Implications of the Intriguing Constant Inner Mass Surface Density Observed in Dark Matter Halos
Abstract
1. Introduction
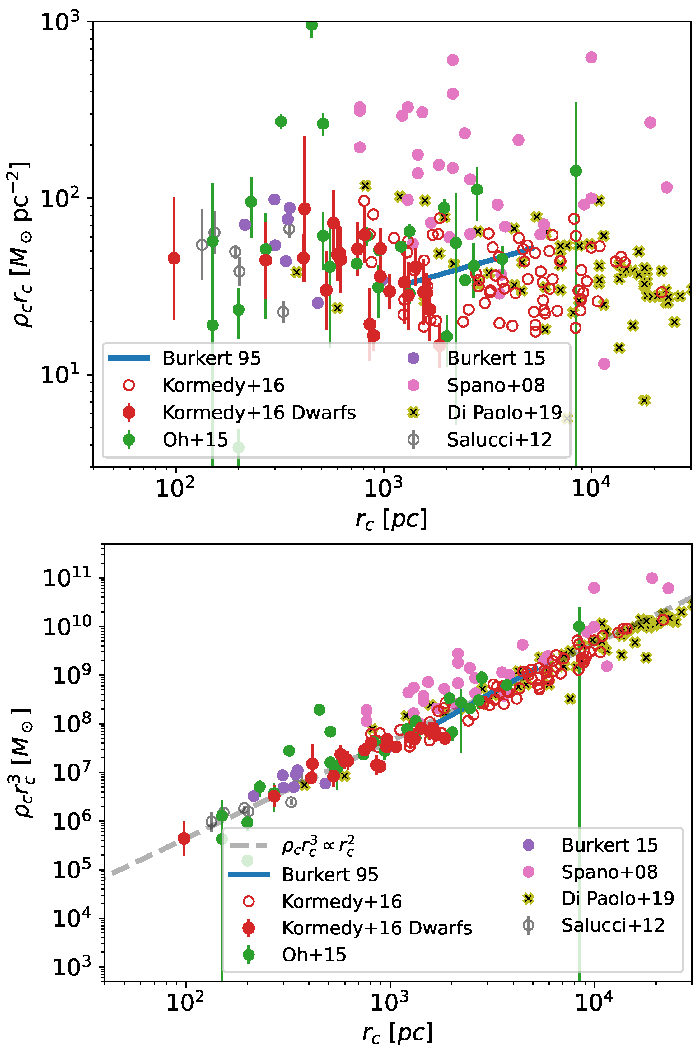
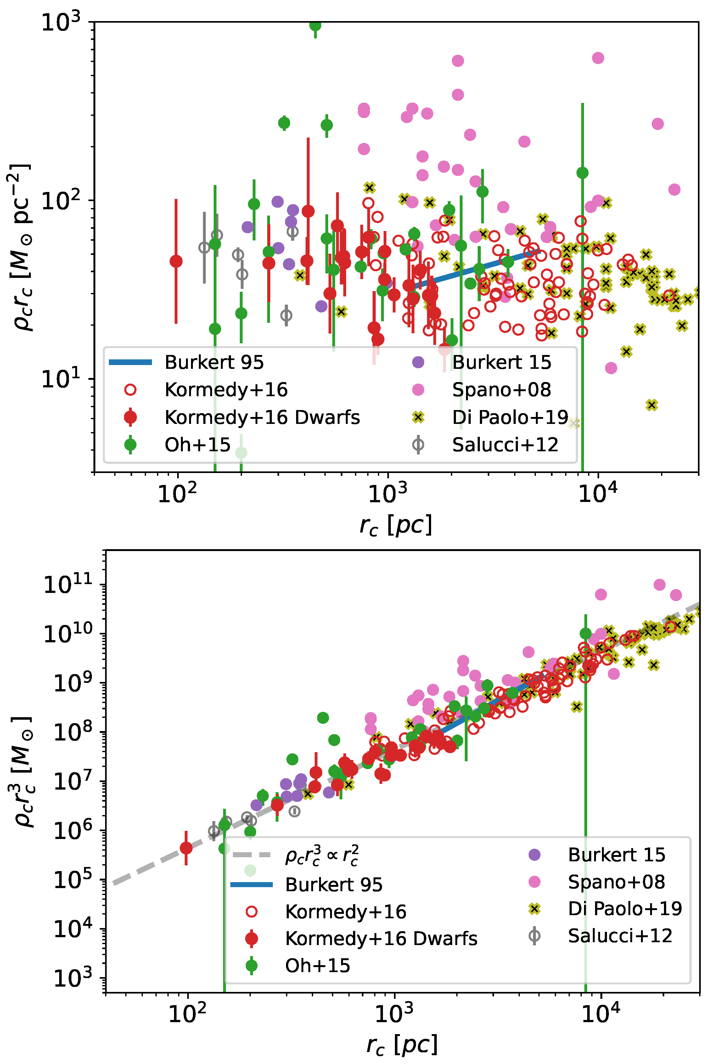
2. Observations Supporting Equation (1)
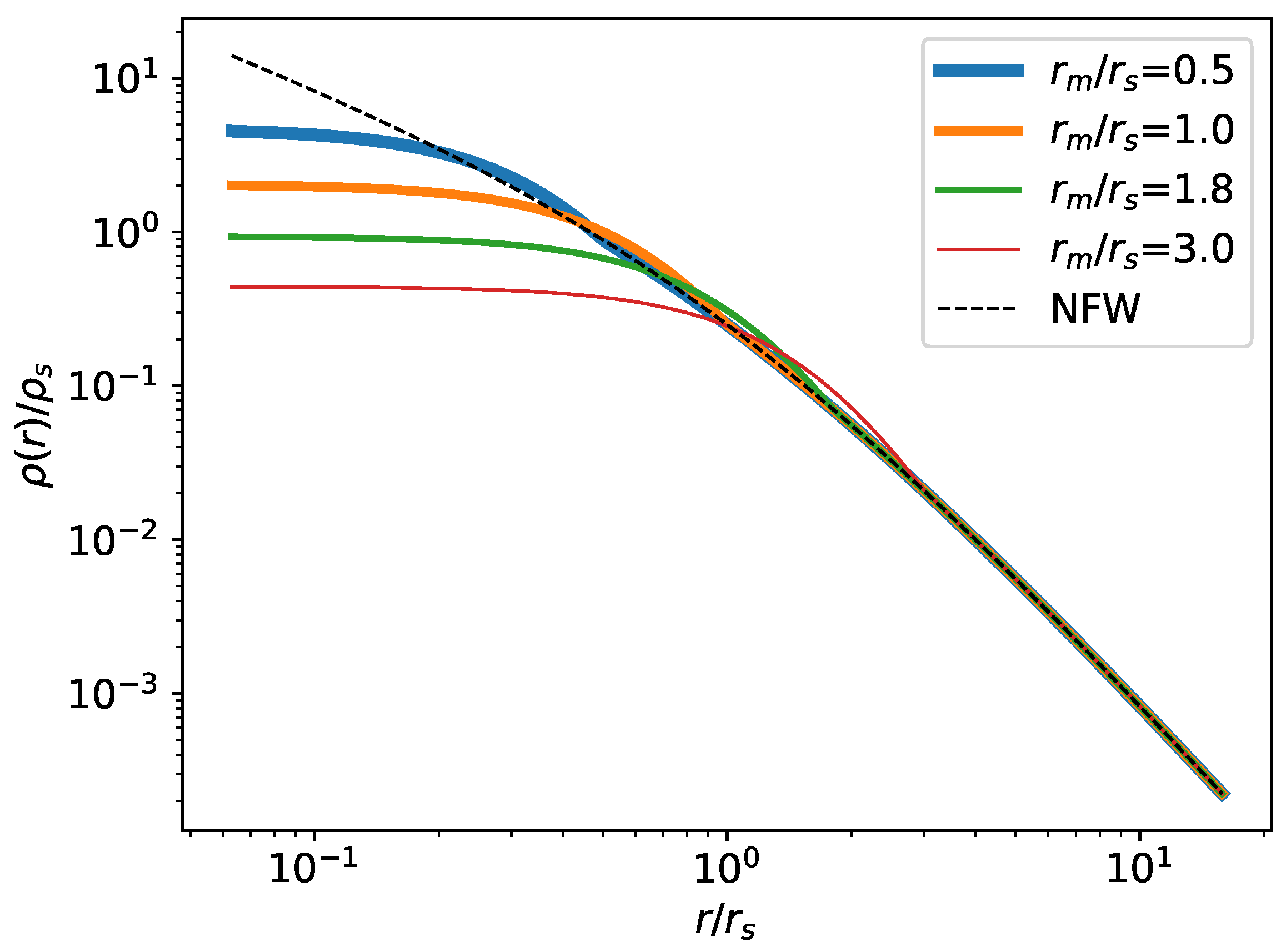
3. Theory: Cores Resulting from Redistributing Collisionless Cold Dark Matter Halos
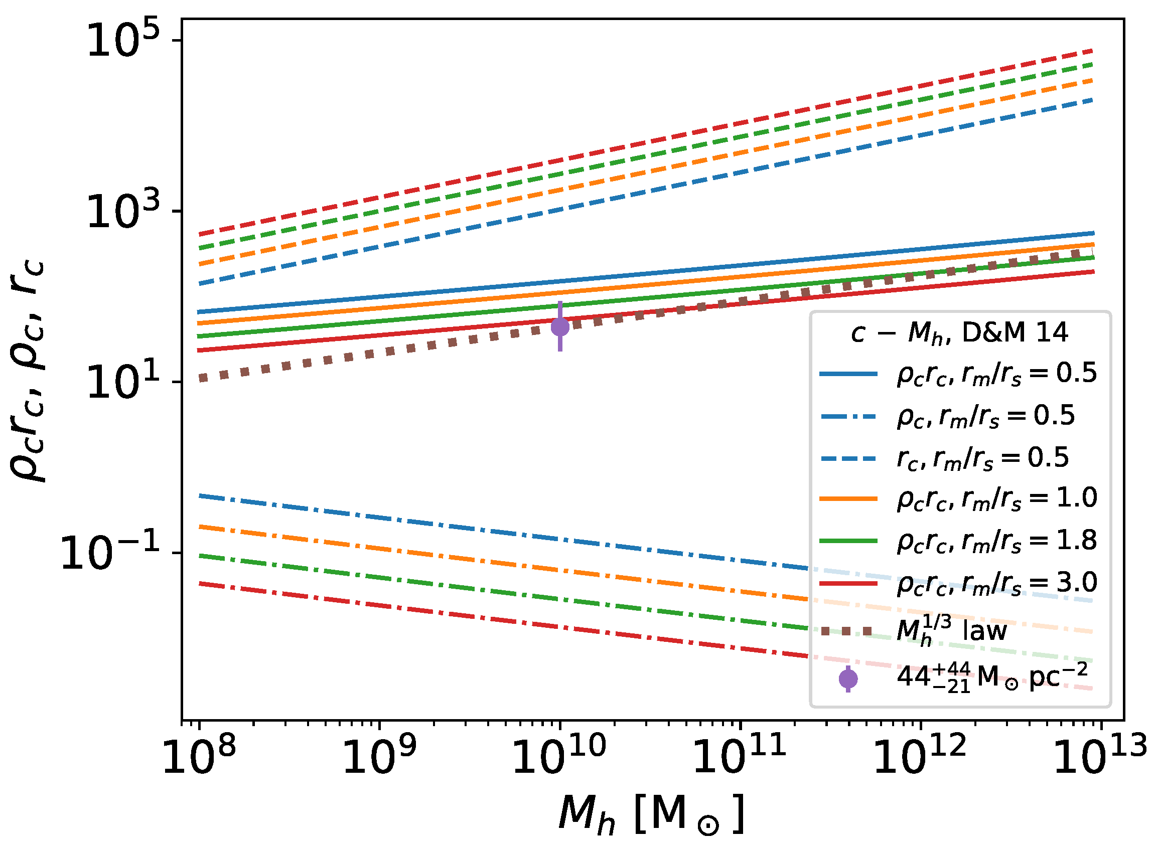
4. Comparison Between Observations and Theory
5. Discussion
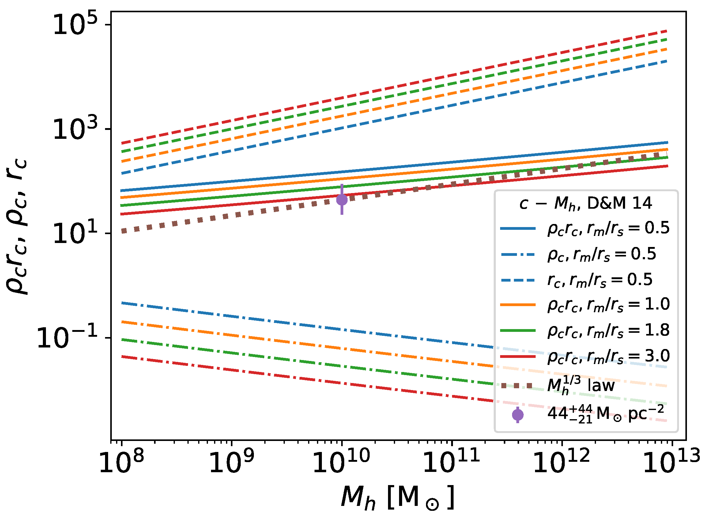
5.1. What Sets the c– Relation?
5.2. Relation Between DM Core Mass and Stellar Core Radius
5.3. Constant DM Dynamical Pressure
6. Conclusions
Funding
Data Availability Statement
Acknowledgments
Conflicts of Interest
Abbreviations
| DM | Dark matter |
| CDM | Cold dark matter |
| dSph | Dwarf spheroidal galaxy |
| CDM | Concordance cosmological model |
| UFD | Ultra faint dwarf |
Appendix A. Bibliography on the ρcrc Versus Mh Relation
- -
- Burkert (1995) [4] explicitly gives a relation between the central density and core radius and between the halo mass and core radius. Pieced together, they provide the relation represented in Figure 1 with within the range represented in his Figure 3. The original relations have to be corrected to our core radius definition (Equation (2)) and to the total halo mass (his Equation (4)).
- -
- Donato et al. (2009) [7]. The value with error bars is directly given in the paper. They conclude that the product is constant for absolute magnitudes from −7 to −22. In order to transform these B magnitudes into halo masses, (1) we use a stellar mass-to-light ratio of one (in solar units) and then use to estimate using the halo to stellar mass ratio at redshift zero from [27]. They use the same definition of the core radius as [4], and so it has to be corrected to ours in Equation (2).
- -
- -
- Oh et al. (2015) [2] do not determine the product , but they provide and separately. They also provide the absolute V magnitude which, assuming a mass-to-light ratio of one, allows us to estimate using the DM halo to stellar mass ratio from [27]. The used in this reference happens to agree with Equation (2) and so we do not change it. The averages in Table A1 were computed after removing the values with a larger error (see Figure 1).
- -
- Kormendy and Freeman (2016) [11] is the reference with the largest number of galaxies. It gives clear relations between and , and . The galaxies are separated into low and high masses. As for many of the above references, is obtained from their assuming a stellar mass-to-light ratio of one and using the scaling between stellar and halo mass in [27]. For the core radius, the authors directly provide the scaling between their core radius and Equation (2).
- -
- -
- Saburova and Del Popolo (2014) [9] compile a large list of objects from various sources. The authors compute and provide the product . We infer from as explained above. The points without error bars in Figure 1 are not points with zero error but points without an estimate of the error. They claim a variation with luminosity so that the more luminous (and so more massive) galaxies have larger (see Figure 1). The low mass value is consistent with other estimates. They use a Burkert DM halo to define the radius, which we transform to our definition in Equation (2).
- -
- Salucci et al. (2012) [8]. We consider only the data for the dwarf spheroidal galaxies (dSph).
- -

| Reference | 1 | 2 | Comment 3 |
|---|---|---|---|
| [4] Burkert (1995) | Corrected & | ||
| [7] Donato et al. (2009) | – | Corrected ; from | |
| [10] Burkert (2015) | Corrected | ||
| [2] Oh et al. (2015) | Sigma-clipping in noise | ||
| [11] Kormendy and Freeman (2016) | Massive galaxies. Corrected | ||
| [11] Kormendy and Freeman (2016) | Dwarfs. Corrected | ||
| [6] Spano et al. (2008) | Corrected | ||
| [9] Saburova and Del Popolo (2014) | –11 | Only low mass. Corrected . | |
| [8] Salucci et al., 2012 | dSph only. Corrected | ||
| [12] Di Paolo et al., 2019 | – | Corrected , using their . |
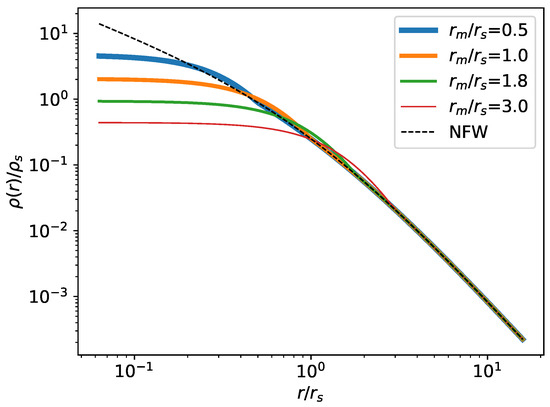
Appendix B. The Theoretical Value of ρcrc When rm = rs
References
- Persic, M.; Salucci, P.; Stel, F. The universal rotation curve of spiral galaxies—I. The dark matter connection. Mon. Not. R. Astron. Soc. 1996, 281, 27–47. [Google Scholar] [CrossRef]
- Oh, S.H.; Hunter, D.A.; Brinks, E.; Elmegreen, B.G.; Schruba, A.; Walter, F.; Rupen, M.P.; Young, L.M.; Simpson, C.E.; Johnson, M.C.; et al. High-resolution Mass Models of Dwarf Galaxies from LITTLE THINGS. Astron. J. 2015, 149, 180. [Google Scholar] [CrossRef]
- Salucci, P. The distribution of dark matter in galaxies. Astron. Astrophys. Rev. 2019, 27, 2. [Google Scholar] [CrossRef]
- Burkert, A. The Structure of Dark Matter Halos in Dwarf Galaxies. Astrophys. J. 1995, 447, L25–L28. [Google Scholar] [CrossRef]
- Salucci, P.; Burkert, A. Dark Matter Scaling Relations. Astrophys. J. 2000, 537, L9–L12. [Google Scholar] [CrossRef]
- Spano, M.; Marcelin, M.; Amram, P.; Carignan, C.; Epinat, B.; Hernandez, O. GHASP: An Hα kinematic survey of spiral and irregular galaxies—V. Dark matter distribution in 36 nearby spiral galaxies. Mon. Not. R. Astron. Soc. 2008, 383, 297–316. [Google Scholar] [CrossRef]
- Donato, F.; Gentile, G.; Salucci, P.; Frigerio Martins, C.; Wilkinson, M.I.; Gilmore, G.; Grebel, E.K.; Koch, A.; Wyse, R. A constant dark matter halo surface density in galaxies. Mon. Not. R. Astron. Soc. 2009, 397, 1169–1176. [Google Scholar] [CrossRef]
- Salucci, P.; Wilkinson, M.I.; Walker, M.G.; Gilmore, G.F.; Grebel, E.K.; Koch, A.; Frigerio Martins, C.; Wyse, R.F.G. Dwarf spheroidal galaxy kinematics and spiral galaxy scaling laws. Mon. Not. R. Astron. Soc. 2012, 420, 2034–2041. [Google Scholar] [CrossRef]
- Saburova, A.; Del Popolo, A. On the surface density of dark matter haloes. Mon. Not. R. Astron. Soc. 2014, 445, 3512–3524. [Google Scholar] [CrossRef]
- Burkert, A. The Structure and Dark Halo Core Properties of Dwarf Spheroidal Galaxies. Astrophys. J. 2015, 808, 158. [Google Scholar] [CrossRef]
- Kormendy, J.; Freeman, K.C. Scaling Laws for Dark Matter Halos in Late-type and Dwarf Spheroidal Galaxies. Astrophys. J. 2016, 817, 84. [Google Scholar] [CrossRef]
- Di Paolo, C.; Salucci, P.; Erkurt, A. The universal rotation curve of low surface brightness galaxies—IV. The interrelation between dark and luminous matter. Mon. Not. R. Astron. Soc. 2019, 490, 5451–5477. [Google Scholar] [CrossRef]
- Lin, H.W.; Loeb, A. Scaling relations of halo cores for self-interacting dark matter. J. Cosmol. Astropart. Phys. 2016, 2016, 009. [Google Scholar] [CrossRef][Green Version]
- Burkert, A. Fuzzy Dark Matter and Dark Matter Halo Cores. Astrophys. J. 2020, 904, 161. [Google Scholar] [CrossRef]
- Kaneda, Y.; Mori, M.; Otaki, K. A universal scaling relation incorporating the cusp-to-core transition of dark matter halos. Publ. Astron. Soc. Jpn. 2024, 76, 1026–1040. [Google Scholar] [CrossRef]
- Navarro, J.F.; Frenk, C.S.; White, S.D.M. A Universal Density Profile from Hierarchical Clustering. Astrophys. J. 1997, 490, 493–508. [Google Scholar] [CrossRef]
- Wang, J.; Bose, S.; Frenk, C.S.; Gao, L.; Jenkins, A.; Springel, V.; White, S.D.M. Universal structure of dark matter haloes over a mass range of 20 orders of magnitude. Nature 2020, 585, 39–42. [Google Scholar] [CrossRef] [PubMed]
- Governato, F.; Brook, C.; Mayer, L.; Brooks, A.; Rhee, G.; Wadsley, J.; Jonsson, P.; Willman, B.; Stinson, G.; Quinn, T.; et al. Bulgeless dwarf galaxies and dark matter cores from supernova-driven outflows. Nature 2010, 463, 203–206. [Google Scholar] [CrossRef]
- Pontzen, A.; Governato, F. Cold dark matter heats up. Nature 2014, 506, 171–178. [Google Scholar] [CrossRef]
- Lazar, A.; Bullock, J.S.; Boylan-Kolchin, M.; Chan, T.K.; Hopkins, P.F.; Graus, A.S.; Wetzel, A.; El-Badry, K.; Wheeler, C.; Straight, M.C.; et al. A dark matter profile to model diverse feedback-induced core sizes of ΛCDM haloes. Mon. Not. R. Astron. Soc. 2020, 497, 2393–2417. [Google Scholar] [CrossRef]
- Plastino, A.R.; Plastino, A. Stellar polytropes and Tsallis’ entropy. Phys. Lett. A 1993, 174, 384–386. [Google Scholar] [CrossRef]
- Sánchez Almeida, J.; Trujillo, I.; Plastino, A.R. The principle of maximum entropy explains the cores observed in the mass distribution of dwarf galaxies. Astron. Astrophys. 2020, 642, L14. [Google Scholar] [CrossRef]
- Carlsten, S.G.; Greene, J.E.; Greco, J.P.; Beaton, R.L.; Kado-Fong, E. Structures of Dwarf Satellites of Milky Way-like Galaxies: Morphology, Scaling Relations, and Intrinsic Shapes. Astrophys. J. 2021, 922, 267. [Google Scholar] [CrossRef]
- Montes, M.; Trujillo, I.; Karunakaran, A.; Infante-Sainz, R.; Spekkens, K.; Golini, G.; Beasley, M.; Cebrián, M.; Chamba, N.; D’Onofrio, M.; et al. An almost dark galaxy with the mass of the Small Magellanic Cloud. Astron. Astrophys. 2024, 681, A15. [Google Scholar] [CrossRef]
- Sánchez Almeida, J.; Trujillo, I.; Plastino, A.R. The Stellar Distribution in Ultrafaint Dwarf Galaxies Suggests Deviations from the Collisionless Cold Dark Matter Paradigm. Astrophys. J. 2024, 973, L15. [Google Scholar] [CrossRef]
- Sánchez Almeida, J.; Trujillo, I.; Montes, M.; Plastino, A.R. Constraining the shape of dark matter haloes using only starlight: I. A new technique and its application to the galaxy Nube. Astron. Astrophys. 2024. submitted. [Google Scholar]
- Behroozi, P.S.; Wechsler, R.H.; Conroy, C. The Average Star Formation Histories of Galaxies in Dark Matter Halos from z = 0-8. Astrophys. J. 2013, 770, 57. [Google Scholar] [CrossRef]
- Sánchez Almeida, J. The Principle of Maximum Entropy and the Distribution of Mass in Galaxies. Universe 2022, 8, 214. [Google Scholar] [CrossRef]
- Robertson, A.; Massey, R.; Eke, V.; Schaye, J.; Theuns, T. The surprising accuracy of isothermal Jeans modelling of self-interacting dark matter density profiles. Mon. Not. R. Astron. Soc. 2021, 501, 4610–4634. [Google Scholar] [CrossRef]
- Sánchez Almeida, J.; Trujillo, I. Numerical simulations of dark matter haloes produce polytropic central cores when reaching thermodynamic equilibrium. Mon. Not. R. Astron. Soc. 2021, 504, 2832–2840. [Google Scholar] [CrossRef]
- Kaplinghat, M.; Tulin, S.; Yu, H.B. Dark Matter Halos as Particle Colliders: Unified Solution to Small-Scale Structure Puzzles from Dwarfs to Clusters. Phys. Rev. Lett. 2016, 116, 041302. [Google Scholar] [CrossRef]
- Dutton, A.A.; Macciò, A.V. Cold dark matter haloes in the Planck era: Evolution of structural parameters for Einasto and NFW profiles. Mon. Not. R. Astron. Soc. 2014, 441, 3359–3374. [Google Scholar] [CrossRef]
- Correa, C.A.; Wyithe, J.S.B.; Schaye, J.; Duffy, A.R. The accretion history of dark matter haloes - III. A physical model for the concentration-mass relation. Mon. Not. R. Astron. Soc. 2015, 452, 1217–1232. [Google Scholar] [CrossRef]
- Sorini, D.; Bose, S.; Pakmor, R.; Hernquist, L.; Springel, V.; Hadzhiyska, B.; Hernández-Aguayo, C.; Kannan, R. The impact of baryons on the internal structure of dark matter haloes from dwarf galaxies to superclusters in the redshift range 0 < z < 7. arXiv 2024, arXiv:2409.01758. [Google Scholar] [CrossRef]
- Zhao, D.H.; Mo, H.J.; Jing, Y.P.; Börner, G. The growth and structure of dark matter haloes. Mon. Not. R. Astron. Soc. 2003, 339, 12–24. [Google Scholar] [CrossRef]
- Lu, Y.; Mo, H.J.; Katz, N.; Weinberg, M.D. On the origin of cold dark matter halo density profiles. Mon. Not. R. Astron. Soc. 2006, 368, 1931–1940. [Google Scholar] [CrossRef]
- Richstein, H.; Kallivayalil, N.; Simon, J.D.; Garling, C.T.; Wetzel, A.; Warfield, J.T.; van der Marel, R.P.; Jeon, M.; Rose, J.C.; Torrey, P.; et al. Deep Hubble Space Telescope Photometry of Large Magellanic Cloud and Milky Way Ultrafaint Dwarfs: A Careful Look into the Magnitude–Size Relation. Astrophys. J. 2024, 967, 72. [Google Scholar] [CrossRef]
- Pianta, C.; Capuzzo-Dolcetta, R.; Carraro, G. The Impact of Binaries on the Dynamical Mass Estimate of Dwarf Galaxies. Astrophys. J. 2022, 939, 3. [Google Scholar] [CrossRef]
- Outmezguine, N.J.; Boddy, K.K.; Gad-Nasr, S.; Kaplinghat, M.; Sagunski, L. Universal gravothermal evolution of isolated self-interacting dark matter halos for velocity-dependent cross-sections. Mon. Not. R. Astron. Soc. 2023, 523, 4786–4800. [Google Scholar] [CrossRef]
- Correa, C.A.; Schaller, M.; Ploeckinger, S.; Anau Montel, N.; Weniger, C.; Ando, S. TangoSIDM: Tantalizing models of self-interacting dark matter. Mon. Not. R. Astron. Soc. 2022, 517, 3045–3063. [Google Scholar] [CrossRef]
- McConnachie, A.W. The Observed Properties of Dwarf Galaxies in and around the Local Group. Astron. J. 2012, 144, 4. [Google Scholar] [CrossRef]












Disclaimer/Publisher’s Note: The statements, opinions and data contained in all publications are solely those of the individual author(s) and contributor(s) and not of MDPI and/or the editor(s). MDPI and/or the editor(s) disclaim responsibility for any injury to people or property resulting from any ideas, methods, instructions or products referred to in the content. |
© 2025 by the author. Licensee MDPI, Basel, Switzerland. This article is an open access article distributed under the terms and conditions of the Creative Commons Attribution (CC BY) license (https://creativecommons.org/licenses/by/4.0/).
Share and Cite
Sánchez Almeida, J. Implications of the Intriguing Constant Inner Mass Surface Density Observed in Dark Matter Halos. Galaxies 2025, 13, 6. https://doi.org/10.3390/galaxies13010006
Sánchez Almeida J. Implications of the Intriguing Constant Inner Mass Surface Density Observed in Dark Matter Halos. Galaxies. 2025; 13(1):6. https://doi.org/10.3390/galaxies13010006
Chicago/Turabian StyleSánchez Almeida, Jorge. 2025. "Implications of the Intriguing Constant Inner Mass Surface Density Observed in Dark Matter Halos" Galaxies 13, no. 1: 6. https://doi.org/10.3390/galaxies13010006
APA StyleSánchez Almeida, J. (2025). Implications of the Intriguing Constant Inner Mass Surface Density Observed in Dark Matter Halos. Galaxies, 13(1), 6. https://doi.org/10.3390/galaxies13010006
