General Anesthesia Improves Efficiency of High-Power Short-Duration Catheter Ablation for Atrial Fibrillation: Comparison with Mild Conscious Sedation
Abstract
1. Introduction
2. Method
2.1. Patient Population
2.2. Ablation Procedure
2.3. Anesthesia Protocol
2.4. Follow-Up
2.5. Statistical Analysis
3. Results
4. Discussion
5. Study Limitations
6. Conclusions
Author Contributions
Funding
Institutional Review Board Statement
Informed Consent Statement
Data Availability Statement
Conflicts of Interest
References
- Hindricks, G.; Potpara, T.; Dagres, N.; Arbelo, E.; Bax, J.J.; Blomström-Lundqvist, C.; Boriani, G.; Castella, M.; Dan, J.-A.; Dilaveris, P.E.; et al. 2020 ESC Guidelines for the diagnosis and management of atrial fibrillation developed in collaboration with the European Association for Cardio-Thoracic Surgery (EACTS). Eur. Heart. J. 2021, 42, 373–498. [Google Scholar] [CrossRef] [PubMed]
- Joglar, J.A.; Chung, M.K.; Armbruster, A.L.; Benjamin, E.J.; Chyou, J.Y.; Cronin, E.M.; Deswal, A.; Eckhardt, L.L.; Goldberger, Z.D.; Gopinathannair, R.; et al. 2023 ACC/AHA/ACCP/HRS Guideline for the Diagnosis and Management of Atrial Fibrillation: A Report of the American College of Cardiology/American Heart Association Joint Committee on Clinical Practice Guidelines. Circulation 2024, 149, 109–279. [Google Scholar] [CrossRef] [PubMed]
- Tzeis, S.; Gerstenfeld, E.P.; Kalman, J.; Saad, E.B.; Shamloo, A.S.; Andrade, J.G.; Barbhaiya, C.R.; Baykaner, T.; Boveda, S.; Calkins, H.; et al. 2024 European Heart Rhythm Association/Heart Rhythm Society/Asia Pacific Heart Rhythm Society/Latin American Heart Rhythm Society expert consensus statement on catheter and surgical ablation of atrial fibrillation. Europace 2024, 26, euae043. [Google Scholar] [CrossRef] [PubMed]
- Li, K.H.C.; Sang, T.; Gong, M.; Liu, Y.; Jesuthasan, A.; Li, G.; Liu, T.; Lam, M.H.S.; Wu, W.K.; Chan, M.T.V.; et al. Anaesthesia use in catheter ablation for atrial fibrillation: A systematic review and meta-analysis of observational studies. Heart Asia 2019, 11, e011155. [Google Scholar] [CrossRef] [PubMed]
- Kotadia, I.D.; Williams, S.E.; O’Neill, M. High-power, short-duration radiofrequency ablation for the treatment of AF. Arrhythm. Electrophysiol. Rev. 2019, 8, 265–272. [Google Scholar] [CrossRef]
- Winkle, R.A.; Mohanty, S.; Patrawala, R.A.; Mead, R.H.; Kong, M.H.; Engel, G.; Salcedo, J.; Trivedi, C.G.; Gianni, C.; Jais, P.; et al. Low complication rates using high power (45–50 W) for short duration for atrial fibrillation ablations. Heart Rhythm 2019, 16, 165–169. [Google Scholar] [CrossRef] [PubMed]
- Chikata, A.; Kato, T.; Yaegashi, T.; Sakagami, S.; Kato, C.; Saeki, T.; Kawai, K.; Takashima, S.-I.; Murai, H.; Usui, S.; et al. General anesthesia improves contact force and reduces gap formation in pulmonary vein isolation: A comparison with conscious sedation. Heart Vessel. 2017, 32, 997–1005. [Google Scholar] [CrossRef] [PubMed]
- Sanders, D.J.; Wasserlauf, J. Holding still for AF ablation. J. Cardiovasc. Electrophysiol. 2022, 33, 1723–1724. [Google Scholar] [CrossRef] [PubMed]
- Di Biase, L.; Conti, S.; Mohanty, P.; Bai, R.; Sanchez, J.; Walton, D.; John, A.; Santangeli, P.; Elayi, C.S.; Beheiry, S.; et al. General anesthesia reduces the prevalence of pulmonary vein reconnection during repeat ablation when compared with conscious sedation: Results from a randomized study. Heart Rhythm 2011, 8, 368–372. [Google Scholar] [CrossRef]
- Chu, G.; Calvert, P.; Sidhu, B.; Mavilakandy, A.; Kotb, A.; Tovmassian, L.; Kozhuharov, N.; Biermé, C.; Denham, N.; Pius, C.; et al. Patient experience of very high power short duration radiofrequency ablation for atrial fibrillation under mild conscious sedation. J. Interv. Card. Electrophysiol. 2023, 66, 445–453. [Google Scholar] [CrossRef] [PubMed]
- Poggi, S.; Strisciuglio, T.; Iuliano, A.; Spiniello, G.; Schillaci, V.; De Simone, A.; Stabile, G.; Solimene, F. Peri-procedural anesthesia and patient pain experience in pulmonary vein isolation by means of very high power short duration radiofrequency ablation. Europace 2023, 25 (Suppl. 1), euad122.744. [Google Scholar] [CrossRef]
- Malcolme-Lawes, L.C.; Lim, P.B.; Koa-Wing, M.; I Whinnett, Z.; Jamil-Copley, S.; Hayat, S.; Francis, D.P.; Kojodjojo, P.; Davies, D.W.; Peters, N.S.; et al. Robotic assistance and general anaesthesia improve catheter stability and increase signal attenuation during atrial fibrillation ablation. Europace 2013, 15, 41–47. [Google Scholar] [CrossRef] [PubMed]
- Garcia, R.; Waldmann, V.; Vanduynhoven, P.; Nesti, M.; Jansen de Oliveira Figueiredo, M.; Narayanan, K.; Conte, G.; Guerra, J.M.; Boveda, S.; Duncker, D. Worldwide sedation strategies for atrial fibrillation ablation: Current status and evolution over the last decade. Europace 2021, 23, 2039–2045. [Google Scholar] [CrossRef] [PubMed]
- Thomas, S.P.; Thakkar, J.; Kovoor, P.; Thiagalingam, A.; Ross, D.L. Sedation for electrophysiological procedures. PACE—Pacing Clin. Electrophysiol. 2014, 37, 781–790. [Google Scholar] [CrossRef]
- Kuno, S.; Kuno, S.; Nakano, Y.; Nakano, Y.; Suzuki, Y.; Suzuki, Y.; Ando, H.; Ando, H.; Suzuki, W.; Suzuki, W.; et al. Impact of general anesthesia on ablation catheter stability during pulmonary vein isolation based on a novel measurement approach. Sci. Rep. 2023, 13, 17204. [Google Scholar] [CrossRef] [PubMed]
- A Martin, C.; Curtain, J.P.; Gajendragadkar, P.R.; A Begley, D.; Fynn, S.P.; A Grace, A.; Heck, P.M.; Salaunkey, K.; Virdee, M.S.; Agarwal, S. Improved outcome and cost effectiveness in ablation of persistent atrial fibrillation under general anaesthetic. Europace 2018, 20, 935–942. [Google Scholar] [CrossRef] [PubMed]
- Liuba, I.; Santangeli, P. High-power short-duration ablation of atrial fibrillation: Learning to master the power. J. Interv. Card. Electrophysiol. 2024, 67, 227–229. [Google Scholar] [CrossRef]
- Yokokawa, M.; Chugh, A.; Dubovoy, A.; Engoren, M.; Jongnarangsin, K.; Latchamsetty, R.; Ghanbari, H.; Saeed, M.; Cunnane, R.; Crawford, T.; et al. A comparison of clinical outcomes and cost of radiofrequency catheter ablation for atrial fibrillation with monitored anesthesia care versus general anesthesia. J. Cardiovasc. Electrophysiol. 2022, 33, 1714–1722. [Google Scholar] [CrossRef] [PubMed]
- Wasserlauf, J.; Knight, B.P.; Li, Z.; Andrei, A.; Arora, R.; Chicos, A.B.; Goldberger, J.J.; Kim, S.S.; Lin, A.C.; Verma, N.; et al. Moderate Sedation Reduces Lab Time Compared to General Anesthesia during Cryoballoon Ablation for AF without Compromising Safety or Long-Term Efficacy. PACE—Pacing Clin. Electrophysiol. 2016, 39, 1359–1365. [Google Scholar] [CrossRef] [PubMed]




| GROUP 1 (n = 47) | GROUP 2 (n = 84) | p-Value | |
|---|---|---|---|
| Age (years old) | 58.6 ± 10.6 | 60.2 ± 10.2 | 0.41 |
| Gender (males, N, %) | 32 (68%) | 55 (65.4%) | 0.76 |
| Type of AF (paroxysmal, N, %) | 34 (72.3%) | 68 (80.9%) | 0.26 |
| Left atrial diameter (mm) | 41.5 ± 5.7 | 40.2 ± 10.2 | 0.15 |
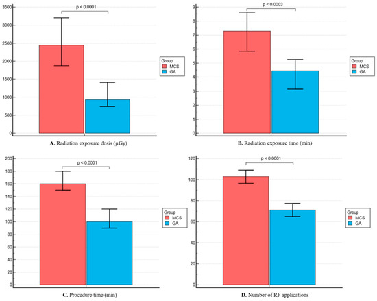
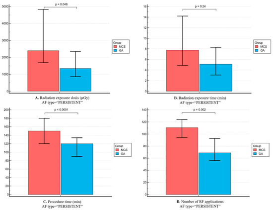
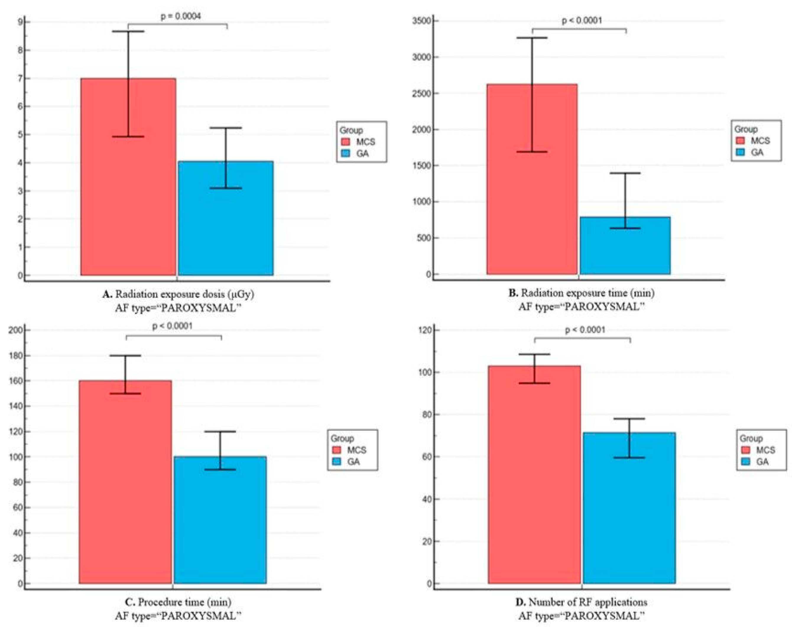
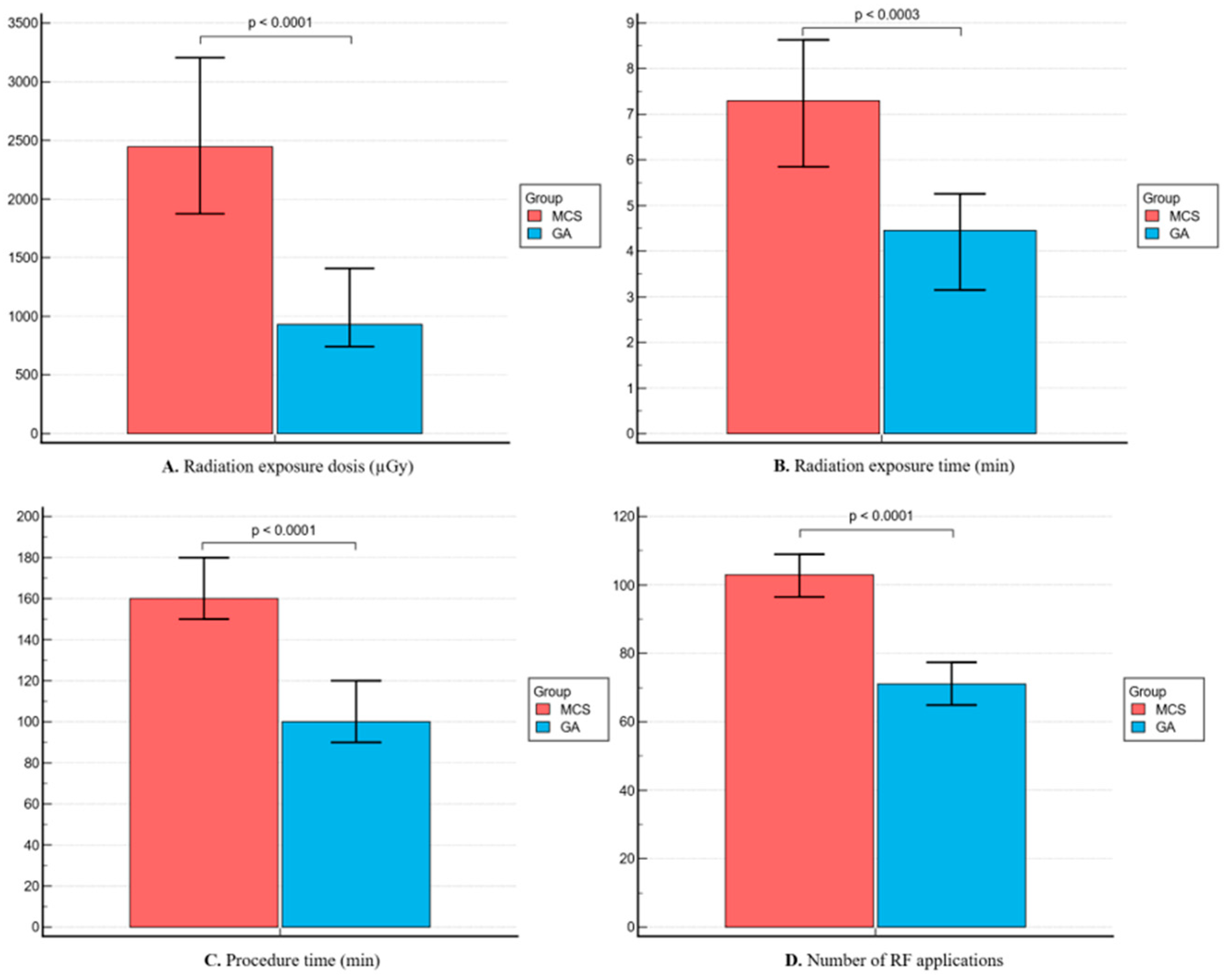
| Radiation exposure dosis (μGy) | 932.5 [625–1716] | 2445 [1228–4791] | <0.0001 |
| Radiation exposure time (min) | 4.5 [3–7.1] | 7.3 [4.2–13.5] | 0.0003 |
| Procedure time (min) | 100 [90–120] | 160 [130–180] | <0.0001 |
| Number of RF applications | 71 [54.8–83.8] | 103 [88.5–120.5] | <0.0001 |
| Antiarrhythmic drugs, N (%) | |||
| Amiodarone | 20 (42.6) | 36 (42.9) | 0.97 |
| Propafenone | 5 (10.6) | 18 (21.4) | 0.13 |
| Flecainide | 20 (42.6) | 29 (34.5) | 0.36 |
| Hypertension | 27 (57.4) | 60 (71.4) | 0.11 |
| Diabetes mellitus | 9 (19.1) | 14 (16.7) | 0.72 |
| Ischemic heart disease | 6 (12.8) | 12 (14.3) | 0.81 |
| Heart failure | 8 (17) | 11 (13.1) | 0.54 |
| Mitral regurgitation | 4 (8.5) | 14 (16.7) | 0.20 |
| Obesity | 11 (23.4) | 23 (27.4) | 0.62 |
| COPD | 3 (6.4) | 6 (7.1) | 0.87 |
| Chronic kidney disease | 0 (0) | 2 (2.4) | 0.29 |
| 6-month AF recurrence rate, N (%) | 10 (21.3) | 28 (33.3) | 0.15 |
| Variable | OR | 95%CI | p |
|---|---|---|---|
| Use of GA | 0.55 | 0.24 to 1.24 | 0.15 |
| Left atrial diameter (mm) | 1.18 | 1.08 to 1.28 | 0.0003 |
| Number of RF applications | 1.01 | 1.0009 to 1.03 | 0.03 |
| Persistent AF | 4.47 | 1.87 to 10.69 | 0.0007 |
| Amiodarone | 2.05 | 0.95 to 4.40 | 0.07 |
| Propafenone | 0.46 | 0.15 to 1.45 | 0.18 |
| Flecainide | 0.82 | 0.37 to 1.81 | 0.63 |
| Hypertension | 1.94 | 0.82 to 4.58 | 0.13 |
| Mitral regurgitation | 3.79 | 1.36 to 10.56 | 0.01 |
| OR | 95%CI | p | |
|---|---|---|---|
| All patients | |||
| Use of GA | 0.57 | 0.19 to 1.70 | 0.31 |
| Left atrial diameter (mm) | 1.09 | 0.99 to 1.21 | 0.09 |
| Number of RF applications | 1.001 | 0.98 to 1.02 | 0.88 |
| Persistent AF | 3.33 | 1.19 to 9.32 | 0.02 |
| Mitral regurgitation | 2.42 | 0.76 to 7.66 | 0.13 |
| Paroxysmal AF | |||
| Use of GA | 0.34 | 0.08 to 1.50 | 0.16 |
| Left atrial diameter (mm) | 1.17 | 1.03 to 1.33 | 0.01 |
| Number of RF applications | 0.99 | 0.97 to 1.01 | 0.49 |
| Mitral regurgitation | 3.49 | 0.94 to 12.96 | 0.06 |
| Persistent AF | |||
| Use of GA | 0.80 | 0.13 to 4.82 | 0.81 |
| Left atrial diameter (mm) | 0.91 | 0.72 to 1.15 | 0.44 |
| Number of RF applications | 1.02 | 0.99 to 1.05 | 0.21 |
| Mitral regurgitation | 1.67 | 0.17 to 16.14 | 0.66 |
Disclaimer/Publisher’s Note: The statements, opinions and data contained in all publications are solely those of the individual author(s) and contributor(s) and not of MDPI and/or the editor(s). MDPI and/or the editor(s) disclaim responsibility for any injury to people or property resulting from any ideas, methods, instructions or products referred to in the content. |
© 2024 by the authors. Licensee MDPI, Basel, Switzerland. This article is an open access article distributed under the terms and conditions of the Creative Commons Attribution (CC BY) license (https://creativecommons.org/licenses/by/4.0/).
Share and Cite
Minciună, I.-A.; Tomoaia, R.; Suceveanu, M.; Cismaru, G.; Puiu, M.; Roșu, R.; Simu, G.; Irimie, D.A.; Frîngu, F.; Caloian, B.; et al. General Anesthesia Improves Efficiency of High-Power Short-Duration Catheter Ablation for Atrial Fibrillation: Comparison with Mild Conscious Sedation. J. Pers. Med. 2024, 14, 865. https://doi.org/10.3390/jpm14080865
Minciună I-A, Tomoaia R, Suceveanu M, Cismaru G, Puiu M, Roșu R, Simu G, Irimie DA, Frîngu F, Caloian B, et al. General Anesthesia Improves Efficiency of High-Power Short-Duration Catheter Ablation for Atrial Fibrillation: Comparison with Mild Conscious Sedation. Journal of Personalized Medicine. 2024; 14(8):865. https://doi.org/10.3390/jpm14080865
Chicago/Turabian StyleMinciună, Ioan-Alexandru, Raluca Tomoaia, Mihai Suceveanu, Gabriel Cismaru, Mihai Puiu, Radu Roșu, Gelu Simu, Diana Andrada Irimie, Florina Frîngu, Bogdan Caloian, and et al. 2024. "General Anesthesia Improves Efficiency of High-Power Short-Duration Catheter Ablation for Atrial Fibrillation: Comparison with Mild Conscious Sedation" Journal of Personalized Medicine 14, no. 8: 865. https://doi.org/10.3390/jpm14080865
APA StyleMinciună, I.-A., Tomoaia, R., Suceveanu, M., Cismaru, G., Puiu, M., Roșu, R., Simu, G., Irimie, D. A., Frîngu, F., Caloian, B., Andronache, M., Zdrenghea, D., & Pop, D. (2024). General Anesthesia Improves Efficiency of High-Power Short-Duration Catheter Ablation for Atrial Fibrillation: Comparison with Mild Conscious Sedation. Journal of Personalized Medicine, 14(8), 865. https://doi.org/10.3390/jpm14080865
