabolic rate. Science 2001, 293, 2248–2251. [Google Scholar] [CrossRef] [PubMed]
- Brown, J.H.; Gillooly, J.F.; Allen, A.P.; Savage, V.M.; West, G.B. Toward a metabolic theory of ecology. Ecology 2004, 85, 1771–1789. [Google Scholar] [CrossRef]
- Honex, A.; Kocourex, F. Temperature and development time in insects: A general relationship between thermal constants. Zool. Jahrbücher Abt. Für Systematik 1990, 117, 401–439. [Google Scholar]
- Bellard, C.; Bertelsmeier, C.; Leadley, P.; Thuiller, W.; Courchamp, F. Impacts of climate change on the future of biodiversity. Ecol. Lett. 2012, 15, 365–377. [Google Scholar] [CrossRef]
- Braman, S.K.; Sloderbeck, P.E.; Yeargan, K.V. Effects of temperature on the development and survival of Nabis americoferus and N. roseipennis (Hemiptera: Nabidae). Ann. Entomol. Soc. Am. 1984, 77, 592–596. [Google Scholar] [CrossRef]
- Legg, D.; van Vleet, S.; Lloyd, J. Simulated predictions of insect phenological events made by using mean and median functional lower developmental thresholds. J. Econ. Entomol. 2000, 93, 658–661. [Google Scholar] [CrossRef][Green Version]
- Bale, J.; Masters, G.J.; Hodkins, I.D.; Awmack, C.; Bezemer, T.M.; Brown, V.K.; Buterfield, J.; Buse, A.; Coulson, J.C.; Farrar, J.; et al. Herbivory in global climate change research: Direct effects of rising temperature on insect herbivores. Glob. Change Biol. 2002, 8, 1–16. [Google Scholar] [CrossRef]
- Tobin, P.C.; Nagarkatti, S.; Saunders, M.C. Phenology of grape berry moth (Lepidoptera: Tortricidae) in cultivated grape at selected geographic locations. Environ. Entomol. 2003, 32, 340–346. [Google Scholar] [CrossRef]
- Chakraborty, S.; Newton, A.C. Climate change, plant diseases and food security: An overview. Plant Pathol. 2011, 60, 2–14. [Google Scholar] [CrossRef]
- Ranjbar-Aghdam, H.; Fathipour, Y.; Kontodimas, D.; Radjabi, G.; Rezapanah, M. Age-specific life table parameters and survivorship of an Iranian population of codling moth (Lep.: Tortricidae) at different constant temperatures. Annal. Entomol. Soc. Am. 2009, 102, 233–240. [Google Scholar] [CrossRef]
- Hirano, K.; Honda, K.; Miyai, S. Effects of temperature on development, longevity and reproduction of the soybean aphid, Aphis glycines (Homoptera: Aphididae). Appl. Entomol. Zool. 1996, 31, 178–180. [Google Scholar] [CrossRef]
- Baek, S.; Hwang, A.; Kim, H.; Lee, H.; Lee, J.-H. Temperature-dependent development and oviposition models of Halyomorpha halys (Hemiptera: Pentatomidae). J. Asia-Pac. Entomol. 2017, 20, 367–375. [Google Scholar] [CrossRef]
- Ahn, J.J.; Choi, K.S.; Koh, S. Effects of temperature on the development, fecundity, and life table parameters of Riptortus pedestris (Hemiptera: Alydidae). Appl. Entomol. Zool. 2019, 54, 63–74. [Google Scholar] [CrossRef]
- Yin, R.G.; OuYang, B.Y.; Liu, Y.Y. Studies on the biological characteristic of Spodoptera exigua. Entomol. Knowl. 1994, 31, 7–10. [Google Scholar]
- Murai, T. Development and reproductive capacity of Thrips hawaiiensis (Thysanoptera: Thripidae) and its potential as a major pest. Bull. Entomol. Res. 2001, 91, 193–198. [Google Scholar]
- Neven, L.G. Physiological responses of insects to heat. Postharvest Biol. Technol. 2000, 21, 103–111. [Google Scholar] [CrossRef]
- Van der Have, T.M. A proximate model for thermal tolerance in ectotherms. Oikos 2002, 98, 141–155. [Google Scholar] [CrossRef]
- Bernays, E.A.; Chapman, R.F. Host-Plant Selection by Phytophagous Insects; Chapman and Hall: New York, NY, USA, 1994; p. 312. [Google Scholar]
- Farahani, S.; Naseri, B.; Talebi, A.A. Comparative life table parameters of the beet armyworm, Spodoptera exigua (Hübner) (Lep.: Noctuidae) on five host plants. J. Entomol. Res. Soc. 2011, 13, 91–101. [Google Scholar]
- Panizzi, A.R.; Silva, F.A.C. Insetos Sugadores de Sementes (Heteroptera). In Bioecologia e Nutrição de Insetos: Bases Para o Manejo Integrado de Pragas; Panizzi, A.R., Parra, J.R.P., Eds.; EMBRAPA (Empressa Brasileira de Pesquisa Agropecuária) Informação Tecnológica: Brasília, Brazil, 2009; pp. 465–522. [Google Scholar]
- East, D.A.; Edelson, J.V.; Cartwright, B. Relative cabbage consumption by the cabbage looper (Lepidoptera: Noctuidae), beet armyworm (Lepidoptera: Noctuidae), and diamondback moth (Lepidoptera: Plutellidae). J. Econ. Entomol. 1989, 82, 1367–1369. [Google Scholar] [CrossRef]
- East, D.A.; Edelson, J.V.; Cartwright, B.; Harris, M.K. Beet armyworm (Lepidoptera: Noctuidae) feeding impact on cabbage development and marketability. J. Econ. Entomol. 1994, 87, 1641–1646. [Google Scholar] [CrossRef]
- Meade, T.; Hare, J.D. Differential performance of beet armyworm and cabbage looper (Lepidoptera: Noctuidae) larvae on selected Apium graveolens cultivars. Environ. Entomol. 1991, 20, 1636–1644. [Google Scholar] [CrossRef]
- Yoshida, H.A.; Parrella, M.P. Development and use of selected chrysanthemum cultivars by Spodoptera exigua (Lepidoptera: Noctuidae). Environ. Entomol. 1992, 85, 2377–2382. [Google Scholar] [CrossRef]
- Itoyama, K.; Kawahira, Y.; Murata, M.; Tojo, S. Fluctuation of some characteristics in the common cut- worm, Spodoptera litura (Lepidoptera: Noctuidae) reared under different diets. Appl. Entomol. Zool. 1999, 34, 315–321. [Google Scholar] [CrossRef]
- Cao, Y.; Li, C.; Yang, W.J.; Meng, Y.L.; Wang, L.J.; Shang, B.Z.; Gao, Y.L. Effects of temperature on the development and reproduction of Thrips hawaiiensis (Thysanoptera: Thripidae). J. Econ. Entomol. 2018, 111, 755–760. [Google Scholar] [CrossRef]
- Butler, G.D. Development of the beet armyworm and its parasite Chelonus texanus in relation to temperature. J. Econ. Entomol. 1966, 59, 1324–1327. [Google Scholar] [CrossRef]
- Lee, K.P.; Roh, C. Temperature-by-nutrient interactions affecting growth rate in an insect ectotherm. Entomol. Exp. Appl. 2010, 136, 151–163. [Google Scholar] [CrossRef]
- McCalla, K.A.; Keçeci, M.; Milosavljević, I.; Ratkowsky, D.A.; Hoddle, M.S. The influence of temperature variation on life history parameters and thermal performance curves of Tamarixia radiata (Hymenoptera: Eulophidae), a parasitoid of the Asian citrus psyllid (Hemiptera: Liviidae). J. Econ. Entomol. 2019, 112, 1560–1574. [Google Scholar] [CrossRef]
- Quinn, B.K. A critical review of the use and performance of different function types for modeling temperature-dependent development of arthropod larvae. J. Therm. Biol. 2017, 63, 65–77. [Google Scholar] [CrossRef]
- Dixon, A.F.G.; Honĕk, A.; Kell, P.; Kotela, M.A.A.; Šizling, A.L.; Jarošik, V. Relationship between the minimum and maximum temperature thresholds for development in insects. Funct. Ecol. 2009, 23, 257–264. [Google Scholar] [CrossRef]
- Quinn, B.K. Performance of the SSI development function compared with 33 other functions applied to 79 arthropod species’ datasets. J. Therm. Biol. 2021, 102, 103–112. [Google Scholar] [CrossRef] [PubMed]
- Shi, P.J.; Li, B.L.; Ge, F. Intrinsic optimum temperature of the diamondback moth and its ecological meaning. Environ. Entomol. 2012, 41, 714–722. [Google Scholar] [CrossRef] [PubMed]
- Padmavathi, C.; Katti, G.; Sailaja, V.; Padmakumari, A.P.; Jhansilakshmi, V.; Prabhakar, M.; Prasad, Y.G. Temperature thresholds and thermal requirements for the development of the rice leaf folder, Cnaphalocrocis medinalis. J. Insect Sci. 2013, 13, 96. [Google Scholar] [CrossRef] [PubMed]
- Sørensen, J.G.; Addison, M.F.; Terblanche, J.S. Mass-rearing of insects for pest management: Challenges, synergies and advances from evolutionary physiology. Crop Prot. 2012, 38, 87–94. [Google Scholar] [CrossRef]
- Kristensen, T.N.; Hoffmann, A.A.; Overgaard, J.; Sørensen, J.G.; Hallas, R.; Loeschcke, V. Costs and benefits of cold acclimation in field-released Drosophila. Proc. Natl. Acad. Sci. USA 2008, 105, 216–221. [Google Scholar] [CrossRef]
- Chidawanyika, F.; Terblanche, J.S. Costs and benefits of thermal acclimation for codling moth, Cydia pomonella (Lepidoptera: Tortricidae): Implications for pest control and the sterile insect release programme. Evol. Appl. 2011, 4, 534–544. [Google Scholar] [CrossRef]
- Maharjan, R.; Jung, C. Thermal requirements and development of the Korean population of the potato leafminer, Liriomyza huidobrensis (Diptera: Agromyzidae). J. Asia-Pac. Entomol. 2016, 19, 595–601. [Google Scholar] [CrossRef]
- Loof, A.D. Longevity and aging in insects: Is reproduction costly; cheap; beneficial or irrelevant? A critical evaluation of the “trade-off” concept. J. Insect Physiol. 2011, 57, 1–11. [Google Scholar] [CrossRef]
- Honek, A. Constraints on thermal requirements for insect development. Entomol. Sci. 1999, 2, 615–621. [Google Scholar]
- Gilbert, N.; Gutierrez, P.A.; Frazer, D.B.; Jones, R.E. Ecological Relationships; W. H. Freeman and Co.: Reading, UK, 1976; p. 157. [Google Scholar]
- Jervis, M.A.; Copland, M.J.W. The Life Cycle. In Insect Natural Enemies, Practical Approaches to Their Study and Evaluation; Jervis, M., Kidd, N., Eds.; Chapman & Hall: London, UK, 1996; pp. 63–161. [Google Scholar]
- Young, L.J.; Young, J.H. Statistical Ecology; Kluwer Academic Publishers: Boston, MA, USA, 1998; p. 565. [Google Scholar]
- Worner, S.P. Performance of phonological models under variable temperature regimes: Consequence of the Kaufman or rate summation effect. Environ. Entomol. 1992, 21, 689–699. [Google Scholar] [CrossRef]
- Cox, D.L.; Remick, M.D.; Lasota, J.A.; Dybas, R.A. Toxicity of avermectins to Liriomyza trifolii (Diptera: Agromyzidae) larvae and adults. J. Econ. Entomol. 1995, 88, 1415–1419. [Google Scholar] [CrossRef]
- Wang, K.; Tsai, J.H.; Harrison, N.A. Influence of temperature on development, survivorship, and reproduction of buckthorn aphid (Homoptera: Aphididae). Ann. Entomol. Soc. Am. 1997, 90, 62–68. [Google Scholar] [CrossRef]
- Omar, A.M.; Johnson, M.W.; Tabashnik, B.E. Demography of the leafminer parasitoid Ganaspidium unilis Beardsley (Hymenoptera: Eucolidae) at different temperatures. Biol. Cont. 1996, 6, 29–34. [Google Scholar] [CrossRef]
- Infante, F. Development and population growth rates of Prorops nasuta (Hym., Bethylidae) at constant temperatures. J. Appl. Entomol. 2000, 124, 343–348. [Google Scholar] [CrossRef]
Publisher’s Note: MDPI stays neutral with regard to jurisdictional claims in published maps and institutional affiliations. |
© 2022 by the authors. Licensee MDPI, Basel, Switzerland. This article is an open access article distributed under the terms and conditions of the Creative Commons Attribution (CC BY) license (https://creativecommons.org/licenses/by/4.0/).






