Seasonal Abundance of Psyllid Species on Carrots and Potato Crops in Spain
Abstract
:1. Introduction
2. Materials and Methods
2.1. Psyllid Sampling Locations
2.2. Sweep Net Sampling
2.3. Horizontal Green Tile Water Traps
2.4. Visual Inspection
2.5. Suction Trap
2.6. Psyllid Identification
3. Results
3.1. Sweep Net Sampling
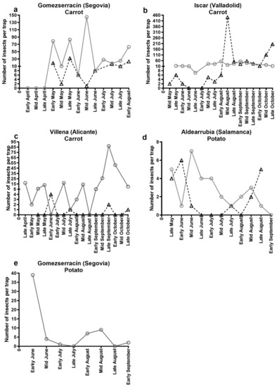
3.2. Horizontal Green Tile Water Trap Sampling
3.3. Visual Inspection
3.4. Suction Trap
4. Discussion
5. Conclusions
Supplementary Materials
Author Contributions
Funding
Acknowledgments
Conflicts of Interest
References
- Eurostat Agricultural Production—Crops—Statistics Explained. Available online: https://ec.europa.eu/eurostat/statistics-explained/index.php/Agricultural_production_-_crops#Vegetables (accessed on 27 June 2019).
- European Food Safety Authority (EFSA); Loiseau, M.; Schrader, G.; Camilleri, M.; Diakaki, M.; Vos, S. Pest survey card on Candidatus Liberibacter solanacearum. EFSA Support. Publ. 2019, 16, 1632E. [Google Scholar] [CrossRef]
- Alfaro-Fernández, A.; Cebrián, M.C.; Villaescusa, F.J.; de Mendoza, A.H.; Ferrándiz, J.C.; Sanjuán, S.; Font, M.I. First report of “Candidatus Liberibacter solanacearum” in carrot in mainland Spain. Plant Dis. 2012, 96, 582. [Google Scholar] [CrossRef] [PubMed]
- Alfaro-Fernández, A.; Siverio, F.; Cebrián, M.C.; Villaescusa, F.J.; Font, M.I. “Candidatus Liberibacter solanacearum” associated with Bactericera trigonica-affected carrots in the Canary Islands. Plant Dis. 2012, 96, 581–582. [Google Scholar] [CrossRef] [PubMed]
- Munyaneza, J.E.; Fisher, T.W.; Sengoda, V.G.; Garczynski, S.F.; Nissinen, A.; Lemmetty, A. First report of “Candidatus Liberibacter solanacearum” associated with Psyllid-affected carrots in Europe. Plant Dis. 2010, 94, 639. [Google Scholar] [CrossRef] [PubMed]
- Ben Othmen, S.; Morán, F.E.; Navarro, I.; Barbé, S.; Martínez, C.; Marco-Noales, E.; Chermiti, B.; López, M.M. ‘Candidatus Liberibacter solanacearum’ haplotypes D and E in carrot plants and seeds in Tunisia. J. Plant Pathol. 2018, 100, 197–207. [Google Scholar] [CrossRef]
- Palomo, J.; Bertolini, E.; Martin-Robles, M.; Teresani, G.; Lopez, M.; Cambra, M. Detección en Patata en España de un Haplotipo de “Candidatus Liberibacter Solanacearum” no Descrito en Solanáceas. In Proceedings of the XVII Congress of the Spanish phytopathological society, Lleida, Spain, 7–10 October 2014; p. 125. [Google Scholar]
- Haapalainen, M.; Latvala, S.; Rastas, M.; Wang, J.; Hannukkala, A.; Pirhonen, M.; Nissinen, A.I. Carrot pathogen ‘Candidatus Liberibacter solanacearum’ Haplotype C detected in symptomless potato plants in Finland. Potato Res. 2018, 61, 31–50. [Google Scholar] [CrossRef]
- Liefting, L.W.; Sutherland, P.W.; Ward, L.I.; Paice, K.L.; Weir, B.S.; Clover, G.R.G. A New “Candidatus Liberibacter” species associated with diseases of solanaceous crops. Plant Dis. 2009, 93, 208–214. [Google Scholar] [CrossRef] [PubMed]
- Munyaneza, J.E.; Crosslin, J.M.; Upton, J.E. Association of Bactericera cockerelli (Homoptera: Psyllidae) with “zebra chip,” a new potato disease in southwestern United States and Mexico. J. Econ. Entomol. 2007, 100, 656–663. [Google Scholar] [CrossRef]
- Munyaneza, J. Zebra chip disease of potato: biology, epidemiology, and management. Am. J. Potato Res. 2012, 89, 329–350. [Google Scholar] [CrossRef]
- Munyaneza, J.E.; Buchman, J.L.; Upton, J.E.; Goolsby, J.A.; Crosslin, J.M.; Bester, G.; Miles, G.P.; Sengoda, V.G. Impact of different potato psyllid populations on zebra chip disease incidence, severity, and potato yield. Subtrop. Plant Sci. 2008, 60, 27–37. [Google Scholar]
- Hansen, A.K.; Trumble, J.T.; Stouthamer, R.; Paine, T.D. A New Huanglongbing species, “Candidatus Liberibacter psyllaurous,” found to infect tomato and potato, is vectored by the Psyllid Bactericera cockerelli (Sulc). Appl. Environ. Microbiol. 2008, 74, 5862–5865. [Google Scholar] [CrossRef] [PubMed]
- Teulon, D.A.J.; Workman, P.J.; Thomas, K.L.; Nielsen, M.C. Bactericera cockerelli: incursion, dispersal and current distribution on vegetable crops in New Zealand. N. Z. Plant Prot. 2009, 62, 136–144. [Google Scholar]
- IPPC. Detection of Bactericera cockerelli (Tomato-potato psyllid) in Western Australia. Available online: https://www.ippc.int/en/countries/australia/pestreports/2017/02/detection-of-bactericera-cockerelli-tomato-potato-psyllid-in-western-australia/ (accessed on 25 June 2019).
- Ouvrard, D. The World Psylloidea Database. Available online: https://www.hemiptera-databases.org/psyllist/?db=psylles&lang=en&card=taxon&rank=species&id=1337 (accessed on 1 June 2019).
- Antolinez, C.A.; Fereres, A.; Moreno, A. Risk assessment of ‘Candidatus Liberibacter solanacearum’ transmission by the psyllids Bactericera trigonica and B. tremblayi from Apiaceae crops to potato. Sci. Rep. 2017, 7, 45534. [Google Scholar] [CrossRef] [PubMed]
- Burckhardt, D.; Freuler, J. Jumping plant-lice (Hemiptera, Psylloidea) from sticky traps in carrot fields in Valais, Switzerland. Mitteilungen der Schweiz. Entomol. Ges. 2000, 73, 191–209. [Google Scholar]
- Hodkinson, I.D. Life cycle variation and adaptation in jumping plant lice (Insecta: Hemiptera: Psylloidea): a global synthesis. J. Nat. Hist. 2009, 43, 65–179. [Google Scholar] [CrossRef]
- Fathi, S.A.A. Population density and life-history parameters of the psyllid Bactericera nigricornis (Forster) on four commercial cultivars of potato. Crop Prot. 2011, 30, 844–848. [Google Scholar] [CrossRef]
- Othmen, S.B.; Abbes, K.; Imem, M.E.; Ouvrard, D.; Rapisarda, C.; Chermiti, B. Bactericera trigonica and B. nigricornis (Hemiptera: Psylloidea) in Tunisia as potential vectors of ‘Candidatus Liberibacter solanacearum’ on Apiaceae. Orient. Insects 2018. [Google Scholar] [CrossRef]
- Teresani, G.; Hernández, E.; Bertolini, E.; Siverio, F.; Marroquín, C.; Molina, J.; de Mendoza, A.H.; Cambra, M. Search for potential vectors of ‘Candidatus Liberibacter solanacearum’: population dynamics in host crops. Span. J. Agric. Res. 2015, 13, 1002. [Google Scholar] [CrossRef]
- Gharalari, A.H.; Nansen, C.; Lawson, D.S.; Gilley, J.; Munyaneza, J.E.; Vaughn, K. Knockdown mortality, repellency, and residual effects of insecticides for control of adult Bactericera cockerelli (Hemiptera: Psyllidae). J. Econ. Entomol. 2009, 102, 1032–1038. [Google Scholar] [CrossRef]
- Munyaneza, J.E.; Crosslin, J.M.; Buchman, J.L. Seasonal occurrence and abundance of the Potato Psyllid, Bactericera cockerelli, in South Central Washington. Am. J. Potato Res. 2009, 86, 513–518. [Google Scholar] [CrossRef]
- MAPAMA (el desarrollo es de TRAGSATEC). Sistema de Informacion Agroclimatica Para el Regadio. Available online: http://eportal.mapama.gob.es/websiar/Inicio.aspx (accessed on 2 August 2019).
- Irwin, M.E. Sampling Aphids in soybean fields. In Sampling Methods in Soybean Entomology; Kogan, M., Herzog, D.C., Eds.; Springer Series in Experimental Entomology; Springer: New York, NY, USA, 1980; pp. 239–259. ISBN 978-1-4612-9998-1. [Google Scholar]
- Irwin, M.E. Vector Intensity: A product of Propensity and Activity. In Plant Virus Epidemics: Monitoring, Modeling and Predicting Outbreaks; McLean, G.D., Garret, R.G., Ruesink, W.G., Eds.; Academic Press: London, UK, 1986. [Google Scholar]
- Summers, E.G.; Newton, A.S.; Kirk, M.; Temple, S.R. Transmission of Beet Yellows and Beet Mosaic Viruses by Noncolonizing Aphid Vectors. J. Econ. Entomol. 1990, 83, 2448–2451. [Google Scholar] [CrossRef]
- Kirk, M.; Temple, S.R.; Summers, C.G.; Wilson, L.T. Transmission efficiencies of field-collected Aphid (Homoptera: Aphididae) vectors of Beet Yellows Virus. J. Econ. Entomol. 1991, 84, 638–643. [Google Scholar] [CrossRef]
- Perez, P.; Duque, M.; Collar, J.L.; Avilla, C.; Fereres, A. Activity of alatae aphids landing on open-field pepper crops in Spain/Aktivität und Vorkommen geflügelter Blattläuse auf Freilandpaprika in Spanien. Z. Pflanzenkrankh. Pflanzenschutz J. Plant Dis. Prot. 2003, 110, 195–202. [Google Scholar]
- Nebreda, M.; Moreno, A.; Pérez, N.; Palacios, I.; Seco-Fernández, V.; Fereres, A. Activity of aphids associated with lettuce and broccoli in Spain and their efficiency as vectors of Lettuce mosaic virus. Virus Res. 2004, 100, 83–88. [Google Scholar] [CrossRef] [PubMed]
- Hodkinson, I.D. Status and taxonomy of the Trioza (Bactericera) nigricornis Förster complex (Hemiptera: Triozidae). Bull. Entomol. Res. 1981, 71, 671–679. [Google Scholar] [CrossRef]
- Sjölund, M.; Kenyon, D.; Highet, F.; Ouvrard, D. Developing an RT-PCR assay for the identification of psyllid species. In Proceedings of the Dundee Conference: Crop Protection in Northern Britain, Dundee, UK, 23–24 February 2016; The Association for Crop Protection in Northern Britain: Dundee, UK; pp. 279–282. [Google Scholar]
- van de Vossenberg, B.T.L.H.; Westenberg, M.; Bonants, P.J.M. DNA barcoding as an identification tool for selected EU-regulated plant pests: an international collaborative test performance study among 14 laboratories. EPPO Bull. 2013, 43, 216–228. [Google Scholar] [CrossRef]
- Peccoud, J.; Labonne, G.; Sauvion, N. Molecular test to assign individuals within the Cacopsylla pruni complex. PLoS ONE 2013, 8, e72454. [Google Scholar] [CrossRef]
- Munyaneza, J.E.; Mustafa, T.; Fisher, T.W.; Sengoda, V.G.; Horton, D.R. Assessing the likelihood of transmission of Candidatus Liberibacter solanacearum to carrot by potato psyllid, Bactericera cockerelli (Hemiptera: Triozidae). PLoS ONE 2016, 11, e0161016. [Google Scholar] [CrossRef]
- Sjolund, M.J.; Arnsdorf, Y.M.; Carnegie, M.; Fornefeld, E.; Will, T. ‘Candidatus Liberibacter solanacearum’ detected in Trioza urticae using suction trap-based monitoring of psyllids in Germany. J. Plant Dis. Prot. 2019, 126, 89–92. [Google Scholar] [CrossRef]
- Burckhardt, D. Taxonomy and host plant relationships of the Trioza apicalis Förster complex (Hemiptera, Homoptera: Triozidae). Entomol. Scand. 1985, 16, 415–432. [Google Scholar] [CrossRef]
- Ossiannilsson, F. The Psylloidea (Homoptera) of Fennoscandia and Denmark; Fauna Entomologica Scandinavica; Brill: Leiden, The Netherlands, 1992; Volume 26. [Google Scholar]
- Ouvrard, D. The World Psylloidea Database. Available online: https://www.hemiptera-databases.org/psyllist/?db=psylles&lang=en&card=taxon&rank=species&id=1332 (accessed on 20 June 2019).
- Čermák, V.; Lauterer, P. Overwintering of psyllids in South Moravia (Czech Republic) with respect to the vectors of the apple proliferation cluster phytoplasmas. Bull. Insectol. 2008, 61, 147–148. [Google Scholar]
- Burckhardt, D.; Ouvrard, D.; Queiroz, D.; Percy, D. Psyllid Host-Plants (Hemiptera: Psylloidea): Resolving a semantic problem. Fla. Entomol. 2014, 97, 242–246. [Google Scholar] [CrossRef]
- Antolinez, C.A.; Moreno, A.; Appezzato-da-Gloria, B.; Fereres, A. Characterization of the electrical penetration graphs of the psyllid Bactericera trigonica on carrots. Entomol. Exp. Appl. 2017, 163, 127–139. [Google Scholar] [CrossRef]
- Antolínez, C.A.; Fereres, A.; Moreno, A. Sex-specific probing behaviour of the carrot psyllid Bactericera trigonica and its implication in the transmission of ‘Candidatus Liberibacter solanacearum’. Eur. J. Plant Pathol. 2017, 147, 627–637. [Google Scholar] [CrossRef]



| Crop | Cultivar | Field Location | Province | Latitude | Longitude | Altitude |
|---|---|---|---|---|---|---|
| Carrot | Bangor | Gomezserracín | Segovia | 41°17′24″ N | 4°19′32″ W | 804 |
| Bangor | Íscar | Valladolid | 41°20′05″ N | 4°32′13″ W | 750 | |
| Soprano | Villena | Alicante | 38°38′47″ N | 0°55′47″ W | 450 | |
| Potato | Monalisa | Aldearrubia | Salamanca | 49°59′11.2″ N | 5°29′10.1″ W | 812 |
| Monalisa | Gomezserracín | Segovia | 41°17’20″ N | 4°19‘03″ W | 805 |
| Crop | Location | Sampling Method | Psyllid Species | Date of Sampling | Total Number of Insects |
|---|---|---|---|---|---|
| Carrot | Gomezserracín | Sweep net | B. trigonica | 02/07/2015 | 20 |
| B. nigricornis | 02/07/2015 | 1 | |||
| Potato | Gomezserracín | Sweep net | B. nigricornis | 02/07/2015 | 5 |
| B. tremblayi | 02/07/2015 | 3 |
| Crop | Location | Year | |||||
|---|---|---|---|---|---|---|---|
| 2016 | 2017 | ||||||
| % B. trigonica | % B. nigricornis | Total number of psyllids | % B. trigonica | % B. nigricornis | Total number of psyllids | ||
| Carrot | Gomezserracín | 97 | 3 | 1763 | 93 | 7 | 3069 |
| Íscar | 98 | 2 | 8349 | 98 | 2 | 4683 | |
| Villena | 94 | 6 | 654 | 92 | 8 | 4750 | |
| Potato | Aldearrubia | 2 | 98 | 52 | 11 | 89 | 249 |
| Gomezserracín | 82 | 18 | 73 | ||||
| Crop | Location | Year | |||||
|---|---|---|---|---|---|---|---|
| 2016 | 2017 | ||||||
| % B. trigonica | % B. nigricornis | Total number of psyllids | % B. trigonica | % B. nigricornis | Total number of psyllids | ||
| Carrot | Gomezserracín | 97 | 3 | 534 | 74 | 26 | 121 |
| Íscar | 94 | 6 | 365 | 99 | 1 | 1027 | |
| Villena | 99 | 1 | 266 | 75 | 15 | 8 | |
| Potato | Aldearrubia | 0 | 100 | 30 | 10 | 90 | 21 |
| Gomezserracín | 29 | 61 | 64 | ||||
| Genus | Species | Authorship | Quantity | Accession # ITS | Accession # CO1 | Date Collected |
|---|---|---|---|---|---|---|
| Arytainilla | gredi | (Ramirez Gomez, 1956) | 1 | MN316677 | MN272123 | 16/06/2017 |
| Bactericera | trigonica | Hodkinson, 1981 | 1 | MN316680 | MN272129 | 16/06/2017 |
| 1 | MN316691 | MN272143 | 18/08/2017 | |||
| 1 | MN316694 | MN272148 | 30/08/2017 | |||
| Blastopsylla | occidentalis | Taylor, 1985 | 1 | - | MN272126 | 16/06/2017 |
| 1 | MN316682 | MN272132 | 22/06/2017 | |||
| 1 | MN316683 | MN272134 | 05/07/2017 | |||
| 4 | MN316684-MN316687 | MN272135-MN272138 | 10/07/2017 | |||
| 1 | MN316688 | MN272142 | 17/08/2017 | |||
| 1 | MN316690 | MN272144 | 23/08/2017 | |||
| 3 | MN316691-MN316693 | MN272145-MN272147 | 25/08/2017 | |||
| Cacopsylla | melanoneura | (Foerster, 1848) | 2 | - | MN272124-MN272125 | 16/06/2017 |
| 1 | - | MN272131 | 17/06/2017 | |||
| Ctenarytaina | spatulata | Taylor, 1997 | 1 | - | MN272133 | 24/06/2017 |
| 1 | - | MN272139 | 10/07/2017 | |||
| 1 | - | MN272140 | 12/07/2017 | |||
| 1 | - | MN272141 | 16/07/2017 | |||
| Livia | crefeldensis | Mink, 1855 | 1 | MN316678 | MN272127 | 16/06/2017 |
| Trioza | galii | Foerster, 1848 | 1 | MN316679 | MN272128 | 16/06/2017 |
| 1 | MN316681 | MN272130 | 17/06/2017 |
© 2019 by the authors. Licensee MDPI, Basel, Switzerland. This article is an open access article distributed under the terms and conditions of the Creative Commons Attribution (CC BY) license (http://creativecommons.org/licenses/by/4.0/).
Share and Cite
Antolínez, C.A.; Moreno, A.; Ontiveros, I.; Pla, S.; Plaza, M.; Sanjuan, S.; Palomo, J.L.; Sjölund, M.J.; Sumner-Kalkun, J.C.; Arnsdorf, Y.M.; et al. Seasonal Abundance of Psyllid Species on Carrots and Potato Crops in Spain. Insects 2019, 10, 287. https://doi.org/10.3390/insects10090287
Antolínez CA, Moreno A, Ontiveros I, Pla S, Plaza M, Sanjuan S, Palomo JL, Sjölund MJ, Sumner-Kalkun JC, Arnsdorf YM, et al. Seasonal Abundance of Psyllid Species on Carrots and Potato Crops in Spain. Insects. 2019; 10(9):287. https://doi.org/10.3390/insects10090287
Chicago/Turabian StyleAntolínez, Carlos A., Aranzazu Moreno, Irene Ontiveros, Sandra Pla, María Plaza, Susana Sanjuan, José L. Palomo, M. Jennifer Sjölund, Jason C. Sumner-Kalkun, Yvonne M. Arnsdorf, and et al. 2019. "Seasonal Abundance of Psyllid Species on Carrots and Potato Crops in Spain" Insects 10, no. 9: 287. https://doi.org/10.3390/insects10090287
APA StyleAntolínez, C. A., Moreno, A., Ontiveros, I., Pla, S., Plaza, M., Sanjuan, S., Palomo, J. L., Sjölund, M. J., Sumner-Kalkun, J. C., Arnsdorf, Y. M., Jeffries, C. J., Ouvrard, D., & Fereres, A. (2019). Seasonal Abundance of Psyllid Species on Carrots and Potato Crops in Spain. Insects, 10(9), 287. https://doi.org/10.3390/insects10090287

