Personalized Risk Assessment for Taxane-Induced Hypersensitivity Reactions: A Systematic Review and Meta-Analysis
Abstract
1. Introduction
2. Materials and Methods
2.1. Study Protocol
2.2. Search Strategy and Eligibility Criteria
2.3. Data Extraction and Quality Assessment
2.4. Meta-Analysis
3. Results
3.1. Study Selection
3.2. Study Characteristics
3.3. Quality Assessment
3.4. Heterogeneity
3.5. Risk Factors Associated with Taxane HSRs
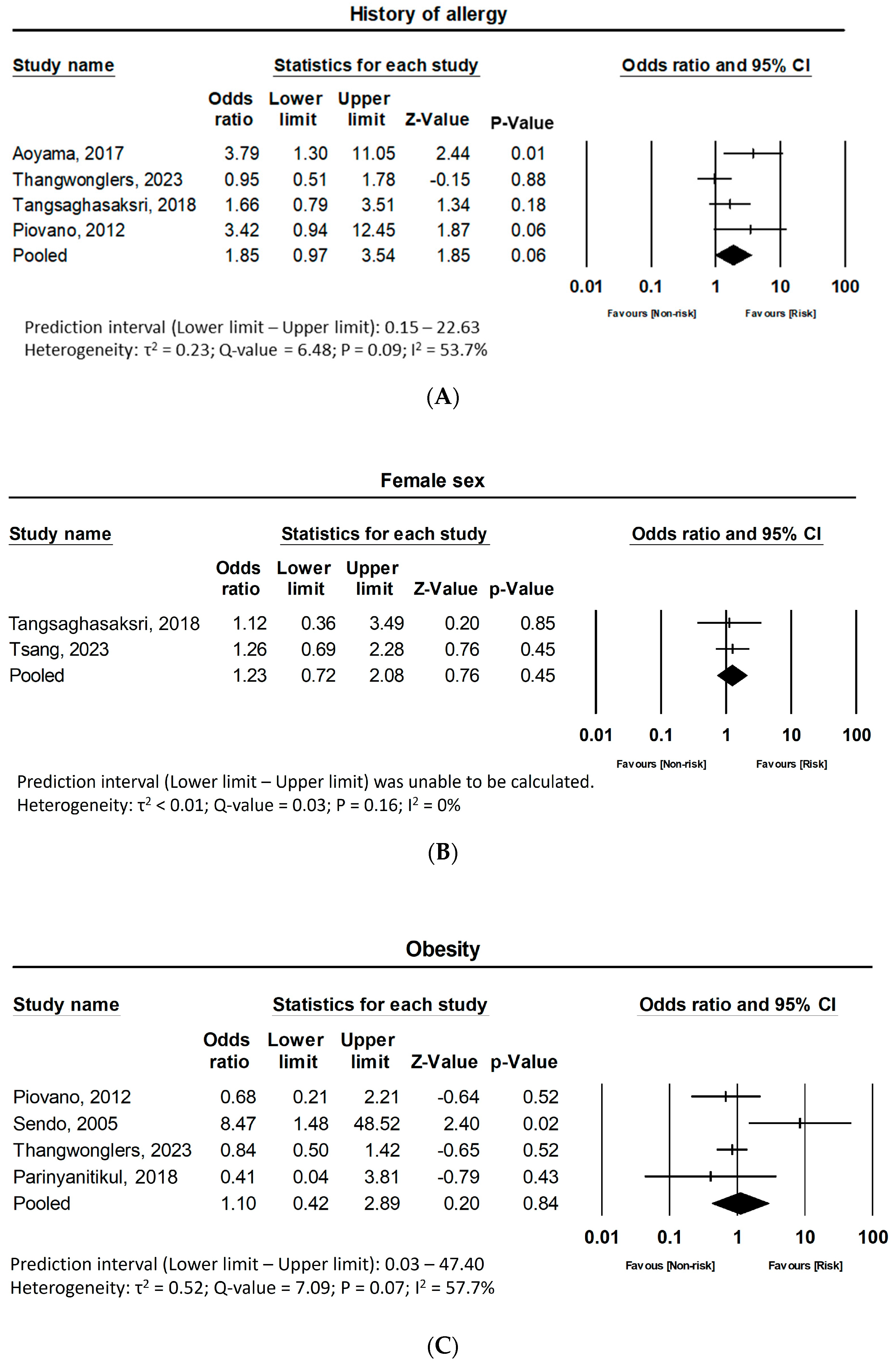
3.5.1. History of Allergy
3.5.2. Age
3.5.3. Other Demographic Factors: Sex and Race
3.5.4. Obesity
3.5.5. Postmenopausal State
3.5.6. Cancer Type: Ovarian Cancer
3.5.7. Premedication Regimens: H2 Receptor Antagonist (H2RA) Premedication
3.5.8. Genetic Polymorphisms
3.6. Sensitivity Analysis
4. Discussion
5. Conclusions
Supplementary Materials
Author Contributions
Funding
Institutional Review Board Statement
Informed Consent Statement
Data Availability Statement
Conflicts of Interest
References
- Bray, F.; Laversanne, M.; Weiderpass, E.; Soerjomataram, I. The ever-increasing importance of cancer as a leading cause of premature death worldwide. Cancer 2021, 127, 3029–3030. [Google Scholar] [CrossRef]
- Bray, F.; Laversanne, M.; Sung, H.; Ferlay, J.; Siegel, R.L.; Soerjomataram, I.; Jemal, A. Global cancer statistics 2022: GLOBOCAN estimates of incidence and mortality worldwide for 36 cancers in 185 countries. CA Cancer J Clin. 2024, 74, 229–263. [Google Scholar] [CrossRef] [PubMed]
- Abal, M.; Andreu, J.M.; Barasoain, I. Taxanes: Microtubule and centrosome targets, and cell cycle dependent mechanisms of action. Curr. Cancer Drug Targets 2003, 3, 193–203. [Google Scholar] [CrossRef] [PubMed]
- Joerger, M. Treatment regimens of classical and newer taxanes. Cancer Chemother. Pharmacol. 2016, 77, 221–233. [Google Scholar] [CrossRef]
- Hsieh, C.Y.; Lin, C.C.; Chang, W.C. Taxanes in the Treatment of Head and Neck Squamous Cell Carcinoma. Biomedicines 2023, 11, 2887. [Google Scholar] [CrossRef] [PubMed]
- Galateanu, B.; Puscasu, A.I.; Tircol, S.A.; Tanase, B.C.; Hudita, A.; Negrei, C.; Burcea-Dragomiroiu, G.T.; Negreanu, L.; Vacaroiu, I.A.; Ginghina, O. Allergy in Cancer Care: Antineoplastic Therapy-Induced Hypersensitivity Reactions. Int. J. Mol. Sci. 2023, 24, 3886. [Google Scholar] [CrossRef] [PubMed]
- Bayrak Durmaz, M.S.; Unutmaz, D.G.; Demir, M.; Goksel, O.; Dursun, A.B.; Bavbek, S. Hypersensitivity Reactions to Taxanes: A Multicenter Study for Outcomes and Safety of Rapid Drug Desensitization. Allergy Asthma Immunol. Res. 2024, 16, 142–153. [Google Scholar] [CrossRef]
- Caiado, J.; Bras, R.; Paulino, M.; Costa, L.; Castells, M. Rapid desensitization to antineoplastic drugs in an outpatient immunoallergology clinic: Outcomes and risk factors. Ann. Allergy Asthma Immunol. 2020, 125, 325–333.e1. [Google Scholar] [CrossRef] [PubMed]
- Castells, M.; Sancho-Serra Mdel, C.; Simarro, M. Hypersensitivity to antineoplastic agents: Mechanisms and treatment with rapid desensitization. Cancer Immunol. Immunother. 2012, 61, 1575–1584. [Google Scholar] [CrossRef] [PubMed]
- Pagani, M.; Bavbek, S.; Dursun, A.B.; Bonadonna, P.; Caralli, M.; Cernadas, J.; Cortellini, G.; Costantino, M.T.; Gelincik, A.; Lucchini, G.; et al. Role of Skin Tests in the Diagnosis of Immediate Hypersensitivity Reactions to Taxanes: Results of a Multicenter Study. J. Allergy Clin. Immunol. Pract. 2019, 7, 990–997. [Google Scholar] [CrossRef]
- Picard, M.; Castells, M.C. Re-visiting Hypersensitivity Reactions to Taxanes: A Comprehensive Review. Clin. Rev. Allergy Immunol. 2015, 49, 177–191. [Google Scholar] [CrossRef]
- Paclitaxel (Paclitaxel); Package Insert; Alembic Pharmaceutical, Inc.: Bedminster, NJ, USA, 2024.
- Docetaxel (Docetaxel); Package Insert; Meitheal Pharmaceuticals: Chicago, IL, USA, 2021.
- Singla, A.K.; Garg, A.; Aggarwal, D. Paclitaxel and its formulations. Int. J. Pharm. 2002, 235, 179–192. [Google Scholar] [CrossRef] [PubMed]
- Park, K.H. Understanding and Challenging of Taxane Hypersensitivity. Allergy Asthma. Immunol. Res. 2024, 16, 123–125. [Google Scholar] [CrossRef]
- Tsao, L.R.; Young, F.D.; Otani, I.M.; Castells, M.C. Hypersensitivity Reactions to Platinum Agents and Taxanes. Clin. Rev. Allergy Immunol. 2022, 62, 432–448. [Google Scholar] [CrossRef]
- Markman, M.; Kennedy, A.; Webster, K.; Kulp, B.; Peterson, G.; Belinson, J. Paclitaxel-associated hypersensitivity reactions: Experience of the gynecologic oncology program of the Cleveland Clinic Cancer Center. J. Clin. Oncol. 2000, 18, 102–105. [Google Scholar] [CrossRef] [PubMed]
- Kwon, J.S.; Elit, L.; Finn, M.; Hirte, H.; Mazurka, J.; Moens, F.; Trim, K. A comparison of two prophylactic regimens for hypersensitivity reactions to paclitaxel. Gynecol. Oncol. 2002, 84, 420–425. [Google Scholar] [CrossRef]
- Gradishar, W.J.; Tjulandin, S.; Davidson, N.; Shaw, H.; Desai, N.; Bhar, P.; Hawkins, M.; O’Shaughnessy, J. Phase III trial of nanoparticle albumin-bound paclitaxel compared with polyethylated castor oil-based paclitaxel in women with breast cancer. J. Clin. Oncol. 2005, 23, 7794–7803. [Google Scholar] [CrossRef] [PubMed]
- Du, X.; Khan, A.R.; Fu, M.; Ji, J.; Yu, A.; Zhai, G. Current development in the formulations of non-injection administration of paclitaxel. Int. J. Pharm. 2018, 542, 242–252. [Google Scholar] [CrossRef] [PubMed]
- Zwimpfer, T.A.; Scherer, K.; Schotzau, A.; Heinzelmann-Schwarz, V.; Hartmann, K.; Vetter, M.; Montavon, C. Desensitization in patients with hypersensitivity to platinum and taxane in gynecological cancers. Cancer. Med. 2024, 13, e6840. [Google Scholar] [CrossRef]
- Sa-Nguansai, S.; Sukphinetkul, R. Development and Validation of a Clinical Prediction Model for Paclitaxel Hypersensitivity Reaction on the Basis of Real-World Data: Pac-HSR Score. JCO Glob. Oncol. 2024, 10, e2400318. [Google Scholar] [CrossRef]
- Alen Coutinho, I.; Costa Sousa, F.; Cunha, F.; Frutuoso, C.; Ribeiro, C.; Loureiro, C.; Aguas, F.; Todo Bom, A. Key elements in hypersensitivity reactions to chemotherapy: Experience with rapid drug desensitization in gynaecological cancer in a Tertiary Hospital. Eur. Ann. Allergy Clin. Immunol. 2022, 54, 265–276. [Google Scholar] [CrossRef] [PubMed]
- Haine, A.I.; Notenboom, C.; Tan, L.V.P.; Ruiter, R.; van der Deure, W.M. Ranitidine and the incidence of hypersensitivity reactions to paclitaxel: A retrospective cohort study. Pharmacol. Res. Perspect. 2022, 10, e00985. [Google Scholar] [CrossRef]
- Jabir, R.S.; Ho, G.F.; Annuar, M.; Stanslas, J. Association of Allelic Interaction of Single Nucleotide Polymorphisms of Influx and Efflux Transporters Genes With Nonhematologic Adverse Events of Docetaxel in Breast Cancer Patients. Clin. Breast Cancer 2018, 18, e1173–e1179. [Google Scholar] [CrossRef]
- Jimenez-Rodriguez, T.W.; Manuel Marco de la Calle, F.; Lozano-Cubo, I.; Montoyo-Anton, R.A.; Soriano-Gomis, V.; Gonzalez-Delgado, P.; Burgos-San Jose, A.; Climent-Ballester, S.; Martinez-Banaclocha, N.; Fernandez-Sanchez, J. Converter Phenotype: A New Profile That Is Not Exclusive to Taxanes. Front. Allergy 2021, 2, 785259. [Google Scholar] [CrossRef]
- Strobbe, G.; Gaboriau, L.; Abele, M.; Villain, A.; Aelbrecht-Meurisse, C.; Carnot, A.; Le Deley, M.C.; Leguillette, C.; Feutry, F.; Sakji, I.; et al. Impact of histamine-2 antagonist shortage on the incidence of hypersensitivity reactions to paclitaxel: A reconsideration of premedication protocols in France (PACLIREACT Study). Eur. J. Clin. Pharmacol. 2023, 79, 1229–1238. [Google Scholar] [CrossRef]
- Tsang, C.; Robinson, J.; Wheatley-Price, P.F.; Brule, S.Y.; Moore, S.M. The utility of H2 receptor antagonists in preventing infusion-related reactions to paclitaxel chemotherapy. Cancer 2023, 129, 3815–3819. [Google Scholar] [CrossRef] [PubMed]
- Wang, H.; Fan, L.; Wu, X.; Han, Y. Efficacy evaluation of albumin-bound paclitaxel combined with carboplatin as neoadjuvant chemotherapy for primary epithelial ovarian cancer. BMC Womens Health 2022, 22, 224. [Google Scholar] [CrossRef] [PubMed]
- Aoyama, T.; Takano, M.; Miyamoto, M.; Yoshikawa, T.; Soyama, H.; Kato, K.; Ishibashi, H.; Iwahashi, H.; Nakatsuka, M.; Yajima, I.; et al. Is there any predictor for hypersensitivity reactions in gynecologic cancer patients treated with paclitaxel-based therapy? Cancer Chemother. Pharmacol. 2017, 80, 65–69. [Google Scholar] [CrossRef] [PubMed]
- Boso, V.; Herrero, M.J.; Santaballa, A.; Palomar, L.; Megias, J.E.; de la Cueva, H.; Rojas, L.; Marques, M.R.; Poveda, J.L.; Montalar, J.; et al. SNPs and taxane toxicity in breast cancer patients. Pharmacogenomics 2014, 15, 1845–1858. [Google Scholar] [CrossRef] [PubMed]
- Di Francia, R.; Atripaldi, L.; Di Martino, S.; Fierro, C.; Muto, T.; Crispo, A.; Rossetti, S.; Facchini, G.; Berretta, M. Assessment of Pharmacogenomic Panel Assay for Prediction of Taxane Toxicities: Preliminary Results. Front. Pharmacol. 2017, 8, 797. [Google Scholar] [CrossRef]
- Gonzalez-Diaz, S.N.; Canel-Paredes, A.; Macias-Weinmann, A.; Vidal-Gutierrez, O.; Villarreal-Gonzalez, R.V. Atopy, allergen sensitization and development of hypersensitivity reactions to paclitaxel. J. Oncol. Pharm. Pract. 2023, 29, 810–817. [Google Scholar] [CrossRef] [PubMed]
- Ishida, S.; Masuguchi, K.; Kawashiri, T.; Tsuji, T.; Watanabe, H.; Akiyoshi, S.; Kubo, M.; Masuda, S.; Egashira, N. Effects of Diluent Volume and Administration Time on the Incidence of Anaphylaxis Following Docetaxel Therapy in Breast Cancer. Biol. Pharm. Bull. 2020, 43, 663–668. [Google Scholar] [CrossRef] [PubMed]
- Joly, F.; Ray-Coquard, I.; Fabbro, M.; Donoghoe, M.; Boman, K.; Sugimoto, A.; Vaughan, M.; Reinthaller, A.; Vergote, I.; Ferrandina, G.; et al. Decreased hypersensitivity reactions with carboplatin-pegylated liposomal doxorubicin compared to carboplatin-paclitaxel combination: Analysis from the GCIG CALYPSO relapsing ovarian cancer trial. Gynecol. Oncol. 2011, 122, 226–232. [Google Scholar] [CrossRef]
- Lansinger, O.M.; Biedermann, S.; He, Z.; Colevas, A.D. Do Steroids Matter? A Retrospective Review of Premedication for Taxane Chemotherapy and Hypersensitivity Reactions. J. Clin. Oncol. 2021, 39, 3583–3590. [Google Scholar] [CrossRef] [PubMed]
- Piovano, E.; Pivetta, E.; Modaffari, P.; Martra, F.; Baima Poma, C.; Perotto, S.; Tripodi, E.; Zanfagnin, V.; Zola, P.; Ferrero, A. A search for predictive factors for hypersensitivity reactions to paclitaxel and platinum salts in chemotherapy for gynecologic pelvic neoplasms. Gynecol. Obstet. Investig. 2012, 74, 21–27. [Google Scholar] [CrossRef] [PubMed]
- Rizzo, R.; Spaggiari, F.; Indelli, M.; Lelli, G.; Baricordi, O.R.; Rimessi, P.; Ferlini, A. Association of CYP1B1 with hypersensitivity induced by taxane therapy in breast cancer patients. Breast Cancer Res. Treat. 2010, 124, 593–598. [Google Scholar] [CrossRef] [PubMed]
- Sendo, T.; Sakai, N.; Itoh, Y.; Ikesue, H.; Kobayashi, H.; Hirakawa, T.; Nakano, H.; Oishi, R. Incidence and risk factors for paclitaxel hypersensitivity during ovarian cancer chemotherapy. Cancer Chemother. Pharmacol. 2005, 56, 91–96. [Google Scholar] [CrossRef] [PubMed]
- Tangsaghasaksri, R.; Jainan, P. Incidence of Hypersensitivity Reactions from Paclitaxel. J. Med. Assoc. Thai. 2018, 101, S150–S154. [Google Scholar]
- Thangwonglers, T.; Santimaleeworagun, W.; Therasakvichya, S.; Saengsukkasemsak, N.; Pimsi, P. Characteristics of immediate hypersensitivity reaction to paclitaxel-based chemotherapy in gynecologic cancer patients. Asian Pac. J. Allergy Immunol. 2023, 41, 340–346. [Google Scholar] [CrossRef]
- Parinyanitikul, N.; Tanpipattanakul, W.; Poovorawan, N.; Rattananupong, T.; Laoitthi, P.; Sithidetphaiboon, P.; Thanasanvimon, S.; Sriuranpong, V. Incidence of infusion hypersensitivity reaction after withholding dexamethasone premedication in early breast cancer patients not experiencing two previous cycles of infusion hypersensitivity reaction for weekly paclitaxel chemotherapy. Support. Care Cancer 2018, 26, 2471–2477. [Google Scholar] [CrossRef]
- Page, M.J.; McKenzie, J.E.; Bossuyt, P.M.; Boutron, I.; Hoffmann, T.C.; Mulrow, C.D.; Shamseer, L.; Tetzlaff, J.M.; Akl, E.A.; Brennan, S.E.; et al. The PRISMA 2020 statement: An updated guideline for reporting systematic reviews. BMJ 2021, 372, n71. [Google Scholar] [CrossRef]
- Bowden, J.; Tierney, J.F.; Copas, A.J.; Burdett, S. Quantifying, displaying and accounting for heterogeneity in the meta-analysis of RCTs using standard and generalised Q statistics. BMC Med. Res. Methodol. 2011, 11, 41. [Google Scholar] [CrossRef]
- IntHout, J.; Ioannidis, J.P.; Rovers, M.M.; Goeman, J.J. Plea for routinely presenting prediction intervals in meta-analysis. BMJ Open 2016, 6, e010247. [Google Scholar] [CrossRef] [PubMed]
- Higgins, J.P.; Thompson, S.G. Quantifying heterogeneity in a meta-analysis. Stat. Med. 2002, 21, 1539–1558. [Google Scholar] [CrossRef] [PubMed]
- Pagani, M.; Bavbek, S.; Alvarez-Cuesta, E.; Berna Dursun, A.; Bonadonna, P.; Castells, M.; Cernadas, J.; Chiriac, A.; Sahar, H.; Madrigal-Burgaleta, R.; et al. Hypersensitivity reactions to chemotherapy: An EAACI Position Paper. Allergy 2022, 77, 388–403. [Google Scholar] [CrossRef]
- Trager, M.H.; Kuo, A.M.; Dusza, S.W.; Park, V.; Geskin, L.; Guyer, A.; Abuhadra, N.; Gucalp, A.; Lacouture, M.E. Predictors of immediate and delayed cutaneous hypersensitivity reactions to paclitaxel. Arch. Dermatol. Res. 2024, 316, 665. [Google Scholar] [CrossRef] [PubMed]
- Hutchinson, A.; Weaver, K.; Gunaratnam, B.; Volz, L.; Ingles, L.; Figg, L. Evaluating the efficacy of a premedication regimen including high-dose cetirizine in reduction of hypersensitivity reactions to paclitaxel: A retrospective cohort study. J. Oncol. Pharm. Pract. 2024. [Google Scholar] [CrossRef] [PubMed]
- Xiao, D.; Yang, Z.; Shi, Y.; Yang, W.; Zhang, Y. Is a low dose of dexamethasone sufficient to prevent paclitaxel-related hypersensitivity reactions? A retrospective study in patients with gynecologic malignancy. Expert Rev. Clin. Pharmacol. 2024, 17, 525–532. [Google Scholar] [CrossRef]
- Symons, R.; Heath, F.; Duggan, J.; Bui, K.T.; Byun, L.; Friedlander, M.; Lee, Y.C. Rates of paclitaxel hypersensitivity reactions using a modified Markman’s infusion protocol as primary prophylaxis. Support. Care Cancer 2024, 32, 292. [Google Scholar] [CrossRef]
- Feldweg, A.M.; Lee, C.W.; Matulonis, U.A.; Castells, M. Rapid desensitization for hypersensitivity reactions to paclitaxel and docetaxel: A new standard protocol used in 77 successful treatments. Gynecol. Oncol. 2005, 96, 824–829. [Google Scholar] [CrossRef] [PubMed]
- Vatti, R.R.; Ali, F.; Teuber, S.; Chang, C.; Gershwin, M.E. Hypersensitivity reactions to corticosteroids. Clin. Rev. Allergy Immunol. 2014, 47, 26–37. [Google Scholar] [CrossRef] [PubMed]
- Rampton, D.; Folkersen, J.; Fishbane, S.; Hedenus, M.; Howaldt, S.; Locatelli, F.; Patni, S.; Szebeni, J.; Weiss, G. Hypersensitivity reactions to intravenous iron: Guidance for risk minimization and management. Haematologica 2014, 99, 1671–1676. [Google Scholar] [CrossRef] [PubMed]
- Grant, W.B. Cancer Incidence Rates in the US in 2016-2020 with Respect to Solar UVB Doses, Diabetes and Obesity Prevalence, Lung Cancer Incidence Rates, and Alcohol Consumption: An Ecological Study. Nutrients 2024, 16, 1450. [Google Scholar] [CrossRef]






| Author, Year | Country | Study Design | Culprit Drug | Oncologic Diagnosis | Number of Patients | Age (Mean ± Standard Deviation) or (Median (Range)) | Female (N (%)) |
|---|---|---|---|---|---|---|---|
| Aoyama, 2017 [30] | Japan | Case control study | Paclitaxel | Mullerian, endometrial, cervical cancers, and uterine sarcoma | 414 | Case (HSR group): 44.5 (32–74) Control: 60 (16–83) | - |
| Ishida, 2020 [34] | Japan | Case control study | Docetaxel | Breast cancer | 182 | 56 (26–78) Case (HSR group): 48 (36–70) Control: 58 (26–78) | 182 (100) |
| Piovano, 2012 [37] | Italy | Case control study | Paclitaxel | Ovarian, endometrial, cervical cancer | 157; 101 (Platinum salts), 96 (Paclitaxel) | Case (HSR group): 52.5 ± 11 Control: 59 ± 12.3 | - |
| Rizzo, 2010 [38] | Italy | Case control study | Paclitaxel Docetaxel | Breast cancer | 95 | 57 ± 10 | 94 (98.9) |
| Sendo, 2005 [39] | Japan | Case control study | Paclitaxel | Ovarian cancer | 105 | Case (HSR group): 52.1 ± 11.2 Control: 57.1 ± 11.3 | 105 (100) |
| Tangsaghasaks-ri, 2018 [40] | Thailand | Case control study | Paclitaxel | Breast, lung, cervical, ovarian, corpus, endometrial, peritoneal cancers | 1132 | Case (HSR group): 53.77 ± 10.76 Control: 56.06 ± 11.49 | 961 (84.9) |
| Thangwonglers, 2023 [41] | Thailand | Case control study | Paclitaxel | Ovarian, uterine, endometrial, vulvar cancer | 416 | 56.37 ± 10.68 | 416 (100) |
| Boso, 2014 [31] | Spain | Retrospective analysis | Paclitaxel Docetaxel | Breast cancer | 113; 70 (Docetaxel), 43 (Paclitaxel) | Docetaxel group: 50.5 (48.0–53.0) Paclitaxel group: 57.9 (53.5–62.2) | Docetaxel group: 70 (100) Paclitaxel group: 43 (100) |
| Haine, 2022 [24] | The Netherlands | Retrospective cohort study | Paclitaxel | Breast, ovarian, lung, endometrial, and miscellaneous cancers | 108 | 60 (52–69) | 93 (86.1) |
| Kwon, 2002 [18] | Canada | Retrospective cohort study | Paclitaxel | Ovarian and primary peritoneal cancer | 223 | - | - |
| Lansinger, 2021 [36] | USA (Hispanic 11.88%, Non-Hispanic 85.92%, Unknown 2.2%) | Retrospective cohort study | Paclitaxel Docetaxel | Breast, GI, GU, gynecological, head and neck, lung, thymus, sarcoma and skin cancers | 3181 | - | 2205 (69.32) |
| Parinyanitikul, 2018 [42] | Thailand | Retrospective cohort study | Paclitaxel | Breast cancer | 81 | 51.0 ± 11 (range 27–74) | 81 (100) |
| Strobbe, 2023 [27] | France | Retrospective analysis | Paclitaxel | Gynecological, breast, head and neck, lung, upper GI, GU cancers, and soft tissue sarcoma, | 831 | Women: 59.9 ± 13.5 Men: 60.1 ± 14.5 | 733 (88.2) |
| Tsang, 2023 [28] | Canada | Retrospective cohort study | Paclitaxel | Breast, ovarian, endometrial, cervical, lung cancers, and others | 366 | Case (HSR group): 62 (31–84) Control: 63 (25–91) | 314 (85.8) |
| Zwimpfer, 2023 [21] | Switzerland | Retrospective cohort study | Paclitaxel | Gynecological cancers | 241; 219 (Platinum salts), 153 (Taxane) * | 63 (30.5–85.5) Case (HSR group): 57.1 (40.2–71) Control: 64.9 (30.5–85.5) | - |
| Gonzalez-Diaz, 2023 [33] | Mexico | Observational descriptive and prospective study | Paclitaxel | Breast, lung, gynecological, GI, and miscellaneous cancers | 76 | 53 ± 12.84 | 61 (80.3) |
| Jabir, 2018 [25] | Malaysia (Malay 40%, Chinese 52% and Indian 8%) | Prospective study | Docetaxel | Breast cancer | 110 | 53.66 ± 9.6 (range 31–71) | - |
| Joly, 2011 [35] | Australia, Belgium, France, Germany, Italy, New Zealand, Sweden, the UK | Post-hoc analysis of data from phase III clinical trial | Paclitaxel | Ovarian cancer | 502 | 61 | 502 (100) |
| Ref | Types/ Symptoms of HSRs | Chemotherapy Regimens | Evaluated Risk Factors: OR (95% CI) or p-Value |
|---|---|---|---|
| [30] | Hypotension, dyspnea, hypoxia, anaphylaxis, chest pain, facial flushing, and generalized urticaria | Weekly/3-weekly PTX + carboplatin, PTX + cisplatin, Weekly PTX alone |
|
| [31] | Grade ≥ 2 infusion related reactions graded by NCI CTCAE version 4.0 | PTX + monoclonal antibody, PTX alone, PTX + doxorubicin, PTX + doxorubicin + monoclonal antibody, DTX + doxorubicin + cyclophosphamide, DTX + cyclophosphamide, DTX + monoclonal antibody, DTX alone | Genetic polymorphism
|
| [33] | Cutaneous (rash, flushing and pruritus), neuromuscular (low back pain, headache and vision problems), respiratory symptoms (dyspnea, chest tightness and oxygen desaturation) and gastrointestinal symptoms (nausea and abdominal pain), cardiovascular symptoms (hypertension and presyncope), oropharyngeal symptoms (drowning) and general symptoms (chills) The reaction according to Brown’s classification, | PTX alone |
|
| [24] | Hyper-or hypotension, angioedema, flushing, generalized pruritus, hypertension, dyspnea, or chest pain | - |
|
| [34] | Anaphylaxis | DTX alone, DTX + trastuzumab, DTX + cyclophosphamide, DTX + pertuzumab + trastuzumab, DTX + doxorubicin + cyclophosphamide |
|
| [25] | Rash | DTX alone |
|
| [35] | Allergic reactions graded by NCI CTCAE version 3.0 | PTX + carboplatin |
|
| [18] | Flushing, chest pain, respiratory distress, hypertension, back pain, pruritis, tachycardia, visual disturbance, hypotension, headache, rash, cardiopulmonary arrest, tonic-clonic seizure, bradycardia, emesis, paresthesia severe hypersensitivity reaction was defined as a combined NCIC-CTG toxicity score_6 or a single life-threatening event with an NCIC-CTG toxicity score of 4 | - |
|
| [36] | Infusion related reactions graded by NCI CTCAE version 5 | - |
|
| [42] | Hypersensitivity reactions including flushing and chest discomfort graded by NCI CTCAE version 3 | PTX alone ± trastuzumab |
|
| [37] | Hypersensitivity reaction | PTX + carboplatin, PTX alone, Carboplatin alone, PTX + ifosfamide + platins, and others |
|
| [38] | Acute dyspnea, flushing of the face, chest constraint, hypotension and rash | - | Age (p = 0.1141), Metastasis (p = 0.5422), Histotype: ductal, lobular, mixed, apocrine, medullary, micropapillary, metaplastic, poorly differentiated adenocarcinoma (p = 0.8410), Genetic polymorphism: ABCB1 1236 C>T (p = 0.3977), ABCB1 2677 G>T/A (p = 0.1704), CYP2C8 416 G>A (p = 0.8204), CYP2C8 792 C>G (p = 0.1122), CYP2C8 1196 A>G (p = 0.6858), and CYP1B1 4326 C>G (p = 0.0015) |
| [39] | Facial flushing, dyspnea, chest discomfort, hypotension, diaphoresis, hypertension, chest pain, cough, vomiting | PTX + carboplatin |
|
| [27] | Skin rash, dyspnea, back pain, discomfort, hot flush, angioedema, low blood pressure, tachycardia, nausea/vomiting, high blood pressure, chest tightness, epigastralgia, abdominal pain, pelvic pain, headaches, throat irritation | Weekly/3, 4-weekly PTX alone, PTX + carboplatin, PTX + monoclonal antibody, PTX + immune checkpoint inhibitor ± chemotherapy, PTX + carboplatin + monoclonal antibody, PTX + cisplatin or oxaliplatin ± chemotherapy |
second cycle (vs. ≥4 cycles): 16.7 (4.4–62.8) third cycle (vs. ≥4 cycles): 10.6 (2.6–42.7) |
| [40] | Flushing, dyspnea, pruritis, hypertension, tachycardia, bronchospasm, hypotension, anaphylaxis, nausea vomiting, abdominal pain determined in accordance with NCI CTCAE v4.03. | - |
|
| [41] | Flushing, pruritis, maculopapular rash, angioedema, nausea, vomiting, discomfort, pain (chest, abdominal, back, headache), hypotension, hypertension, tachycardia, anaphylaxis graded by NCI CTCAE version 4.03 or 5.0 | PTX + carboplatin, PTX + cisplatin, PTX alone, PTX + ifosfamide, PTX + carboplatin + bevacizumab |
|
| [28] | Infusion related reactions graded by NCI CTCAE | - |
|
| [21] | Skin, respiratory, GI, cardiovascular, and other symptoms | Taxane + platins |
|
Disclaimer/Publisher’s Note: The statements, opinions and data contained in all publications are solely those of the individual author(s) and contributor(s) and not of MDPI and/or the editor(s). MDPI and/or the editor(s) disclaim responsibility for any injury to people or property resulting from any ideas, methods, instructions or products referred to in the content. |
© 2024 by the authors. Licensee MDPI, Basel, Switzerland. This article is an open access article distributed under the terms and conditions of the Creative Commons Attribution (CC BY) license (https://creativecommons.org/licenses/by/4.0/).
Share and Cite
Park, H.J.; Ko, M.; Kim, I.-W.; Oh, J.M. Personalized Risk Assessment for Taxane-Induced Hypersensitivity Reactions: A Systematic Review and Meta-Analysis. J. Pers. Med. 2025, 15, 2. https://doi.org/10.3390/jpm15010002
Park HJ, Ko M, Kim I-W, Oh JM. Personalized Risk Assessment for Taxane-Induced Hypersensitivity Reactions: A Systematic Review and Meta-Analysis. Journal of Personalized Medicine. 2025; 15(1):2. https://doi.org/10.3390/jpm15010002
Chicago/Turabian StylePark, Hyun Jin, Minoh Ko, In-Wha Kim, and Jung Mi Oh. 2025. "Personalized Risk Assessment for Taxane-Induced Hypersensitivity Reactions: A Systematic Review and Meta-Analysis" Journal of Personalized Medicine 15, no. 1: 2. https://doi.org/10.3390/jpm15010002
APA StylePark, H. J., Ko, M., Kim, I.-W., & Oh, J. M. (2025). Personalized Risk Assessment for Taxane-Induced Hypersensitivity Reactions: A Systematic Review and Meta-Analysis. Journal of Personalized Medicine, 15(1), 2. https://doi.org/10.3390/jpm15010002

