Influence of 3D-Printed PEEK on the Tribo-Corrosion Performance of Ti6Al4V Biomedical Alloy
Abstract
1. Introduction
2. Materials and Experimental Details
2.1. Materials
2.1.1. Polyetheretherketone (PEEK) Pins
2.1.2. Ti6V4Al
2.1.3. Phosphate-Buffered Saline (PBS)
2.2. Preparation of Samples and Materials
2.3. Design and Fabrication of the Corrosive Cell and Pin-Holder
2.4. Corrosion and Tribo-Corrosion Tests
2.5. Characterization
3. Results and Discussion
3.1. Surface Morphology of PEEK Pins and Ti6Al4V Alloy
3.2. Corrosion Resistance of Ti6Al4V Alloy
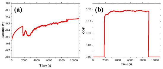
3.3. Evolution of the Open-Circuit Potential (OCP) and Coefficient of Friction (COF)
4. Conclusions
Author Contributions
Funding
Data Availability Statement
Acknowledgments
Conflicts of Interest
References
- Bayliss, L.E.; Culliford, D.; Monk, A.P.; Glyn-Jones, S.; Prieto-Alhambra, D.; Judge, A.; Cooper, C.; Carr, A.J.; Arden, N.K.; Beard, D.J.; et al. The effect of patient age at intervention on risk of implant revision after total replacement of the hip or knee: A population-based cohort study. Lancet 2017, 389, 1424–1430. [Google Scholar] [CrossRef]
- Hu, C.Y.; Yoon, T.R. Recent updates for biomaterials used in total hip arthroplasty. Biomater. Res. 2018, 22, 33. [Google Scholar] [CrossRef] [PubMed]
- Lewis, G. Properties of crosslinked ultra-high-molecular-weight polyethylene. Biomaterials 2001, 22, 371–401. [Google Scholar] [CrossRef] [PubMed]
- Lapcikova, M.; Slouf, M.; Dybal, J.; Zolotarevova, E.; Entlicher, G.; Pokorny, D.; Gallo, J.; Sosna, A. Nanometer size wear debris generated from ultra high molecular weight polyethylene in vivo. Wear 2009, 266, 349–355. [Google Scholar] [CrossRef]
- Patil, N.A.; Njuguna, J.; Kandasubramanian, B. UHMWPE for biomedical applications: Performance and functionalization. Eur. Polym. J. 2020, 125, 109529. [Google Scholar] [CrossRef]
- Tipper, J.L.; Hailey, J.L.; Besong, A.A.; Fisher, J.; Wroblewski, B.M.; Stone, M.H. Quantitative analysis of polyethylene wear debris, wear rate and head damage in retrieved Charnley hip prostheses. J. Mater. Sci. Mater. Med. 2000, 11, 117–124. [Google Scholar] [CrossRef]
- Premnath, V.; Harris, W.H.; Jasty, M.; Merrill, E.W. Gamma sterilization of UHMWPE articular implants: An analysis of the oxidation problem. Biomoterials 1996, 17, 1741–1753. [Google Scholar] [CrossRef] [PubMed]
- Toth, J.M.; Wang, M.; Estes, B.T.; Scifert, J.L.; Seim, H.B.; Turner, A.S. Polyetheretherketone as a biomaterial for spinal applications. Biomaterials 2006, 27, 324–334. [Google Scholar] [CrossRef]
- Katzer, A.; Marquardt, H.; Westendorf, J.; Wening, J.V.; Von Foerster, G. Polyetheretherketone-cytotoxicity and mutagenicity in vitro. Biomaterials 2002, 23, 1749–1759. [Google Scholar] [CrossRef]
- Abu Bakar, M.S.A.; Cheng, M.H.W.; Tang, S.M.; Yu, S.C.; Liao, K.; Tan, C.T.; Khor, K.A.; Cheang, P. Tensile properties, tension-tension fatigue and biological response of polyetheretherketone-hydroxyapatite composites for load-bearing orthopedic implants. Biomaterials 2003, 24, 2245–2250. [Google Scholar] [CrossRef]
- Xu, T.G.; Shi, J.; Qi, H.; Chen, S.; Li, B.; Zhang, F.; He, J.H. Radiopaque and Biocompatible PMMA Bone Cement Triggered by Nano Tantalum Carbide and Its Osteogenic Performance. ACS Biomater. Sci. Eng. 2024, 10, 5624–5631. [Google Scholar] [CrossRef] [PubMed]
- Elmowafy, E.M.; Tiboni, M.; Soliman, M.E. Biocompatibility, biodegradation and biomedical applications of poly(lactic acid)/poly(lactic-co-glycolic acid) micro and nanoparticles. J. Pharm. Investig. 2019, 49, 347–380. [Google Scholar] [CrossRef]
- Hodgson, A.W.E.; Kurz, S.; Virtanen, S.; Fervel, V.; Olsson, C.O.A.; Mischler, S. Passive and transpassive behaviour of CoCrMo in simulated biological solutions. Electrochim. Acta 2004, 49, 2167–2178. [Google Scholar] [CrossRef]
- Bryant, M.; Neville, A. Fretting corrosion of CoCr alloy: Effect of load and displacement on the degradation mechanisms. Proc. Inst. Mech. Eng. H 2017, 231, 114–126. [Google Scholar] [CrossRef] [PubMed]
- Pylypchuk, I.V.; Petranovskaya, A.L.; Gorbyk, P.P.; Korduban, A.M.; Markovsky, P.E.; Ivasishin, O.M. Biomimetic Hydroxyapatite Growth on Functionalized Surfaces of Ti-6Al-4V and Ti-Zr-Nb Alloys. Nanoscale Res. Lett. 2015, 10, 338. [Google Scholar] [CrossRef]
- Bartolomeu, F.; Abreu, C.S.; Moura, C.G.; Costa, M.M.; Alves, N.; Silva, F.S.; Miranda, G. Ti6Al4V-PEEK multi-material structures–Design, fabrication and tribological characterization focused on orthopedic implants. Tribol. Int. 2019, 131, 672–678. [Google Scholar] [CrossRef]
- Bartolomeu, F.; Buciumeanu, M.; Costa, M.M.; Alves, N.; Gasik, M.; Silva, F.S.; Miranda, G. Multi-material Ti6Al4V & PEEK cellular structures produced by Selective Laser Melting and Hot Pressing: A tribocorrosion study targeting orthopedic applications. J. Mech. Behav. Biomed. Mater. 2019, 89, 54–64. [Google Scholar] [CrossRef]
- Buciumeanu, M.; Almeida, S.; Bartolomeu, F.; Costa, M.M.; Alves, N.; Silva, F.S.; Miranda, G. Ti6Al4V cellular structures impregnated with biomedical PEEK—New material design for improved tribological behavior. Tribol. Int. 2018, 119, 157–164. [Google Scholar] [CrossRef]
- Sampaio, M.; Buciumeanu, M.; Henriques, B.; Silva, F.S.; Souza, J.C.M.; Gomes, J.R. Tribocorrosion behavior of veneering biomedical PEEK to Ti6Al4V structures. J. Mech. Behav. Biomed. Mater. 2016, 54, 123–130. [Google Scholar] [CrossRef]
- Grieco, P.W.; Pascal, S.; Newman, J.M.; Shah, N.V.; Stroud, S.G.; Sheth, N.P.; Maheshwari, A.V. New alternate bearing surfaces in total hip arthroplasty: A review of the current literature. J. Clin. Orthop. Trauma 2018, 9, 7–16. [Google Scholar] [CrossRef]
- Holzwarth, U.; Cotogno, G. Total Hip Arthroplasty: State of the Art, Challenges and Prospects; Publications Office: Luxembourg, 2012. [Google Scholar] [CrossRef]
- Mani, G.; Feldman, M.D.; Oh, S.; Agrawal, C.M. Surface modification of cobalt-chromium-tungsten-nickel alloy using octadecyltrichlorosilanes. Appl. Surf. Sci. 2009, 255, 5961–5970. [Google Scholar] [CrossRef]
- Manhabosco, T.M.; Tamborim, S.M.; dos Santos, C.B.; Müller, I.L. Tribological, electrochemical and tribo-electrochemical characterization of bare and nitrided Ti6Al4V in simulated body fluid solution. Corros. Sci. 2011, 53, 1786–1793. [Google Scholar] [CrossRef]
- Honigmann, P.; Sharma, N.; Okolo, B.; Popp, U.; Msallem, B.; Thieringer, F.M. Patient-specific surgical implants made of 3D printed PEEK: Material, technology, and scope of surgical application. Biomed. Res. Int. 2018, 2018, 4520636. [Google Scholar] [CrossRef]
- Chen, Q.; Thouas, G.A. Metallic implant biomaterials. Mater. Sci. Eng. R Rep. 2015, 87, 1–57. [Google Scholar] [CrossRef]
- Buciumeanu, M.; Araujo, A.; Carvalho, O.; Miranda, G.; Souza, J.C.M.; Silva, F.S.; Henriques, B. Study of the tribocorrosion behaviour of Ti6Al4V–HA biocomposites. Tribol. Int. 2017, 107, 77–84. [Google Scholar] [CrossRef]
- Totolin, V.; Pejaković, V.; Csanyi, T.; Hekele, O.; Huber, M.; Rodríguez Ripoll, M. Surface engineering of Ti6Al4V surfaces for enhanced tribocorrosion performance in artificial seawater. Mater. Des. 2016, 104, 10–18. [Google Scholar] [CrossRef]
- Diomidis, N.; Mischler, S.; More, N.S.; Roy, M. Tribo-electrochemical characterization of metallic biomaterials for total joint replacement. Acta Biomater. 2012, 8, 852–859. [Google Scholar] [CrossRef]
- Buciumeanu, M.; Bagheri, A.; Souza, J.C.M.; Silva, F.S.; Henriques, B. Tribocorrosion behavior of hot pressed CoCrMo alloys in artificial saliva. Tribol. Int. 2016, 97, 423–430. [Google Scholar] [CrossRef]
- Feyzi, M.; Fallahnezhad, K.; Taylor, M.; Hashemi, R. What role do normal force and frequency play in the tribocorrosion behaviour of Ti-6Al-4 V alloy? Tribol. Int. 2022, 172, 107634. [Google Scholar] [CrossRef]
- Hammood, A.S.; Thair, L.; Altawaly, H.D.; Parvin, N. Tribocorrosion Behaviour of Ti–6Al–4V Alloy in Biomedical Implants: Effects of Applied Load and Surface Roughness on Material Degradation. J. Bio Tribo-Corros. 2019, 5, 85. [Google Scholar] [CrossRef]







| 3D-Printed (FFF) | |
|---|---|
| Tensile modulus [MPa] | 3500 |
| Yield stress [Mpa] | 94 |
| Yield strain [MPa] | 5 |
| Melting temperature [°C] | 338 |
| Glass transition temp. (DSC) [°C] | 152 |
| Density | 1300 |
| Element | Atomic [Wt.%] |
|---|---|
| Aluminum | 5.50–6.50 |
| Vanadium | 3.50–4.50 |
| Iron | Max. 0.25 |
| Oxygen | Max. 0.13 |
| Carbon | Max. 0.08 |
| Titanium | Rest |
| Element | Without Sliding | During Sliding |
|---|---|---|
| icorr (µA/cm2) | 15.59 ± 0.03 | 13.27 ± 0.04 |
| Ecorr (V) | −0.32 ± 0.02 | −0.22 ± 0.03 |
| Polarization resistance (Ω) | 69,477 ± 3100 | 67,866 ± 310 |
| Corrosion Rate (mm/Year) | 0.059 ± 0.004 | 0.051 ± 0.005 |
Disclaimer/Publisher’s Note: The statements, opinions and data contained in all publications are solely those of the individual author(s) and contributor(s) and not of MDPI and/or the editor(s). MDPI and/or the editor(s) disclaim responsibility for any injury to people or property resulting from any ideas, methods, instructions or products referred to in the content. |
© 2025 by the authors. Licensee MDPI, Basel, Switzerland. This article is an open access article distributed under the terms and conditions of the Creative Commons Attribution (CC BY) license (https://creativecommons.org/licenses/by/4.0/).
Share and Cite
Federl, D.J.; Al-Rjoub, A. Influence of 3D-Printed PEEK on the Tribo-Corrosion Performance of Ti6Al4V Biomedical Alloy. Lubricants 2025, 13, 283. https://doi.org/10.3390/lubricants13070283
Federl DJ, Al-Rjoub A. Influence of 3D-Printed PEEK on the Tribo-Corrosion Performance of Ti6Al4V Biomedical Alloy. Lubricants. 2025; 13(7):283. https://doi.org/10.3390/lubricants13070283
Chicago/Turabian StyleFederl, Dominik Jonas, and Abbas Al-Rjoub. 2025. "Influence of 3D-Printed PEEK on the Tribo-Corrosion Performance of Ti6Al4V Biomedical Alloy" Lubricants 13, no. 7: 283. https://doi.org/10.3390/lubricants13070283
APA StyleFederl, D. J., & Al-Rjoub, A. (2025). Influence of 3D-Printed PEEK on the Tribo-Corrosion Performance of Ti6Al4V Biomedical Alloy. Lubricants, 13(7), 283. https://doi.org/10.3390/lubricants13070283

