Attachment Performance of Stick Insects (Phasmatodea) on Plant Leaves with Different Surface Characteristics
Abstract
Simple Summary
Abstract
1. Introduction
2. Materials and Methods
2.1. Species
2.2. Experimental Substrates
2.3. Force Measurement
2.3.1. Claw Manipulations
2.3.2. Contamination Effects
2.4. Claw Metrics
2.5. Surface Characterization
2.6. Statistical Analysis
3. Results
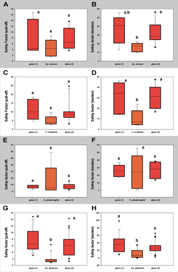
3.1. Force Measurements
3.1.1. Force Measurement after Claw Manipulations
3.1.2. Contamination Effects
3.2. Leaf Surface Characteristics
4. Discussion
4.1. Attachment Performance on the Different Plant Leaves
4.2. Impact of the Claws
4.3. Comparison of Attachment Performance between the Two Species
4.4. Lasting of Contaminating Effects
5. Conclusions
- (I)
- The highest attachment ability is observed on the microstructured, hydrophilic leaves of H. ghiesbreghtii and the trichome-covered leaves of T. urvilleana. Strong surface corrugations and high substrate waviness are beneficial for the function of both claws and their combination with attachment pads. Epicuticular wax crystals on the surface of Eu. globulus leaves caused the lowest attachment ability for the Phasmatodea species studied.
- (II)
- The claws of the insects did have the strongest impact on the attachment on leaves with trichomes or strong surface corrugations. There was no significant difference between the two tested species of stick insects (M. extradentata and S. inexpectata) with intact claws despite different size of the claws.
- (III)
- Removing the claws showed better performance of attachment pads with nubby microstructures in face of wax-crystal-covered leaves that potentially contaminate the attachment pads.
- (IV)
- The long-lasting effects of the leaf surfaces on attachment were not evidenced. In summary, the attachment of Phasmatodea was affected by the different substrates, with rough surface and trichome coverage being beneficial for attachment. The wax crystals on the plant surface provided the highest potential for protection of the plant through decreasing the attachment of insects.
Supplementary Materials
Author Contributions
Funding
Data Availability Statement
Acknowledgments
Conflicts of Interest
References
- Southwood, T.R.E. The insect/plant relationship—An evolutionary perspective. Symp. R. Entomol. Soc. Lond. 1973, 6, 3–30. [Google Scholar]
- Scott, A.C.; Paterson, S. Techniques for the study of plant/arthropod interactions in the fossil record. Geobios 1984, 17, 449–457. [Google Scholar] [CrossRef]
- Chartier, M.; Gibernau, M.; Renner, S.S. The evolution of pollinator-plant interaction types in the Araceae. Evolution 2013, 68, 1533–1543. [Google Scholar] [CrossRef]
- Gorb, E.V.; Gorb, S.N. Anti-adhesive surfaces in plants and their biomimetic potential. RSC Smart Mater. 2013, 4, 282–309. [Google Scholar] [CrossRef]
- Ohmart, C.P.; Edwards, P.B. Insect herbivory on Eucalyptus. Annu. Rev. Entomol. 1991, 36, 637–657. [Google Scholar] [CrossRef]
- Gorb, E.V.; Gorb, S.N. Attachment ability of the beetle Chrysolina fastuosaon various plant surfaces. Entomol. Exp. Appl. 2002, 105, 13–28. [Google Scholar] [CrossRef]
- Rebora, M.; Salerno, G.; Piersanti, S.; Gorb, E.V.; Gorb, S.N. Role of Fruit Epicuticular Waxes in Preventing Bactrocera oleae (Diptera: Tephritidae) Attachment in Different Cultivars of Olea europaea. Insects 2020, 11, 189. [Google Scholar] [CrossRef]
- Gaume, L.; Gorb, S.N.; Rowe, N. Function of epidermal surfaces in the trapping efficiency of Nepenthes alata pitchers. New Phytol. 2002, 156, 479–489. [Google Scholar] [CrossRef]
- Gorb, E.V.; Kastner, V.; Peressadko, A.; Arzt, E.; Gaume, L.; Rowe, N.; Gorb, S.N. Structure and properties of the glandular surface in the digestive zone of the pitcher in the carnivorous plant Nepenthes ventrata and its role in insect trapping and retention. J. Exp. Biol. 2004, 207, 2947–2963. [Google Scholar] [CrossRef]
- Levin, D.A. The role of trichomes in plant defense. Q. Rev. Biol. 1973, 48, 3–15. [Google Scholar] [CrossRef]
- Stipanovic, R.D. Function and chemistry of plant trichomes and glands in insect resistance: Protective chemicals in plant epidermal glands and appendages. Am. Chem. Soc. 1983, 208, 69–100. [Google Scholar] [CrossRef]
- Johnson, H.B. Plant pubescence: An ecological perspective. Bot. Rev. 1975, 41, 233–258. [Google Scholar] [CrossRef]
- Lee, Y.I.; Kogan, M.; Larsen, J.R. Attachment of the potato leafhopper to soybean plant surfaces as affected by morphology of the pretarsus. Entomol. Exp. Appl. 1986, 42, 101–107. [Google Scholar] [CrossRef]
- Voigt, D.; Gorb, E.V.; Gorb, S.N. Plant surface-bug interactions: Dicyphus errans stalking along trichomes. Arthropod-Plant Interact. 2007, 1, 221–243. [Google Scholar] [CrossRef]
- Koch, K. Design of hierarchically sculptured biological surfaces with anti-adhesive properties. In Proceedings of the Beilstein Bozen Symposium on Functional Nanoscience, Bozen, Italy, 17–21 May 2010; pp. 167–178. [Google Scholar]
- Chang, G.C.; Neufeld, J.; Eigenbrode, S.D. Leaf surface wax and plant morphology of peas influence insect density. Entomol. Exp. Appl. 2006, 119, 197–205. [Google Scholar] [CrossRef]
- Salerno, G.; Rebora, M.; Gorb, E.V.; Gorb, S.N. Attachment ability of the polyphagous bug Nezara viridula (Heteroptera: Pentatomidae) to different host plant surfaces. Sci. Rep. 2018, 8, 10975. [Google Scholar] [CrossRef]
- Salerno, G.; Rebora, M.; Piersanti, S.; Büscher, T.H.; Gorb, E.V.; Gorb, S.N. Oviposition site selection and attachment ability of Propylea quatuordecimpunctata and Harmonia axyridis from the egg to the adult stage. Physiol. Entomol. 2022, 47, 20–37. [Google Scholar] [CrossRef]
- Jones, L.C.; Rafter, M.A.; Walter, G.H. Host interaction mechanisms in herbivorous insects—Life cycles, host specialization and speciation. Biol. J. Linn. Soc. 2022, 137, 1–14. [Google Scholar] [CrossRef]
- Salerno, G.; Rebora, M.; Piersanti, S.; Gorb, E.V.; Gorb, S.N. Mechanical ecology of fruit-insect interaction in the adult Mediterranean fruit fly Ceratitis capitata (Diptera: Tephritidae). Zoology 2020, 139, 125748. [Google Scholar] [CrossRef] [PubMed]
- Brock, P.D.; Büscher, T.H.; Baker, E. Phasmida species file online: Phasmida species file version 5.0/5.0. In Species 2000 and ITIS Catalogue of Life; Roskov, Y., Kunze, T., Paglinawan, L., Orrell, T., Nicolson, D., Culham, A., Bailly, N., Kirk, P., Bourgoin, T., Baillargeon, G., et al., Eds.; Naturalis: Leiden, The Netherlands, 2017; Available online: www.catalogueoflife.org/col (accessed on 15 September 2022).
- Brock, P.D.; Büscher, T.H. Phasmids of the World; NAP Editions: Verrières-le-Buisson, France, 2022. [Google Scholar]
- Bedford, G.O. Biology and ecology of the Phasmatodea. Annu. Rev. Entomol. 1978, 23, 125–149. [Google Scholar] [CrossRef]
- Gottardo, M.; Vallotto, D.; Beutel, R.G. Giant stick insects reveal unique ontogenetic changes in biological attachment devices. Arthropod Struct. Dev. 2015, 44, 195–199. [Google Scholar] [CrossRef] [PubMed]
- Büscher, T.H.; Buckley, T.R.; Grohmann, C.; Gorb, S.N.; Bradler, S. The Evolution of tarsal adhesive microstructures in stick and leaf insects (Phasmatodea). Front. Ecol. Evol. 2018, 6, 69. [Google Scholar] [CrossRef]
- Büscher, T.H.; Gorb, S.N. Complementary effect of attachment devices in stick insects (Phasmatodea). J. Exp. Biol. 2019, 222, jeb209833. [Google Scholar] [CrossRef] [PubMed]
- Labonte, D.; Federle, W. Functionally different pads on the same foot allow control of attachment: Stick insects have load-sensitive “heel” pads for friction and shear-sensitive “toe” pads for adhesion. PLoS ONE 2014, 8, 81943. [Google Scholar] [CrossRef] [PubMed]
- Büscher, T.H.; Kryuchkov, M.; Katanaev, V.L.; Gorb, S.N. Versatility of Turing patterns potentiates rapid evolution in tarsal attachment microstructures of stick and leaf insects (Phasmatodea). J. R. Soc. Interface 2018, 15, 20180281. [Google Scholar] [CrossRef] [PubMed]
- Büscher, T.H.; Gorb, S.N. A review: Physical constraints lead to parallel evolution of micro- and nanostructures of animal adhesive pads. Beilstein J. Nanotechnol. 2021, 12, 725–743. [Google Scholar] [CrossRef]
- Büscher, T.H.; Grohmann, C.; Bradler, S.; Gorb, S.N. Tarsal attachment pads in Phasmatodea (Hexapoda: Insecta). Zoologica 2019, 164, 1–94. [Google Scholar]
- Bußhardt, P.; Wolf, H.; Gorb, S.N. Adhesive and frictional properties of tarsal attachment pads in two species of stick insects (Phasmatodea) with smooth and nubby euplantulae. Zoology 2012, 115, 135–141. [Google Scholar] [CrossRef] [PubMed]
- Song, Y.; Dai, Z.; Ji, A.; Gorb, S.N. The synergy between the insect inspired claws and adhesive pads increases the attachment ability on various rough surfaces. Sci. Rep. 2016, 6, 26219. [Google Scholar] [CrossRef]
- Boyce, P.C. The genus Epipremnum Schott (Araceae-Monsteroideae-Monstereae) in West and Central Malesia. Blumea 1998, 43, 183–213. [Google Scholar]
- Gardner, R. Tibouchina (Melastomataceae) the glory bushes. Bot. Soc. J. 1992, 47, 45–47. [Google Scholar]
- Standley, P.C.; Williams, L.O.; Nash, D.L. Flora of Guatemala; Field Museum of Natural History: Chicago, IL, USA, 1974; Volume 24, p. 106. [Google Scholar]
- Baumert, K. Experimentelle Untersuchungen über Lichtschutz an grünen Blättern. Beitr. Biol. Pflanz. 1907, 9, 83–162. [Google Scholar]
- Steinbauer, M.J.; Davies, N.W.; Gaertner, C.; Derridj, S. Epicuticular waxes and plant primary metabolites on the surfaces of juvenile Eucalyptus globulus and E. nitens (Myrtaceae) leaves. Aust. J. Bot. 2009, 57, 474–485. [Google Scholar] [CrossRef]
- Bücher, T.H.; Becker, M.; Gorb, S.N. Attachment performance of stick insects (Phasmatodea) on convex substrates. J. Exp. Biol. 2020, 223, jeb226514. [Google Scholar] [CrossRef] [PubMed]
- Schneider, C.A.; Rasband, W.S.; Eliceiri, K.W. NIH Image to ImageJ: 25 years of image analysis. Nat. Methods 2012, 9, 671–675. [Google Scholar] [CrossRef]
- Gorb, E.V.; Gorb, S.N. Functional surfaces in the pitcher of the carnivorous plant nepenthes alata: A cryo-sem approach. In Functional Surfaces in Biology: Adhesion Related Phenomena; Gorb, S.N., Ed.; Springer: Dordrecht, The Netherlands, 2009; Volume 2, pp. 205–238. [Google Scholar]
- Gorb, S.N. Attachment Devices of Insect Cuticle; Kluwer Academic Publishers: Dordrecht, The Netherlands, 2001. [Google Scholar]
- Arzt, E.; Gorb, S.N.; Spolenak, R. From micro to nano contacts in biological attachment devices. Proc. Natl. Acad. Sci. USA 2003, 100, 10603–10606. [Google Scholar] [CrossRef]
- Bußhardt, P.; Kunze, D.; Gorb, S.N. Interlocking-based attachment during locomotion in the beetle Pachnoda marginata (Coleoptera, Scarabaeidae). Sci. Rep. 2014, 4, 6998. [Google Scholar] [CrossRef]
- Voigt, D.; Takanashi, T.; Tsuchihara, K.; Yazaki, K.; Kuroda, K.; Tsubaki, R.; Hosoda, N. Strongest grip on the rod: Tarsal morphology and attachment of Japanese pine sawyer beetles. Zool. Lett. 2017, 3, 16. [Google Scholar] [CrossRef] [PubMed]
- Voigt, D.; Goodwyn, P.; Sudo, M.; Fujisaki, K.; Varenberg, M. Gripping ease in southern green stink bugs Nezara viridula L. (Heteroptera: Pentatomidae): Coping with geometry, orientation and surface wettability of substrate. Entomol. Sci. 2019, 22, 105–118. [Google Scholar] [CrossRef]
- Bijma, N.N.; Gorb, S.N.; Kleinteich, T. Landing on branches in the frog Trachycephalus resinifictrix (Anura: Hylidae). J. Comp. Physiol. A 2016, 202, 267–276. [Google Scholar] [CrossRef]
- Hill, I.D.C.; Dong, B.; Barnes, W.J.P.; Ji, A.; Endlein, T. The biomechanics of tree frogs climbing curved surfaces: A gripping problem. J. Exp. Biol. 2018, 221, jeb.168179. [Google Scholar] [CrossRef] [PubMed]
- Gu, Z.; Li, S.; Zhang, F.; Wang, S. Understanding surface adhesion in nature: A peeling model. Adv. Sci. 2016, 3, 1500327. [Google Scholar] [CrossRef] [PubMed]
- Thomas, J.; Gorb, S.N.; Büscher, T.H. Influence of surface free energy of the substrate and flooded water on the attachment performance of stick insects (Phasmatodea) with different adhesive surface microstructures. under review.
- Drechsler, P.; Federle, W. Biomechanics of smooth adhesive pads in insects: Influence of tarsal secretion on attachment performance. J. Comp. Physio. A 2006, 192, 1213–1222. [Google Scholar] [CrossRef] [PubMed]
- Dirks, J.-H.; Federle, W. Fluid-based adhesion in insects—Principles and challenges. Soft Matter 2011, 7, 11047–11053. [Google Scholar] [CrossRef]
- Dirks, J.-H.; Clemente, C.J.; Federle, W. Insect tricks: Two-phasic foot pad secretion prevents slipping. J. R. Soc. Interface 2010, 7, 587–593. [Google Scholar] [CrossRef]
- Kaimaki, D.-M.; Adrew, C.N.S.; Attipoe, A.E.L.; Labonte, D. The physical properties of the stick insect pad secretion are independent of body size. J. R. Soc. Interface 2022, 19, 20220212. [Google Scholar] [CrossRef]
- Stork, N.E. Experimental analysis of adhesion of Chrysolina polita (Chrysomelidae, Coleoptera) on a variety of surfaces. J. Exp. Biol. 1980, 88, 91–107. [Google Scholar] [CrossRef]
- Eigenbrode, S.D. Plant surface waxes and insect behaviour. In Plant Cuticles—An Integral Functional Approach; Kerstiens, G., Ed.; BIOS: Oxford, UK, 1996; pp. 201–222. [Google Scholar]
- Way, M.J.; Murdie, G. An example of varietal resistance of Brussel sprouts. Ann. Appl. Biol. 1965, 56, 326–328. [Google Scholar] [CrossRef]
- Perez-Goodwyn, P.; Peressadko, A.; Schwarz, H.; Kastner, V.; Gorb, S.N. Material structure, stiffness, and adhesion: Why attachment pads of the grasshopper (Tettigonia viridissima) adhere more strongly than those of the locust (Locusta migratoria) (Insecta: Orthoptera). J. Comp. Physiol. A 2006, 192, 1233–1243. [Google Scholar] [CrossRef]
- Peisker, H.; Michels, J.; Gorb, S.N. Evidence for a material gradient in the adhesive tarsal setae of the ladybird beetle Coccinella septempunctata. Nat. Commun. 2013, 4, 1661. [Google Scholar] [CrossRef]
- Bennemann, M.; Backhaus, S.; Scholz, I.; Park, D.; Mayer, J.; Baumgartner, W. Determination of the Young’s modulus of the epicuticle of the smooth adhesive organs of Carausius morosus using tensile testing. J. Exp. Biol. 2014, 217, 3677–3687. [Google Scholar] [CrossRef] [PubMed]
- Edwards, P.B. Do waxes of juvenile Eucalyptus leaves provide protection from grazing insects? Aust. J. Ecol. 1982, 7, 347–352. [Google Scholar] [CrossRef]
- Federle, W.; Maschwitz, U.; Fiala, B.; Riederer, M.; Hölldobler, B. Slippery ant-plants and skilful climbers: Selection and protection of specific ant partners by epicuticular wax blooms in Macaranga (Euphorbiaceae). Oecologia 1997, 112, 217–224. [Google Scholar] [CrossRef] [PubMed]
- Labonte, D.; Robinson, A.; Bauer, U.; Federle, W. Disentangling the role of surface topography and intrinsic wettability in the prey capture mechanism of Nepenthes pitcher plants. Acta Biomater. 2021, 119, 225–233. [Google Scholar] [CrossRef] [PubMed]
- Heepe, L.; Wolff, J.O.; Gorb, S.N. Influence of ambient humidity on the attachment ability of ladybird beetles (Coccinella septempunctata). Beilstein J. Nanotechnol. 2016, 7, 1322–1329. [Google Scholar] [CrossRef]
- Pattrick, J.G.; Labonte, D.; Federle, W. Scaling of claw sharpness: Mechanical constraints reduce attachment performance in larger insects. J. Exp. Biol. 2018, 221, jeb188391. [Google Scholar] [CrossRef]
- Uphof, J.C.T.; Hummel, K. Plant hairs. Encycl. Plant Anat. 1962, 5, 1–292. [Google Scholar]
- Ringlund, K.; Everson, E.H. Leaf Pubescence in Common Wheat, Triticum aestivum L., and Resistance to the Cereal Leaf Beetle, Oulema melanopus (L.). Crop Sci. 1968, 8, 705–710. [Google Scholar] [CrossRef]
- Gibson, R.W. Glandular hairs providing resistance to aphids in certain wild potato species. Ann. Appl. Biol. 1971, 68, 113–119. [Google Scholar] [CrossRef]
- Hoxie, R.P.; Wellso, S.G.; Webster, J.A. Cereal Leaf Beetle Response to Wheat Trichome Length and Density. Environ. Entomol. 1975, 4, 365–370. [Google Scholar] [CrossRef]
- Zvereva, E.L.; Kozlov, M.V.; Niemelä, P. Effects of leaf pubescence in Salix borealis on host-plant choice and feeding behaviour of the leaf beetle, Melasoma lapponica. Entomol. Exp. Appl. 1998, 89, 297–303. [Google Scholar] [CrossRef]
- Ranger, C.M.; Hower, A.A. Glandular trichomes on perennial alfalfa affect host-selection behavior of Empoasca fabae. Entomol. Exp. Appl. 2002, 105, 71–81. [Google Scholar] [CrossRef]
- Salerno, G.; Rebora, M.; Piersanti, S.; Saitta, V.; Gorb, E.V.; Gorb, S.N. Coleoptera claws and trichome interlocking. J. Comp. Physiol. A 2022, 1–14. [Google Scholar] [CrossRef] [PubMed]
- Büscher, T.H.; Petersen, D.S.; Bijma, N.N.; Bäumler, F.; Pirk, C.W.W.; Büsse, S.; Heepe, L.; Gorb, S.N. The exceptional attachment ability of the ectoparasitic bee louse Braula coeca (Diptera, Braulidae) on the honeybee. Physiol. Entomol. 2021, 47, 83–95. [Google Scholar] [CrossRef]
- Bradler, S. Die Phylogenie der Stab-und Gespenstschrecken (Insecta: Phasmatodea); Universitätsverl: Göttingen, Germany, 2009; Volume 2, pp. 1–139. [Google Scholar]
- Bullock, J.M.; Federle, W. The effect of surface roughness on claw and adhesive hair performance in the dock beetle Gastrophysa viridula. Insect Sci. 2011, 18, 298–304. [Google Scholar] [CrossRef]
- Winand, J.; Gorb, S.N.; Büscher, T.H. Gripping performance in the stick insect Sungaya inexpectata in dependence on the pretarsal architecture. J. Comp. Physiol. A. 2022, 1–11. [Google Scholar] [CrossRef]
- Bank, S.; Buckley, T.R.; Büscher, T.H.; Bresseel, J.; Constant, J.; de Haan, M.; Dittmar, D.; Dräger, H.; Kahar, R.S.; Kang, A.; et al. Reconstructing the nonadaptive radiation of an ancient lineage of ground-dwelling stick insects (Phasmatodea: Heteropterygidae). Syst. Entomol. 2021, 46, 487–507. [Google Scholar] [CrossRef]
- Gregory, P.; Tingey, W.M.; Ave, D.A.; Bouthyette, P.Y. Potato Glandular Trichomes: A Physicochemical Defense Mechanism Against Insects. In Natural Resistance of Plants to Pests; ACS: Washington, DC, USA, 1986; pp. 160–167. [Google Scholar]
- Lapointe, S.L.; Tingey, W.M. Glandular Trichomes of Solanum neocardenasii Confer Resistance to Green Peach Aphid (Homoptera: Aphididae). J. Econ. Entomol. 1986, 79, 1264–1268. [Google Scholar] [CrossRef]
- Avé, D.A.; Gregory, P.; Tingey, W.M. Aphid repellent sesquiterpenes in glandular trichomes of Solanum berthaultii and S. tuberosum. Entomol. Exp. Appl. 1987, 44, 131–138. [Google Scholar] [CrossRef]
- Broadway, R.M.; Duffey, S.S.; Pearce, G.; Ryan, C.A. Plant Proteinase inhibitors: A defense against herbivorous insects? Entomol. Exp. Appl. 1986, 41, 33–38. [Google Scholar] [CrossRef]









Publisher’s Note: MDPI stays neutral with regard to jurisdictional claims in published maps and institutional affiliations. |
© 2022 by the authors. Licensee MDPI, Basel, Switzerland. This article is an open access article distributed under the terms and conditions of the Creative Commons Attribution (CC BY) license (https://creativecommons.org/licenses/by/4.0/).
Share and Cite
Burack, J.; Gorb, S.N.; Büscher, T.H. Attachment Performance of Stick Insects (Phasmatodea) on Plant Leaves with Different Surface Characteristics. Insects 2022, 13, 952. https://doi.org/10.3390/insects13100952
Burack J, Gorb SN, Büscher TH. Attachment Performance of Stick Insects (Phasmatodea) on Plant Leaves with Different Surface Characteristics. Insects. 2022; 13(10):952. https://doi.org/10.3390/insects13100952
Chicago/Turabian StyleBurack, Judith, Stanislav N. Gorb, and Thies H. Büscher. 2022. "Attachment Performance of Stick Insects (Phasmatodea) on Plant Leaves with Different Surface Characteristics" Insects 13, no. 10: 952. https://doi.org/10.3390/insects13100952
APA StyleBurack, J., Gorb, S. N., & Büscher, T. H. (2022). Attachment Performance of Stick Insects (Phasmatodea) on Plant Leaves with Different Surface Characteristics. Insects, 13(10), 952. https://doi.org/10.3390/insects13100952

