Analysis of Chaotic Features in Dry Gas Seal Friction State Using Acoustic Emission
Abstract
1. Introduction
2. Theoretical Analysis
2.1. Phase-Space Reconstruction
2.2. Lyapunov Exponent
2.3. Correlation Dimension
2.4. K-Entropy
2.5. Chaotic Attractor Phase Trajectories
2.6. Chaos Characterization Methods for AE Signals
- (1)
- Chaos assessment: The chaotic nature of the AE signal is evaluated by calculating the maximum Lyapunov exponent during the start–stop phase of the dry gas seal. This step is designed to confirm whether the signal exhibits chaotic behavior.
- (2)
- Phase-space reconstruction: The modified C–C method is employed to simultaneously determine the optimal delay time and embedding dimension for phase-space reconstruction. This reconstruction is crucial for understanding the dynamic properties of the system.
- (3)
- Calculation of chaotic characterization parameters: Using the small data volume method, the maximum Lyapunov exponent of the reconstructed signal is calculated. Moreover, to determine the correlation dimension of the signal, the G–P algorithm is applied, and to calculate its K-entropy, the maximum likelihood estimation method is employed. These parameters collectively reveal the chaotic nature of the system.
- (4)
- Chaos characterization: The relationship between the three calculated parameters and the friction state of the dry gas seal is analyzed. This analysis provides a deeper understanding of how the chaotic properties relate to the friction behavior of the seals.
3. Experimental Setup
3.1. Dry Gas Seal Working Principle and Test System
3.2. Test Program
4. Results and Discussion
4.1. Seal End Face Friction State Analysis
4.2. Phase-Space Reconstruction of AE Signal During the Start–Stop Process
4.3. Maximum Lyapunov Exponent Analysis
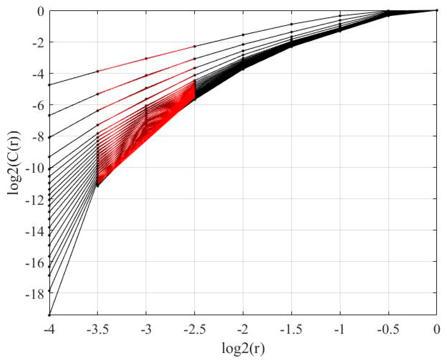
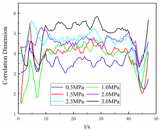
4.4. Correlation Dimension Analysis
4.5. Comparison of Association Digits in Various States
4.6. Changes in Attractors
4.7. Performance Comparison
5. Conclusions
- (1)
- The maximum Lyapunov exponent provides a precise quantitative measure for identifying the friction state of dry gas seals, while the correlation dimension and K-entropy offer qualitative insights into the system’s behavior. This integrated approach facilitates a comprehensive evaluation and optimization of seal performance.
- (2)
- Comparisons of the correlation dimension, maximum Lyapunov exponent, and K-entropy under varying pressure conditions indicate that pressure variations have minimal influence on these characteristic metrics.
- (3)
- The chaotic properties of the sealing system can be intuitively visualized through attractor trajectories, providing a clear method to distinguish between different friction states.
- (4)
- Chaotic time series analysis of AE signals during the start–stop phase reveals that the correlation dimension, maximum Lyapunov exponent, and K-entropy exhibit consistent trends and correlate directly with the friction state. These metrics serve as reliable indicators for identifying friction states, offering a novel approach to state recognition and fault detection in dry gas seals. This comprehensive analysis sheds new light on the dynamic behavior of seals during the start–stop process, enhancing the understanding and monitoring of their performance.
Author Contributions
Funding
Data Availability Statement
Conflicts of Interest
References
- Wang, Y.; Yang, H.; Wang, J.; Liu, Y.; Wang, H.; Feng, X. Theoretical analyses and field applications of gas-film lubricated mechanical face seals with herringbone spiral grooves. Tribol. Trans. 2009, 52, 800–806. [Google Scholar] [CrossRef]
- Reddyhoff, T.; Dwyer-Joyce, R.S.; Harper, P. A New Approach for the Measurement of Film Thickness in Liquid Face Seals. Tribol. Trans. 2008, 51, 140–149. [Google Scholar] [CrossRef]
- Towsyfyan, H.; Gu, F.; Ball, A.D.; Liang, B. Modelling acoustic emissions generated by tribological behaviour of mechanical seals for condition monitoring and fault detection. Tribol. Int. 2018, 125, 46–58. [Google Scholar] [CrossRef]
- Haisheng, B.I.; Zili, L.I.; Dedong, H.U. Cluster analysis of acoustic emission signals during tank bottom steel pitting corrosion process. J. China Univ. Pet. (Ed. Nat. Sci.) 2015, 39, 145–152. [Google Scholar]
- Orcutt, F.K. An investigation of the operation and failure of mechanical face seals. J. Tribol. 1969, 91, 713. [Google Scholar] [CrossRef]
- Miettinen, J.; Siekkinen, V. Acoustic emission in monitoring sliding contact behaviour. Wear 1995, 181, 897–900. [Google Scholar] [CrossRef]
- Mba, D.; Roberts, T.; Taheri, E.; Roddis, A. Application of acoustic emission technology for detecting the onset and duration of contact in liquid lubricated mechanical seals. Insight-Non-Destr. Test. Cond. Monit. 2006, 48, 486–487. [Google Scholar] [CrossRef]
- Patil, A.P.; Mishra, B.K.; Harsha, S.P. Vibration based modelling of acoustic emission of rolling element bearings. J. Sound Vib. 2020, 468, 115117. [Google Scholar] [CrossRef]
- Zhang, Y.; Lu, W.; Chu, F. Planet gear fault localization for wind turbine gearbox using acoustic emission signals. Renew. Energy 2017, 109, 449–460. [Google Scholar] [CrossRef]
- Huang, W.; Lin, Y.; Liu, Y.; Liu, X.; Gao, Z.; Wang, Y. Face rub-impact monitoring of a dry gas seal using acoustic emission. Tribol. Lett. 2013, 52, 253–259. [Google Scholar] [CrossRef]
- Xu, L.; Wu, J.H.; Yuan, X.; Hao, M.; Liu, F.; Liu, Y.; Xie, X. Influence of inlet pressure disturbance on transient performance of liquid oxygen lubricated mechanical seal and rub-impact phenomenon caused by excitation overload. Tribol. Int. 2023, 178, 108058. [Google Scholar] [CrossRef]
- Sun, X.; Zheng, X.; Xu, P.; Liu, H.; Tian, J.; Wang, Z.; Hao, M. Research on friction state monitoring method of liquid film seal during start-up based on acoustic emission. Appl. Acoust. 2023, 210, 109424. [Google Scholar] [CrossRef]
- Towsyfyan, H.; Gu, F.; Ball, A.D.; Liang, B. Tribological behaviour diagnostic and fault detection of mechanical seals based on acoustic emission measurements. Friction 2019, 7, 572–586. [Google Scholar] [CrossRef]
- Li, X.; Fu, P.; Chen, K.; Lin, Z.; Zhang, E. The contact state monitoring for seal end faces based on acoustic emission detection. Shock Vib. 2016, 1, 8726781. [Google Scholar] [CrossRef]
- Zhu, H.; Ge, S. Chaotic properties of tribological systems. J. Mech. Eng. 2004, 40, 10–13. [Google Scholar] [CrossRef]
- Sun, D.; Li, G.; Wei, H.; Liao, H. Experimental study on the chaotic attractor evolvement of the friction vibration in a running-in process. Tribol. Int. 2015, 88, 290–297. [Google Scholar] [CrossRef]
- Lewis, M.J.; Short, A.L.; Suckling, J. Multifractal characterisation of electrocardiographic RR and QT time-series before and after progressive exercise. Comput. Methods Programs Biomed. 2012, 108, 176–185. [Google Scholar] [CrossRef]
- Ziaja, A.; Antoniadou, I.; Barszcz, T.; Staszewski, W.J.; Worden, K. Fault detection in rolling element bearings using wavelet-based variance analysis and novelty detection. J. Vib. Control 2016, 22, 396–411. [Google Scholar] [CrossRef]
- Takens, F. Detecting strange attractors in turbulence. In Dynamical Systems and Turbulence, Warwick; Springer: Berlin/Heidelberg, Germany, 1981; pp. 366–381. [Google Scholar]
- Kantz, H.; Schreiber, T. Nonlinear Time Series Analysis; Cambridge University Press: Cambridge, UK, 2003. [Google Scholar]
- Fraser, A.M.; Swinney, H.L. Independent coordinates for strange attractors form time series. Phys. Rev. A 1986, 33, 1134–1140. [Google Scholar] [CrossRef]
- Grassberger, P.; Procaccia, I. Measuring the strangeness of strange attractors. Phys. D Nonlinear Phenom. 1983, 9, 189–208. [Google Scholar] [CrossRef]
- Pratap Mukherjee, R.; Kumar Roy, P.; Kumar Pradhan, D. An Efficient FNN model with chaotic oppositional based SCA to solve classification problem. IETE J. Res. 2023, 69, 4205–4223. [Google Scholar] [CrossRef]
- Hajiloo, R.; Salarieh, H.; Alasty, A. Chaos control in delayed phase space constructed by the Takens embedding theory. Commun. Nonlinear Sci. Numer. Simul. 2018, 54, 453–465. [Google Scholar] [CrossRef]
- Kim, H.; Eykholt, R.; Salas, J.D. Nonlinear dynamics, delay times, and embedding windows. Phys. D Nonlinear Phenom. 1999, 127, 48–60. [Google Scholar] [CrossRef]
- Lu, Z.B.; Cai, Z.M.; Jiang, K.Y. Phase Space Reconstruction Parameter Selection Based on improved CC Method. J. Syst. Simul. 2007, 11, 2527–2529. [Google Scholar]
- Lang, S.H.; Zhu, H.; Wei, C.L. Study on the boundedness, stability and dynamic characteristics of friction system based on fractal and chaotic theory. Tribol. Int. 2023, 180, 108228. [Google Scholar] [CrossRef]
- Zhou, Y.; Zhu, H.; Zuo, X.; Yang, J. Chaotic characteristics of measured temperatures during sliding friction. Wear 2014, 317, 17–25. [Google Scholar] [CrossRef]




















| Friction State | Maximum Lyapunov Exponent Distribution Range |
|---|---|
| BL state | 0.0021~0.0063 |
| ML state | −0.0123~0.0022 |
| HL state | −0.0020~0 |
| Method/Friction States | BL | ML | HL | Average |
|---|---|---|---|---|
| Huang et al. [10] | 89.2% | 89.1% | 95.9% | 91.3% |
| Xu et al. [11] | 95.3% | 91.0% | 93.2% | 93.2% |
| Sun et al. [12] | 90.7% | 88.8% | 90.3% | 89.9% |
| Towsyfyan et al. [13] | 96.2% | 97.2% | 98.3% | 97.2% |
| Maximum Lyapunov | 98.3% | 98.8% | 98.8% | 98.6% |
| Correlation dimension | 97.6% | 96.3% | 96.9% | 96.9% |
| K-entropy | 96.2% | 96.3% | 97.0% | 96.5% |
| Method/Friction States | BL | ML | HL | Average |
|---|---|---|---|---|
| Huang et al. [10] | 13 s | 14 s | 15 s | 14 s |
| Xu et al. [11] | 18 s | 17 s | 17 s | 17 s |
| Sun et al. [12] | 20 s | 22 s | 23 s | 21 s |
| Towsyfyan et al. [13] | 160 s | 162 s | 161 s | 161 s |
| Maximum Lyapunov | 153 s | 156 s | 160 s | 156 s |
| Correlation dimension | 140 s | 145 s | 141 s | 142 s |
| K-entropy | 112 s | 118 s | 120 s | 117 s |
Disclaimer/Publisher’s Note: The statements, opinions and data contained in all publications are solely those of the individual author(s) and contributor(s) and not of MDPI and/or the editor(s). MDPI and/or the editor(s) disclaim responsibility for any injury to people or property resulting from any ideas, methods, instructions or products referred to in the content. |
© 2025 by the authors. Licensee MDPI, Basel, Switzerland. This article is an open access article distributed under the terms and conditions of the Creative Commons Attribution (CC BY) license (https://creativecommons.org/licenses/by/4.0/).
Share and Cite
Zhang, S.; Ding, X.; Chen, J.; Wang, S.; Zhang, L. Analysis of Chaotic Features in Dry Gas Seal Friction State Using Acoustic Emission. Lubricants 2025, 13, 40. https://doi.org/10.3390/lubricants13010040
Zhang S, Ding X, Chen J, Wang S, Zhang L. Analysis of Chaotic Features in Dry Gas Seal Friction State Using Acoustic Emission. Lubricants. 2025; 13(1):40. https://doi.org/10.3390/lubricants13010040
Chicago/Turabian StyleZhang, Shuai, Xuexing Ding, Jinlin Chen, Shipeng Wang, and Lanxia Zhang. 2025. "Analysis of Chaotic Features in Dry Gas Seal Friction State Using Acoustic Emission" Lubricants 13, no. 1: 40. https://doi.org/10.3390/lubricants13010040
APA StyleZhang, S., Ding, X., Chen, J., Wang, S., & Zhang, L. (2025). Analysis of Chaotic Features in Dry Gas Seal Friction State Using Acoustic Emission. Lubricants, 13(1), 40. https://doi.org/10.3390/lubricants13010040
