Different Behaviors of Friction in Open and Closed Forging Test Utilizing Palm Oil-Based Lubricants
Abstract
1. Introduction
2. Methodology
2.1. Physicochemical Properties of Sample Lubricants
2.2. Metal-Forming Test
2.3. Finite Element Method
- = number of design variable.
- = Design variable
- = Lower limit
- = Upper limit
- objective function
- = plastic strain
- strength coefficient
- n = unitless pressure hardening exponent
- = true stress
- = true strain.
3. Results and Discussion
3.1. Open Forging Test
Calibration Curve and Optimization Process
- = inner diameter of the CFC
- = inner diameter of the TSF
- = inner diameter before deformation
- e = positive smaller of the two inner diameters.
- = inner diameter of experimental data
- = change in inner diameter of experimental data.
- = inner diameter of each friction representation
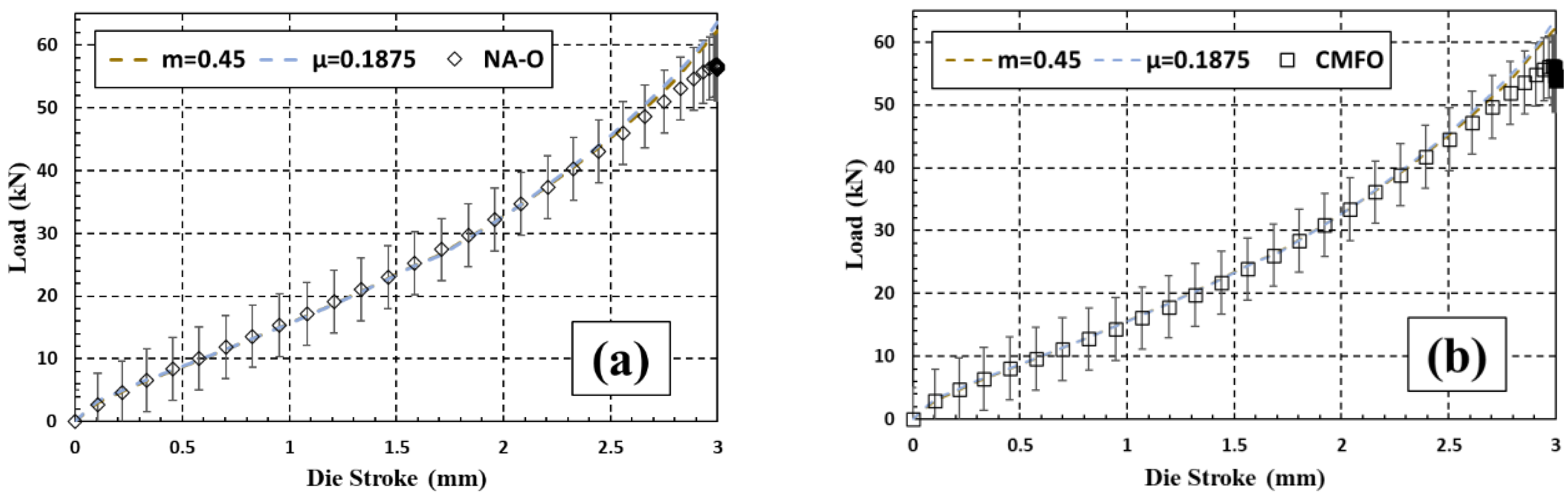
3.2. Closed Forging Test
3.3. Optimization and Analysis of FEM
- = experimental width
- = width for the specimen of TSF or CFC model
- = width before deformation
- = smaller positive number from the specimen comparison
4. Conclusions
Author Contributions
Funding
Data Availability Statement
Acknowledgments
Conflicts of Interest
References
- Hassan, M.; Ani, F.N.; Syahrullail, S. Tribological performance of refined, bleached and deodorised palm olein blends bio-lubricants. J. Oil Palm Res. 2016, 28, 510–519. [Google Scholar] [CrossRef]
- Yahaya, A.; Samion, S.; Ahyan, N.A.M.; Hamid, M.K.A. Cold extrusion using biodegradable oil as lubricant: Experimental and simulation analysis. J. Tribol. 2021, 30, 116–132. [Google Scholar]
- Quinchia, L.A.; Delgado, M.A.; Franco, J.M.; Spikes, H.A.; Gallegos, C. Low-temperature flow behaviour of vegetable oil-based lubricants. Ind. Crops Prod. 2012, 37, 383–388. [Google Scholar] [CrossRef]
- Syahrullail, S.; Kamitani, S.; Nakanishi, K. Experimental evaluation of refined, bleached, and deodorized palm olein and palm stearin in cold extrusion of aluminum A1050. Tribol. Trans. 2012, 55, 199–209. [Google Scholar] [CrossRef]
- Golshokouh, I.; Syahrullail, S.; Ani, F.N.; Masjuki, H.H. Investigation of palm fatty acid distillate as an alternative lubricant of petrochemical based lubricants, tested at various speeds. Int. Rev. Mech. Eng. 2013, 7, 72–80. [Google Scholar]
- Zulhanafi, P.; Syahrullail, S.; Ahmad, M.A. The tribological performance of hydrodynamic journal bearing using bio-based lubricant. Tribol. Ind. 2020, 42, 278. [Google Scholar] [CrossRef]
- Kramer, P.; Groche, P. Friction measurement under consideration of contact conditions and type of lubricant in bulk metal forming. Lubricants 2019, 7, 12. [Google Scholar] [CrossRef]
- Okokpujie, I.P.; Tartibu, L.K.; Sinebe, J.E.; Adeoye, A.O.; Akinlabi, E.T. Comparative Study of Rheological Effects of Vegetable Oil-Lubricant, TiO2, MWCNTs Nano-Lubricants, and Machining Parameters’ Influence on Cutting Force for Sustainable Metal Cutting Process. Lubricants 2022, 10, 54. [Google Scholar] [CrossRef]
- Moshkovich, A.; Perfilyev, V.; Rapoport, L. Effect of plastic deformation and damage development during friction of FCC metals in the conditions of boundary lubrication. Lubricants 2019, 7, 45. [Google Scholar] [CrossRef]
- Hafis, S.M.; Ridzuan, M.J.M.; Farahana, R.N.; Ayob, A.; Syahrullail, S. Paraffinic mineral oil lubrication for cold forward extrusion: Effect of lubricant quantity and friction. Tribol. Int. 2013, 60, 111–115. [Google Scholar] [CrossRef]
- Groche, P.; Kramer, P.; Bay, N.; Christiansen, P.; Dubar, L.; Hayakawa, K.; Hu, C.; Kitamura, K.; Moreau, P. Friction coefficients in cold forging: A global perspective. CIRP Ann. 2018, 67, 261–264. [Google Scholar] [CrossRef]
- Zhang, D.W.; Ou, H. Relationship between friction parameters in a Coulomb–Tresca friction model for bulk metal forming. Tribol. Int. 2016, 95, 13–18. [Google Scholar] [CrossRef]
- Du, F.; Li, C.; Li, D.; Sa, X.; Yu, Y.; Li, C.; Yang, Y.; Wang, J. Research Progress Regarding the Use of Metal and Metal Oxide Nanoparticles as Lubricant Additives. Lubricants 2022, 10, 196. [Google Scholar] [CrossRef]
- Sani, A.; Sahab, A.; Abd Rahim, E.; Talib, N.; Kamdani, K.; Rahim, M.Z. Performance Evaluation of Palm-Olein TMP Ester Containing Hexagonal Boron Nitride and an Oil Miscible Ionic Liquid as Bio-Based Metalworking Fluids. J. Mech. Eng. 2017, 4, 223–234. [Google Scholar]
- Aiman, Y.; Syahrullail, S.; Hamid, M.K.A. Optimisation of friction surfacing process parameters for a1100 aluminium utilising different derivatives of palm oil based on closed forging test. Biomass Convers. Biorefin. 2022, 1–18. [Google Scholar] [CrossRef]
- Stoffel, W.; Chu, F.; Ahrens, E.H. Analysis of long-chain fatty acids by gas-liquid chromatography. Anal. Chem. 1959, 31, 307–308. [Google Scholar] [CrossRef]
- Aiman, Y.; Syahrullail, S. Frictional and material deformation of aluminium alloy in cold forging test under different derivatives of palm oil lubrication condition. J. Braz. Soc. Mech. Sci. Eng. 2022, 44, 396. [Google Scholar] [CrossRef]
- Abdulmawlla, M.A. Finite Element Analysis and Optimization of Closed Die Forging Process for Aluminium Metal Matrix Composites. Ph.D. Thesis, Universiti Putra Malaysia, Serdang, Malaysia, 2010. [Google Scholar]
- Okokpujie, I.P.; Chima, P.C.; Tartibu, L.K. Experimental and 3D-Deform Finite Element Analysis on Tool Wear during Turning of Al-Si-Mg Alloy. Lubricants 2022, 10, 341. [Google Scholar] [CrossRef]
- Li, F.; Chen, P.; Han, J.; Deng, L.; Yi, J.; Liu, Y.; Eckert, J. Metal flow behavior of P/M connecting rod preform in flashless forging based on isothermal compression and numerical simulation. J. Mater. Res. Technol. 2020, 9, 1200–1209. [Google Scholar] [CrossRef]
- Patwardhan, P.S.; Nalavde, R.A.; Kujawski, D. Estimation of Ramberg-Osgood Constants for Materials with and without Luder’s Strain Using Yield and Ultimate Strengths. Procedia Struct. Integr. 2019, 17, 750–757. [Google Scholar] [CrossRef]
- Szala, M.; Winiarski, G.; Wójcik, Ł.; Bulzak, T. Effect of Annealing Time and Temperature Parameters on the Microstructure, Hardness, and Strain-Hardening Coefficients of 42CrMo4 Steel. Materials 2020, 13, 2022. [Google Scholar] [CrossRef]
- Tiong, C.I.; Azli, Y.; Kadir, M.R.A.; Syahrullail, S. Tribological evaluation of refined, bleached and deodorized palm stearin using four-ball tribotester with different normal loads. J. Zhejiang Univ. Sci. A 2012, 13, 633–640. [Google Scholar] [CrossRef]
- Wang, J.P. A new evaluation to friction analysis for the ring test. Int. J. Mach. Tools Manuf. 2001, 41, 311–324. [Google Scholar] [CrossRef]
- Farhanah, A.N.; Syahrullail, S.; Ajruddin, M.A. Evaluation of RBD palm stearin as alternative lubricant for cold forward extrusion process. J. Phys. Conf. Ser. 2017, 908, 012062. [Google Scholar] [CrossRef]
- Maleque, M.A.; Masjuki, H.H.; Sapuan, S.M. Vegetable-based biodegradable lubricating oil additives. Ind. Lubr. Tribol. 2003, 55, 137–143. [Google Scholar] [CrossRef]
- Crespo, A.; Morgado, N.; Mazuyer, D.; Cayer-Barrioz, J. Effect of Unsaturation on the Adsorption and the Mechanical Behavior of Fatty Acid Layers. Langmuir 2018, 34, 4560–4567. [Google Scholar] [CrossRef]
- Campen, S.; Green, J.H.; Lamb, G.D.; Spikes, H.A. In situ study of model organic friction modifiers using liquid cell AFM; saturated and mono-unsaturated carboxylic acids. Tribol. Lett. 2015, 57, 18. [Google Scholar] [CrossRef]
- Zhang, D.W.; Cui, M.C.; Cao, M.; Ben, N.Y.; Zhao, S.D. Determination of friction conditions in cold-rolling process of shaft part by using incremental ring compression test. Int. J. Adv. Manuf. Technol. 2017, 91, 3823–3831. [Google Scholar] [CrossRef]
- Caminaga, C.; da Silva Issii, R.L.; Button, S.T. Alternative lubrication and lubricants for the cold extrusion of steel parts. J. Mater. Process. Technol. 2006, 179, 87–91. [Google Scholar] [CrossRef]
- Nurul, M.A.; Syahrullail, S. Lubricant viscosity: Evaluation between existing and alternative lubricant in metal forming process. Procedia Manuf. 2015, 2, 470–475. [Google Scholar] [CrossRef]
- Yingying, L.; Houfang, L.; We, J.; Dongsheng, L.; Shijie, L.; Bin, L. Biodiesel Production from crude Jatropa curcas L. Oil with Trace Acid Catalyst. Chin. J. Chem. Eng. 2012, 20, 740–746. [Google Scholar]
- Liu, Y.; Lu, H.; Jiang, W.; Li, S.; Liu, S.; Liang, B. Biodiesel production from crude Jatropha curcas L. oil with trace acid catalyst. Chin. J. Chem. Eng. 2012, 20, 740–746. [Google Scholar] [CrossRef]
- Razak, D.M.; Syahrullail, S.; Sapawe, N.; Azli, Y.; Nuraliza, N. A new approach using palm olein, palm kernel oil, and palm fatty acid distillate as alternative biolubricants: Improving tribology in metal-on-metal contact. Tribol. Trans. 2015, 58, 511–517. [Google Scholar] [CrossRef]
- Wood, M.H.; Casford, M.T.; Steitz, R.; Zarbakhsh, A.; Welbourn, R.J.L.; Clarke, S.M. Comparative adsorption of saturated and unsaturated fatty acids at the iron oxide/oil interface. Langmuir 2016, 32, 534–540. [Google Scholar] [CrossRef]
- Zulhanafi, P.; Syahrullail, S. The tribological performances of Super Olein as fluid lubricant using four-ball tribotester. Tribol. Int. 2019, 130, 85–93. [Google Scholar] [CrossRef]










| Lubricant | PKO | PO | PS | PL | PMO | PFAD | CMFO | Test Method |
|---|---|---|---|---|---|---|---|---|
| Density (kg/m3) @ 25 °C | 0.887 | 0.880 | 0.870 | 0.890 | 0.895 | 0.873 | 0.900 | ASTM |
| D1298-85(90) | ||||||||
| Kinematic Viscosity (mm2/s) @ 25 °C | 45.77 | 215.47 | 48.29 | 46.74 | 54.6 | 120.14 | 146.24 | ASTM D445-94 |
| Kinematic Viscosity (mm2/s) @ 40 °C | 35.36 | 189.40 | 38.01 | 35.00 | 50.6 | 96.35 | 107.71 | ASTM D445-94 |
| Kinematic Viscosity (mm2/s) @ 100 °C | 11.24 | 18.20 | 8.56 | 14.4 | 13.2 | 8.9 | 11.2 | ASTM D445-94 |
| Viscosity index, (VI) | 329 | 106.00 | 213 | 426 | 272 | 48 | 88 | ASTM D2270 |
| Pour point (°C) | 21.0 | 34.0 | 37.3 | 9.0 | 15.0 | 35 | −24.0 | ASTM D9793 |
| Melting point (°C) | 27.5 | 48.50 | 44.0 | 21.5 | 18.50 | 38.0 | - | - |
| Flash Point (°C) | 205 | 205 | 315 | 318 | 324 | 135 | 236 | - |
| Cloud Point (°C) | - | - | - | 9.5 | 18.5 | - | - | - |
| Iodine value (WIJS) | 17.8 | 17.8 | 27.8 | 56.15 | 48.23 | 24.80 | - | - |
| Free fatty acid (%) | 0.06 | 0.06 | 0.05 | 0.07 | 0.15 | 86.4 | - | ASTM D664 |
| Peroxide value (PV) | 0.84 | 0.85 | 1.04 | 0.95 | 0.92 | 1.58 | - | - |
| Lubricant | PKO | PO | PL | PS | PMO | PFAD |
|---|---|---|---|---|---|---|
| Density (kg/m3) @ 25 °C | 3 | 4 | 5 | 1 | 6 | 2 |
| Viscosity index, (VI) | 2 | 5 | 1 | 4 | 3 | 6 |
| Pour point (°C) | 3 | 6 | 5 | 1 | 4 | 2 |
| Melting point (°C) | 2 | 5 | 6 | 1 | 3 | 4 |
| Flash Point (°C) | 5 | 4 | 3 | 2 | 1 | 6 |
| Iodine value (WIJS) | 6 | 2 | 1 | 4 | 3 | 5 |
| Free fatty acid | 1 | 4 | 6 | 2 | 3 | 5 |
| Peroxide value | 1 | 2 | 4 | 5 | 3 | 6 |
| Total score | 23 | 32 | 31 | 20 | 26 | 36 |
| FAC (% by Gas Chromatography) | PS | PKO | PMO |
|---|---|---|---|
| Caprylic acid C8:0 | - | 3.6 | - |
| Capric acid C10:0 | - | 3.5 | - |
| Lauric acid C12:0 | 0.16 | 47.8 | 0.5 |
| Myristic acid C14:0 | 1.16 | 16.3 | 1.1 |
| Palmitic acid C16:0 | 54.31 | 8.5 | 45.0 |
| Stearic acid C18:0 | 4.71 | 2.6 | 6.4 |
| Oleic acid C18:1 | 32.31 | 15.3 | 37.3 |
| Linoleic acid C18:2 | 6.68 | 2.4 | 8.8 |
| Linolenic acid C18:3 | 0.3 | - | 0.2 |
| Arachidic acid C20:0 | 0.37 | - | 0.5 |
| Eicosenoic acid C20:1 | - | - | 0.1 |
| Saturated fatty acid | 60.71 | 82.3 | 53.5 |
| Mono-unsaturated fatty acid | 32.31 | 15.3 | 37.4 |
| Poly-unsaturated fatty acid | 6.98 | 2.4 | 9 |
| IV | 33 | 17.8 | 54 |
| Properties | Open Forging Test | Closed Forging Test |
|---|---|---|
| Workpiece | Pure aluminum (A1100) | |
| Workpiece Hardness (Hv) | Before annealing = 134.8 After annealing = 52.6 | |
| After annealing = 52.6 | ||
| Tooling material | SKD-11 | |
| Workpiece size (mm) | 18:9:6 | 35 × 15 × 4.5 |
| Reduction in height | ~10%, ~20%, ~30%, ~40% and ~50% | |
| Lubricant quantity (mg) | ~5 mg | ~10 mg |
| Temp (°C) | 24–27 (Room temperature) | |
| Compression speed (mm/s) | 1 | |
| ANALYSIS OPTIONS | FEA Program | Scientific Forming Technologies Corporation (SFTC) | |
| Compiler for User Subroutines | DEFORM-3D Ver-10.2 | ||
| Material Plasticity Method | Elastic-Plastic formation | ||
| Die Material Type | Rigid | ||
| Punch Velocity | 1 mm/s | ||
| Number of steps | RCT | CFT | |
| 50 | 400 | ||
| Iteration Method | Newton-Raphson | ||
| Remeshing | Global remeshing, overlay quad type, depends on element distortion, | ||
| Number of meshing | RCT | CFT | |
| 55000 | 45000 | ||
| Deformation | Active in FEM + meshing | ||
| Temperature | 20 °C | ||
| CONTACT | Inter-Object Data Definition | Coulomb-Tresca friction model | |
| Relative Sliding Velocity | Default (=0) | ||
| Tolerance | 0.0256 | ||
| MATERIAL | Model | ||
| Young’s Modulus | A1100 = 68.900 GPa | ||
| Poisson’s Ratio | A1100 = 0.33 | ||
Disclaimer/Publisher’s Note: The statements, opinions and data contained in all publications are solely those of the individual author(s) and contributor(s) and not of MDPI and/or the editor(s). MDPI and/or the editor(s) disclaim responsibility for any injury to people or property resulting from any ideas, methods, instructions or products referred to in the content. |
© 2023 by the authors. Licensee MDPI, Basel, Switzerland. This article is an open access article distributed under the terms and conditions of the Creative Commons Attribution (CC BY) license (https://creativecommons.org/licenses/by/4.0/).
Share and Cite
Yahaya, A.; Samion, S.; Abidin, U.; Abdul Hamid, M.K. Different Behaviors of Friction in Open and Closed Forging Test Utilizing Palm Oil-Based Lubricants. Lubricants 2023, 11, 114. https://doi.org/10.3390/lubricants11030114
Yahaya A, Samion S, Abidin U, Abdul Hamid MK. Different Behaviors of Friction in Open and Closed Forging Test Utilizing Palm Oil-Based Lubricants. Lubricants. 2023; 11(3):114. https://doi.org/10.3390/lubricants11030114
Chicago/Turabian StyleYahaya, Aiman, Syahrullail Samion, Ummikalsom Abidin, and Mohd Kameil Abdul Hamid. 2023. "Different Behaviors of Friction in Open and Closed Forging Test Utilizing Palm Oil-Based Lubricants" Lubricants 11, no. 3: 114. https://doi.org/10.3390/lubricants11030114
APA StyleYahaya, A., Samion, S., Abidin, U., & Abdul Hamid, M. K. (2023). Different Behaviors of Friction in Open and Closed Forging Test Utilizing Palm Oil-Based Lubricants. Lubricants, 11(3), 114. https://doi.org/10.3390/lubricants11030114
