You are currently viewing a new version of our website. To view the old version click .
Lubricants
  • Article
  • Open Access

15 May 2025

Comprehensive Evaluation of the Rheological, Tribological, and Thermal Behavior of Cutting Oil and Water-Based Metalworking Fluids

,
,
,
,
,
,
,
,
and
1
Institute of Machine Design and Tribology, Leibniz University of Hanover, An der Universität 1, 30823 Garbsen, Germany
2
Production Engineering Department, Faculty of Engineering, Alexandria University, El-Gaish Rd., Alexandria 21544, Egypt
3
NETZSCH-Gerätebau GmbH, Gebrüder-Netzsch-Straße Wittelsbacherstraße 40, 95100 Selb, Germany
4
Institute of Thermodynamics, Leibniz University Hannover, An der Universität 1, 30823 Garbsen, Germany
This article belongs to the Special Issue High Performance Machining and Surface Tribology

Abstract

Metalworking fluids (MWFs) are crucial in the manufacturing industry, playing a key role in facilitating various production processes. As each machining operation comes with distinct requirements, the properties of the MWFs have to be tailored to meet these specific demands. Understanding the properties of different MWFs is fundamental for optimizing processes and improving performance. This study centered on characterizing the thermal behavior of various cutting oils and water-based cutting fluids over a wide temperature range and sheds light on the specific tribological behavior. The results indicate that water-based fluids exhibit significant shear-thinning behavior, whereas cutting oils maintain nearly Newtonian properties. In terms of frictional performance, cutting oils generally provide better lubrication at higher temperatures, particularly in mixed and full-fluid film regimes, while water-based fluids demonstrate greater friction stability across a wider range of conditions. Among the tested fluids, water-based formulations showed a phase transition from solid to liquid near 0 °C due to their high water content, whereas only a few cutting oils exhibited a similar behavior. Additionally, the thermal conductivity and heat capacity of water-based fluids were substantially higher than those of the cutting oils, contributing to more efficient heat dissipation during machining. These findings, along with the reported data, intend to guide future researchers and industry in selecting the most appropriate cutting fluids for their specific applications and provide valuable input for computational models simulating the influence of MWFs in the primary and secondary shear zones between cutting tools and the workpiece/chiplet.

1. Introduction

The use of coolants in metal machining dates back to the 19th century. In his influential work on metal cutting, Taylor [1] already emphasized in 1907 that cooling and lubrication could substantially extend the tool life and enhance cutting efficiency. Nowadays, synthetic and mineral lubricants, derived from fossil fuels, play a crucial role in a wide range of applications including rotating machinery in energy systems, transportation, chemical manufacturing plants, heavy equipment, food production lines, and metalworking fluids (MWFs). Despite the substantial increase in global crude oil prices following economic recoveries post-COVID pandemic, the lubricant market size peaked at USD 126 billion in 2021. Projections indicate that this market will reach nearly USD 180 billion by 2030, with a compound annual growth rate (CAGR) of 4% [2]. Globally, friction accounts for approximately 30% of primary energy waste, while wear leads to the failure of about 80% of mechanical parts annually. Economic losses due to friction and wear constitute approximately 2–7% of the gross domestic product (GDP) of various countries [3,4]. These statistics underscore the critical importance of effective lubrication in reducing energy waste and mechanical failure, thereby mitigating significant economic losses.
Regarding MWFs, they play an indispensable role in machining processes. Beyond reducing friction, they serve various functions including cooling, cleaning, rust prevention, and improving the machining quality [5]. MWFs are specially formulated composite chemicals designed to fulfill these needs. In operations such as turning, milling, and other metal cutting processes, MWFs play a key role. They form a thin liquid barrier between the workpiece and the tool, reducing direct metal-to-metal contact. This barrier not only minimizes friction, extending the tool life and enhancing machining precision, but also dissipates the heat generated during metalworking, preventing tool overheating and alterations in the material properties [6,7].
The usage of appropriate MWFs can substantially reduce the cutting forces, decrease the cutting temperatures, minimize thermal deformation within the machining system, extend tool life, and enhance the quality of machined surfaces [8,9]. Furthermore, high-performance MWFs are essential for improving the machinability of materials that are traditionally difficult to machine. The International Organization for Standardization (ISO) categorizes MWFs as lubricant products, and in 1986, established ISO 6743-7 [10] specifically for MWFs. This standard classifies metalworking lubricants into two main categories based on their function: lubrication and cooling. Additionally, an updated DIN 51385 standard [11] was introduced in 2013. According to the latter, the classification of MWFs is primarily based on their composition, distinguishing oil-based and water-based fluids as the most common categories. These classifications achieve specific performance characteristics through the inclusion of various chemicals (additives). The first classification, known as straight MWFs, comprises straight oils, while the other category encompasses water-soluble cutting fluids [12]. Straight oils provide superior lubrication compared with other coolant types, primarily due to the presence of effective additives within the petroleum or mineral oil matrix such as phosphorus, chlorine, or sulfur [13]. However, straight oils exhibit the poorest heat transfer capabilities because they lack a water content [14]. In contrast, water-based cutting fluids, like emulsions or solutions, offer a balance of cooling and lubrication [15]. For emulsions, additives like sulfur and phosphorous can also form boundary films to reduce friction [16,17]. Although their lubrication efficiency is lower than that of straight oils, emulsions remain effective across a wide range of machining applications including broaching and grinding [18]. A subtype of emulsions, chemical MWFs, incorporates either synthetic or mineral oil, or a combination of both, mixed with water. These fluids include chemical agents specifically designed to enhance the integration of water and oil, thereby improving their overall performance [19].
Previous research articles have evaluated the efficiency of various MWFs in different cutting applications, focusing on the characteristics of the MWFs. As such, Radulescu et al. [20] examined the rheological performance of four MWFs including two straight oils (INSA Rezinol C-22 and Würth Cut & Cool) and two emulsions (INSA Emulsol and Rhenus RL 3 DW). They found that INSA Rezinol C-22 and INSA Emulsol exhibited low apparent viscosity and notable thixotropic behavior, making them suitable for light machining applications. In contrast, Rhenus RL 3 DW and Würth Cut & Cool demonstrated higher stability and homogeneity due to the absence of thixotropy and hysteresis, which makes them suitable for heavy machining processes. Additionally, Würth Cut & Cool, with its higher viscosity index, proved to be especially well-suited for applications at elevated temperatures.
In a recent study [21], the rheological and tribological characteristics of ester-based oil (CSF 35) were compared with two emulsions based on synthetic (Blaser Vasco 6000) and semisynthetic (Zubora 67H Extra) oils. The research highlighted that the emulsions exhibited shear-thinning behavior at higher temperatures, attributed to the presence of extreme pressure additives absent in CSF 35. Moreover, both emulsions demonstrated superior tribological performance in open tribotester experiments conducted at various sliding velocities and contact pressures. Zubora 67H Extra stood out for reducing the friction coefficient by 78% compared with dry conditions, despite having the lowest viscosity index among the tested MWFs. These properties make it suitable for use in secondary machining zones to enhance penetration usage and reduce friction.
In order to estimate the heat removal capability of the MWFs, thermophysical properties, such as heat capacity and thermal conductivity, have to be well-known. This is especially true for numerical simulations of the cutting process. Due to the wide array of different brands and types of MWFs, individual measurements for each MWF in use have to be performed to gather precise results. For the measurement of the specific heat capacity, differential scanning calorimetry (DSC) is a well-established method. Measurement of the thermal conductivity of fluids can be performed with a transient hot-wire setup or laser flash analysis (LFA). Bavoh et al. [22] measured the heat capacity of polymer-based drilling fluids with DSC over the range of 5–100 °C. Singh et al. [23] studied the thermal conductivity as well as the heat capacity of MWFs with different fractions of different nanoparticles. The thermal conductivity was measured with a transient hot-wire setup, and the heat capacity measurements were performed with a DSC. Both measurements were carried out at temperatures between 25 and 50 °C. The authors reported that the thermal conductivity rose and the specific heat capacity decreased with increasing concentration of nanoparticles. Chiguma et al. [24] used DSC to measure the heat capacity and the LFA technique to study the thermal diffusivity and thermal conductivity of epoxy-based nanocomposites.
It should be mentioned that, besides conventional cutting fluids, as addressed in our study, recent studies have shifted toward understanding the behavior of cutting fluids under extreme operating conditions. For instance, Pereira et al. evaluated the sustainability of various lubricant oils used in minimum quantity lubrication (MQL) by analyzing their tribological and rheological performance. Their work highlights the potential of bio-based alternatives to enhance the machining performance while minimizing the environmental impact [25]. Another advanced method is high-pressure cooling (HPC). Suárez demonstrated its effect on tool wear during the turning of Inconel 718; the results showed that HPC significantly reduced the flank wear and cutting forces, though it also increased the notch wear. These findings emphasize the need for optimized cooling strategies in the machining of superalloys [26]. It must also be mentioned that emerging technologies such as cryogenic cooling are gaining traction as viable alternatives to conventional lubrication [27]. Amigo et al. showed that while oil emulsion performed best for Inconel 718, cryogenic cooling using CO2 opened a path toward the more efficient and cleaner turning of Haynes 263 [28]. Furthermore, Pusavec et al. demonstrated significant improvements using cryogenic machining and high-pressure jet-assisted machining compared with conventional methods for Inconel 718, particularly in terms of tool wear and process sustainability [29]. Biermann et al. also proved that cutting process improvements due to lubrication are based on the interaction of fluid properties, supply strategy, and cutting speed [30].
However, despite the widespread use and importance of MWFs, there is a notable lack of comprehensive assessments that have covered their rheological, thermal, and tribological behavior. Therefore, the primary aim of this article is to fill this gap by providing an in-depth characterization of various common MWF types. By establishing a detailed baseline, this research intends to guide future research. This comprehensive evaluation will help streamline the decision-making process, ensuring that the chosen MWFs enhance efficiency and performance in metalworking operations. The obtained data can also be used as input in numerical approaches to simulate the influence of MWFs in the gap between work piece and cutting tool as well as chiplet and cutting tool.

2. Materials and Methods

2.1. MWFs

Within the framework of this comprehensive study, a total of 12 MWFs were selected. This was guided by fluids studied within priority program of the German Research Foundation “Efficient Cooling, Lubrication, and Transportation—Coupled Mechanical and Fluid-Dynamical Simulation Methods for Efficient Production Processes (FLUSIMPRO)”. The selected lubricants represent a range of formulations commonly encountered in industrial applications, allowing for a comprehensive comparison of their thermal, rheological, and tribological behavior. This included seven cutting oils and five water-based cutting fluids, as summarized and depicted in Table 1 and Figure 1, respectively. The seven cutting oils included three mineral oil-based fluids and four synthetic ones. Among the synthetic oils was Sinto Grind MP830, produced by Oelheld GmbH (Stuttgart, Germany). This oil is primarily used in slot grinding and profile grinding as well as the external and internal cylindrical grinding of steels such as high-speed cutting steel, powder-metallurgical steels, and medical-grade steels. Another synthetic oil used was Variocut G600HC from Castrol Germany GmbH (Hamburg, Germany), a cutting oil based on hydrocrack oil, specifically developed for high-speed grinding and the gear grinding of ferrous metals using cubic boron nitride and corundum grinding wheels. Furthermore, three oils from Blaser Swisslube GmbH (Stuttgart, Germany) were also examined: Blasomill 10DM, a mineral oil-based cutting fluid particularly suited for deep hole drilling and demanding machining processes, and the synthetic fluids Vascomill MMS HD1 and Vascomill CSF35. Vascomill MMS HD1 is optimized for high-performance minimal quantity lubrication, while Vascomill CSF35, with a 10% higher ester content, is suitable for both minimal quantity lubrication and flood machining. Furthermore, Alumicut 659 from Setral Chemie GmbH (Seeshaupt, Germany) was selected, a synthetic oil, which is highly valued in the aerospace industry and is particularly well-suited for the machining of sandwich materials. Finally, the mineral oil-based fluid Ecocut 3046 from Fuchs Lubricants Germany GmbH (Mannheim, Germany) was selected as a versatile cutting, and in a rationalized manner, hydraulic or spindle oil.
Table 1. Lubricating oil properties as specified by the suppliers.
Figure 1. Photo of the selected cutting oil samples.
In addition to the previously introduced cutting oils, five water-based cutting fluids, consisting of four emulsions and one solution, were also studied. A detailed overview of the properties specified by the suppliers and images of the fluids are displayed in Table 2 and Figure 2, respectively. The first emulsion, Vasco 6000, produced by Swisslube GmbH, is typically used for general to the heavy machining of cast iron, steel, aluminum alloys, titanium, and nickel-based alloys, titanium, and nickel-based alloys. Its target industries include mixed manufacturing, medical technology, and automotive. The cutting fluid Adrana from Houghton is primarily utilized in the machining of steel, high-alloy steels, non-ferrous metals, and aluminum. The following three cutting fluids are produced by Zeller+Gmelin GmbH & Co. KG (Eislingen/Fils, Germany): Zubora 67H5 and 67H10 are both derived from the same base component and differ in their mineral oil content; Zubora 67H5 is composed of 5% base component and 95% water, 67H10 with 10% base component and 90% water. They are suitable for machining steel, cast iron, and aluminum. Zubora TTS10, a solution, is especially well-suited for the machining of titanium (alloys).
Table 2. Lubricating emulsion properties as specified by the suppliers.
Figure 2. Photo of the selected cutting emulsion samples.

2.2. Rheological and Tribological Characterization

The rheological and tribological behaviors of the MWFs were analyzed using a rotational rheometer (Kinexus Prime Lab, NETZSCH Gerätebau GmbH, Selb, Germany). Both of these setups are presented in detail and illustrated in [31].
The rheological behavior was characterized in the cone-on-plate configuration, which featured a machine head generating the torque, causing the upper slightly conical plate to rotate on the flat lower plate. This method was chosen for the viscosity measurements as, unlike a capillary viscometer, it can replicate the shear forces that occur during material processing. The lubricant film was situated between the two plates. From the measured torque and rotational speed, the shear stress and shear rate can be determined. Thereby, fluid sample volumes of 0.3 mL over a wide shear rate spectrum ranging from 1 m/s to 100 m/s (machine limits) were applied at a constant temperature of 25 °C, with two repetitions. Within the scope of this study, only the oil-based fluids were tested, as it was assumed that the emulsions, due to their high water content, exhibited a Newtonian behavior at room temperature [21].
The measurement of the coefficient of friction (COF) as a function of velocity (Stribeck curve) was carried out using a tribo-cell on the same rheometer. This setup was similar to the steel ball-on-three steel plate configuration previously described in [31,32,33], where a driven ball is loaded against three steel plates, which are placed at an angle of 45° and distributed circumferentially by 120° while the COF is recorded. In this study, measurements were performed at 5 °C, 25 °C, and 50 °C, and the nominal max. Hertzian contact pressure was varied at 0.5 and 1 GPa. The measurements were conducted over a sliding velocity from 4.49 × 10−6 m/s up to 0.1347 m/s for emulsions and up to 4.49 m/s for oils, the maximum that could be reached. Due to the reduced load-bearing capacity due to a separating lubricating film, higher sliding velocities were avoided for the emulsions. Furthermore, the temperature was limited to 50 °C for all fluids to minimize evaporation loss, particularly for water-based fluids, which may affect the lubricant film characteristics. Each measurement was repeated three times. In the test, the rotating ball against the three counterparts behaved similarly to a journal bearing traversing the Stribeck curve. At the lowest sliding velocities, solid lubrication dominated. As the speed increased, mixed lubrication occurred, transitioning to full-film lubrication at the highest velocities, where the surfaces were fully separated by the lubricant film.

2.3. Thermal Properties

The measurements of the heat capacities of the different MWFs were examined by DSC (204 F1 Phoenix©, NETZSCH Gerätebau GmbH, Selb, Germany), according to ASTM E 1269 [34], DIN 51007 [35], ISO 11357 [36]. DSC is a technique in which the difference between the heat flow rate into a crucible containing the sample and the heat flow rate into a reference crucible is measured while both the sample and reference crucible are subjected to the same controlled temperature program. The measured heat flow of the sample is then converted into the specific heat capacity by measuring a reference material (sapphire) with a known temperature dependent on the specific heat capacity. For this study, hermetically sealed Al crucibles were used. The sample mass for all samples was 15 ± 0.1 mg. The crucibles were reweighed after DSC in order to check that no mass loss appeared during the measurement. The temperature profile for the DSC measurements consisted of three parts and differed for the measurement of the oil- and water-based cutting fluids. First, an isotherm of 10 min at −60 °C, followed by a linear temperature increase of 10 K/min up to 100 °C in the case of the oil and 80 °C in the case of all water-based cutting fluids. The third step was another isotherm of 5 min at 100 °C/80 °C, respectively. The heating rate of 10 K/min was chosen with regard to ISO 11357, DIN 53765 [37], ASTM E 793 [38]. Higher heating rates tend to have difficulties in detecting (secondary) phase changes. The starting isotherm at low temperature was chosen to evaluate possible solid–liquid phase transitions, and the ending isotherm was chosen to prevent evaporation of the MWFs. The measurements of each sample were repeated twice, and average curves were used for evaluation.
Furthermore, the thermal conductivity of all cutting fluids were measured by LFA (LFA 467 HyperFlash©, NETZSCH Gerätebau GmbH, Selb, Germany). For LFA, the sample was placed onto a sample holder consisting of two stainless steel plates at the bottom and top and a polymer ring (PEEK) to hold the substance in place. The probe was then hit perpendicular to its surface by a light beam from a Xenon flash lamp. On the opposite side of the sample holder, the emitted temperature signal of the probe was then measured via an infrared sensor and noted with respect to the time. The density of the examined MWF was taken from the data sheet, and the values for the specific heat capacity cp were obtained from DSC. For the MWFs undergoing phase change, interpolated values of specific heat capacity were derived to compensate for the peak in heat capacity measurements.
The samples were tested in a temperature range from −20 °C to 100 °C and performed with the 3-layer method. In the case of LFA, three individual measurements were carried out for each temperature point. Prior to all measurements, a measurement with water at 25 °C was conducted to validate the procedure. A value of 0.143 mm2/s was detected, which had a less than 3% deviation to the reference value [33]. It has to be noted that the heat capacity curves in the phase change range were interpolated for the calculation of the thermal conductivity, so the phase change energy was excluded from the calculation.

3. Results and Discussion

3.1. Rheological Behavior

The viscosity trends for each cutting liquid over the range of shear rates are shown in Figure 3. For the cutting oils (Figure 3a), a nearly Newtonian behavior was observed, with no significant thinning or thickening effects. Among them, Vascomill MMS exhibited the highest average shear viscosity, followed by CSF 35. Alumicut 659 fell within the group with the lowest viscosity values, comparable to G600 HC, Blasomill 10DM and MP830. Fuchs Ecocut 3046 showed an intermediate viscosity value.
Figure 3. Dynamic viscosity at 25 °C for the (a) cutting oils and (b) cutting emulsions.
In comparison to the cutting oils, the studied emulsions primarily exhibited a thinning behavior, which was the dominant factor influencing their viscosity trends, especially at very low shear rates (Figure 3b). This effect was particularly pronounced in Zubora 67H5 and Zubora TTS10. Notably, Zubora TTS10 maintained a higher viscosity than the other emulsions, whereas Zubora 67H5 experienced a sharp decline, resulting in the lowest viscosity among them. Overall, the viscosity values of the emulsions were substantially lower than those of the oils.

3.2. Frictional Performance

The variation in the COF with sliding speed for different cutting oils under various testing conditions is represented in Figure 4. Across all subplots, the COF typically decreased with velocities at the lower range for most of the oils, reached a minimum at intermediate velocities, and then increased as the angular velocity continued to rise. This trend reflects the transition from boundary to mixed, followed by full-fluid film lubrication.
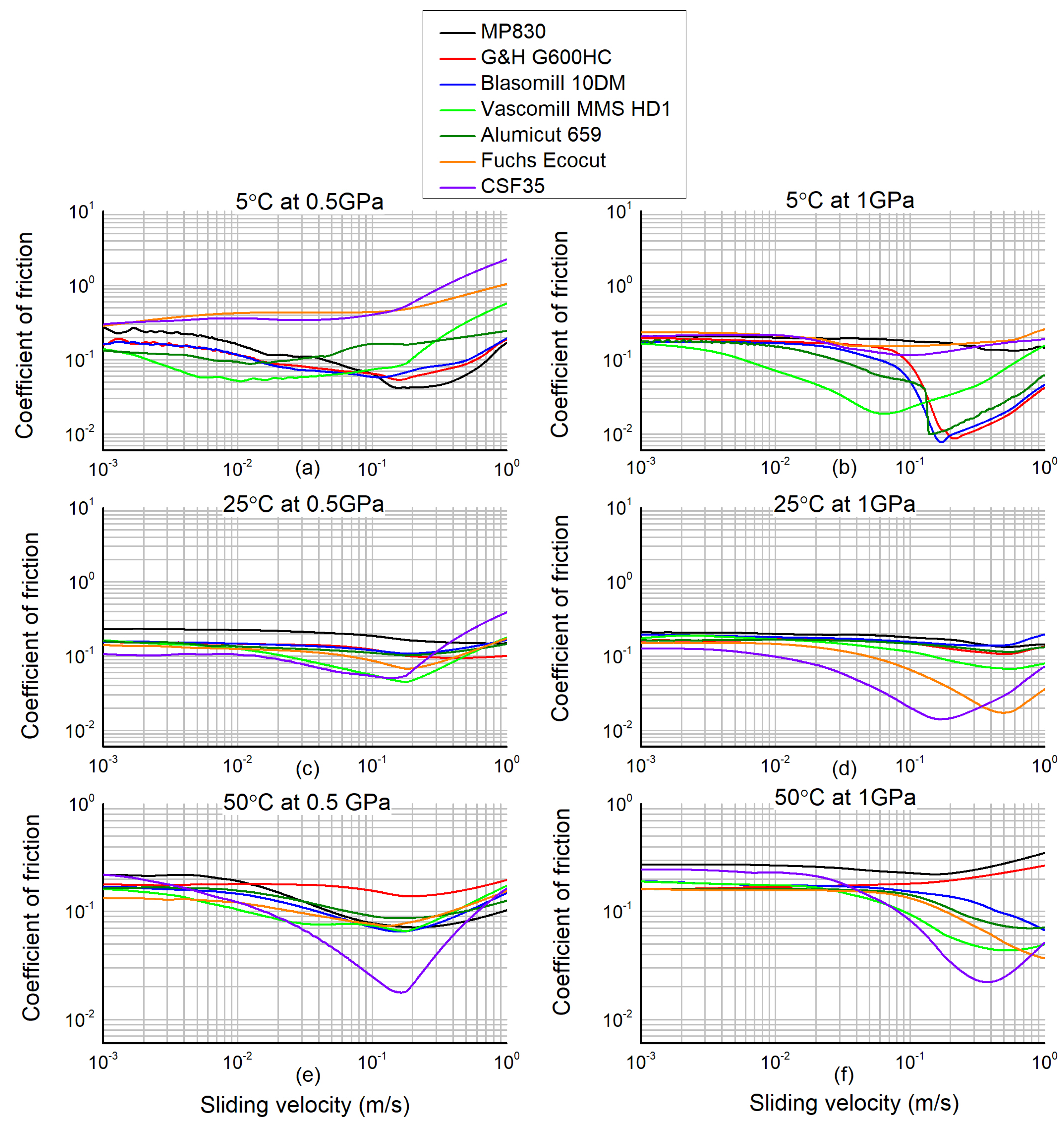
Figure 4. Frictional performance for cutting oils at 5 °C for a nominal Hertzian pressure of (a) 0.5 GPa and (b) 1 GPa, at 25 °C for (c) 0.5 GPa and (d) 1 GPa, and at 50 °C for (e) 0.5 GPa and (f) 1 GPa.
A relatively stable decrease in friction with a pronounced minimum and subsequent rise was evident for most oils with increasing sliding velocity (Figure 4a), except for Focus Ecocut 3046 and CSF35, which showed increasing trends across the whole speed range. Vascomill MMS and Alumicut 659 revealed the least frictional values up to the point where the mixed friction condition case began. At that stage, MP830 had a lower COF followed by Blasomill 10DM and G600HC. At higher contact pressure (Figure 4b), Vascomill MMS and Alumicut 659 continued to show a notable decrease in friction compared with the other oil samples under the same conditions. In contrast, MP830 exhibited a higher friction and delayed transition to the mixed lubrication regime.
At 25 °C (Figure 4c), the COF slightly decreased for most oil samples compared with 5 °C. MP830 exhibited the highest friction curve, while CSF35 showed the lowest COF until it approached the hydrodynamic regime, where Vascomill MMS replaced CSF35 as the lubricant with the lowest friction. Certain oils, such as G600HC, Blasomill 10DM, and MP830, demonstrated a delayed transition to the mixed lubrication regime. When the contact pressure increased to 1 GPa (Figure 4d), CSF35 maintained the performance observed at 0.5 GPa, with a lower COF when approaching the full-film condition. Fuchs Ecocut 3046 followed CSF35 and displayed an extended hydrodynamic region. MP830, however, continued to show the highest frictional coefficient values under these conditions.
At 50 °C and 0.5 GPa (Figure 4e), Fuchs Ecocut 3046 demonstrated the lowest COF of approximately 0.005 m/s, where it intersected with Vascomill MMS as it transitioned into the mixed lubrication regime. CSF35, in particular, showed a substantial reduction in friction within its hydrodynamic regime compared with the other oils. Interestingly, MP830′s frictional trend declined after reaching the mixed condition, with its transition occurring sooner than in previous cases. Above 0.5 m/s, MP830 crossed the CSF35 curve, becoming the lubricant with the lowest friction within this velocity range. When the pressure was increased to 1 GPa (Figure 4f), Fuchs Ecocut 3046 maintained its low friction performance across a wider boundary regime than at 0.5 GPa until it intersected with Vascomill MMS. Shortly after, Vascomill MMS’s curve was crossed by CSF35, which then continued to show the lowest COF throughout most of the mixed and hydrodynamic regimes before Fuchs Ecocut intersected beyond 0.8 m/s, featuring the lowest COF. Under these higher pressure conditions, MP830 showed the highest friction, in contrast with its performance at lower contact pressures. Furthermore, nearly all oils exhibited an extended boundary regime at 1 GPa.
In conclusion, MP830 consistently showed the highest COF at elevated contact pressures, while CSF35 demonstrated considerably lower values at higher temperatures compared with Vascomill MMS and Fuchs Ecocut 3046, particularly in the mixed and full-fluid film regimes.
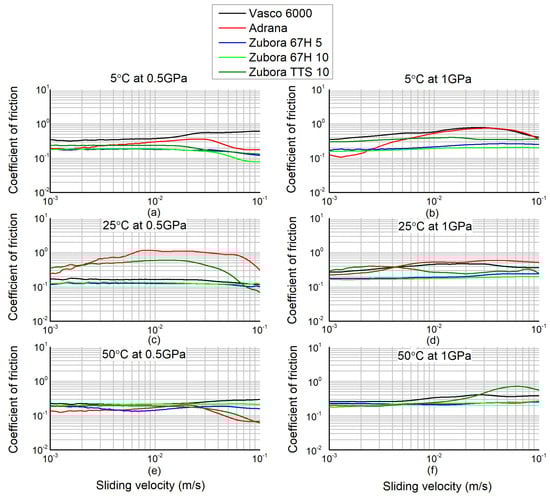
The frictional performance of the various emulsions was evaluated up to a maximum angular speed of 0.1347 m/s, as shown in Figure 5. At 5 °C, Vasco 6000 demonstrated the highest COF across the entire speed range. In contrast, both Zubora 67H emulsions exhibited the lowest friction, particularly at contact pressures below 0.5 GPa (Figure 4a). As the contact pressure increased (Figure 4b), Adrana initially showed a lower COF at lower velocities compared with all of the emulsions; however, it experienced a significant rise when the speed increased, eventually following a trend similar to Vasco 6000. At higher speeds for both, the COF decreased. This indicates increased frictional losses at intermediate velocities. In comparison, all Zubora formulations displayed a more frictional trend.
Figure 5. Frictional performance for cutting emulsions at 5 °C for a nominal Hertzian pressure of (a) 0.5 GPa and (b) 1 GPa, at 25 °C for (c) 0.5 GPa and (d) 1 GPa, and at 50 °C for (e) 0.5 GPa and (f) 1 GPa.
When the temperature increased to 25 °C at 0.5 GPa (Figure 5c), Adrana demonstrated a substantial rise in COF with sliding velocity, peaking at intermediate velocities to record the highest values. However, as the speed continued to increase, the friction for Adrana declined, eventually aligning with the trend observed at 5 °C under 1 GPa. The Zubora 67H emulsions showed improved frictional behavior compared with their performance at 5 °C and 0.5 GPa, achieving the lowest friction values, particularly at low to intermediate sliding velocities. Zubora TTS10 initially exhibited the highest friction at very low sliding velocity, but the trend rose more gradually. Despite this initial peak, Zubora TTS10 maintained lower values than Adrana and eventually decreased further, becoming the emulsion with the lowest friction at higher velocities. As the contact pressure increased to 1 GPa (Figure 5d), the Zubora 67H group consistently retained the lowest COF across the entire speed range. Adrana, in contrast, experienced a significant increase in friction with rising sliding velocities, ultimately registering the highest values at higher velocities.
At 50 °C and 0.5 GPa (Figure 5e), Adrana and Zubora TTS exhibited a lower COF compared with values measured at 25 °C. At higher velocities, these lubricants showed minimal friction. In contrast, Vasco 6000 continued to show the highest friction, following the same behavior of the condition of 5 °C but with lower friction values. At elevated contact pressure (Figure 5f), all lubricants demonstrated a stable and consistent performance across a similar range, except for Zubora TTS and Vasco 6000, which showed deviations at intermediate velocities. As the velocity increased beyond the intermediate range, Zubora TTS’s friction decreased substantially.
In conclusion, Adrana experienced a marked rise in COF at intermediate velocities but later stabilized, whereas the Zubora 67H package emulsions continued to exhibit controlled and favorable frictional behavior. At the temperature of 50 °C, both Adrana and Zubora TTS10 achieved lower friction compared with their performance at 25 °C, with the Zubora emulsions consistently maintaining lower COF values even as the contact pressure increased. This indicates that higher temperatures generally improved the lubrication efficiency, while the Zubora emulsions demonstrated good stability and lower friction under varying pressures.

3.3. Thermal Behavior

The measured specific heat capacity for the cutting oils as obtained by DSC is displayed in Figure 6a. It was observed that the CSF35 and Alumicut 659 oils exhibited a phase change during the heating process. This can be seen as an endothermic effect in the specific heat capacity curve at around 0 °C, where a lot of heat is necessary to uphold the rise in temperature. The other cutting oils also showed endothermic effects below 0 °C, which also indicated phase changes. In the temperature range from 30 to 100 °C, the specific heat capacity rose with the temperature almost linearly, as to be expected. The specific heat capacity measurement for all of the cutting oils in this range varied from 1.8 to 2.4 kJ/(kg⋅K), where Vascomill MMS exhibited the lowest specific heat capacity, and Fuchs Ecocut had the highest specific heat capacity.
Figure 6. Specific heat capacity of the (a) cutting oils and (b) water-based cutting fluids.
The measured heat capacity of the water-based cutting fluids is illustrated in Figure 6b. All water-based lubricants exhibited a clear phase change transition from solid to liquid below 0 °C due to their high water content. Moreover, in the temperature range where the fluid underwent the phase change, the specific heat capacity increased with rising temperature. In the temperature range where the fluids were in their liquid state, the specific heat capacity of all the examined water-based cutting fluids was around 3.95–4.25 kJ/(kg·K), which was close to the data from the pure water. This was expected since the special components forming the emulsion with the water will lower the overall heat capacity. The measured values were nearly twice as high as the measured values of the cutting oils (Figure 6a).
The assessment of thermal conductivity is presented in Figure 7. For the cutting oils (Figure 7a), the thermal conductivity in the temperature range from 0 to 100 °C was in the range of 0.10–0.18 W/(m⋅K). Below 0 °C, it could clearly be seen that the conductivity was higher, especially for Alumicut 659 and CSF35, which were the oils that experienced clear signs of the phase change process, as seen in the graph for the measurement of heat capacity (Figure 6a).
Figure 7. Thermal conductivity for the (a) cutting oils and (b) water-based cutting fluids.
For the water-based cutting fluids (Figure 7b), the thermal conductivity was substantially larger compared with those of the cutting oils due to their high water content. Values were in the range of 0.4–0.6 W/(m⋅K) for temperatures above 0 °C. Below 0 °C, the thermal conductivity was a lot higher, as expected when the lubricant is in its solid state. For the temperature range above 0 °C, all of the examined emulsions compared well to the thermal conductivity of pure water, with their conductivities below that of pure water. The Zubora 67H5 emulsion showed an unnatural behavior, where the conductivity rose significantly at 60 °C. In this case, the probe was starting to evaporate, thus leading to inaccurate readings at 60 °C, and especially at 80 °C. The data for the thermal properties are shown for different temperatures in Table 3 for the water based MWFs and in Table 4 for the cutting oils.
Table 3. Specific heat capacity c p   [ k J / k g K ] and thermal conductivity λ   [ W / m K ] of the water-based MWFs.
Table 4. Specific heat capacity c p   [ k J / k g K ] and thermal conductivity λ   [ W / m K ] of the cutting oils.

4. Limitations of the Study

Despite the valuable insights gained from this study, several limitations warrant acknowledgment.
Limited temperature range: The experiments were conducted at specific temperature intervals. However, the behavior of MWFs at higher operating temperatures, which are common in many machining processes and can significantly influence the fluid properties and performance, was not extensively examined. This was primarily due to the propensity of the tested liquids to evaporate under such conditions.
Simplified tribological testing conditions: The tribological assessments were performed under controlled laboratory conditions using a ball-against-three-counterpart setup. While this methodology provides valuable comparative data on the lubricating characteristics of the MWFs, it represents a simplification of the complex interactions encountered in real machining environments. These environments typically involve varying and often higher contact pressures, a wider range of cutting speeds, and dynamic loads, which were not fully replicated in this study.
Restricted additive analysis: This study highlighted the significant role of additives in the formation of boundary films and their impact on tribological performance. However, a detailed chemical analysis of the specific additive interactions with the workpiece and tool materials as well as the mechanisms and kinetics of their degradation over time under the tested conditions was beyond the scope of this initial investigation. Future research could benefit from employing advanced surface analysis techniques to elucidate these complex chemical processes.
Analysis of thermal conductivity: Since the analysis of thermal conductivity was performed with the density of each MWF at room temperature, and the density is dependent on temperature, a slight deviation from the presented data is to be expected. The density of water decreases by 2.6% for a change in temperature from 20 to 80 °C. Since all water-based MWFs (emulsions/solution) mainly consisted of water (~90–95% water-content), changes in density were expected to be in this range. Concerning the oils, with an estimated expansion coefficient of 8 × 10−4 1/K [39], changes in density were up to −5.5% at 100 °C compared with 20 °C. Since the density is directly proportional to the thermal conductivity, the estimated error was up to 3% for the water-based MWFs and up to 5.5% for the oils.
Numerical model calibration: While the experimental findings of this study can contribute to the development and refinement of numerical simulation models for machining processes, further validation through in-process measurements under realistic machining conditions is necessary. This is particularly crucial for accurately capturing the complex influence of MWF behavior within the narrow gap between the cutting tool and the chip or workpiece in the primary and secondary sliding zones, where lubrication and cooling are critical.
Material and surface variability: This study primarily focused on the tribological behavior of MWFs when interacting with specific materials and under defined surface conditions. The performance of these fluids, including their friction-reducing and wear-inhibiting capabilities, may vary significantly when applied to different workpiece materials, tool coatings, or surface roughness profiles. Further research is needed to explore the broader applicability and material-specific effectiveness of the investigated MWFs.
Despite these limitations, the data provide significant insights into the lubricants’ behavior and serve as a valuable database for ongoing and future research.

5. Summary and Outlook

In this work, the rheological, tribological, and thermal behavior of various typical MWFs, including cutting oils and water-based cutting fluids, were assessed with the aim to provide initial data for further understanding their influence in metal working processes. Due to the measurement results starting at lower temperatures, the data can also find input into the recent research in the field of cryo-machining. The data achieved can support the design of numerical simulation models that accurately depict the original process. The main findings are illustrated in the following points:
  • Temperature had a high influence on the tribological and thermal properties of the respective cutting fluids.
  • The viscosity values of the emulsions were significantly lower than those of the oils, showing remarkable shear thinning behavior.
  • The lubrication conditions for the emulsion remained in the mixed lubrication regime, as shown by Liu et al. [17], by performing ball-on-disc tests using different optical interferometry. Thus, the influence of additives that form boundary films is particularly important.
  • In general, a lower COF can be achieved with oil-based MWFs as they are able to form a separating lubrication film within the tribocontact.
  • MP830 showed the highest COF at high contact pressures, while CSF35 performed similarly at elevated temperatures, excelling alongside Vascomill MMS and Fuchs Ecocut 3046 in the mixed and full-fluid film regimes.
  • Adrana showed a significant increase in COF at intermediate velocities before stabilizing, while the Zubora 67H emulsions maintained a consistent and favorable frictional performance.
  • At temperatures of 50 °C, both Adrana and Zubora TTS 10 showed a decrease in COF compared with their behavior at 25 °C.
  • All water-based lubricants exhibited a phase transition from solid to liquid around 0 °C due to the high water content. Only two oils showed clear signs of phase transition.
  • In the case of the thermophysical properties, the thermal conductivity as well as the heat capacity of the examined water-based MWFs were significantly higher than those of the cutting oils, enabling a more efficient heat dissipation.
Moreover, the findings are particularly relevant for advancing research in cryo-machining and high-pressure cooling, as the extensive temperature-dependent measurements provide crucial data for optimizing fluid selection and performance. Additionally, these insights aid in the development of more accurate numerical simulation models, enhancing the predictability and efficiency of machining processes. Overall, this study underscores the importance of selecting the appropriate metalworking fluid based on specific operating conditions, ultimately improving the machining performance and thermal management. Future work should focus on analyzing boundary films formed in the tribological contact to assess the tribochemical effects. A deeper understanding of boundary film formation and tribochemical interactions will further enhance MWF selection and performance optimization, particularly for the secondary lubrication of components such as pumps, conveyor belt bearings, and positioning systems within metalworking systems using the same lubricant.

Author Contributions

Conceptualization, B.G.N., F.P. and J.S.; methodology, B.G.N., F.P. and J.S.; measurement rheological/frictional behavior, B.G.N. and F.P.; measurement thermal behavior, S.S., D.S., R.T. and F.R.; data curation B.G.N., F.P., J.S. and M.G.; writing—original draft preparation B.G.N., F.P. and J.S.; writing—review and editing, B.G.N., F.P., S.S., D.S., R.T., F.R., J.S., M.G., G.P., M.M. and S.K.; visualization, B.G.N. and J.S.; Supervision, F.P., G.P. and S.K. All authors have read and agreed to the published version of the manuscript.

Funding

The authors appreciate the funding of this work within the Priority Program 2231 “Efficient cooling, lubrication and transportation—coupled mechanical and fluid-dynamical simulation methods for efficient production processes (FLUSIMPRO)” by the German Research Foundation (DFG)—project numbers 439925537 and 439904924.

Data Availability Statement

Available upon request.

Acknowledgments

We would like to express our sincere gratitude to the Institute of Multiphase Processes (IMP) of Leibniz University Hannover for their valuable support in providing access to the rheometer used in our research. Their assistance was instrumental in enabling the successful completion of this work, and we deeply appreciate their collaboration and expertise.

Conflicts of Interest

Authors Stefan Schmölzer, Dorothea Stobitzer, Rebekka Taubmann, Florian Rummel were employed by NETZSCH-Gerätebau GmbH. The remaining authors declare that the research was conducted in the absence of any commercial or financial relationships that could be construed as a potential conflict of interest.

References

  1. Taylor, F.W. On the Art of Cutting Metals; American Society of Mechanical Engineers: New York, NY, USA, 1906; Volume 23. [Google Scholar]
  2. Spherical Insights LLP. Global Lubricant Mark. 2022, p. 211. Available online: https://www.sphericalinsights.com/reports/lubricant-market (accessed on 31 March 2025).
  3. Holmberg, K.; Andersson, P.; Erdemir, A. Global energy consumption due to friction in passenger cars. Tribol. Int. 2012, 47, 221–234. [Google Scholar] [CrossRef]
  4. Luo, J. Investigation on the origin of friction and superlubricity. Chin. Sci. Bull. 2020, 65, 2966–2978. [Google Scholar] [CrossRef]
  5. Brinksmeier, E.; Meyer, D.; Huesmann-Cordes, A.; Herrmann, C. Metalworking fluids—Mechanisms and performance. CIRP J. Manuf. Sci. Technol. 2015, 64, 605–628. [Google Scholar] [CrossRef]
  6. Ogedengbe, T.S.; Abdulkareem, S.; Aweda, J. Effect of coolant temperature on machining characteristics of high carbon steel. Cov. J. Eng. Technol. 2018, 1, 73–86. [Google Scholar]
  7. Kui, G.W.A.; Islam, S.; Reddy, M.M.; Khandoker, N.; Chen, V.L.C. Recent progress and evolution of coolant usages in conventional machining methods: A comprehensive review. Int. J. Adv. Manuf. Technol. 2022, 119, 3–40. [Google Scholar] [CrossRef]
  8. Antonicelli, M.; Piccininni, A.; Cusanno, A.; Lacedra, V.; Palumbo, G. Evaluation of the effectiveness of natural origin metalworking fluids in reducing the environmental impact and the tool wear. J. Clean. Prod. 2023, 385, 135679. [Google Scholar] [CrossRef]
  9. Yan, P.; Rong, Y.; Wang, G. The effect of cutting fluids applied in metal cutting process. Proc. Inst. Mech. Eng. Part B. 2015, 230, 19–37. [Google Scholar] [CrossRef]
  10. ISO 6743-7; Lubricants, Industrial Oils and Related Products (Class L)—Classification—Part 7: Family M (Metalworking). International Organization for Standardization: Geneva, Switzerland, 1986.
  11. DIN 51385:2013-12; Lubricants—Processing Fluids for Forming and Machining of Materials—Terms. German Institute for Standardization: Berlin, Germany, 2013.
  12. Clark, P.E.; Pilehvari, A. Characterization of crude oil-in-water emulsions. J. Petrol. Sci. Eng. 1993, 9, 165–181. [Google Scholar] [CrossRef]
  13. Iowa Waste Reduction Center. Cutting Fluid Management: Small Machining Operations; National Center for Manufacturing Sciences: Ann Arbor, MI, USA, 2003; pp. 1–61. [Google Scholar]
  14. Singh, J.; Gill, S.S.; Dogra, M.; Singh, R. A review on cutting fluids used in machining processes. Eng. Res. Express 2021, 3, 012002. [Google Scholar] [CrossRef]
  15. McCoy, J.S. Tracing the Historical Development of Metalworking Fluids, 3rd ed.; CRC Press: Boca Raton, FL, USA, 2017; pp. 1–17. [Google Scholar]
  16. Pape, F.; Poll, G.; Ellersiek, L.; Denkena, B.; Liu, H. Tribological Effects of Metalworking Fluids in Cutting Processes Lubricants. Lubricants 2023, 11, 224. [Google Scholar] [CrossRef]
  17. Liu, H.C.; Pape, F.; Zhao, Y.; Ellersiek, L.; Denkena, B.; Poll, G. On the Elastohydrodynamic Film-Forming Properties of Metalworking Fluids and Oil-in-Water Emulsions. Tribol. Lett. 2022, 71, 10. [Google Scholar] [CrossRef]
  18. Anand, A.; Vohra, K.; Haq, M.U.; Raina, A.; Wani, M.F. In Tribological Considerations of Cutting Fluids in Machining Environment: A Review. Tribol. Ind. 2016, 38, 463. [Google Scholar]
  19. Yang, K.Z.; Pramanik, A.; Basak, A.K.; Dong, Y.; Prakash, C.; Shankar, S.; Dixit, S.; Kumar, K.; Ivanovich Vatin, N. Application of coolants during tool-based machining—A review. Ain Shams Eng. J. 2023, 14, 101830. [Google Scholar] [CrossRef]
  20. Radulescu, I.; Radulescu, A.V.; Ramalchanov, S.; Yankov, S.; Rupetsov, V.S. Experimental Researches concerning the Rheology of Cutting Fluids. IOP Conf. Ser. Mater. Sci. Eng. 2019, 514, 012007. [Google Scholar] [CrossRef]
  21. Nassef, B.G.; Pape, F.; Poll, G.; Schenzel, J.; Bergmann, B.; Denkena, B. Evaluating the Tribological Behaviour in Cutting Operations Using a Modified Ball-on-Disc Open Tribotester. Lubricants 2024, 12, 77. [Google Scholar] [CrossRef]
  22. Bavoh, C.B.; Adam, J.M.; Lal, B. Specific heat capacity of xanthan gum/PAC polymer-based drilling fluids: An experimental and correlation study. Mater. Today Proc. 2022, 57, 1002–1007. [Google Scholar] [CrossRef]
  23. Singh, R.K.; Sharma, A.K.; Dixit, A.R.; Mandal, A.; Tiwari, A.K. Experimental investigation of thermal conductivity and specific heat of nanoparticles mixed cutting fluids. Mater. Today Proc. 2017, 4, 8587–8596. [Google Scholar] [CrossRef]
  24. Chiguma, J.; Johnson, E.; Shah, P.; Gornopolskaya, N.; Jones, W.E., Jr. Thermal diffusivity and thermal conductivity of epoxy-based nanocomposites by the laser flash and differential scanning calorimetry techniques. Open J. Compos. Mater. 2013, 3, 51–62. [Google Scholar] [CrossRef]
  25. Pereira, O.; Martín-Alfonso, J.E.; Rodríguez, A.; Calleja, A.; Fernández-Valdivielso, A.; De Lacalle, L.L. Sustainability analysis of lubricant oils for minimum quantity lubrication based on their tribo-rheological performance. J. Clean. Prod. 2017, 164, 1419–1429. [Google Scholar] [CrossRef]
  26. Suárez, A.; López de Lacalle, L.N.; Polvorosa, R.; Veiga, F.; Wretland, A. Effects of high-pressure cooling on the wear patterns on turning inserts used on alloy IN718. Mater. Manuf. Process. 2017, 32, 678–686. [Google Scholar] [CrossRef]
  27. Pereira, O.; Rodríguez, A.; Calleja-Ochoa, A.; Celaya, A.; de Lacalle, L.N.L.; Fernández-Valdivielso, A.; González, H. Simulation of Cryo-cooling to Improve Super Alloys Cutting Tools. Int. J. Precis. Eng. Manuf. Green Technol. 2022, 9, 73–82. [Google Scholar] [CrossRef]
  28. Amigo, F.J.; Urbikain, G.; Pereira, O.; Fernández-Lucio, P.; Fernández-Valdivielso, A.; de Lacalle, L.L. Combination of high feed turning with cryogenic cooling on Haynes 263 and Inconel 718 superalloys. J. Manuf. Process. 2020, 58, 208–222. [Google Scholar] [CrossRef]
  29. Pusavec, F.; Kramar, D.; Krajnik, P.; Kopac, J. Transitioning to sustainable production–part II: Evaluation of sustainable machining technologies. J. Clean. Prod. 2010, 18, 1211–1221. [Google Scholar] [CrossRef]
  30. Biermann, D.; Saelzer, J.; Bergmann, B.; Schenzel, J.; Menze, C.J.; Gerken, J.F.; Wolf, T.; Denkena, B.; Möhring, H.-C.; Zabel, A. Fundamental characterization of lubrication effects through various cooling lubricants in the chip formation zone. Prod. Eng. Res. Dev. 2025, 19, 173–185. [Google Scholar] [CrossRef]
  31. Nassef, B.G.; Moradi, A.; Bayer, G.; Pape, F.; Abouelkasem, Z.A.; Rummel, F.; Schmölzer, S.; Poll, G.; Marian, M. Biogenic palm oil-based greases with glycerol monostearate and soy wax: A rheological and tribological study. Results Eng. 2025, 25, 103728. [Google Scholar] [CrossRef]
  32. Läuger, J.; Pondicherry, K. New insights into the use of a rotational rheometer as tribometer. Annu. Trans. Nord. Rheol. Soc. 2017, 25, 333–340. [Google Scholar]
  33. Nassef, B.G.; Pape, F.; Poll, G. Enhancing the Performance of Rapeseed Oil Lubricant for Machinery Component Applications through Hybrid Blends of Nanoadditives. Lubricants 2023, 11, 479. [Google Scholar] [CrossRef]
  34. ASTM E1269; Standard Test Method for Determining Specific Heat Capacity by Differential Scanning Calorimetry. ASTM International: West Conshohocken, PA, USA, 2018.
  35. DIN 51007; Thermal Analysis—Differential Thermal Analysis (DTA) and Differential Scanning Calorimetry (DSC)—General Principles. German Institute for Standardization: Berlin, Germany, 2019.
  36. ISO 11357; Plastics—Differential Scanning Calorimetry (DSC). International Organization for Standardization: Geneva, Switzerland, 2023.
  37. DIN 53765; Testing of Plastics and Elastomeres; Thermal Analysis; DSC-Method. German Institute for Standardization: Berlin, Germany, 1994.
  38. ASTM E793; Standard Test Method for Enthalpies of Fusion and Crystallization by Differential Scanning Calorimetry. ASTM International: West Conshohocken, PA, USA, 2018.
  39. Nadolny, Z.; Dombek, G. Thermal properties of mixtures of mineral oil and natural ester in terms of application in the transformer. Int. Conf. Energy Environ. Mater. Syst. 2017, 19, 01040. [Google Scholar] [CrossRef]
Disclaimer/Publisher’s Note: The statements, opinions and data contained in all publications are solely those of the individual author(s) and contributor(s) and not of MDPI and/or the editor(s). MDPI and/or the editor(s) disclaim responsibility for any injury to people or property resulting from any ideas, methods, instructions or products referred to in the content.

Article Metrics

Citations

Article Access Statistics

Multiple requests from the same IP address are counted as one view.