Abstract
The corrosion inhibition properties of three spiro-isoxazoline derivatives, namely 3,4-diphenyl-1,7-dioxa-2-azaspiro[4.4]non-2-en-6-one (DDA), 3-phenyl-4-(p-tolyl)-1,7-dioxa-2-azaspiro[4.4]non-2-en-6-one (PDA) and 4-(4-methoxyphenyl)-3-phenyl-1,7-dioxa-2-azaspiro[4.4]non-2-en-6-one (MDA) on carbon steel in 1.0 mol/L HCl acid medium were experimentally and computationally investigated. The experimental results showed that the inhibitory efficiency reached remarkable values of 76.26, 80.31, and 82.91%, respectively, for DDA, PDA and MDA at a maximum concentration of 10−3 mol/L. The potentiodynamic polarization curves (PPCs) showed that investigated compounds had a mixed type character, controlling both anodic and cathodic corrosion reactions. In addition, electrochemical impedance spectroscopy (EIS) indicated that the addition of increasing concentration of tested compounds to HCl solutions led to a significant increase in the polarization resistance of the carbon steel, which was accompanied with a simultaneous decrease in the double layer capacitance. On the other hand, the morphological study of the metal surface by scanning electron microscope (SEM) and energy dispersive X-ray (EDX) confirmed the effective protection of the carbon steel by the inhibitors against corrosion through the formation of a protective film on its surface. The adsorption characteristics of investigated compounds on carbon steel were assessed at microscopic level using Density Functional Based Tight Binding (DFTB) simulation, which revealed the formation of covalent bonds between inhibitors’ atoms and Fe atoms. Furthermore, additional insights into the compounds’ reactivity and adsorption configurations on steel surface were obtained from global reactivity descriptors and Monte Carlo simulation. The present work’s outcomes are interesting for further design and performance evaluation of effective organic corrosion inhibitors for acid environments.
1. Introduction
Steel is one of the most used materials in human life since its invention; it finds its application in various fields such as construction, energy, industry and storage of chemicals thanks to its low cost, high availability and mechanical properties [1]. However, the degradation of this material by corrosion in several aggressive environments always limits its application. Corrosion is defined as the deterioration of a metal through an electrochemical or chemical reaction with its surrounding environment, especially in acidic media [2]. This phenomenon leads to degradation and failure of engineering structures representing significant economic losses for manufacturers [3]. It has been reported that the global cost of corrosion is estimated to be about 3.4% of the global GNP [4]. For this reason, various strategies have attracted attention for the protection against steel corrosion in acidic mediums such as the choice of the appropriate metal, modification of the metal surface, and addition of chemical compounds as corrosion inhibitors to modify the environment [5]. Indeed, the addition of organic compounds as corrosion inhibitors is the most economical and effective technique used to reduce the impact of corrosion, especially in some industrial processes where acid solutions are used for cleaning and descaling such as oil and gas production. Heterocyclic organic compounds have several physicochemical features that are appealing to corrosion mitigation process of metals. Organic corrosion inhibitors contain several heteroatoms (N, S, O and P), aromatic rings and π-electrons with high electron density, which favor their adsorption on the entire metal surface, thus reducing the corrosion process [6]. One of the main features of heterocyclic compounds is the possibility of combining different functional groups such as methoxy, hydroxyl, amino and carboxylic acid in the same molecule, which improve their affinity for the metal surface [7,8]. According to scientific progress in this field, organic compounds’ inhibitory action is explained by the formation of a protective layer on the metal surface as a result of their chemical, physical or physicochemical adsorption, which shields the metal from the corrosive ions present in the medium [9,10].
Heterocyclic compounds based on isoxazolines with different substituents are among the candidates that can successfully meet major requirements for effective corrosion inhibitors thanks to their chemical composition which includes heteroatoms (N and O) and delocalized π electrons [11,12]. On the other hand, these five membered heterocycles are one of the versatile motifs present in many natural products, bioactive compounds, and pharmaceutically important compounds. Some of the interesting properties of isooxazoline-containing compounds include antidiabetic, antibacterial, and anticancer activities [13,14]. On the other hand, γ-lactonesare green organic compounds commonly found in food and can be easily synthesized with moderate to good yields by a one-step process from commercial or easily accessible reagents [15,16]. These characteristics make γ-lactone derivatives promising compounds for use in corrosion inhibition studies.
On the other hand, organic compounds are “film-forming” chemicals that act by the adsorption on the metal surface, thus the molecular structure of inhibitors would have significant effect on their adsorption performance among other factors. Therefore, understanding the reactivity and adsorption geometries of compounds on the metal surface would provide valuable information about their corrosion inhibition performance. For this purpose, several recent studies have been reported on the investigation of molecular, electronic and structural properties of tested corrosion inhibitors from a theoretical point of view [17,18]. Global reactivity descriptors provide a general overview of the reactivity of individual compounds and potential adsorption sites. However, these quantum chemical parameters are limited in interpreting the adsorption characteristics of compounds on metal surfaces [19,20]. To overcome this limit, other theoretical approaches such as first-principles density functional theory (DFT) and Density Functional Based Tight Binding (DFTB) can be used [21,22,23,24]. These methods allow the simulation of inhibitor-metal interactions, including the possibility of bond formation and breaking. Furthermore, macroscopic level insights can be obtained from molecular dynamics and Monte Carlo simulations about the most stable adsorption configuration of compounds on metal surface in presence of a simulated corrosive solution. Together, theoretical approaches are of paramount importance in studying the adsorption properties of compounds on the metal surface. Thus, understanding their corrosion inhibition performance in a more accurate way.
Given the above-mentioned considerations, this paper aims to investigate the corrosion inhibition behavior of three spiro junction heterocycles, namely 3,4-diphenyl-1,7-dioxa-2-azaspiro[4.4]non-2-en-6-one (DDA), 3-phenyl-4-(p-tolyl)-1,7-dioxa-2azaspiro[4.4]non-2-en-6-one (PDA) and 4-(4-methoxyphenyl)-3-phenyl-1,7-dioxa-2-azaspiro[4.4]non-2-en-6-one (MDA) on carbon steel in a 1.0 mol/L HCl solution. The experimental study was carried out using electrochemical methods, such as potentiodynamic polarization curves (PPCs) and electrochemical impedance spectroscopy (EIS). Theoretically, useful insights into the reactivity and adsorption characteristics of investigated compounds were obtained from quantum chemical calculations, Monte Carlo simulation, and Density Functional Based Tight Binding. The analysis of the steel surface morphology was studied using scanning electron microscope (SEM), coupled with EDX elemental analysis.
2. Materials and Methods
2.1. Materials, Inhibitors and Solutions
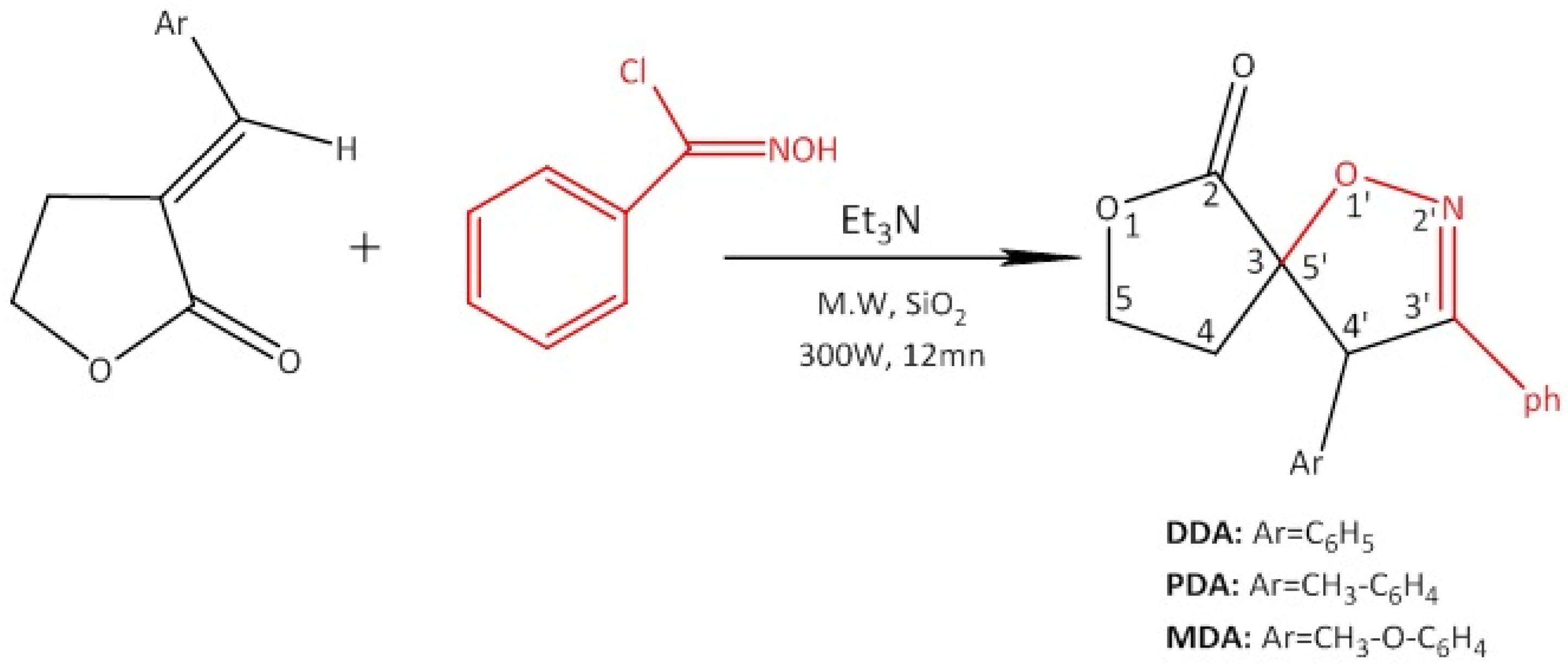
The compounds used in this study, namely DDA, PDA, and MDA, were synthesized in our laboratory by condensation of phenylnitroloxide and α-benzylidenyl-γ-butyrolactone by the microwave oven technique and their structures were characterized using 1H, 13C NMR and IR spectroscopic analyses according to the procedure reported in our previous work (Scheme 1 and Figure 1) [25]. After pre-trial tests, compounds were tested atconcentrations of 5 × 10−5, 10−4, 5 × 10−4 and 10−3 mol/L. The 1.0 mol/L HCl acid medium was prepared from commercial HCl (37%). The working electrode was carbon steel, which consists of %Carbon: 0.2; %Phosphorus: 0.005; %Sulfur: 0.05; %Nitrogen: 0.07; and the rest is iron. The steel surface is rubbed before each experiment with different grades of emery paper (400–2000) and washed with distilled water and acetone. All chemicals were obtained from Sigma-Aldrich and used as received.
Scheme 1.
Synthesis procedure of DDA, PDA, and MDA compounds.
Figure 1.
1H NMR and molecular structures of DDA, PDA, and MDA compounds.
DDA: RMN 1H (300 MHz, DMSO), δ (in ppm): 2.05 (m, 2H, 4CH2); 3.39 (s, H,4′CH); 4.31 (m, 2H, 5CH2); 7.30–7.66 (m, 10H, CHunsaturated).PDA:RMN 1H (300 MHz, DMSO), δ (in ppm): 2.36 (s, 3H, CH3); 2.52 (s, H, 4′CH); 3.23 (m, 2H, 4CH2);4.42 (m, 2H, 5CH2); 7.30–7.54 (m, 9H, CHunsaturated).MDA: RMN 1H (300 MHz, DMSO), δ (in ppm): 2.52 (s, H, 4′CH); 3.19 (m, 2H, 4CH2); 3.31 (s, 3H, o-CH3); 4.41 (m, 2H, 5CH2); 7.03–7.60 (m, 9H, CHunsaturated).
2.2. Electrochemical Measurements
PPCs and EIS measurements were performed using a 3-electrode cell connected with a potentiostat. A working electrode (carbon steel) with an area of 1.0 cm2, a counter electrode (platinum) and a reference electrode (Ag/AgCl) were used. The working electrode was submerged in the 1.0 mol/L HCl solution for 1800 s to reach a steady state of open circuit potential (Eocp) before each measurement. The electrochemical corrosion tests were performed by a Biologic SP-150 potentiostat monitored by a computer. The PPCs measurements were performed in the potential range of −1000 to 0 mV at a slow rate of 1 mV/s. However, impedance measurements (EIS) were performed in the frequency range of 100 kHz to 10 mHz, with an amplitude of 10 mV.
The corrosion inhibition efficiency values were estimated from PPCs using corrosion current density of inhibited, and uninhibited, HCl solution using the following equation [26]:
From EIS, the polarization resistance of blank, and inhibited HCl solutions, are used to calculate the corrosion inhibition efficiency as follows [27]:
2.3. Surface Analysis
The morphology and surface composition of carbon steel were studied using scanning electron microscope (SEM) coupled with EDX elemental analysis. The analysis was performed on the carbon steel plates after immersion in 1.0 mol/L HCl acid medium without and with the optimum concentration of each inhibitor(10−3 mol/L) for 20 h immersion time. The JSM-IT500HR electron microscope (SEM; JSM-IT500HR, Japan) with an acceleration energy of 0.5 to 30 KV was used to analyze the surfaces.
2.4. Quantum Chemical Calculations
Gaussian 09 software was used to perform quantum chemistry calculations on neutral molecules in the aqueous phase. Full geometry optimizations and total energy calculations of tested compounds were carried out using the density functional theory (DFT), B3LYP functional and 6-311++g(d,p) as basis set [28]. Computed quantum chemical parameters include the energy of the highest occupied molecular orbital (EHOMO), the energy of the lowest unoccupied molecular orbital (ELUMO), energy band gap (ΔEg), electronegativity (χ), chemical potential (µ), the hardness (η), the overall softness (S), the global electrophilicity index (ω), the electronic charge transfer fraction (∆N) and the associated energy change (∆E). These quantum chemical reactivity indices are calculated via the following relationships as previously reported in the literature [29]:
2.5. Monte CarloSimulation
The surface interactions between inhibitor molecules and the metal surface in THE presence of 600 H2O molecules, 30 H3O+ and Cl−ions were studied using Monte Carlo simulations as previously described by Znini et al. [27]. For the simulation, Materials studio 7.0 software’s adsorption locator module was employed. The Condensed-phase Optimized Molecular Potentials for Atomistic Simulation Studies (COMPASS) force field was used to simulate and optimize the inhibitor molecules. The optimized inhibitor molecules were used as the adsorbate and made to interact with the surface atoms of the Fe (110) surface.
2.6. SCC-DFTB Simulation
SCC-DTB were carried out within the framework of spin polarized DFTB using the DFTB+ code [30]. The exchange-correlation energy was described within the generalized gradient approximation (GGA) parameterized by Perdew–Burke–Ernzerh (PBE) [31]. The empirical dispersion correction was used to accurately describe the effect of van der Waals (vdW) interactions [32]. The Slater–Koster trans3d DFTB parameters were used. SCC formalism with 10−8 SCC tolerance, Broyden mixing scheme, and 0.01 smearing were used to speed up the convergence. All convergence thresholds were default “Fine” quality values in the DFTB+ module. Monkhorst–Pack Brillouin zone k-point grids of (8 × 8 × 8) and (2 × 2 × 1) were used for the optimization calculation of the bulk lattice parameters and adsorption models, respectively. The initial lattice parameter of iron was 2.862 Å while the optimized one is 2.847 Å, confirming that selected methods and models were reasonable.
The surface Fe(110), which has been found to be the most stable iron plane [33], was built by constructing a periodic multi-slab model with a (5 × 5) supercell and a vacuum spacing of 20 Å along the z-direction to account for spurious interactions between slabs. The molecules were placed on the top side of the slab in two initial adsorption configurations. The two bottom-most atomic layers were fixed to bulk positions whereas all other degrees of freedom were allowed to relax. A cubic box of 30 Å in size was created for SCC-DFTB calculations of standalone molecules. The surface coverage(Θ) (in monolayer (ML) unit) considered in the present work was 1/25 ML. The total energies of isolated molecules (noted Emol), Fe(110) iron surface (noted Esurf), and molecule/Fe(110) adsorption systems (noted Emol/surf) were used to determine the interaction energy as:
3. Results and Discussion
3.1. OCP Measurements
Figure 2 shows the variation of EOCP as a function of time for carbon steel immersed in 1.0 mol/L HCl acid solution with and without various concentrations of DDA, PDA and MDA compounds. Results show that for all the three inhibitors, the EOCP potential increases until it reaches a stable potential after 600 s of immersion, then remains stable. Additionally, we infer from the potential curves that EOCP goes in the direction of positive values when inhibitor concentration rises (from −0.474 V for the blank solution to −0.446, −0.451 and −0.439 V for DDA, PDA and MDA inhibitors at 10−3 mol/L concentration, respectively). The positive shift in the OCP suggests that inhibitor molecules have increased the corrosion resistance of the carbon steel, reducing its tendency to corrode [34]. The curves show some fluctuations with increasing the time of the experiment, which may indicate that inhibitor molecules have effectively adsorbed on the steel surface [35,36]. Previously reported isoxazoline derivatives have showed the same behavior for carbon steel when added to HCl solutions [37].
Figure 2.
OCP–time curves for carbon steel in 1.0 mol/L HCl with and without various concentrations of DDA (a), PDA (b) and MDA (c).
3.2. Potentiodynamic Polarization Curves
The PPCs were used to understand the mechanism of metal dissolution and the effect of inhibitor addition on the cathodic and anodic corrosion behavior. Figure 3 shows the potentiodynamic polarization curves of carbon steel in 1.0 mol/L HCl medium without and with different concentrations (5 × 10−5, 10−4, 5 × 10−4 and 10−3 mol/L) of the inhibitors at 298 K. Electrochemical corrosion variables such as corrosion current density (icorr), corrosion potential (Ecorr), anodic (βa) and cathodic (βc) Tafel constants, surface coverage (θ) and corrosion inhibition efficiency () were calculated and listed in Table 1.
Figure 3.
Polarization curves of carbon steel in 1.0 mol/L HCl with and without various concentrations of DDA (a), PDA (b) and MDA (c) at 298 K.
Table 1.
Electrochemical parameters of carbon steel in 1.0 mol/L of HCl without and with various concentrations of DDA, PDA and MDA at 298 K.
From PPCs, we note that the increase in the concentration of inhibitors induces a decrease in cathodic and anodic current density. The decrease in the value of corrosion current density (icorr) reaches lower values at concentrations of 10−3 mol/L. For cathodic reactions, the addition of the compounds decreases the cathodic branches without changes in the curve’s shapes indicating no modification of the cathodic reaction mechanism. At the anodic side, it can be noticed that the anodic current densities decrease with the addition of inhibitors’ concentration until the potential reaches around −0.350 V. From this potential, anodic current density values start increasing until reaching values higher than blank sample at very positive potentials. This shift in anodic curves around −0.35 V potential is well-known behavior of organic corrosion inhibitors and is interpreted to be directly associated with desorption of organic molecules at high positive potentials. This potential is known as “desorption potential” where the significant dissolution of the steel leads to the desorption of adsorbed inhibitor molecules, thus exposing the steel surface to acidic solution [38].This further indicates that investigated compounds act by adsorption on the steel surface forming a protective layer that protects it against corrosion.
On the other hand, it can be noticed from results in Table 1 that the inhibition efficiency is concentration-dependent, reaching maximum values of 76.26, 80.31 and 82.91% at a concentration of 10−3 mol/L of DDA, PDA and MDA, respectively. Previously, Elqars et al. have prepared an isooxazoline derivative, namely 3-phenyl-isoxoline-carvone (PIC), and tested it for carbon steel in 1.0 mol/L HCl [39]. Authors found an inhibition efficiency of 95% at 1.49 mmol/L, which is significantly higher than compound under study. However, the isoxazoline derivatives studied by Nalini et al. for corrosion mitigation of mild steel in 1.0 mol/L solution showed a relatively lower inhibition efficiency [37]. Authors have reported inhibition efficiencies between 61% and 88% at 20 mg/L of tested isoxazolines. Results also show that the corrosion potential (Ecorr) shifts slightly towards the cathodic direction in the presence of the inhibitors compared to the blank sample. However, this shift is not significant to the extent that compounds are classified cathodic inhibitors [40]. The corrosion potential values of all concentrations are around the blank sample potential with only slight negative shift and with remarkable effect on the anodic corrosion branches, suggesting that tested inhibitors can be classified as mixed type corrosion inhibitors [41]. By comparison with Nalini et al.’s work, it can be stated that isoxazolines showed the same corrosion potential behavior. While the corrosion potential of blank was reported to be −474 mV/SCE, the addition of inhibitors has also caused a potential shift towards the positive values [37].
3.3. Electrochemical Impedance Spectroscopy
EIS is an electrochemical technique widely used to determine the effectiveness and mechanism of action of corrosion inhibitors on metal surfaces. The Nyquist and Bode diagrams of carbon steel in inhibited and uninhibited HCl solutions are represented in Figure 4. The results show that the Nyquist diagrams for the three inhibitors are in the shape of a semicircle; their diameters increase with increasing concentrations of the inhibitors, with a similarity between the shapes of the curves at all concentrations. This behavior can be explained by the ability of the molecules of DDA, PDA and MDA to protect the surface of the steel in the acid medium without modifying the corrosion mechanism [42]. In addition, it can be noticed that only a single semicircle is observed at high frequency of at all concentrations, suggesting a one-time constant characteristic of a charge transfer process. This behavior is well-observed from Bode-phase plots showing only one maximum phase corresponding to one time constant, confirming the one-step mechanism [43].
Figure 4.
Nyquist (a–c) and Bode (d–f) diagrams of carbon steel in 1.0 mol/L HCl solution in the absence and in the presence of different concentrations of DDA (a,d), PDA (b,e) and MDA (c,f) at 298 K.
The impedance spectra were fitted with an electrical equivalent circuit that consists of a solution resistance, Rs in series with a parallel connection of a constant phase element (CPE) and polarization resistance (Rp) as shown in Figure 5.
Figure 5.
The equivalent circuit model used to fit EIS data.
The constant phase element is used instead of the ideal capacitor to describe the real iron/acid interface; its impedance function can be represented by the following equation [38]:
where Q is the CPE’s magnitude, and n denote the angular frequency and inhomogeneity parameter, respectively. Under perfect theoretical conditions, n = 1, representing an ideal capacitor, however, iron/acid interface systems are not ideal because of system’s heterogeneity [44,45]. The double layer capacitance values Cdl are calculated using the following equation:
Table 2 lists the inhibition efficiency ηEIS(%) and other EIS parameters obtained by fitting impedance curves.
Table 2.
EIS parameters for the corrosion of carbon steel in 1.0 mol/L HCl solution in the absence and presence of DDA, PDA and MDA at 298 K.
The value of Rp increases with increasing concentration for all three inhibitors, and vice versa for the value of Cdl. The variation of these values can be attributed to the inhibitor molecules’ adsorption on the metal surface, creating a barrier between the corrosive medium and the metal [46]. The higher the thickness of the protective layer the lower is the double layer capacitance [47]. This signifies that the addition of compounds to the HCl solution has a considerable effect on the surface state of the carbon steel given the fact that at higher inhibitor concentrations, the double layer capacitance values decrease to very low values. For instance, at 10−3 mol/L of MDA, the double layer capacitance reaches 10.43 µF cm−2 compared to 200 µF cm−2 of blank sample. A further inspection of results indicates that n values do not show a significant variation after the addition of inhibitors, indicating no remarkable changes in the surface heterogeneity of the carbon steel. The reported inhibition efficiency ηEIS(%) from the impedance measurements reveals that MDA has the best corrosion inhibition performance of 81.55%, followed by PDA at 79.97% and DDA in the third position at 76.16%. These results match those obtained from the PPCs. The MDA compound differs from the DDA only by the additional methoxy group attached to the phenyl ring while the PDA compound has a methyl group instead of methoxy group. These structural changes seem too simple considering the molecular structure, however, they have significant effect on the electron density distribution, and thus the adsorption characteristics of each compound. These effects are well-explained at molecular level in theoretical sections.
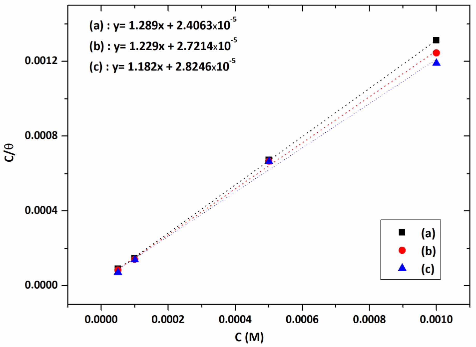
3.4. Adsorption Isotherm
The protection of steel against corrosion by organic inhibitors has been explained by the adsorption of their molecules on the metal surface [48]. Information on the adsorption mechanism of DDA, PDA and MDA inhibitors on the steel surface can be evaluated via adsorption isotherm models. The values of the surface coverages (𝜃 = η(%)/100) for different inhibitor concentrations are deduced from the data of the potentiodynamic polarization technique (Table 1). These values were used to test different types of isotherms (Langmuir, Frumkin, Temkin and Freundlich) [49]. Among these adsorption isotherms, the Langmuir isotherm is found the best with a linear regression coefficient (R2) equal to 0.999, 0.999 and 0.997 for DDA, PDA and MDA, respectively (Figure 6). The Langmuir isotherm is defined by the following equation [50]:
where C denotes the concentration of the inhibitor, θ is the surface coverage and Kads is the equilibrium constant obtained from the Langmuir plot [30].
Figure 6.
Langmuir adsorption isotherm for carbon steel in 1.0 mol/L HCl solution containing various concentrations of inhibitors DDA (a), PDA (b) and MDA (c).
The free energy of adsorption values were calculated by the following relationship [51]:
With R is the constant of perfect gases and T is the absolute temperature.
The thermodynamic adsorption parameters (Kads and ) are shown in Table 3, from which it can be noticed that the three inhibitors exhibit high equilibrium constant values attributed to their strong adsorption capacity on the steel surface [52]. According to the reported free energy of adsorption values, the adsorption of inhibitor molecules can be classified as physicochemical process [53]. Moreover, the negative values of confirm the spontaneous adsorption process of the inhibitors on the steel surface [46]. However, it must be noted that the simple correlation and fitting of experimental data to adsorption isotherms is not a trustworthy way to judge whether an adsorption isotherm is suitable for describing the actual adsorption process or not because of the challenge in meeting all adsorption models criteria and the fact that correlation does not imply causation [54,55]. With this in mind, it is well-documented that organic compounds, when used in iron/acid interface, act on the iron surface, first by physical interactions between protonated inhibitor molecules and pre-adsorbed chloride ions before chemically interacting with vacant d-orbitals of iron by charge transfer [56,57].
Table 3.
Thermodynamics parameters adsorption of inhibitors DDA, PDA and MDA on carbon steel in 1 M HCl.
3.5. Surface Characterization
To get more insight into the protection of the steel surface by DDA, PDA and MDA inhibitors, surface morphological analysis was performed for carbon steel after immersion in HCl without and with the 10−3 mol/L of inhibitors for 20 h. The results show that in the case of immersion in 1.0 mol/L HCl solution without inhibitors (Figure 7a), the SEM image shows that the surface of the steel is strongly damaged by the aggressive attack of the acidic solution. On the contrary, in the presence of inhibitors DDA, PDA and MDA (Figure 7b–d), the steel surface is smoother with several clean areas. This improvement in surface morphology is attributed to the adsorption of inhibitor molecules on the steel surface, increasing its corrosion resistance.
Figure 7.
SEM images and EDX data for steel surfaces: (a,e) after immersion in 1.0 mol/L HCl, (b,f) after immersion in 1.0 mol/L HCl + 10−3 mol/L DDA, (c,g) after immersion in 1.0 mol/L HCl + 10−3 mol/L PDA, (d,h) after immersion in 1.0 mol/L HCl + 10−3 mol/L MDA at 298 K.
The EDX analysis of blank (Figure 7e) and inhibited solutions (Figure 7f–h) shows high percentages for Cl, O and C elements for the steel exposed to the acid solution without inhibitor, which is in agreement with the literature [42] while the opposite is observed in the presence of the inhibitors. In addition, the spectra indicate the presence of characteristic peaks of nitrogen, as a constituent of the inhibitors on the surface of the steel with no significant decrease in O percentages. This can be a result of the inhibitor molecules adsorbed on the metal surface [58]. The element mapping analysis (Figure 8) also confirms the increase in the percentage of iron and nitrogen in the presence of inhibitors.

Figure 8.
Mapping analysis for carbon steel surfaces after immersion in 1.0 mol/L HCl and in 1.0 mol/L with 10−3 mol/L of inhibitors: DDA, PDA and MDA.
3.6. Global Reactivity Descriptors
To explain the experimental results and determine the potential active sites of the inhibitors, theoretical studies were performed by DFT for the three inhibitors DDA, PDA, and MDA. In this context, several quantum chemical parameters have been calculated. Optimized structures, Mulliken atomic charges, the electrostatic potential map (ESP) and the HOMO and LUMO localization of inhibitors are shown in Figure 9, and the values of molecular and electronic parameters are listed in Table 4 and Table 5.
Figure 9.
Optimized structures, HOMO and LUMO iso-densities and ESP of inhibitors DDA, PDA and MDA obtained by DFT/B3LYB.
Table 4.
Mulliken atomic charges of inhibitors DDA, PDA and MDA.
Table 5.
Molecular and electronic parameters of inhibitors DDA, PDA and MDA.
Figure 9 shows that the HOMO electron densities of the inhibitors DDA and PDA are distributed on the carbon-carbon double bonds of phenyl and on isoxazoline, on the other hand, for the inhibitor MDA the HOMO densities are distributed on the phenyl double bonds and the methoxy group, while the LUMO of these inhibitors is located on the carbon atoms of isoxazoline and on the phenyl. Overall, it can be observed that all compounds exhibit a wide distribution of both HOMO and LUMO iso-densities, suggesting their potential ability to act as electron-donating and electron-accepting when interacting with the carbon steel surface.
The ESP presents the charge distribution on DDA, PDA, and MDA molecules, where the nucleophilic center (negative region) in red colors is located on the Nitrogen and Oxygen atoms, while the electrophilic center in blue colors represents the most positive regions [59]. From these results, it can be concluded that O and N atoms and carbon–carbon double bonds can positively favor the adsorption of inhibitors on the surface of carbon steel [60].
Mulliken charges in Table 4 show that the oxygen (red), nitrogen (blue) and some carbon atoms of the inhibitors DDA, PDA and MDA have negative values, which suggests that they can actively participate in donor–acceptor interactions with carbon steel surface.
Table 5 represents the values obtained for the different molecular and electronic parameters. The reactivity of the molecules is a crucial factor for their corrosion inhibition performance, and some initial insights can be obtained from quantum chemical parameters. The literature shows that high values of EHOMO, dipole moment, polarizability, overall softness (S) and ΔN, signify a strong tendency to electron surrender by the molecules of inhibitors, and the ability of the inhibitor molecules to replace the water molecules and to be adsorbed on the surface of the carbon steel [61]. On the other hand, the low values of ELUMO indicates that the compounds tend to accept electrons [62] while a low energy band gap (∆Eg) means low stability and thus stronger ability to interact with carbon steel surface [63]. In addition, the low values of electronegativity (χ) and global electrophilicity index (ω), indicate that the electron donating tendency of the inhibitor is high, and these values refer to a good nucleophilicity of the molecules, consequently, good adsorption tendency [64]. The values of these parameters in Table 5 can be compared for the three inhibitors, which shows that the compound MDA has a high reactivity, followed by PDA and DDA. These results are interesting; however, the interacting metal should be considered to get more accurate information about molecules’ reactivity and adsorption sites, which will be considered in the following sections.
3.7. Monte Carlo Simulations
Monte Carlo simulation is a very important theoretical tool to investigate the adsorption configurations of inhibitor molecules in the presence of a simulated solution. Interestingly, adsorbed inhibitor molecules can be adsorbed on metal surfaces through different modes, such as in parallel, perpendicular and tilted orientations [65]. As shown in Figure 10, DDA is adsorbed perpendicular to the Fe (110) surface, however, PDA and MDA are very similarly adsorbed with nearly parallel orientation increasing thus the contact and surface coverage. In these adsorption geometries, molecules adsorbed on the iron surface through the spiro-isoxazoline lactone and the methoxy group. All molecules tend to interact through their heteroatoms; however, no bond formation is observed, which is one of the limitations of this simulation. Another limitation of this method is the overestimation of the interaction energy values. For instance, the interaction energies of the three molecules are estimated to be thousands of kcal/mol, which is not possible. The simulation results are useful to investigate the adsorption configuration of molecules in the presence of solvent particles, which makes the adsorption more competitive than vacuum state. A close inspection of the three adsorption configurations reveals that inhibitor molecules cannot exhibit a clear parallel adsorption through their aromatic rings because of the geometry of the molecular structures. This can act positively by physically hindering the diffusion of corrosive particles from reaching the metal surface and at the same time bonding to metal surface through heteroatoms.
Figure 10.
Top and side views of the most stable adsorption configuration of adsorbate/Fe(110)-surface in the aqueous phase.
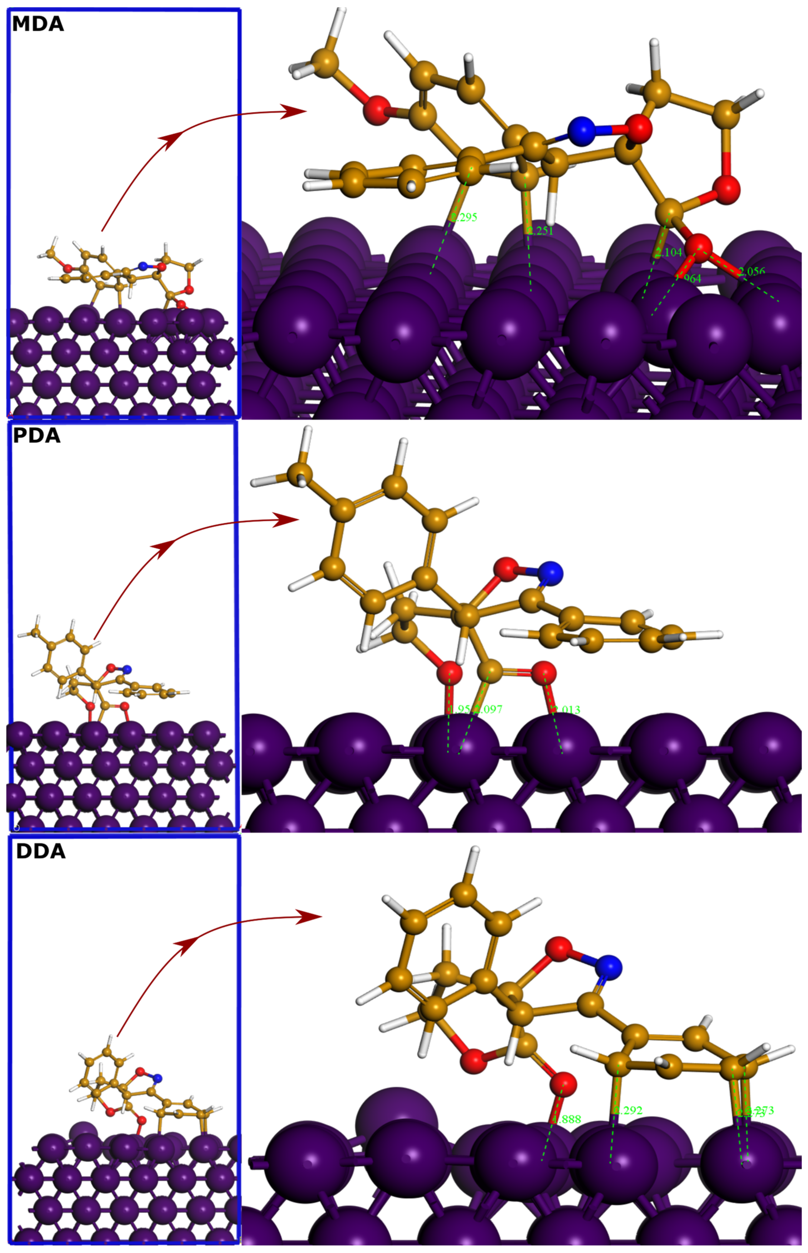
3.8. DFTB Simulations
3.8.1. Adsorption Geometries
The adsorption is the main mechanism responsible for the effectiveness of organic corrosion inhibitors. To form a protective film on the metal surface, inhibitor molecules interact with metal’s atoms through their active sites. Density functional-based simulations of these interactions can reveal useful insights into the adsorption mechanism and therefore corrosion inhibition performance. To this end, in this section, DFTB simulations were carried out to simulate inhibitor-Fe(110) interactions. In the present work, two initial adsorption orientations were considered for DFTB simulations. Figure 11 and Figure 12 represent the DFTB optimized adsorption geometries of the first and second adsorption configurations of the three compounds on Fe(110) surface. Inspecting results of the optimized adsorption geometries, one can notice that, in the first configuration, the isoxazoline undergoes N–O ring-opening that leads to the formation of bonds between O and N atoms of compounds and Fe atoms. In addition, the non-substituted phenyl bonds with the iron atoms through its carbon atoms. However, no bond-breaking is observed in the second orientation, and molecules tend to bond with the metal atoms with their oxygen and carbon atoms. Looking at bond distances of the first adsorption configuration (Figure 11), it can be observed that the three molecules have nearly the same bond lengths. While the Fe-N and Fe-C bonds have, respectively, lengths of 2.261–1.262 and 1.717–1.718 Å, the Fe-O bond shows a small decrease going from DDA molecule (2 Å) to PDA (1.998 Å) and MDA (1.997 Å). In the second adsorption configuration (Figure 12), it can be noticed that MDA molecule forms several bonds with iron atoms through its carbon and oxygen atoms. The same can be said for the PDA and DDA molecules, which also show high affinity to bind with iron atoms. In the three optimized geometries of the second adsorption configuration, the bond distance for Fe-O is between 2.05 and 1.88 Å while that of Fe-C is ranging from 2.09 and 2.29 Å. The nature of these formed bonds can be discussed in terms of the sum of covalent radii of the interacting atoms. The sum of the covalent radii value for Fe-C (rC + rFe), Fe-N (rN + rFe) and Fe-O (rO + rFe) are reported to be 2.08, 2.03 and 1.98 Å, respectively [66]. By comparison with bond distances, it can be concluded that all bond distances are within the sum of covalent radii of interacting atoms. It highlights that formed bonds are mostly covalent in nature. The 2-isoxazoline ring system is known for the low thermochemical stability of its N-O bond, which makes it very reactive especially when interacting with reactive chemical species [67]. This can be very beneficial when interacting with iron atoms, favoring the formation of strong covalent bonds and therefore strengthening the molecule’s adsorption. It should also be noted that inhibitor molecules demonstrated high coordination ability with iron atoms in different orientations.
Figure 11.
DFTB optimized adsorption geometries of the first adsorption configuration of MDA, DDA and PDA on Fe(110) surface.
Figure 12.
DFTB optimized adsorption geometries of the second adsorption configuration of MDA, DDA and PDA on Fe(110) surface.
The strength of molecules’ adsorption can also be evaluated energetically by calculating the adsorption energy for each inhibitor-Fe(110) systems. The energetical analysis of optimized adsorption systems for the first adsorption configuration reveals that MDA-Fe(110), PDA-Fe(110), and DDA-Fe(110) adsorption systems have adsorption energies of −2.124, −2.074, and −1.984 eV, respectively. For the first adsorption configuration, MDA-Fe(110), PDA-Fe(110), and DDA-Fe(110) adsorption systems have adsorption energies of −2.897, −1.945, and −2.321 eV, respectively. In both adsorption configurations, the three molecules exhibit a higher negative adsorption energies, indicating their stable and strong adsorption abilities over Fe(110) surface [68,69,70]. Furthermore, the structural difference between investigated molecules seems to influence their interactive force with iron atoms as observed from experimental results. The molecule with methoxy group exhibits the highest magnitude of adsorption energy, followed by methyl-substituted molecule, and parent molecule having the low adsorption energy magnitude. However, this adsorption strength trend seems to be different in the second adsorption configuration. Compounds with electron-donating functional groups such as methoxy are known for their outstanding adsorption and inhibitive properties, which is not surprising in the present study. The unique feature from these simulations is the bond-breaking characteristics of interacting molecules with iron atoms, which could be an additional useful property that increases the corrosion inhibition performance of these compounds.
3.8.2. Projected Density of States
The geometrical analysis of the optimized adsorption geometries revealed that investigated compounds can form covalent bonds with iron atoms. However, more assessment is needed to clarify the characteristics of the formed bonds and nature of charge distribution between molecules and Fe atoms. For this purpose, the projected density-of-states plots were extracted from optimized isolated molecules, adsorbed far from the iron surface, and from the optimized adsorption systems of both configurations, to compare the changes in the chemical states before and after the adsorption of molecules. Figure 13 represents the PDOSs of isolated molecules while Figure 14 represent the PDOS of molecules after the adsorption on the iron surface. From Figure 13a–c, one can notice that PDOSs show well-defined chemical states with intense peaks within the energy range of iron 3d orbital electronic states. By inspecting the PDOSs plots for the adsorbed systems in Figure 14, it can be observed that the intensity of peaks decreases, and they exhibit broadening induced by interactions between molecules’ atoms and iron atoms. These remarks indicate that inhibitor molecules participate in strong interactions with iron atoms through charge transfer that is validated by the strong hybridization of p-states of the inhibitor molecules as evident in the PDOS plots [23,24]. This strengthens and confirms the conclusions made from the adsorption geometry systems of adsorbed molecules.
Figure 13.
Projected density of states of isolated inhibitor molecules (a) MDA, (b) PDA and (c) DDA and on Fe(110) surface.
Figure 14.
Projected density of states of adsorbed inhibitor molecules MDA, DDA and PDA on Fe(110) surface; (a–c) first adsorption orientation, and (d–f) second adsorption orientation.
3.9. Mechanism of Adsorption and Inhibition
The theoretical and experimental studies presented in this work show the effect of the molecular structure of the various components present in solution on the nature of the interactions between the inhibiting molecules and the metallic surface and consequently on the adsorption mechanism. Indeed, the adsorption of the inhibitor on the metal surface could take place physically or chemically or as a combination of both. In an acid medium (1.0 mol/L HCl), the surface of the steel becomes positively charged after having lost the electrons following rapid oxidation, which favors the fixation of the negatively charged counter-chloride ions (Cl−) thus carrying an excess of negative charge on the metal surface [29,71]. At the same time and with the presence of heteroatoms and functional groups, inhibitors can also exist in protonated and neutral forms. Figure 11 illustrates the mechanism of adsorption of organic corrosion inhibitors on the steel surface in a 1.0 mol/L HCl medium.
Figure 15 shows that the proposed inhibition mechanism of different inhibitory molecules on the steel surface in acid medium occurs through three types of phenomena: chemisorption, physisorption and retro-donation. Indeed, physisorption can be explained on the basis of electrostatic interactions between the negatively charged metallic surface and the protonated inhibitory molecules. However, chemisorption occurs through donor-acceptor interactions between electrons from lone pairs of heteroatoms, i.e., certain number (n) of electrons associated with heteroatom’s non-bonding electrons or lone pairs, π electrons from double bonds as well as phenyl groups with vacant d-orbitals from Fe atoms. Parallel to this, a process known as “back-donation” occurs in which electrons are transferred back from the metal surface to the open molecular orbitals of the inhibitor molecules, improving the adsorption of the inhibitor molecules on the metal surface [18].
Figure 15.
Schematic representation of the adsorption mechanism of investigated corrosion inhibitors on carbon steel surface in 1.0 mol/L HCl solution.
On the other hand, it is found that the substitution of the phenyl ring has considerably improved the corrosion inhibition performance of the studied compounds, which is reflected in the increase in the inhibition efficiency from 76% (DDA) to 80% (PDA) and 82% (MDA). However, it can be noticed that methyl and methoxy functional groups lead to a relatively similar inhibition efficiency. This behavior can be explained by the Hammett sigma constants, which are an approximate measure of the ability of a substituent to donate electron density to the parent molecule [72,73,74]. The Hammett sigma constants of methyl and methoxy are σ = −0.17 and σ = −0.22, respectively [75]. Electron-donating substituents have a positive effect on the electron density over the active sites responsible for interactions with metal surface, and therefore increases the inhibition efficiency [56]. However, methyl and methoxy groups have similar Hammett constants, and then exhibit similar corrosion inhibition properties.
4. Conclusions
In the present work, three 2-isoxazoline-γ-Lactone derivatives, DDA, PDA and MDA, were evaluated as corrosion inhibitors for carbon steel in 1.0 mol/L HCl acid solution by electrochemical and computational methods. The PPCs results showed that the inhibitory efficiency increased as a function of concentration to reach a maximum of 76.26, 80.31 and 82.91%, for DDA, PDA and MDA, respectively, at a concentration of 10−3 mol/L and that these inhibitors were of mixed type (with a slight cathodic predominance). Electrochemical impedance spectroscopy results showed that the investigated molecules adsorbed effectively on the metal surface increasing the polarization resistance of the carbon steel and simultaneously leading to a considerable decrease in the electrical double layer capacitance. The study of surface morphology also confirmed the effective protection of the steel by tested inhibitors as evidenced by the smoother surface morphology of samples immersed in inhibited solutions. Quantum chemical calculations were used to evaluate the reactivity of individual molecules and their electronic parameters, which have predicted a reactivity trend similar to the experimental results. The MDA compound showed outstanding theoretical and experimental results thanks to its additional methoxy group compared to PDA (with methyl group) and the parent DDA compound. Inhibitor-iron simulations through DFTB method revealed the formation of covalent bonds between oxygen and nitrogen of inhibitors with iron atoms with bond-breaking of the N-O bond of the 2-isoxazolinemoiety of the three compounds. This contribution is expected to shed more lights on the application of 2-isoxazoline derivatives for the corrosion protection of metals in acidic mediums. The interesting theoretical results from DFTB simulation can open new opportunities for the development of more effective derivatives from this organic class of compounds.
Author Contributions
Conceptualization, methodology, software, validation, writing—review and editing, H.L., A.C. and Y.G.K.; formal analysis, investigation, resources, data curation, writing—original draft preparation, Y.Y., A.A., O.O.-a., L.O. and A.O.; visualization, supervision, project administration, B.H. and M.Z. All authors have read and agreed to the published version of the manuscript.
Funding
This research received no external funding.
Data Availability Statement
The data presented in this study are available on request from the corresponding author.
Conflicts of Interest
The authors declare no conflict of interest.
References
- Tang, Z.; Hu, X.; Jiang, J.; Xue, H.; Zhuge, H. Effects of Pre-Fatigue Damages on Ultimate Strength of Steel Columns: From Material to Structure. J. Constr. Steel Res. 2022, 195, 107358. [Google Scholar] [CrossRef]
- Popoola, L.T.; Grema, A.S.; Latinwo, G.K.; Gutti, B.; Balogun, A.S. Corrosion problems during oil and gas production and its mitigation. Int. J. Ind. Chem. 2013, 4, 35. [Google Scholar] [CrossRef]
- Rodgers, G.W.; Chase, J.G.; Causse, R.; Chanchi, J.; MacRae, G.A. Performance and Degradation of Sliding Steel Friction Connections: Impact of Velocity, Corrosion Coating and Shim Material. Eng. Struct. 2017, 141, 292–302. [Google Scholar] [CrossRef]
- Znini, M.; Majidi, L.; Bouyanzer, A.; Paolini, J.; Desjobert, J.-M.; Costa, J.; Hammouti, B. Essential Oil of Salvia Aucheri Mesatlantica as a Green Inhibitor for the Corrosion of Steel in 0.5M H2SO4. Arab. J. Chem. 2012, 5, 467–474. [Google Scholar] [CrossRef]
- Abdel-Karim, A.M.; El-Shamy, A.M. A Review on Green Corrosion Inhibitors for Protection of Archeological Metal Artifacts. J. Bio-Tribo-Corros. 2022, 8, 35. [Google Scholar] [CrossRef]
- Senthilkumar, G.; Umarani, C.; Ramachandran, A. Investigation on Corrosion Inhibition Effect of N-[4-(1,3-Benzo[d]Thiazol-2-Ylcarbamoyl)Phenyl]Quinoline-6-Carboxamide as a Novel Organic Inhibitor on Mild Steel in 1N HCl at Different Temperatures: Experimental and Theoretical Study. J. Indian Chem. Soc. 2021, 98, 100079. [Google Scholar] [CrossRef]
- Quraishi, M.A.; Chauhan, D.S.; Saji, V.S. Heterocyclic Organic Corrosion Inhibitors: Principles and Applications; Elsevier: Amsterdam, The Netherlands, 2020; ISBN 978-0-12-819694-6. [Google Scholar]
- Quraishi, M.A.; Chauhan, D.S.; Saji, V.S. Heterocyclic Biomolecules as Green Corrosion Inhibitors. J. Mol. Liq. 2021, 341, 117265. [Google Scholar] [CrossRef]
- Liu, Z.-Y.; Wang, D.; Li, D.-T.; Wang, H.-Q. The Inhibition Efficiencies of Some Organic Corrosion Inhibitors of Iron: An Insight from Density Functional Theory Study. Comput. Theor. Chem. 2022, 1214, 113759. [Google Scholar] [CrossRef]
- Pradhan, B. A Study on Effectiveness of Inorganic and Organic Corrosion Inhibitors on Rebar Corrosion in Concrete: A Review. Mater. Today Proc. 2022, 65, 1360–1366. [Google Scholar]
- Aslam, J.; Aslam, R.; Alrefaee, S.H.; Mobin, M.; Aslam, A.; Parveen, M.; Hussain, C.M. Gravimetric, Electrochemical, and Morphological Studies of an Isoxazole Derivative as Corrosion Inhibitor for Mild Steel in 1 M HCl. Arab. J. Chem. 2020, 13, 7744–7758. [Google Scholar] [CrossRef]
- Crossley, D.L.; Gabbutt, C.D.; Heron, B.M.; Kay, P.; Mogstad, M. Synthesis and Photochromic Properties of Spiro [Naphthopyran-7′ H-Benzocyclohepta-5′, 8′-Dienes]. Dyes Pigment. 2012, 95, 62–68. [Google Scholar] [CrossRef]
- Gonçalves, R.S.B.; Santos, M.D.; Bernadat, G.; Bonnet-Delpon, D.; Crousse, B. A One-Pot Synthesis of 3-Trifluoromethyl-2-Isoxazolines from Trifluoromethyl Aldoxime. Beilstein J. Org. Chem. 2013, 9, 2387–2394. [Google Scholar] [CrossRef] [PubMed]
- Fernandes, R.A.; Gangani, A.J.; Panja, A. Synthesis of 5-Vinyl-2-Isoxazolines by Palladium-Catalyzed Intramolecular O-Allylation of Ketoximes. Org. Lett. 2021, 23, 6227–6231. [Google Scholar] [CrossRef] [PubMed]
- Frerot, E.; Bagnoud, A. Easy Access to Aroma Active Unsaturated γ-Lactones by Addition of Modified Titanium Homoenolate to Aldehydes. J. Agric. Food Chem. 2011, 59, 4057–4061. [Google Scholar] [CrossRef]
- Yanai, H. Chapter 13–Green and Catalytic Methods for γ-Lactone Synthesis. In Green Synthetic Approaches for Biologically Relevant Heterocycles, 2nd ed.; Brahmachari, G., Ed.; Advances in Green and Sustainable Chemistry; Elsevier: Amsterdam, The Netherlands, 2021; pp. 537–615. ISBN 978-0-12-820792-5. [Google Scholar]
- Nwankwo, H.U.; Olasunkanmi, L.O.; Ebenso, E.E. Experimental, Quantum Chemical and Molecular Dynamic Simulations Studies on the Corrosion Inhibition of Mild Steel by Some Carbazole Derivatives. Sci. Rep. 2017, 7, 1–18. [Google Scholar] [CrossRef] [PubMed]
- Oukhrib, R.; Abdellaoui, Y.; Berisha, A.; Abou Oualid, H.; Halili, J.; Jusufi, K.; Ait El Had, M.; Bourzi, H.; El Issami, S.; Asmary, F.A. DFT, Monte Carlo and Molecular Dynamics Simulations for the Prediction of Corrosion Inhibition Efficiency of Novel Pyrazolylnucleosides on Cu (111) Surface in Acidic Media. Sci. Rep. 2021, 11, 3771. [Google Scholar] [CrossRef] [PubMed]
- Kokalj, A. Molecular Modeling of Organic Corrosion Inhibitors: Calculations, Pitfalls, and Conceptualization of Molecule–Surface Bonding. Corros. Sci. 2021, 193, 109650. [Google Scholar] [CrossRef]
- Kokalj, A.; Lozinšek, M.; Kapun, B.; Taheri, P.; Neupane, S.; Losada-Pérez, P.; Xie, C.; Stavber, S.; Crespo, D.; Renner, F.U.; et al. Simplistic Correlations between Molecular Electronic Properties and Inhibition Efficiencies: Do They Really Exist? Corros. Sci. 2021, 179, 108856. [Google Scholar] [CrossRef]
- Kokalj, A. Ab Initio Modeling of the Bonding of Benzotriazole Corrosion Inhibitor to Reduced and Oxidized Copper Surfaces. Faraday Discuss. 2015, 180, 415–438. [Google Scholar] [CrossRef]
- Kokalj, A.; Peljhan, S.; Finšgar, M.; Milošev, I. What Determines the Inhibition Effectiveness of ATA, BTAH, and BTAOH Corrosion Inhibitors on Copper? J. Am. Chem. Soc. 2010, 132, 16657–16668. [Google Scholar] [CrossRef]
- El-Haitout, B.; Selatnia, I.; Lgaz, H.; Al-Hadeethi, M.R.; Lee, H.-S.; Chaouiki, A.; Ko, Y.G.; Ali, I.H.; Salghi, R. Exploring the Feasibility of New Eco-Friendly Heterocyclic Compounds for Establishing Efficient Corrosion Protection for N80 Steel in a Simulated Oil Well Acidizing Environment: From Molecular-Level Prediction to Experimental Validation. Colloids Surf. Physicochem. Eng. Asp. 2023, 656, 130372. [Google Scholar] [CrossRef]
- Lgaz, H.; Lee, H. Facile Preparation of New Hydrazone Compounds and Their Application for Long-Term Corrosion Inhibition of N80 Steel in 15% HCl: An Experimental Study Combined with DFTB Calculations. J. Mol. Liq. 2022, 347, 117952. [Google Scholar] [CrossRef]
- Youssefi, Y.; Ou-ani, O.; Oucheikh, L. Synthesis of New Heterocycles with a Spiran Junction (Spiro 2-Isoxazoline-γ-Lactone) Using the Microwave Oven Technique in a Dry Environment (SiO2). Org. Chem. Ind. J. 2021, 15, 32. [Google Scholar]
- Parveen, M.; Mobin, M.; Zehra, S.; Aslam, R. L-Proline Mixed with Sodium Benzoate as Sustainable Inhibitor for Mild Steel Corrosion in 1 M HCl: An Experimental and Theoretical Approach. Sci. Rep. 2018, 8, 7489. [Google Scholar] [CrossRef]
- Chafiq, M.; Chaouiki, A.; Damej, M.; Lgaz, H.; Salghi, R.; Ali, I.H.; Benmessaoud, M.; Masroor, S.; Chung, I.-M. Bolaamphiphile-Class Surfactants as Corrosion Inhibitor Model Compounds against Acid Corrosion of Mild Steel. J. Mol. Liq. 2020, 309, 113070. [Google Scholar] [CrossRef]
- Abu-Awwad, F.; Politzer, P. Variation of Parameters in Becke-3 Hybrid Exchange-correlation Functional. J. Comput. Chem. 2000, 21, 227–238. [Google Scholar] [CrossRef]
- Ansari, A.; Ou-Ani, O.; Oucheikh, L.; Youssefi, Y.; Chebabe, D.; Oubair, A.; Znini, M. Experimental, Theoretical Modeling and Optimization of Inhibitive Action of Ocimum Basilicum Essential Oil as Green Corrosion Inhibitor for C38 Steel in 0.5 M H2SO4 Medium. Chem. Afr. 2022, 5, 37–55. [Google Scholar] [CrossRef]
- Hourahine, B.; Aradi, B.; Blum, V.; Bonafé, F.; Buccheri, A.; Camacho, C.; Cevallos, C.; Deshaye, M.; Dumitrică, T.; Dominguez, A. DFTB+, a Software Package for Efficient Approximate Density Functional Theory Based Atomistic Simulations. J. Chem. Phys. 2020, 152, 124101. [Google Scholar] [CrossRef]
- Perdew, J.P.; Burke, K.; Ernzerhof, M. Generalized Gradient Approximation Made Simple. Phys. Rev. Lett. 1996, 77, 3865. [Google Scholar] [CrossRef] [PubMed]
- Grimme, S. Semiempirical GGA-Type Density Functional Constructed with a Long-Range Dispersion Correction. J. Comput. Chem. 2006, 27, 1787–1799. [Google Scholar] [CrossRef]
- Guo, L.; Obot, I.B.; Zheng, X.; Shen, X.; Qiang, Y.; Kaya, S.; Kaya, C. Theoretical Insight into an Empirical Rule about Organic Corrosion Inhibitors Containing Nitrogen, Oxygen, and Sulfur Atoms. Appl. Surf. Sci. 2017, 406, 301–306. [Google Scholar] [CrossRef]
- Sabet Bokati, K.; Dehghanian, C.; Yari, S. Corrosion Inhibition of Copper, Mild Steel and Galvanically Coupled Copper-Mild Steel in Artificial Sea Water in Presence of 1H-Benzotriazole, Sodium Molybdate and Sodium Phosphate. Corros. Sci. 2017, 126, 272–285. [Google Scholar] [CrossRef]
- Simonović, A.T.; Tasić, Ž.Z.; Radovanović, M.B.; Petrović Mihajlović, M.B.; Antonijević, M.M. Influence of 5-Chlorobenzotriazole on Inhibition of Copper Corrosion in Acid Rain Solution. ACS Omega 2020, 5, 12832–12841. [Google Scholar] [CrossRef] [PubMed]
- Sherif, E.-S.M.; Erasmus, R.M.; Comins, J.D. In Situ Raman Spectroscopy and Electrochemical Techniques for Studying Corrosion and Corrosion Inhibition of Iron in Sodium Chloride Solutions. Electrochim. Acta 2010, 55, 3657–3663. [Google Scholar] [CrossRef]
- Ramkumar, S.; Nalini, D.; Quraishi, M.A.; Ebenso, E.E.; Verma, C. Anti-Corrosive Property of Bioinspired Environmental Benign Imidazole and Isoxazoline Heterocyclics: A Cumulative Studies of Experimental and DFT Methods. J. Heterocycl. Chem. 2020, 57, 103–119. [Google Scholar] [CrossRef]
- Ahamad, I.; Quraishi, M.A. Mebendazole: New and Efficient Corrosion Inhibitor for Mild Steel in Acid Medium. Corros. Sci. 2010, 52, 651–656. [Google Scholar] [CrossRef]
- Elqars, E.; Hachim, M.E.; Oubella, A.; Byadi, S.; Bahsis, L.; Auhmani, A.; Guennoun, M.; Essadki, A.; Ait Itto, M.Y.; Nbigui, T. The Inhibitory Action of 3-Phenyl-Isoxazoline-Carvone on Carbon Steel in HCl Solution Was Investigated Experimentally and Theoretically. J. Adhes. Sci. Technol. 2022, 36, 2346–2367. [Google Scholar] [CrossRef]
- Sengupta, S.; Murmu, M.; Mandal, S.; Hirani, H.; Banerjee, P. Competitive Corrosion Inhibition Performance of Alkyl/Acyl Substituted 2-(2-Hydroxybenzylideneamino)Phenol Protecting Mild Steel Used in Adverse Acidic Medium: A Dual Approach Analysis Using FMOs/Molecular Dynamics Simulation Corroborated Experimental Findings. Colloids Surf. Physicochem. Eng. Asp. 2021, 617, 126314. [Google Scholar] [CrossRef]
- Laabaissi, T.; Rbaa, M.; Benhiba, F.; Rouifi, Z.; Kumar, U.P.; Bentiss, F.; Oudda, H.; Lakhrissi, B.; Warad, I.; Zarrouk, A. Insight into the Corrosion Inhibition of New Benzodiazepine Derivatives as Highly Efficient Inhibitors for Mild Steel in 1 M HCl: Experimental and Theoretical Study. Colloids Surf. Physicochem. Eng. Asp. 2021, 629, 127428. [Google Scholar] [CrossRef]
- Damej, M.; Kaya, S.; EL Ibrahimi, B.; Lee, H.-S.; Molhi, A.; Serdaroğlu, G.; Benmessaoud, M.; Ali, I.H.; EL Hajjaji, S.; Lgaz, H. The Corrosion Inhibition and Adsorption Behavior of Mercaptobenzimidazole and Bis-Mercaptobenzimidazole on Carbon Steel in 1.0 M HCl: Experimental and Computational Insights. Surf. Interfaces 2021, 24, 101095. [Google Scholar] [CrossRef]
- Khamis, E.; Hefnawy, A.; El-Demerdash, A.M. Acid Cleaning of Steel Using Arghel Echo Friendly Corrosion Inhibitor. Mater. Werkst. 2007, 38, 227–232. [Google Scholar] [CrossRef]
- Mansfeld, F. Recording and Analysis of AC Impedance Data for Corrosion Studies. Corrosion 1981, 37, 301–307. [Google Scholar] [CrossRef]
- Macdonald, J.R. Impedance Spectroscopy and Its Use in Analyzing the Steady-State AC Response of Solid and Liquid Electrolytes. J. Electroanal. Chem. Interfacial Electrochem. 1987, 223, 25–50. [Google Scholar] [CrossRef]
- Qiang, Y.; Guo, L.; Li, H.; Lan, X. Fabrication of Environmentally Friendly Losartan Potassium Film for Corrosion Inhibition of Mild Steel in HCl Medium. Chem. Eng. J. 2021, 406, 126863. [Google Scholar] [CrossRef]
- Hsu, C.H.; Mansfeld, F. Concerning the Conversion of the Constant Phase Element Parameter Y0 into a Capacitance. Corrosion 2001, 57, 747–748. [Google Scholar] [CrossRef]
- Mashuga, M.E.; Olasunkanmi, L.O.; Lgaz, H.; Sherif, E.-S.M.; Ebenso, E.E. Aminomethylpyridazine Isomers as Corrosion Inhibitors for Mild Steel in 1 M HCl: Electrochemical, DFT and Monte Carlo Simulation Studies. J. Mol. Liq. 2021, 344, 117882. [Google Scholar] [CrossRef]
- He, J.; Li, Q.; Li, X.; An, J.; Chen, G.; Zhao, L.; Li, W. Insight into the Anti-Corrosion Mechanism of 2-Aminobenzenethiol as the Inhibitor for Copper in Acid Environment. J. Mol. Liq. 2020, 320, 114494. [Google Scholar] [CrossRef]
- Peme, T.; Olasunkanmi, L.; Bahadur, I.; Adekunle, A.; Kabanda, M.; Ebenso, E. Adsorption and Corrosion Inhibition Studies of Some Selected Dyes as Corrosion Inhibitors for Mild Steel in Acidic Medium: Gravimetric, Electrochemical, Quantum Chemical Studies and Synergistic Effect with Iodide Ions. Molecules 2015, 20, 16004–16029. [Google Scholar] [CrossRef]
- Berdimurodov, E.; Kholikov, A.; Akbarov, K.; Xu, G.; Abdullah, A.M.; Hosseini, M. New Anti-Corrosion Inhibitor (3ar,6ar)-3a,6a-Di-p-Tolyltetrahydroimidazo [4,5-d]Imidazole-2,5(1 h,3h)-Dithione for Carbon Steel in 1 M HCl Medium: Gravimetric, Electrochemical, Surface and Quantum Chemical Analyses. Arab. J. Chem. 2020, 13, 7504–7523. [Google Scholar] [CrossRef]
- Bahron, H.; Ghani, A.A.; Anouar, E.H.; Embong, Z.; Alharthi, A.I.; Harun, M.K.; Alias, Y. Adsorption, Electrochemistry, DFT and Inhibitive Effect of Imines Derived from Tribulin on Corrosion of Mild Steel in 1 M HCl. J. Mol. Struct. 2021, 1235, 130206. [Google Scholar] [CrossRef]
- Hashim, N.Z.N.; Anouar, E.H.; Kassim, K.; Zaki, H.M.; Alharthi, A.I.; Embong, Z. XPS and DFT Investigations of Corrosion Inhibition of Substituted Benzylidene Schiff Bases on Mild Steel in Hydrochloric Acid. Appl. Surf. Sci. 2019, 476, 861–877. [Google Scholar] [CrossRef]
- Kokalj, A. Corrosion Inhibitors: Physisorbed or Chemisorbed? Corros. Sci. 2022, 196, 109939. [Google Scholar] [CrossRef]
- Walczak, M.S.; Morales-Gil, P.; Lindsay, R. Determining Gibbs Energies of Adsorption from Corrosion Inhibition Efficiencies: Is It a Reliable Approach? Corros. Sci. 2019, 155, 182–185. [Google Scholar] [CrossRef]
- Verma, C.; Olasunkanmi, L.O.; Ebenso, E.E.; Quraishi, M.A. Substituents Effect on Corrosion Inhibition Performance of Organic Compounds in Aggressive Ionic Solutions: A Review. J. Mol. Liq. 2018, 251, 100–118. [Google Scholar] [CrossRef]
- Srivastava, V.; Haque, J.; Verma, C.; Singh, P.; Lgaz, H.; Salghi, R.; Quraishi, M.A. Amino Acid Based Imidazolium Zwitterions as Novel and Green Corrosion Inhibitors for Mild Steel: Experimental, DFT and MD Studies. J. Mol. Liq. 2017, 244, 340–352. [Google Scholar] [CrossRef]
- Panda, J.N.; Wong, B.C.; Medvedovski, E.; Egberts, P. Enhancement of Tribo-Corrosion Performance of Carbon Steel through Boronizing and BN-Based Coatings. Tribol. Int. 2021, 153, 106666. [Google Scholar] [CrossRef]
- Dehghani, A.; Bahlakeh, G.; Ramezanzadeh, B.; Ramezanzadeh, M. Potential Role of a Novel Green Eco-Friendly Inhibitor in Corrosion Inhibition of Mild Steel in HCl Solution: Detailed Macro/Micro-Scale Experimental and Computational Explorations. Constr. Build. Mater. 2020, 245, 118464. [Google Scholar] [CrossRef]
- Singh, A.; Ansari, K.; Haque, J.; Dohare, P.; Lgaz, H.; Salghi, R.; Quraishi, M. Effect of Electron Donating Functional Groups on Corrosion Inhibition of Mild Steel in Hydrochloric Acid: Experimental and Quantum Chemical Study. J. Taiwan Inst. Chem. Eng. 2018, 82, 233–251. [Google Scholar] [CrossRef]
- Zhang, X.; Yang, L.; Zhang, Y.; Tan, B.; Zheng, X.; Li, W. Combined Electrochemical/Surface and Theoretical Assessments of Rosa Laevigata Extract as an Eco-Friendly Corrosion Inhibitor for Copper in Acidic Medium. J. Taiwan Inst. Chem. Eng. 2022, 136, 104408. [Google Scholar] [CrossRef]
- El-Katori, E.E.; Ahmed, M.; Nady, H. Imidazole Derivatives Based on Glycourils as Efficient Anti-Corrosion Inhibitors for Copper in HNO3 Solution: Synthesis, Electrochemical, Surface, and Theoretical Approaches. Colloids Surf. Physicochem. Eng. Asp. 2022, 649, 129391. [Google Scholar] [CrossRef]
- Verma, C.; Quraishi, M.; Singh, A. 5-Substituted 1H-Tetrazoles as Effective Corrosion Inhibitors for Mild Steel in 1 M Hydrochloric Acid. J. Taibah Univ. Sci. 2016, 10, 718–733. [Google Scholar] [CrossRef]
- Zehra, B.F.; Said, A.; Eddine, H.M.; Hamid, E.; Najat, H.; Rachid, N.; Toumert, L.I. Crataegus Oxyacantha Leaves Extract for Carbon Steel Protection against Corrosion in 1M HCl: Characterization, Electrochemical, Theoretical Research, and Surface Analysis. J. Mol. Struct. 2022, 1259, 132737. [Google Scholar] [CrossRef]
- Lgaz, H.; Lee, H. First-principles Based Theoretical Investigation of the Adsorption of Alkanethiols on the Iron Surface: A DFT-D3 Study. J. Mol. Liq. 2022, 348, 118071. [Google Scholar] [CrossRef]
- Cordero, B.; Gómez, V.; Platero-Prats, A.E.; Revés, M.; Echeverría, J.; Cremades, E.; Barragán, F.; Alvarez, S. Covalent Radii Revisited. Dalton Trans. 2008, 21, 2832–2838. [Google Scholar] [CrossRef]
- Pinho e Melo, T.M.V.D. 4-Isoxazolines: Scaffolds for Organic Synthesis. Eur. J. Org. Chem. 2010, 2010, 3363–3376. [Google Scholar] [CrossRef]
- Guo, L.; Ren, X.; Zhou, Y.; Xu, S.; Gong, Y.; Zhang, S. Theoretical Evaluation of the Corrosion Inhibition Performance of 1,3-Thiazole and Its Amino Derivatives. Arab. J. Chem. 2017, 10, 121–130. [Google Scholar] [CrossRef]
- Dehghani, A.; Mostafatabar, A.H.; Bahlakeh, G.; Ramezanzadeh, B.; Ramezanzadeh, M. Detailed-Level Computer Modeling Explorations Complemented with Comprehensive Experimental Studies of Quercetin as a Highly Effective Inhibitor for Acid-Induced Steel Corrosion. J. Mol. Liq. 2020, 309, 113035. [Google Scholar] [CrossRef]
- Bahlakeh, G.; Dehghani, A.; Ramezanzadeh, B.; Ramezanzadeh, M. Highly Effective Mild Steel Corrosion Inhibition in 1 M HCl Solution by Novel Green Aqueous Mustard Seed Extract: Experimental, Electronic-Scale DFT and Atomic-Scale MC/MD Explorations. J. Mol. Liq. 2019, 293, 111559. [Google Scholar] [CrossRef]
- Znini, M.; Ansari, A.; Costa, J.; Senhaji, O.; Paolini, J.; Majidi, L. Experimental, Quantum Chemical and Molecular Dynamic Simulations Studies on the Corrosion Inhibition of C38 Steel in 1 M HCl by Anethum Graveolens Essential Oil. Anal. Bioanal. Electrochem. 2019, 11, 1426–1451. [Google Scholar]
- Palcut, M.; Benko, J.; Müller, N.; Hritzová, O.; Vollárová, O.; Melikian, G.S. Base-Catalysed Hydrolysis and Reactivity-Spectra Correlations of (Z)-4-Benzylidene-2-(Substituted Phenyl)Oxazol-5(4H)-Ones. J. Chem. Res. 2004, 2004, 649–653. [Google Scholar] [CrossRef]
- Sastri, V.S.; Perumareddi, J.R. Molecular Orbital Theoretical Studies of Some Organic Corrosion Inhibitors. Corrosion 1997, 53, 617–622. [Google Scholar] [CrossRef]
- Allah, A.G.G.; Moustafa, H. Quantum Mechanical Calculations of Amino Pyrazole Derivatives as Corrosion Inhibitors for Zinc, Copper and α-Brass in Acid Chloride Solution. J. Appl. Electrochem. 1992, 22, 644–648. [Google Scholar] [CrossRef]
- McCafferty, E. Introduction to Corrosion Science; Springer Science & Business Media: New York, NY, USA, 2010; ISBN 1-4419-0454-9. [Google Scholar]
Disclaimer/Publisher’s Note: The statements, opinions and data contained in all publications are solely those of the individual author(s) and contributor(s) and not of MDPI and/or the editor(s). MDPI and/or the editor(s) disclaim responsibility for any injury to people or property resulting from any ideas, methods, instructions or products referred to in the content. |
© 2023 by the authors. Licensee MDPI, Basel, Switzerland. This article is an open access article distributed under the terms and conditions of the Creative Commons Attribution (CC BY) license (https://creativecommons.org/licenses/by/4.0/).
















