Natural and Synthetic Pyrethrins Act as Feeding Deterrents against the Black Blowfly, Phormia regina (Meigen)
Abstract
:Simple Summary
Abstract
1. Introduction
2. Materials and Methods
2.1. Fly Handling and Rearing
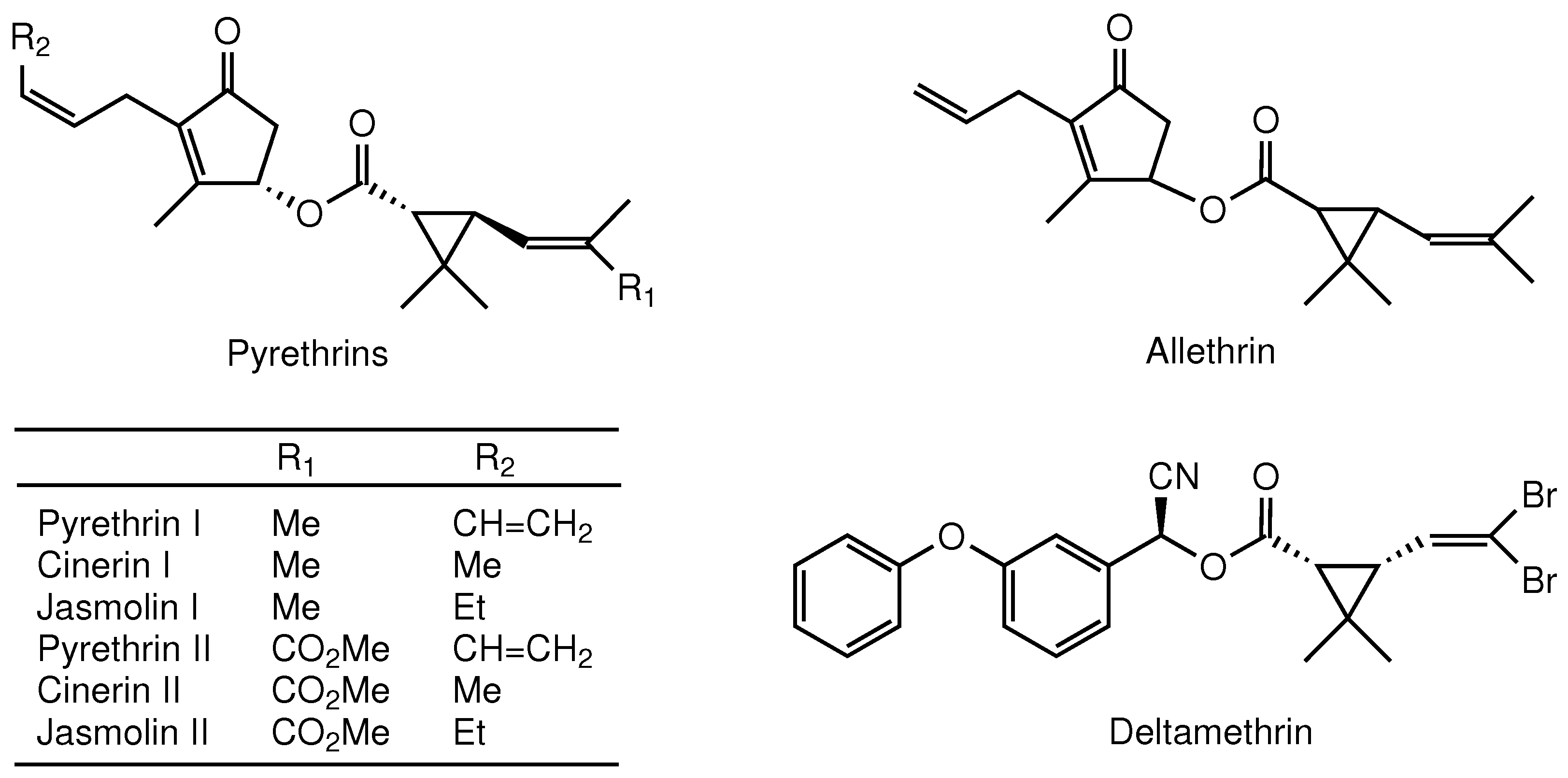
2.2. Chemicals
2.3. Evaluation of Feeding Deterrence
2.4. Calculation of Food Intake
2.5. Analysis of Feeding Deterrence and Knockdown (KD) Activity
2.6. Baseline Validation of a Choice-Feeding Assay
2.7. Determination of Effective Concentrations and Estimation of Individual Intake
2.8. Characterization of Feeding Deterrence of Pyrethrins and Pyrethroids
2.9. Statistical Analysis
3. Results
3.1. Baseline Validation of the Choice-Feeding Assay
3.2. Evaluation of Feeding Deterrence
3.3. Grooming of the Proboscis Characterizes Feeding Deterrence of Pyrethrins and Pyrethroids
4. Discussion
Supplementary Materials
Author Contributions
Funding
Institutional Review Board Statement
Data Availability Statement
Acknowledgments
Conflicts of Interest
References
- Macover, D.R. Constituents of pyrethrum extract. In Pyrethrum Flowers: Production, Chemistry, Toxicology, and Uses; Casida, J.E., Quistad, G.B., Eds.; Oxford University Press: Oxford, UK, 1995; pp. 109–122. [Google Scholar]
- Anadón, A.; Arés, I.; Martínez, M.A.; Martínez-Larrañaga, M.R. Pyrethrins and synthetic pyrethroids: Use in veterinary medicine. In Natural Products: Phytochemistry, Botany and Metabolism of Alkaloids, Phenolics and Terpenes; Ramawat, K.G., Mérillon, J.-M., Eds.; Springer: Berlin/Heidelberg, Germany, 2013; pp. 4061–4086. [Google Scholar]
- Casida, J.E. Pyrethrum: The Natural Insecticide; Academic Press: Cambridge, MA, USA, 1973. [Google Scholar]
- Narahashi, T. Nerve membrane Na+ channels as targets of insecticides. Trends Pharmacol. Sci. 1992, 13, 236–241. [Google Scholar] [CrossRef]
- Soderlund, D. Mode of action of pyrethrins and pyrethroids. In Pyrethrum Flowers: Production, Chemistry, Toxicology, and Uses; Casida, J.E., Quistad, G.B., Eds.; Oxford University Press: Oxford, UK, 1995; pp. 217–233. [Google Scholar]
- Chen, M.; Du, Y.; Zhu, G.; Takamatsu, G.; Ihara, M.; Matsuda, K.; Zhorov, B.S.; Dong, K. Action of six pyrethrins purified from the botanical insecticide pyrethrum on cockroach sodium channels expressed in Xenopus oocytes. Pestic. Biochem. Physiol. 2018, 151, 82–89. [Google Scholar] [CrossRef] [PubMed]
- Bloomquist, J.R. Ion channels as targets for insecticides. Annu. Rev. Entomol. 1996, 41, 163–190. [Google Scholar] [CrossRef] [PubMed]
- Campos, E.V.R.; Proença, P.L.F.; Oliveira, J.L.; Bakshi, M.; Abhilash, P.C.; Fraceto, L.F. Use of botanical insecticides for sustainable agriculture: Future perspectives. Ecol. Indic. 2019, 105, 483–495. [Google Scholar] [CrossRef]
- Isman, M.B. Botanical insecticides, deterrents, and repellents in modern agriculture and an increasingly regulated world. Annu. Rev. Entomol. 2006, 51, 45–66. [Google Scholar] [CrossRef] [PubMed]
- Lybrand, D.B.; Xu, H.; Last, R.L.; Pichersky, E. How plants synthesize pyrethrins: Safe and biodegradable insecticides. Trends Plant Sci. 2020, 25, 1240–1251. [Google Scholar] [CrossRef]
- Yang, T.; Stoopen, G.; Wiegers, G.; Mao, J.; Wang, C.; Dicke, M.; Jongsma, M.A. Pyrethrins protect pyrethrum leaves against attack by western flower thrips, Frankliniella occidentalis. J. Chem. Ecol. 2012, 38, 370–377. [Google Scholar] [CrossRef]
- Prota, N.; Bouwmeester, H.J.; Jongsma, M.A. Comparative antifeedant activities of polygodial and pyrethrins against whiteflies (Bemisia tabaci) and aphids (Myzus persicae). Pest Manag. Sci. 2014, 70, 682–688. [Google Scholar] [CrossRef]
- Manda, H.; Shah, P.; Polsomboon, S.; Chareonviriyaphap, T.; Castro-Llanos, F.; Morrison, A.; Burrus, R.G.; Grieco, J.P.; Achee, N.L. Contact irritant responses of Aedes aegypti using sublethal concentration and focal application of pyrethroid chemicals. PLoS Negl. Trop. Dis. 2013, 7, e2074. [Google Scholar] [CrossRef]
- Obermayr, U. Excitorepellency. In Insect Repellents Handbook; Mustapha, D., Frances, S.P., Strickman, D.A., Eds.; CRC Press: Boca Raton, FL, USA, 2015; pp. 91–115. [Google Scholar]
- Achee, N.L.; Sardelis, M.R.; Dusfour, I.; Chauhan, K.R.; Grieco, J.P. Characterization of spatial repellent, contact irritant, and toxicant chemical actions of standard vector control compounds. J. Am. Mosq. Control Assoc. 2009, 25, 156–167. [Google Scholar] [CrossRef]
- Maia, M.F.; Moore, S. Plant-based insect repellents: A review of their efficacy, development and testing. Malar. J. 2011, 10, S11. [Google Scholar] [CrossRef]
- Ruscoe, C.N.E. The new nrdc pyrethroids as agricultural insecticides. Pestic. Sci. 1977, 8, 236–242. [Google Scholar] [CrossRef]
- Tan, K.-H. Antifeeding effect of cypermethrin and permethrin at sub-lethal levels against Pieris brassicae larvae. Pestic. Sci. 1981, 12, 619–626. [Google Scholar] [CrossRef]
- Kumar, K.; Chapman, R.B. Sublethal effects of insecticides on the diamondback moth Plutella xylostella (L.). Pestic. Sci. 1984, 15, 344–352. [Google Scholar] [CrossRef]
- Gist, G.L.; Pless, C.D. Feeding deterrent effects of synthetic pyrethroids on the fall armyworm, Spodoptera frugiperda. Fla. Entomol. 1985, 68, 456–461. [Google Scholar] [CrossRef]
- Dobrin, G.C.; Hammond, R.B. The antifeeding activity of selected pyrethroids towards the mexican bean beetle (Coleoptera: Coccinellidae). J. Kans. Entomol. Soc. 1985, 58, 422–427. [Google Scholar]
- Hajjar, M.J.; Ford, J.B. The effect of cypermethrin on the feeding of mustard beetles Phaedon cochleariae (F.). Ann. Appl. Biol. 1990, 116, 279–286. [Google Scholar] [CrossRef]
- Baumler, R.E.; Potter, D.A. Knockdown, residual, and antifeedant activity of pyrethroids and home landscape bioinsecticides against Japanese beetles (Coleoptera: Scarabaeidae) on linden foliage. J. Econ. Entomol. 2007, 100, 451–458. [Google Scholar] [CrossRef]
- Dethier, V.G. The Hungry Fly: A Physiological Study of the Behavior Associated with Feeding; Harvard University Press: Cambridge, MA, USA, 1976. [Google Scholar]
- Thoma, V.; Kobayashi, K.; Tanimoto, H. The role of the gustatory system in the coordination of feeding. Eneuro 2017, 4, ENEURO.0324-17.2017. [Google Scholar] [CrossRef]
- Mahishi, D.; Huetteroth, W. The prandial process in flies. Curr. Opin. Insect Sci. 2019, 36, 157–166. [Google Scholar] [CrossRef] [PubMed]
- Chen, Y.-C.D.; Dahanukar, A. Recent advances in the genetic basis of taste detection in Drosophila. Cell. Mol. Life Sci. 2020, 77, 1087–1101. [Google Scholar] [CrossRef]
- Liscia, A.; Solari, P. Bitter taste recognition in the blowfly: Electrophysiological and behavioral evidence. Physiol. Behav. 2000, 70, 61–65. [Google Scholar] [CrossRef]
- Gordesky-Gold, B.; Rivers, N.; Ahmed, O.; Breslin, P. Drosophila melanogaster prefers compounds perceived sweet by humans. Chem. Senses 2008, 33, 301–309. [Google Scholar] [CrossRef] [PubMed]
- Shiraiwa, T.; Carlson, J. Proboscis extension response (PER) assay in Drosophila. J. Vis. Exp. 2007, 3, e193. [Google Scholar] [CrossRef] [PubMed]
- French, A.S.; Sellier, M.-J.; Ali Agha, M.; Guigue, A.; Chabaud, M.-A.; Reeb, P.D.; Mitra, A.; Grau, Y.; Soustelle, L.; Marion-Poll, F. Dual mechanism for bitter avoidance in Drosophila. J. Neurosci. 2015, 35, 3990–4004. [Google Scholar] [CrossRef] [PubMed]
- Maeda, T.; Tamotsu, M.; Yamaoka, R.; Ozaki, M. Effects of floral scents and their dietary experiences on the feeding preference in the blowfly, Phormia regina. Front. Integr. Neurosci. 2015, 9, 59. [Google Scholar] [CrossRef]
- Ja, W.W.; Carvalho, G.B.; Mak, E.M.; de la Rosa, N.N.; Fang, A.Y.; Liong, J.C.; Brummel, T.; Benzer, S. Prandiology of Drosophila and the CAFE assay. Proc. Natl. Acad. Sci. USA 2007, 104, 8253–8256. [Google Scholar] [CrossRef]
- Qi, W.; Yang, Z.; Lin, Z.; Park, J.-Y.; Suh, G.S.B.; Wang, L. A quantitative feeding assay in adult Drosophila reveals rapid modulation of food ingestion by its nutritional value. Mol. Brain 2015, 8, 87. [Google Scholar] [CrossRef]
- Diegelmann, S.; Jansen, A.; Jois, S.; Kastenholz, K.; Velo Escarcena, L.; Strudthoff, N.; Scholz, H. The CApillary FEeder assay measures food intake in Drosophila melanogaster. J. Vis. Exp. 2017, 121, e55024. [Google Scholar] [CrossRef]
- French, A.; Ali Agha, M.; Mitra, A.; Yanagawa, A.; Sellier, M.-J.; Marion-Poll, F. Drosophila bitter taste(s). Front. Integr. Neurosci. 2015, 9, 58. [Google Scholar] [CrossRef]
- Rimal, S.; Sang, J.; Poudel, S.; Thakur, D.; Montell, C.; Lee, Y. Mechanism of acetic acid gustatory repulsion in Drosophila. Cell Rep. 2019, 26, 1432–1442. [Google Scholar] [CrossRef] [PubMed]
- Kawamoto, M.; Moriyama, M.; Ashida, Y.; Matsuo, N.; Tanabe, Y. Total syntheses of all six chiral natural pyrethrins: Accurate determination of the physical properties, their insecticidal activities, and evaluation of synthetic methods. J. Org. Chem. 2020, 85, 2984–2999. [Google Scholar] [CrossRef] [PubMed]
- Charlu, S.; Wisotsky, Z.; Medina, A.; Dahanukar, A. Acid sensing by sweet and bitter taste neurons in Drosophila melanogaster. Nat. Commun. 2013, 4, 2042. [Google Scholar] [CrossRef]
- Ravindran, R.; Juliet, S.; Ajith Kumar, K.G.; Sunil, A.R.; Amithamol, K.K.; Nair, S.N.; Chandrasekhar, L.; Sujith, S.; Bandyapadhyay, A.; Rawat, A.K.; et al. Effects of solvents and surfactants against Haemaphysalis bispinosa. Trop. Biomed. 2011, 28, 482–486. [Google Scholar] [PubMed]
- Ravindran, R.; Juliet, S.; Gopalan, A.K.K.; Kavalimakkil, A.K.; Ramankutty, S.A.; Nair, S.N.; Narayanan, P.M.; Ghosh, S. Toxicity of DMSO, Triton X 100 and Tween 20 against Rhipicephalus (Boophilus) annulatus. J. Parasit. Dis. Off. Organ Indian Soc. Parasitol. 2011, 35, 237–239. [Google Scholar] [CrossRef]
- Cvetković, V.; Lj, T.; Mitrović, T.; Jovanović, B.; Stamenkovic, S.; Todorović, M.; Đorđević, M.; Radulović, N. Toxicity of dimethyl sulfoxide against Drosophila melanogaster. Biol. Nyssana 2015, 6, 37–41. [Google Scholar]
- Machova, J.; Prokeš, M.; Kocour Kroupova, H.; Svobodová, Z.; Mácová, S.; Dolezelova, P.; Velisek, J. Early ontogeny, growth and mortality of common carp (Cyprinus carpio) at low concentrations of dimethyl sulfoxide. Acta Vet. Brno 2009, 78, 505–512. [Google Scholar] [CrossRef]
- Pagán, O.R.; Rowlands, A.L.; Urban, K.R. Toxicity and behavioral effects of dimethylsulfoxide in planaria. Neurosci. Lett. 2006, 407, 274–278. [Google Scholar] [CrossRef]
- Holan, G.; O’Keefe, D.F.; Virgona, C.; Walser, R. Structural and biological link between pyrethroids and DDT in new insecticides. Nature 1978, 272, 734. [Google Scholar] [CrossRef]
- Holan, G.; Poppleton, T.H. Insect sensory nerve potentials: Effects of insecticides. In Proceedings of the Insect Neurobiology and Pesticide Action (Neurotox 79), York, UK, 3–7 September 1979; pp. 73–78. [Google Scholar]
- Virgona, C.; Holan, G.; Shipp, E.; Spurling, T.H.; Quint, G. Neurophysiological effects of insecticides on the labellar taste receptors of Lucilia cuprina Wied. Pestic. Biochem. Physiol. 1982, 18, 169–173. [Google Scholar] [CrossRef]
- Holan, G.; Johnson, W.M.P.; Rihs, K.; Virgona, C.T. A neurophysiological study of DDT-pyrethroid isosteres on the labellar hair receptor of Lucilia cuprina. Pestic. Sci. 1984, 15, 637–641. [Google Scholar] [CrossRef]
- Lucas, P.; Renou, M. Electrophysiological study of the effects of deltamethrin, bioresmethrin, and DDT on the activity of pheromone receptor neurones in two moth species. Pestic. Biochem. Physiol. 1992, 43, 103–115. [Google Scholar] [CrossRef]
- Lund, A.E.; Narahashi, T. Kinetics of sodium channel modification as the basis for the variation in the nerve membrane effects of pyrethroids and DDT analogs. Pestic. Biochem. Physiol. 1983, 20, 203–216. [Google Scholar] [CrossRef]
- Hendy, C.H.; Djamgoz, M.B.A. Effects of deltamethrin on ventral nerve cord activity in the cockroach. Pestic. Sci. 1985, 16, 520–529. [Google Scholar] [CrossRef]
- Sawicki, R.M.; Thain, E.M. Insecticidal activity of pyrethrum extract and its four insecticidal constituents against house flies. IV.—Knock-down activities of the four constituents. J. Sci. Food Agric. 1962, 13, 292–297. [Google Scholar] [CrossRef]
- Sawicki, R.M. Insecticidal activity of pyrethrum extract and its four insecticidal constituents against house flies. III.—Knock-down and recovery of flies treated with pyrethrum extract with and without piperonyl butoxide. J. Sci. Food Agric. 1962, 13, 283–292. [Google Scholar] [CrossRef]
- Tsuda, K.; Abe, Y.; Fujita, Y.Y. Studies on pyrethroidal compounds part II: Comparative activity of pyrethrins I, pyrethrins II and other synthetic pyrethroidal compounds. Botyu Kagaku 1972, 37, 48–56. [Google Scholar]
- Farnham, A.W. Genetics of resistance of pyrethroid-selected houseflies, Musca domestica L. Pestic. Sci. 1973, 4, 513–520. [Google Scholar] [CrossRef]
- Sheppard, D.C.; Swedlund, B. Toxicity of Individual Pyrethrin Esters to House Flies (Diptera: Muscidae). J. Entomol. Sci. 2000, 35, 279–282. [Google Scholar] [CrossRef]
- Yan, R.; Zhou, Q.; Xu, Z.; Wu, Y.; Zhu, G.; Wang, M.; Guo, Y.; Dong, K.; Chen, M. Pyrethrins elicit olfactory response and spatial repellency in Aedes albopictus. Pest Manag. Sci. 2021, 77, 3706–3712. [Google Scholar] [CrossRef]
- Sougoufara, S.; Yorkston-Dives, H.; Aklee, N.M.; Rus, A.C.; Zairi, J.; Tripet, F. Standardised bioassays reveal that mosquitoes learn to avoid compounds used in chemical vector control after a single sub-lethal exposure. Sci. Rep. 2022, 12, 2206. [Google Scholar] [CrossRef] [PubMed]
- Dong, K.; Du, Y.; Rinkevich, F.; Nomura, Y.; Xu, P.; Wang, L.; Silver, K.; Zhorov, B.S. Molecular biology of insect sodium channels and pyrethroid resistance. Insect Biochem. Mol. Biol. 2014, 50, 1–17. [Google Scholar] [CrossRef] [PubMed]



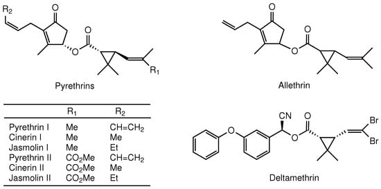
| Test Compounds | MEC § (Effect) | Estimated Individual Intake (ng) | Behavior at the MEC £ | |||
|---|---|---|---|---|---|---|
| Number of Visits | % of Proboscis Grooming | KD Rate (%) | ||||
| Tastants | NaCl | 250 mM (FD) | 137742 ± 28097 e | 3.57 ± 0.39 a (n = 21) | 0 a | 0 a |
| Quinine | 1 mM (FD) | 602 ± 169 d | 3.70 ± 0.47 a (n =23) | 0 a | 0 a | |
| Tartaric acid | 62.5 mM (FD) | 20947 ± 6658 d | 3.73 ± 0.30 a (n = 22) | 0 a | 0 a | |
| Insecticides | Natural pyrethrins | 62.5 μM (FD) | 39.2 ± 16.7 a | 1.75 ± 0.21 bc (n = 24) | 90.2 b | 2.9 a |
| Synthetic pyrethrin I | 62.5 μM (FD) | 199.9 ± 34.2 c | 2.18 ± 0.21 c (n = 22) | 95.5 b | 10.0 a | |
| Synthetic pyrethrin II | 62.5 μM (FD) | 75.8 ± 16.7 ab | 2.78 ± 0.25 ab (n = 27) | 97.4 b | 0 a | |
| Allethrin | 62.5 μM (FD) | 141.4 ± 17.6 bc | 3.13 ± 0.27 ab (n = 32) | 90.3 b | 0 a | |
| Deltamethrin | 3.9 μM (KD) | 12.5 ± 2.6 a | 3.36 ± 0.47 a (n = 22) | 7.95 a | 51.2 b | |
| Control solution | Sucrose 0.1 M (incl. DMSO 1%) | 4.08 ± 0.41 a (n = 24) | 0 a | 0 a | ||
Publisher’s Note: MDPI stays neutral with regard to jurisdictional claims in published maps and institutional affiliations. |
© 2022 by the authors. Licensee MDPI, Basel, Switzerland. This article is an open access article distributed under the terms and conditions of the Creative Commons Attribution (CC BY) license (https://creativecommons.org/licenses/by/4.0/).
Share and Cite
Kojima, T.; Yamato, S.; Kawamura, S. Natural and Synthetic Pyrethrins Act as Feeding Deterrents against the Black Blowfly, Phormia regina (Meigen). Insects 2022, 13, 678. https://doi.org/10.3390/insects13080678
Kojima T, Yamato S, Kawamura S. Natural and Synthetic Pyrethrins Act as Feeding Deterrents against the Black Blowfly, Phormia regina (Meigen). Insects. 2022; 13(8):678. https://doi.org/10.3390/insects13080678
Chicago/Turabian StyleKojima, Takeshi, Seiji Yamato, and Shinichi Kawamura. 2022. "Natural and Synthetic Pyrethrins Act as Feeding Deterrents against the Black Blowfly, Phormia regina (Meigen)" Insects 13, no. 8: 678. https://doi.org/10.3390/insects13080678
APA StyleKojima, T., Yamato, S., & Kawamura, S. (2022). Natural and Synthetic Pyrethrins Act as Feeding Deterrents against the Black Blowfly, Phormia regina (Meigen). Insects, 13(8), 678. https://doi.org/10.3390/insects13080678
