Numerical Simulation and Experimental Study on the Role of Jet Angle in Controlling the Flow of Transmission Gears
Abstract
1. Introduction
2. Lubrication Theory of High-Speed Gears
2.1. Moving Particle Semi-Implicit Method
2.2. Theoretical Analysis of Heat Dissipation
3. The Establishment and Simulation Analysis of Gear Lubrication Model
3.1. Construction of Gear Lubrication Model
3.2. Analysis of the Influence of Injection Angle on Oil Jet Lubrication
4. Numerical Analysis of Gear Lubrication at Different Injection Angles
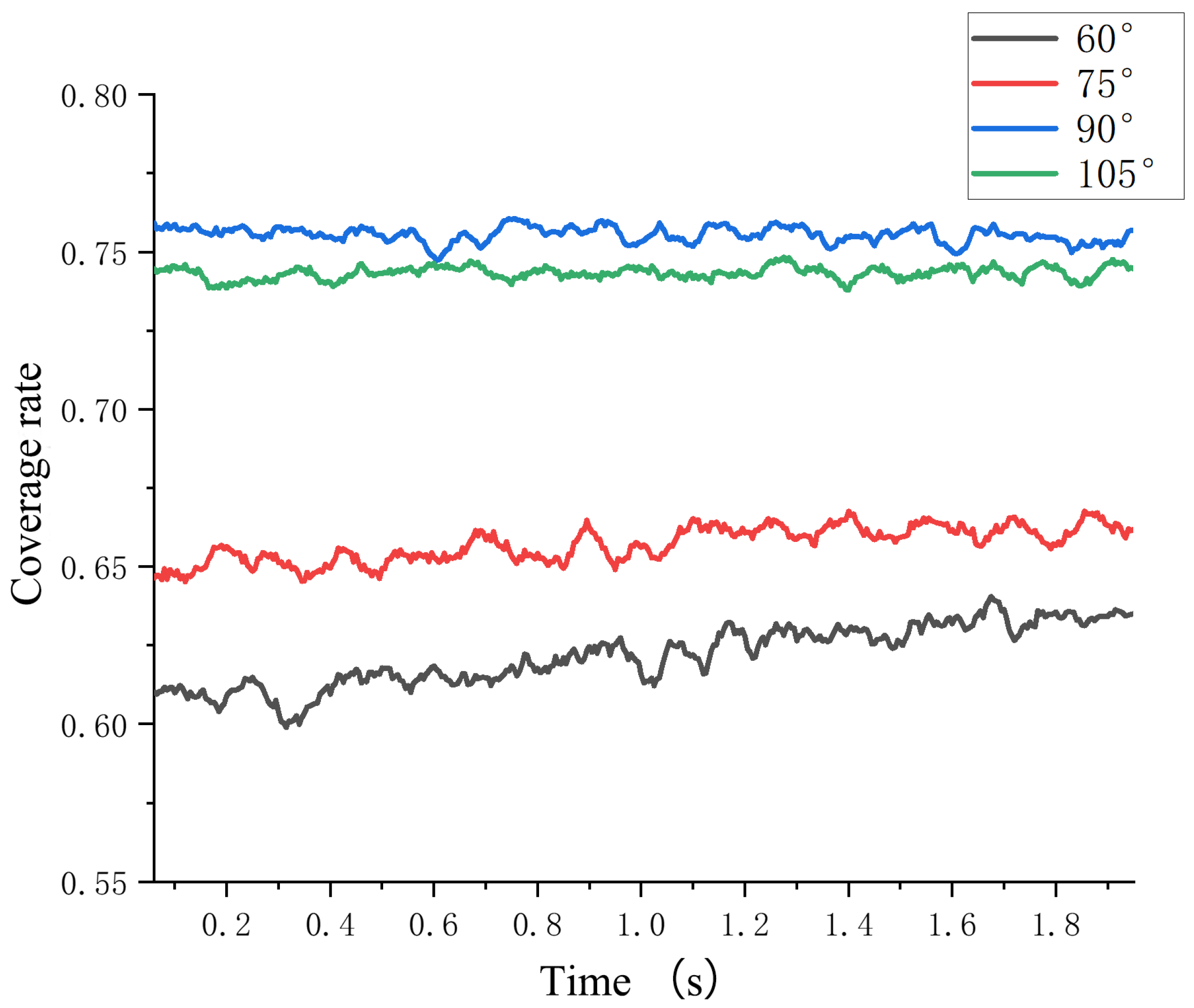
4.1. Numerical Analysis of Large Gear Coverage Under Different Incident Angles
4.2. HTC Analysis of Heat Dissipation of Large Gear Tooth Surface at Different Injection Angles
4.3. Numerical Analysis of Pinion Coverage Under Different Injection Angles
4.4. HTC Analysis of Heat Dissipation of Pinion Tooth Surface Under Different Injection Angles
5. Lubrication Test Analysis of Gear
5.1. Establishment of High-Speed Rotating Lubrication Test System
5.2. High-Speed Rotation Lubrication Test
- First of all, the bench debugging, installed in the special production of the top cover to meet the injection angle requirements.
- Then, open the test bench through the system software to adjust the speed and torque; the hydraulic station system is opened, and the system works smoothly. The data under this working condition are recorded as the system torque when there is oil injection lubrication, and the average value of each group of data is recorded five times.
- Subsequently, the hydraulic system is shut down. At this point, the gear is in an idle state. To eliminate the power losses resulting from components such as the gearbox bearings and gear meshing during the test, when the gear was operating within the previous hydraulic system, its surface had been enveloped by an oil film. As a result, the system remains in a stable state. The system torque data under the magnetic condition are recorded as the system torque without oil injection lubrication, and the average value of each set of data is recorded three times.
- Finally, using the data of the injection state measured in (2) minus the data of the injection state measured in (3), the data without the injection state are measured, and the result is the torque (power loss) of the high-speed rotating gear caused by injection lubrication.
5.3. High-Speed Rotation Lubrication Test Data Analysis
6. Conclusions
- As the injection angle increases, the surface coverage of both the large and small rotating gears and the HTC initially show an increasing and then a decreasing trend, and both show the same lubrication law characteristics.
- When the high-speed rotating gear is in non-vertical incidence, because the lubricating oil is directly injected into one of the gears, it will inevitably cause the pressure of the tooth surface in direct contact with the lubricating oil to rise, resulting in power loss. As the injection angle gradually approaches vertical incidence, the oil acts on both transmission gears at the same time, and the oil coverage and HTC on the gear surface reach their maximum.
- Through the gear lubrication test verification, the influence of the injection angle on the lubrication has obvious rules. With the increase in the injection angle, the torque of the gear decreases first and then increases regularly. When the vertical injection, that is, the injection angle is 90°, the torque is the smallest, the loss is the smallest, and the gear’s comprehensive lubrication effect is the best.
- Through the gear lubrication test, it is found that the jet diameter has the greatest influence on gear lubrication, and the injection angle has the least influence on gear lubrication. The law of influence of each parameter is that the incident diameter, rotational speed, incident distance, and jet angle decrease in order.
- Through this experimental research, in comparison with previous studies, the optimal spray conditions can be determined. Under a spray pressure of 0.5 MPa for high-speed gear lubrication, the best parameters are an injection distance of 3.5 cm, a spray angle of 90°, an injection diameter of 1.5 mm, and a gear speed of 2000 r/min. At this time, the loss of the high-speed rotating gears is minimized, and the lubrication effect is the best. This not only enhances the efficiency of lubricant use, avoiding waste caused by excessive lubricant application, but also optimizes the spray—lubrication program, providing guidance for the design of gear-transmission systems.
Author Contributions
Funding
Data Availability Statement
Conflicts of Interest
References
- Zhou, C.; Jiang, X.; Su, J.; Liu, Y.; Hou, S. Injection lubrication for high-speed helical gears using the overset mesh method and experimental verification. Tribol. Int. 2022, 173, 107642. [Google Scholar] [CrossRef]
- Wang, Y.; Zhang, Y.; Huang, C. Influence of injection angle on oil splash of herringbone gear. J. Phys. Conf. Ser. 2021, 1906, 012059. [Google Scholar] [CrossRef]
- Mo, S.; Zou, Z.; Feng, Z.; Dang, H.; Gao, H.; Cao, X. Research on lubrication characteristics of asymmetric helical gear based on CFD method. Lubr. Sci. 2024, 32, 309–320. [Google Scholar] [CrossRef]
- Qiao, Z.; Zhou, C.; Su, J.; Jiang, X. A novel dynamic heat-flow coupled model under spray lubrication for high-speed gears: CFD simulation and experimental validation. Simul. Modell. Pract. Theory 2024, 131, 102867. [Google Scholar] [CrossRef]
- Zhang, Z.; Li, J.; Zou, T.; Hou, W.; An, Y.; Liu, J. Effect of bionic texture on the lubrication efficiency and mechanical efficiency for rotating gears. Surf. Topogr. Metrol. Prop. 2024, 12, 035004. [Google Scholar] [CrossRef]
- Luan, X.-X. Research on Hybrid Lubrication of Spur Gears Based on Finite Element Method. Master’s Thesis, Chongqing University, Chongqing, China, 2022. [Google Scholar] [CrossRef]
- Gu, J.X.; Albarbar, A.; Sun, X.; Ahmaida, A.M.; Gu, F.; Ball, A.D. Monitoring and diagnosing the natural deterioration of multi-stage helical gearboxes based on modulation signal bispectrum analysis of vibrations. Int. J. Hydromechatron. 2021, 4, 309–330. [Google Scholar] [CrossRef]
- Zhu, X.; Dai, Y.; Ma, F.; Ouyang, B. Mathematical modeling and numerical simulation for determining an optimized oil jet layout for spiral bevel gear lubrication. Proc. Inst. Mech. Eng. Part J J. Eng. Tribol. 2021, 235, 611–628. [Google Scholar] [CrossRef]
- Kewat, P. Performance Testing of Gear Lubricants and Methods of Improving Gear Surfaces and Gear Lubricants—A Review. Adv. Sci. 2018, 10, 268–272. [Google Scholar] [CrossRef]
- Li, K.; Chen, G.; Liu, D. Study of the influence of lubrication parameters on gear lubrication properties and efficiency. Ind. Lubr. Tribol. 2016, 68, 647–657. [Google Scholar] [CrossRef]
- Li, X.; Yang, A.; Hu, Y.; He, S. Simulation study of lubrication injection parameters for wide-tooth cylindrical gears. Mech. Transm. 2022, 46, 23–30. [Google Scholar]
- Seetharaman, S.; Kahraman, A. A windage power loss model for spur gear pairs. Tribol. Trans. 2010, 53, 473–484. [Google Scholar] [CrossRef]
- Massini, D.; Fondelli, T.; Andreini, A.; Facchini, B.; Tarchi, L.; Leonardi, F. Experimental and Numerical Investigation on Windage Power Losses in High Speed Gears. J. Eng. Gas Turbines Power 2018, 140, 082508. [Google Scholar] [CrossRef]
- Voeltzel, N.; Marchesse, Y.; Changenet, C.; Ville, F.; Velex, P. On the influence of helix angle and face width on gear windage losses. Proc. Inst. Mech. Eng. Part C J. Mech. Eng. Sci. 2016, 230, 1101–1112. [Google Scholar] [CrossRef]
- Fernandes, C.M.; Rocha, D.M.; Martins, R.C.; Magalhães, L.; Seabra, J.H. Finite element method model to predict bulk and flash temperatures on polymer gears. Tribol. Int. 2018, 120, 255–268. [Google Scholar] [CrossRef]
- Andersson, M.; Sosa, M.; Olofsson, U. Efficiency and temperature of spur gears using spray lubrication compared to dip lubrication. Proc. Inst. Mech. Eng. Part J J. Eng. Tribol. 2017, 231, 1390–1396. [Google Scholar] [CrossRef]
- Chen, G.; Zhou, Y.; Qian, X.; Wu, W.; Zhao, Y.; Hu, Y. Simulation study on the oil spray lubrication of high speed gears. Lubr. Seal. 2019, 44, 125–132. [Google Scholar]
- Dai, Y.; Wu, W.; Zhou, H.B.; Zhang, J.; Ma, F.Y. Numerical Simulation and Optimization of Oil Jet Lubrication for Rotorcraft Meshing Gears. Int. J. Simul. Model. 2018, 17, 318–326. [Google Scholar] [CrossRef]
- Concli, F.; Gorla, C.; Della Torre, A.; Montenegro, G. Churning power losses of ordinary gears: A new approach based on the internal fluid dynamics simulations. Lubr. Sci. 2015, 27, 313–326. [Google Scholar] [CrossRef]
- Gan, L.; Xiao, K.; Wang, J.; Pu, W.; Cao, W. A numerical method to investigate the temperature behavior of spiral bevel gears under mixed lubrication condition. Appl. Therm. Eng. 2019, 147, 866–875. [Google Scholar] [CrossRef]
- Panda, S.K.; Mishra, P.K.; Patra, B.; Panda, S.K. Static and dynamic analysis of spur gear. Int. J. Hydromechatron. 2020, 3, 268–280. [Google Scholar] [CrossRef]
- Koshizuka, S.; Oka, Y. Moving-particle semi-implicit method for fragmentation of incompressible fluid. Nucl. Sci. Eng. 1996, 123, 421–434. [Google Scholar] [CrossRef]
- Shakibaeinia, A.; Jin, Y.C. A weakly compressible MPS method for modeling of open-boundary free-surface flow. Int. J. Numer. Methods Fluids 2010, 63, 1208–1232. [Google Scholar] [CrossRef]
- Townsend, D.P.; Akin, L.S. Analytical and experimental spur gear tooth temperature as affected by operating variables. J. Mech. Des. 1981, 103, 219–226. [Google Scholar] [CrossRef]
- Zou, T.; Yan, Q.; Sui, T.; Zhao, Z.; Li, J.; An, Y. Key Parameters and Experimental Study of High-Speed Rotating Meshing Gear Injection Lubrication Based on Moving Particle Semi-Implicit Method. Lubricants 2023, 11, 366. [Google Scholar] [CrossRef]





















| Name | Large Gears | Small Gears |
|---|---|---|
| Materials | 45 steel | 45 steel |
| Number of gears’ teeth | 42 | 35 |
| Modulus | 3 | 3 |
| Pressure angle | 20° | 20° |
| Tooth width | 15 mm | 15 mm |
| Diameter of the indexing circle | 126 mm | 105 mm |
| No. | The Simulation Conditions | Validation Indicators | |||
|---|---|---|---|---|---|
| Injection Distance (cm) | Injection Angle (°) | Injection Diameter (mm) | Rotational Speed (rpm) | Torque (N·m) | |
| 1 | 3 | 60 | 1.5 | 2000 | 0.0246 |
| 2 | 3 | 75 | 2 | 3000 | 0.0337 |
| 3 | 3 | 90 | 2.5 | 4000 | 0.0600 |
| 4 | 3 | 105 | 3 | 5000 | 0.0932 |
| 5 | 3.5 | 60 | 2 | 4000 | 0.0202 |
| 6 | 3.5 | 75 | 1.5 | 5000 | 0.0301 |
| 7 | 3.5 | 90 | 3 | 2000 | 0.0463 |
| 8 | 3.5 | 105 | 2.5 | 3000 | 0.0556 |
| 9 | 4 | 60 | 2.5 | 5000 | 0.0529 |
| 10 | 4 | 75 | 3 | 4000 | 0.0956 |
| 11 | 4 | 90 | 1.5 | 3000 | 0.0236 |
| 12 | 4 | 105 | 2 | 2000 | 0.019 |
| 13 | 4.5 | 60 | 3 | 3000 | 0.1058 |
| 14 | 4.5 | 75 | 2.5 | 2000 | 0.0275 |
| 15 | 4.5 | 90 | 2 | 5000 | 0.0196 |
| 16 | 4.5 | 105 | 1.5 | 4000 | 0.0167 |
| Source | Injection Distance (cm) | Injection Angle (°) | Injection Diameter (mm) | Rotational Speed (rpm) |
|---|---|---|---|---|
| 0.05288 | 0.05088 | 0.02375 | 0.02935 | |
| 0.03805 | 0.04672 | 0.02313 | 0.05468 | |
| 0.04778 | 0.03738 | 0.04900 | 0.04813 | |
| 0.04240 | 0.04612 | 0.08523 | 0.04895 | |
| Delta | 0.01483 | 0.01350 | 0.06210 | 0.02533 |
| Freedom | 3 | 4 | 1 | 2 |
Disclaimer/Publisher’s Note: The statements, opinions and data contained in all publications are solely those of the individual author(s) and contributor(s) and not of MDPI and/or the editor(s). MDPI and/or the editor(s) disclaim responsibility for any injury to people or property resulting from any ideas, methods, instructions or products referred to in the content. |
© 2025 by the authors. Licensee MDPI, Basel, Switzerland. This article is an open access article distributed under the terms and conditions of the Creative Commons Attribution (CC BY) license (https://creativecommons.org/licenses/by/4.0/).
Share and Cite
Zou, T.; Yan, Q.; Hou, W.; Wang, C.; Zhang, Z.; Li, J. Numerical Simulation and Experimental Study on the Role of Jet Angle in Controlling the Flow of Transmission Gears. Lubricants 2025, 13, 225. https://doi.org/10.3390/lubricants13050225
Zou T, Yan Q, Hou W, Wang C, Zhang Z, Li J. Numerical Simulation and Experimental Study on the Role of Jet Angle in Controlling the Flow of Transmission Gears. Lubricants. 2025; 13(5):225. https://doi.org/10.3390/lubricants13050225
Chicago/Turabian StyleZou, Tiangang, Qingdong Yan, Wei Hou, Chunyu Wang, Ziqiang Zhang, and Junye Li. 2025. "Numerical Simulation and Experimental Study on the Role of Jet Angle in Controlling the Flow of Transmission Gears" Lubricants 13, no. 5: 225. https://doi.org/10.3390/lubricants13050225
APA StyleZou, T., Yan, Q., Hou, W., Wang, C., Zhang, Z., & Li, J. (2025). Numerical Simulation and Experimental Study on the Role of Jet Angle in Controlling the Flow of Transmission Gears. Lubricants, 13(5), 225. https://doi.org/10.3390/lubricants13050225

