A Design for High-Speed Journal Bearings with Reduced Pad Size and Improved Efficiency
Abstract
:1. Introduction
2. Materials and Methods
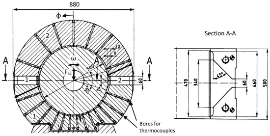
2.1. Test Rig and Investigated Bearing
2.1.1. Test Bearing and Instrumentation
2.1.2. Test Rig and Instrumentation
2.2. Theoretical Bearing Model
2.2.1. Basic Bearing Model and Numerical Implementation
2.2.2. Fluid Flow in the Bearing outside the Lubricant Gap
- The near-journal lubricant interacts with a large homogenous gas phase substituting the bearing’s sliding surface. Therefore, the radial gradient of fluid flow becomes small, and dissipation in this region can be neglected.
- Due to inertia effects, the 2D fluid velocities in the peripheral and axial directions remain constant in magnitude and direction for oil leaving the pad. The interaction of the single streamlines outside the gap is not considered, even if they intersect.
- Radial fluid flow due to centrifugal forces is neglected, as sufficiently high viscous forces remain present and provoke a journal near the oil flow. Consequently, a carry-over of oil leaving one of the pads only depends on the relation between the axial and peripheral fluid velocities calculated by the Reynolds equation.
3. Results
3.1. Validation
3.1.1. Characteristic Parameters of Operation
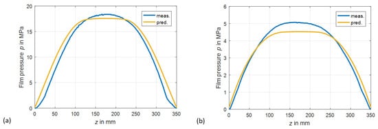
3.1.2. Local Distributions
3.2. Examination of Measured Local Distributions with Respect to Cavitation
3.3. Evaluation of Measures to Improve Efficiency
4. Discussion and Conclusions
Author Contributions
Funding
Data Availability Statement
Conflicts of Interest
Nomenclature
| B | bearing length |
| c | lubricant specific heat |
| CR | radial clearance |
| D | bearing inner diameter |
| F0, F1, F2 | viscosity factors |
| Fsc | static bearing force |
| h | film thickness |
| Kx, Kz | turbulence factors |
| n | rotor speed |
| p | pressure |
| pq | unit load |
| Pf | frictional power loss |
| Q | lubricant flow rate |
| T | temperature |
| T0 | reference temperature |
| Tsf | mean temperature of the lubricant side flow rate |
| Tsup | lubricant supply temperature |
| U | surface speed |
| u, v, w | flow velocities |
| usf, wsf | velocities of the lubricant side flow |
| x, y, z | Cartesian coordinates |
| Δx, Δz | cell length |
| Θ | lubricant density ratio, gap fill factor |
| η | lubricant dynamic viscosity |
| η0 | lubricant dynamic viscosity at reference temperature T0 |
| λ | lubricant conductivity |
| ρ | lubricant density |
| ϕ | peripheral/angular coordinate |
References
- San Andres, L.; Alcantar, A. Effect of reduced oil flow rate on the static and dynamic performance of a tilting pad journal bearing running in both the flooded and evacuated conditions. In Proceedings of the ASME Turbo Expo 2022: Turbomachinery Technical Conference and Exposition, Rotterdam, The Netherlands, 13–17 June 2022. [Google Scholar] [CrossRef]
- Hagemann, T.; Zemella, P.; Pfau, B.; Schwarze, H. Experimental and theoretical investigations on transition of lubrication conditions for a five-pad tilting-pad journal bearing with eccentric pivot up to highest surface speeds. Tribol. Int. 2020, 142, 106008. [Google Scholar] [CrossRef]
- Gardner, W.W. Performance tests on six-inch tilting pad thrust bearings. J. Lubr. Technol. 1975, 97, 430–436. [Google Scholar] [CrossRef]
- Mitsui, J.; Hori, Y.; Tanaka, M. Thermohydrodynamic analysis of cooling effect of supply oil in circular journal bearing. J. Lubr. Technol. 1983, 105, 414–420. [Google Scholar] [CrossRef]
- Heshmat, H.; Pinkus, O. Performance of starved journal bearings with oil ring lubrication. J. Tribol. 1985, 107, 23–31. [Google Scholar] [CrossRef]
- Stottrop, M.; Buchhorn, N.; Bender, B. Experimental Investigation of a Large Tilting-Pad Journal Bearing-Comparison of a Flooded and Non-Flooded Design. Lubricants 2022, 10, 83. [Google Scholar] [CrossRef]
- Sano, T.; Magoshi, R.; Shinohara, T.; Yoshimine, C.; Nishioka, T.; Tochitani, N.; Sumi, Y. Confirmation of performance and reliability of direct lubricated tilting two pads bearing. Proc. Inst. Mech. Eng. Part J J. Eng. Tribol. 2015, 229, 1011–1021. [Google Scholar] [CrossRef]
- Zhang, F.; Ouyang, W.; Hong, H.; Guan, Y.; Yuan, X.; Dong, G. Experimental study on pad temperature and film thickness of tilting-pad journal bearings with an elastic-pivot pad. Tribol. Int. 2015, 88, 228–235. [Google Scholar] [CrossRef]
- Mermertas, Ü.; Hagemann, T.; Brichart, C. Optimization of a 900 mm tilting-pad journal bearing in large steam turbines by advanced modeling and validation. J. Eng. Gas Turbines Power 2019, 141, 021033. [Google Scholar] [CrossRef]
- DeCamillo, S.; He, M.; Cloud, C.H.; Byrne, J. Journal Bearing Vibration and SSV Hash. In Proceedings of the 37th Turbomachinery Symposium, The Turbomachinery Laboratory, Texas A&M University, Houston, TX, USA, 7–11 September 2008. [Google Scholar] [CrossRef]
- San Andrés, L.; Toner, J.; Alcantar, A. Measurements to Quantify the Effect of a Reduced Flow Rate on the Performance of a Tilting Pad Journal Bearing With Flooded Ends. J. Eng. Gas Turbines Power 2021, 143, 111012. [Google Scholar] [CrossRef]
- Zemella, P.; Hagemann, T.; Pfau, B.; Schwarze, H. Identification of dynamic coefficients of a five-pad tilting-pad journal bearing up to highest surface speeds. J. Eng. Gas Turbines Power 2021, 143, 081013. [Google Scholar] [CrossRef]
- Leopard, A.J. Tilting Pad Bearings-Limits of Operation. In Proceedings of the ASLE 30th Annual Meeting, Atlanta, GA, USA, 5–8 May 1975. [Google Scholar]
- Khatri, R.; Childs, D.W. An experimental study of the load-orientation sensitivity of three-lobe bearings. J. Eng. Gas Turbines Power 2015, 137, 042503. [Google Scholar] [CrossRef]
- Zhang, C.; Yi, Z.; Zhang, Z. THD Analysis of High Speed Heavily Loaded Journal Bearings Including Thermal Deformation, Mass Conserving Cavitation, and Turbulent Effects. J. Tribol. 2000, 122, 597–602. [Google Scholar] [CrossRef]
- Hopf, G.; Schüler, D. Investigations on large turbine bearings working under transitional conditions between laminar and turbulent flow. J. Tribol. 1989, 111, 628–634. [Google Scholar] [CrossRef]
- Hopf, G. Experimental Investigation of Large Turbine Bearings. Ph.D. Thesis, Ruhr University Bochum, Bochum, Germany, 1989. (In German). [Google Scholar]
- Fuchs, A. Non-Stationary Operation of High-Speed Journal Bearings. Ph.D. Thesis, TU Braunschweig, Braunschweig, Germany, 2002. (In German). [Google Scholar]
- Weißbacher, G. Hydrodynamic Plain Bearing and Method of Lubricating and Cooling the Bearing. U.S. Patent US2003/0081867A1, 1 May 2003. [Google Scholar]
- Glienicke, J. Experimental Investigation of the Stiffness and Damping Coefficients of Turbine Bearings and their Application to Instability Prediction. Proc. Inst. Mech. Eng. 1966, 181, 116–129. [Google Scholar] [CrossRef]
- Hagemann, T.; Kukla, S.; Schwarze, H. Measurement and prediction of the static operating conditions of a large turbine tilting-pad bearing under high circumferential speeds and heavy loads. In Proceedings of the ASME Turbo Expo, San Antonio, TX, USA, 3–7 June 2013. [Google Scholar] [CrossRef]
- Hagemann, T.; Schwarze, H. A model for oil flow and fluid temperature inlet mixing in hydrodynamic journal bearings. J. Tribol. 2019, 141, 021701. [Google Scholar] [CrossRef]
- Elrod, H.G. A Cavitation Algorithm. J. Lubr. Technol. 1981, 103, 350–354. [Google Scholar] [CrossRef]
- Falz, E. Grundzüge der Schmierungstechnik; Springer: Berlin/Heidelberg, Germany, 1931. [Google Scholar]
- Heshmat, H. The mechanism of cavitation in hydrodynamic lubrication. Tribol. Trans. 1991, 34, 177–186. [Google Scholar] [CrossRef]
- Bulut, D.; Bader, N.; Poll, G. Cavitation and film formation in hydrodynamically lubricated parallel sliders. Tribol. Int. 2021, 162, 107113. [Google Scholar] [CrossRef]
- Schlichting, H.; Gersten, E. Boundary Layer Theory, 10th ed.; Springer: Berlin/Heidelberg, Germany, 2006. [Google Scholar]




















| Parameter | Value |
|---|---|
| Geometrical properties | |
| Nominal diameter, mm | 500 |
| Outer bearing diameter, mm | 800 |
| Bearing width (upper/lower pad), mm | 210/350 |
| Lube oil pocket width (upper/lower pad), mm | 220/334 |
| Angular pad span (starting at pocket trailing edge), ° | 136.6 |
| Angular pocket span, ° | 6.9 |
| Radial clearance, µm | 300 |
| Preload | 0.43 |
| Thickness of the Babbitt layer, mm | 5 |
| Static analysis parameters | |
| Specific bearing load, MPa | 0–5.0 |
| Rotational speed, rpm | 500–3600 |
| Lubricant supply temperature, °C | 50 |
| Lubricant properties | |
| Lubricant | ISO VG 32 |
| Lubricant density kg/m³ | 865 @ 40 °C |
| Lubricant specific heat capacity, kJ/(kg∙K) | 2.0 @ 20 °C |
| Lubricant thermal conductivity, W/(m∙K) | 0.13 |
| Falz exponent | 2.083 |
| Parameter | Value |
|---|---|
| Material properties | |
| Young’s modulus of Babbitt coating, MPa | 57,000 |
| Linear expansion coefficient of Babbitt coating, 10−6/K | 21 |
| Young’s modulus bearing and journal material, MPa | 210,000 |
| Linear expansion coefficient of bearing and journal material, 10−6/K | 11 |
| Thermal conductivity of Babbitt, shell, and journal material, W/(m∙K) | 50 |
| Heat transfer boundary conditions | |
| Heat convection coefficients of the bearing free surfaces, W/(m2∙K) | 50 |
| Ambient temperature, °C | 60 |
| Parameter | Value |
|---|---|
| Geometrical properties | |
| Nominal diameter, mm | 500 |
| Outer bearing diameter, mm | 800 |
| Bearing width, mm | 500 |
| Lube oil pocket width, mm | 470 |
| Angular pad span, ° | 150 |
| Angular pocket span, ° | 30 |
| Radial clearance, µm | 300 |
| Preload | 0.8 |
| Static analysis parameters | |
| Specific bearing load, MPa | 0 |
| Rotational speed, rpm | 500–3600 |
| Lubricant supply temperature, °C | 45 |
Publisher’s Note: MDPI stays neutral with regard to jurisdictional claims in published maps and institutional affiliations. |
© 2022 by the authors. Licensee MDPI, Basel, Switzerland. This article is an open access article distributed under the terms and conditions of the Creative Commons Attribution (CC BY) license (https://creativecommons.org/licenses/by/4.0/).
Share and Cite
Hagemann, T.; Vetter, D.; Wettmarshausen, S.; Stottrop, M.; Engels, A.; Weißbacher, C.; Bender, B.; Schwarze, H. A Design for High-Speed Journal Bearings with Reduced Pad Size and Improved Efficiency. Lubricants 2022, 10, 313. https://doi.org/10.3390/lubricants10110313
Hagemann T, Vetter D, Wettmarshausen S, Stottrop M, Engels A, Weißbacher C, Bender B, Schwarze H. A Design for High-Speed Journal Bearings with Reduced Pad Size and Improved Efficiency. Lubricants. 2022; 10(11):313. https://doi.org/10.3390/lubricants10110313
Chicago/Turabian StyleHagemann, Thomas, Daniel Vetter, Sören Wettmarshausen, Michael Stottrop, Alexander Engels, Christoph Weißbacher, Beate Bender, and Hubert Schwarze. 2022. "A Design for High-Speed Journal Bearings with Reduced Pad Size and Improved Efficiency" Lubricants 10, no. 11: 313. https://doi.org/10.3390/lubricants10110313
APA StyleHagemann, T., Vetter, D., Wettmarshausen, S., Stottrop, M., Engels, A., Weißbacher, C., Bender, B., & Schwarze, H. (2022). A Design for High-Speed Journal Bearings with Reduced Pad Size and Improved Efficiency. Lubricants, 10(11), 313. https://doi.org/10.3390/lubricants10110313

