Contact of Rough Surfaces: An Incremental Model Accounting for Strain Gradient Plasticity
Abstract
1. Introduction
2. The Incremental Contact Model
3. Circular Flat Contact with Strain Gradient Plasticity
3.1. Material Constitutive Model of MSGP
3.2. Finite Element Analysis
3.3. Explicit Expression of Contact Stiffness
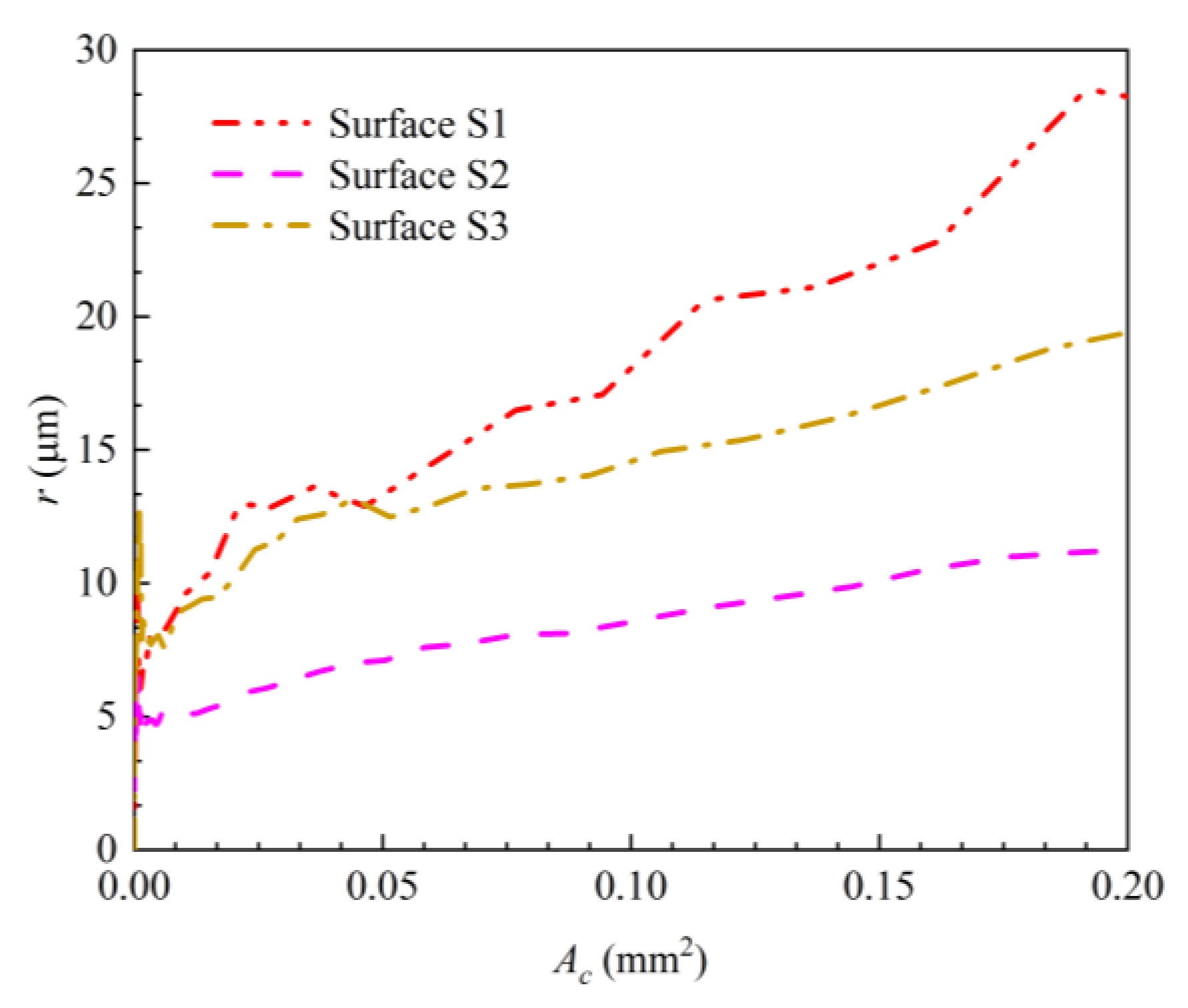
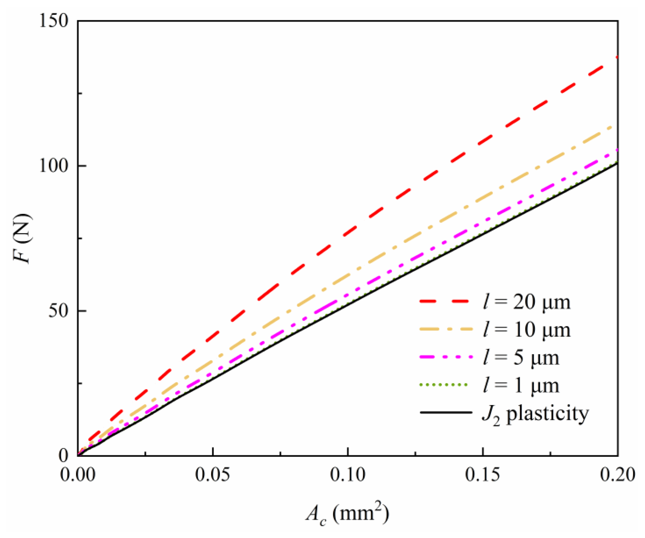
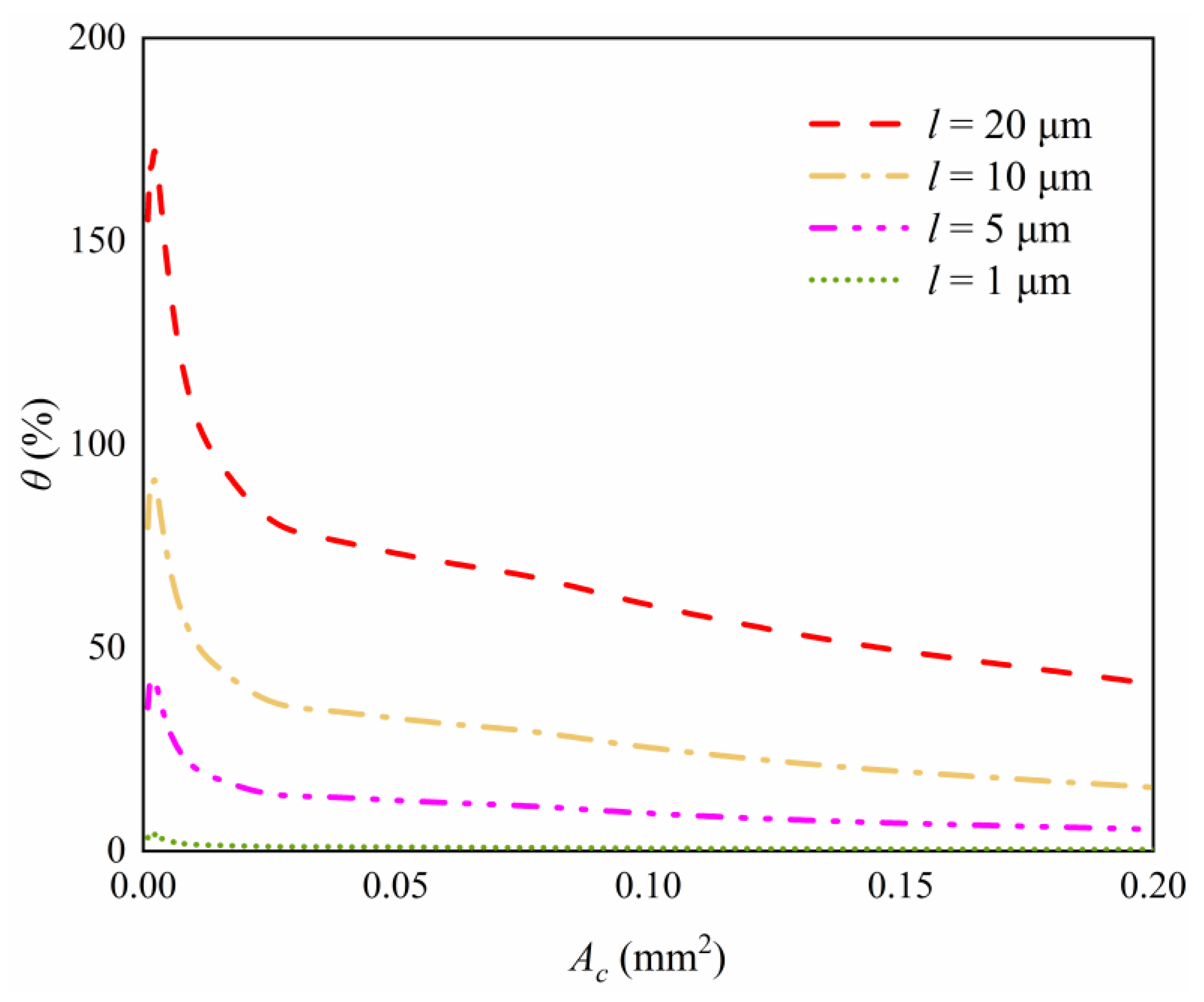
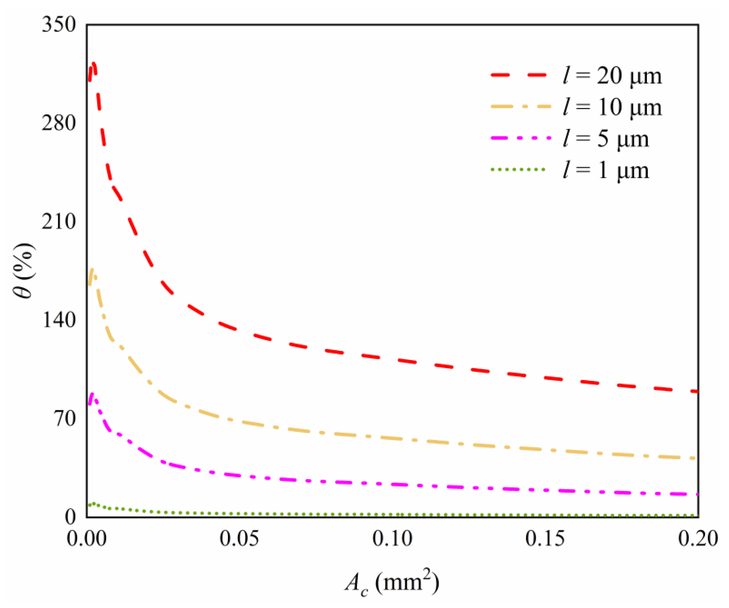
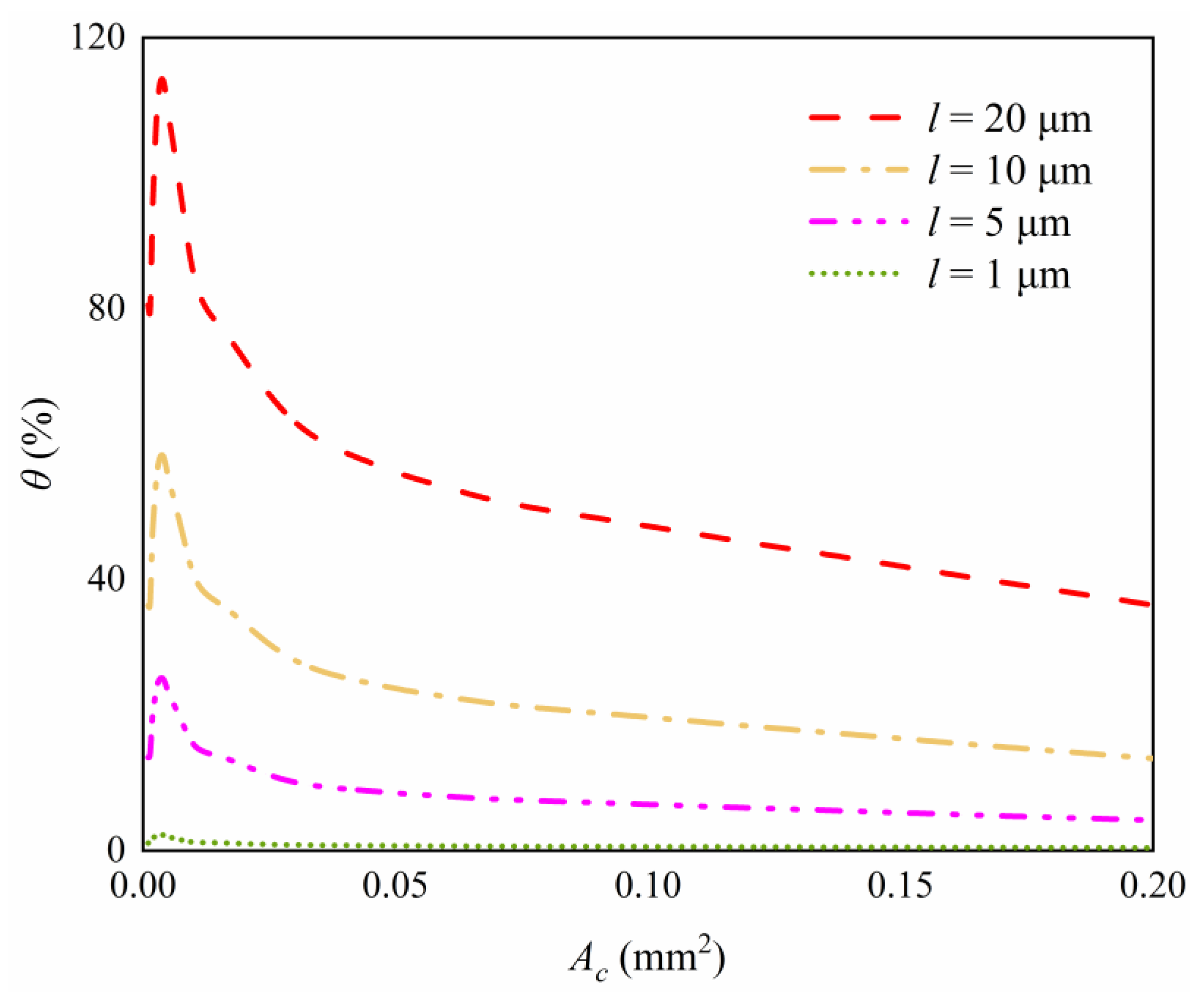
4. Results and Discussion
5. Concluding Remarks
Author Contributions
Funding
Data Availability Statement
Conflicts of Interest
Nomenclature
| List of abbreviations: | |
| GND | Geometrically necessary dislocations |
| MSGP | Mechanism-based strain gradient plasticity |
| SSD | Statistically stored dislocation |
| List of symbols: | |
| Ac | Contact area between a rough surface and a rigid plane |
| b | Magnitude of the Burgers vector |
| E | Elastic modulus |
| E* | Combined elastic modulus |
| F | Normal load applied on the rigid plane |
| FMSGP | Normal load based on the MSGP theory |
| FJ2 | Normal load based on the classical J2 plastic theory |
| K | Elastic bulk modulus |
| k | Contact stiffness of circular patch |
| l | Intrinsic material length of strain gradient plasticity |
| M | Taylor factor |
| N | Number of contact patches |
| n | Plastic work hardening exponent |
| P | Normal load applied on the flat punch |
| r | Radius of contact patch |
| z | Surface separation |
| α | Empirical coefficient |
| δ | Indentation depth |
| ε | Effective strain |
| η | Effective strain gradient |
| θ | Hardening degree factor of the rough surface contact |
| λ | Nye factor |
| μ | Shear modulus |
| ν | Poisson’s ratio |
| ρG | GND density |
| ρS | SSD density |
| ρT | Total dislocation density |
| σflow | Flow stress |
| σref | Reference stress in uniaxial tension |
| σy | Initial yield stress in uniaxial tension |
| τflow | Shear flow stress |
References
- Taylor, R.I. Rough surface contact modelling-A Review. Lubricants 2022, 10, 98. [Google Scholar] [CrossRef]
- Vakis, A.I.; Yastrebov, V.A.; Scheibert, J.; Nicola, L.; Dini, D.; Minfray, C.; Almqvist, A.; Paggi, M.; Lee, S.; Limbert, G.; et al. Modeling and simulation in tribology across scales: An overview. Tribol. Int. 2018, 125, 169–199. [Google Scholar] [CrossRef]
- Müser, M.H.; Dapp, W.B.; Bugnicourt, R.; Sainsot, P.; Lesaffre, N.; Lubrecht, T.A.; Persson, B.N.J.; Harris, K.; Bennett, A.; Schulze, K.; et al. Meeting the contact-mechanics challenge. Tribol. Lett. 2017, 65, 118. [Google Scholar] [CrossRef]
- Greenwood, J.A.; Williamson, J.B.P. Contact of nominally flat surfaces. Proc. R. Soc. A 1966, 295, 300–319. [Google Scholar]
- Bush, A.W.; Gibson, R.D.; Thomas, T.R. The elastic contact of a rough surface. Wear 1975, 35, 87–111. [Google Scholar] [CrossRef]
- Greenwood, J.A. A simplified elliptic model of rough surface contact. Wear 2006, 261, 191–200. [Google Scholar] [CrossRef]
- Chang, W.R.; Etsion, I.; Bogy, D.B. An elastic-plastic model for the contact of rough surfaces. ASME J. Tribol. 1987, 110, 50–56. [Google Scholar] [CrossRef]
- Kogut, L.; Etsion, I. A finite element based elastic-plastic model for the contact of rough surfaces. Tribol. Trans. 2003, 46, 383–390. [Google Scholar] [CrossRef]
- Afferrante, L.; Carbone, G.; Demelio, G. Interacting and coalescing Hertzian asperities: A new multiasperity contact model. Wear 2012, 278, 28–33. [Google Scholar] [CrossRef]
- Vakis, A.I. Asperity interaction and substrate deformation in statistical summation models of contact between rough surfaces. ASME J. Appl. Mech. 2014, 81, 041012. [Google Scholar] [CrossRef]
- Wang, G.F.; Long, J.M.; Feng, X.Q. A self-consistent model for the elastic contact of rough surfaces. Acta Mech. 2015, 226, 285–293. [Google Scholar] [CrossRef]
- Chern, S.Y.; Chen, Y.Y.; Liu, W.L.; Horng, J.H. Contact characteristics at interface in three-body contact conditions with rough surfaces and foreign particles. Lubricants 2022, 10, 164. [Google Scholar] [CrossRef]
- Horng, J.H.; Yu, C.C.; Chen, Y.Y. Tribological characteristics and load-sharing of point-contact interface in three-body mixed lubrication. ASME J. Tribol. 2021, 144, 052201. [Google Scholar] [CrossRef]
- Majumdar, A.; Bhushan, B. Fractal model of elastic-plastic contact between rough surfaces. ASME J. Tribol. 1991, 113, 1–11. [Google Scholar] [CrossRef]
- Yan, W.; Komvopoulos, K. Contact analysis of elastic-plastic fractal surfaces. J. Appl. Phys. 1998, 84, 3617–3624. [Google Scholar] [CrossRef]
- Persson, B.N.J. Theory of rubber friction and contact mechanics. J. Chem. Phys. 2001, 115, 3840–3861. [Google Scholar] [CrossRef]
- Persson, B.N.J. Elastoplastic contact between randomly rough surfaces. Phys. Rev. Lett. 2001, 87, 116101. [Google Scholar] [CrossRef]
- Wang, G.F.; Liang, X.M.; Yan, D. An incremental equivalent circular contact model for rough surfaces. ASME J. Tribol. 2021, 143, 081503. [Google Scholar] [CrossRef]
- Liang, X.M.; Ding, Y.; Yan, D.; Yuan, W.K.; Wang, G.F. Elastic-perfectly plastic contact of rough surfaces: An incremental equivalent circular model. ASME J. Tribol. 2021, 144, 051501. [Google Scholar] [CrossRef]
- Ding, Y.; Liang, X.; Wang, G. An incremental contact model for rough surfaces of strain-hardening solids. Int. J. Appl. Mech. 2022, 13, 2250088. [Google Scholar] [CrossRef]
- Hyun, S.; Pei, L.; Molinari, J.F.; Robbins, M.O. Finite-element analysis of contact between elastic self-affine surfaces. Phys. Rev. E 2004, 70, 026117. [Google Scholar] [CrossRef] [PubMed]
- Campañá, C.; Müser, M.H.; Robbins, M.O. Elastic contact between self-affine surfaces: Comparison of numerical stress and contact correlation functions with analytic predictions. J. Phys. Condens. Matter. 2008, 20, 354013. [Google Scholar] [CrossRef]
- Song, H.; Van der Giessen, E.; Liu, X. Strain gradient plasticity analysis of elasto-plastic contact between rough surfaces. J. Mech. Phys. Solids 2016, 96, 18–28. [Google Scholar] [CrossRef]
- You, S.; Tang, J.; Wen, Y. Three-dimensional elastoplastic contact analysis of rough surface considering a micro-scale effect. ASME J. Tribol. 2022, 144, 011503. [Google Scholar] [CrossRef]
- Pastewka, L.; Robbins, M.O. Contact between rough surfaces and a criterion for macroscopic adhesion. Proc. Natl. Acad. Sci. USA 2014, 111, 3298–3303. [Google Scholar] [CrossRef]
- Yuan, W.; Long, J.; Ding, Y.; Wang, G. Statistical contact model of rough surfaces: The role of surface tension. Int. J. Solids Struct. 2018, 138, 217–223. [Google Scholar] [CrossRef]
- Fleck, N.A.; Muller, G.M.; Ashby, M.F.; Hutchinson, J.W. Strain gradient plasticity theory and experiment. Acta Metall. Mater. 1994, 42, 475–487. [Google Scholar] [CrossRef]
- Stolken, J.S.; Evans, A.G. A micro bend test method for measuring the plasticity length scale. Acta Mater. 1998, 46, 5109–5115. [Google Scholar] [CrossRef]
- Ma, Q.; Clarke, D.R. Size dependent hardness of silver single crystal. J. Mater. Res. 1995, 10, 853–863. [Google Scholar] [CrossRef]
- Poole, W.J.; Ashby, M.F.; Fleck, N.A. Micro-hardness of annealed and work-hardened copper polycrystals. Scr. Mater. 1996, 34, 559–564. [Google Scholar] [CrossRef]
- McElhaney, K.W.; Vlassak, J.J.; Nix, W.D. Determination of indenter tip geometry and indentation contact area for depth-sensing indentation experiments. J. Mater. Res. 1998, 13, 1300–1306. [Google Scholar] [CrossRef]
- Nix, W.D.; Gao, H. Indentation size effects in crystalline materials: A law for strain gradient plasticity. J. Mech. Phys. Solids 1998, 46, 411–425. [Google Scholar] [CrossRef]
- Gao, H.; Huang, Y.; Nix, W.D.; Hutchinson, J.W. Mechanism-based strain gradient crystal plasticity—I. Theory. J. Mech. Phys. Solids 1999, 47, 1239–1263. [Google Scholar] [CrossRef]
- Huang, Y.; Xue, Z.; Gao, H.; Nix, W.D.; Xia, Z.C. A study of microindentation hardness tests by mechanism-based strain gradient plasticity. J. Mater. Res. 2000, 15, 1786–1796. [Google Scholar] [CrossRef]
- Huang, Y.; Qu, S.; Hwang, K.C.; Li, M.; Gao, H. A conventional theory of mechanism-based strain gradient plasticity. Int. J. Plast. 2004, 20, 753–782. [Google Scholar] [CrossRef]
- Song, H.; Vakis, A.I.; Liu, X.; Van der Giessen, E. Statistical model of rough surface contact accounting for size-dependent plasticity and asperity interaction. J. Mech. Phys. Solids 2017, 106, 1–14. [Google Scholar] [CrossRef]
- Sneddon, I.N. The relation between load and penetration in the axisymmetric Boussinesq problem for a punch of arbitrary profile. Int. J. Eng. Sci. 1965, 3, 47–57. [Google Scholar] [CrossRef]
- Nye, J.F. Some geometrical relations in dislocated crystals. Acta Metall. 1953, 1, 153–162. [Google Scholar] [CrossRef]
- Ashby, M.F. The deformation of plastically non-homogeneous materials. Phil. Mag. 1970, 21, 399–424. [Google Scholar] [CrossRef]
- Arsenlis, A.; Parks, D.M. Crystallographic aspects of geometrically-necessary and statistically-stored dislocation density. Acta Mater. 1999, 47, 1597–1611. [Google Scholar] [CrossRef]
- Wei, Y.; Hutchinson, J.W. Steady-state crack growth and work of fracture for solids characterized by strain gradient plasticity. J. Mech. Phys. Solids 1997, 45, 1253–1273. [Google Scholar] [CrossRef]
- Liang, X.M.; Jiang, C.Y.; Wang, M.R.; Dai, W.L.; Wang, G.F. Experimental study on the load-area relation of rough surfaces and comparison with theoretical model. Eur. J. Mech. Solid. 2023, 99, 104934. [Google Scholar] [CrossRef]











Disclaimer/Publisher’s Note: The statements, opinions and data contained in all publications are solely those of the individual author(s) and contributor(s) and not of MDPI and/or the editor(s). MDPI and/or the editor(s) disclaim responsibility for any injury to people or property resulting from any ideas, methods, instructions or products referred to in the content. |
© 2023 by the authors. Licensee MDPI, Basel, Switzerland. This article is an open access article distributed under the terms and conditions of the Creative Commons Attribution (CC BY) license (https://creativecommons.org/licenses/by/4.0/).
Share and Cite
Jiang, C.; Yuan, W.; Zheng, Y.; Wang, G. Contact of Rough Surfaces: An Incremental Model Accounting for Strain Gradient Plasticity. Lubricants 2023, 11, 140. https://doi.org/10.3390/lubricants11030140
Jiang C, Yuan W, Zheng Y, Wang G. Contact of Rough Surfaces: An Incremental Model Accounting for Strain Gradient Plasticity. Lubricants. 2023; 11(3):140. https://doi.org/10.3390/lubricants11030140
Chicago/Turabian StyleJiang, Chunyun, Weike Yuan, Yanbin Zheng, and Gangfeng Wang. 2023. "Contact of Rough Surfaces: An Incremental Model Accounting for Strain Gradient Plasticity" Lubricants 11, no. 3: 140. https://doi.org/10.3390/lubricants11030140
APA StyleJiang, C., Yuan, W., Zheng, Y., & Wang, G. (2023). Contact of Rough Surfaces: An Incremental Model Accounting for Strain Gradient Plasticity. Lubricants, 11(3), 140. https://doi.org/10.3390/lubricants11030140
