Hemoglobin, Ferritin, and Lactate Dehydrogenase as Predictive Markers for Neonatal Sepsis
Abstract
1. Introduction
2. Materials and Methods
2.1. Study Design and Settings
2.2. Study Design and Settings
2.3. Variables, Data Sources, and Measurement
2.4. Statistical Analysis
3. Results
3.1. Baseline Characteristiscs
3.2. Baseline Characteristiscs
4. Discussion
5. Conclusions
Author Contributions
Funding
Institutional Review Board Statement
Informed Consent Statement
Data Availability Statement
Conflicts of Interest
References
- Singh, M.; Alsaleem, M.; Gray, C.P. Neonatal Sepsis. In StatPearls; StatPearls Publishing: Treasure Island, FL, USA, 2024. [Google Scholar]
- Wynn, J.L. Defining Neonatal Sepsis. Curr. Opin. Pediatr. 2016, 28, 135–140. [Google Scholar] [CrossRef] [PubMed]
- Simonsen, K.A.; Anderson-Berry, A.L.; Delair, S.F.; Davies, H.D. Early-Onset Neonatal Sepsis. Clin. Microbiol. Rev. 2014, 27, 21–47. [Google Scholar] [CrossRef]
- Klinger, G.; Levy, I.; Sirota, L.; Boyko, V.; Lerner-Geva, L.; Reichman, B.; Israel Neonatal Network. Outcome of Early-Onset Sepsis in a National Cohort of Very Low Birth Weight Infants. Pediatrics 2010, 125, e736–e740. [Google Scholar] [CrossRef] [PubMed]
- Stoll, B.J.; Hansen, N.; Fanaroff, A.A.; Wright, L.L.; Carlo, W.A.; Ehrenkranz, R.A.; Lemons, J.A.; Donovan, E.F.; Stark, A.R.; Tyson, J.E.; et al. Late-Onset Sepsis in Very Low Birth Weight Neonates: The Experience of the NICHD Neonatal Research Network. Pediatrics 2002, 110, 285–291. [Google Scholar] [CrossRef] [PubMed]
- Stoll, B.J. Neurodevelopmental and Growth Impairment among Extremely Low-Birth-Weight Infants with Neonatal Infection. JAMA 2004, 292, 2357. [Google Scholar] [CrossRef] [PubMed]
- Van Der Ree, M.; Tanis, J.C.; Van Braeckel, K.N.J.A.; Bos, A.F.; Roze, E. Functional Impairments at School Age of Preterm Born Children with Late-Onset Sepsis. Early Hum. Dev. 2011, 87, 821–826. [Google Scholar] [CrossRef][Green Version]
- Hayes, R.; Hartnett, J.; Semova, G.; Murray, C.; Murphy, K.; Carroll, L.; Plapp, H.; Hession, L.; O’Toole, J.; McCollum, D.; et al. Neonatal Sepsis Definitions from Randomised Clinical Trials. Pediatr. Res. 2023, 93, 1141–1148. [Google Scholar] [CrossRef]
- Garg, P.M.; Paschal, J.L.; Ansari, M.A.Y.; Block, D.; Inagaki, K.; Weitkamp, J.-H. Clinical Impact of NEC-Associated Sepsis on Outcomes in Preterm Infants. Pediatr. Res. 2022, 92, 1705–1715. [Google Scholar] [CrossRef] [PubMed]
- Parra-Llorca, A.; Pinilla-Gonzlez, A.; Torrejón-Rodríguez, L.; Lara-Cantón, I.; Kuligowski, J.; Collado, M.C.; Gormaz, M.; Aguar, M.; Vento, M.; Serna, E.; et al. Effects of Sepsis on Immune Response, Microbiome and Oxidative Metabolism in Preterm Infants. Children 2023, 10, 602. [Google Scholar] [CrossRef]
- Kingsley Manoj Kumar, S.; Vishnu Bhat, B. Current Challenges and Future Perspectives in Neonatal Sepsis. Pediatr. Infect. Dis. 2015, 7, 41–46. [Google Scholar] [CrossRef]
- Bedford Russell, A.R.; Kumar, R. Early Onset Neonatal Sepsis: Diagnostic Dilemmas and Practical Management. Arch. Dis. Child. Fetal Neonatal Ed. 2015, 100, F350–F354. [Google Scholar] [CrossRef] [PubMed]
- Coggins, S.A.; Weitkamp, J.-H.; Grunwald, L.; Stark, A.R.; Reese, J.; Walsh, W.; Wynn, J.L. Heart Rate Characteristic Index Monitoring for Bloodstream Infection in an NICU: A 3-Year Experience. Arch. Dis. Child. Fetal Neonatal Ed. 2016, 101, F329–F332. [Google Scholar] [CrossRef]
- Benitz, W.E. Adjunct Laboratory Tests in the Diagnosis of Early-Onset Neonatal Sepsis. Clin. Perinatol. 2010, 37, 421–438. [Google Scholar] [CrossRef]
- Algebaly, H.; Abd-Elal, A.; Kaffas, R.; Ahmed, E. Predictive Value of Serum Lactate Dehydrogenase in Diagnosis of Septic Shock in Critical Pediatric Patients: A Cross-Sectional Study. J. Acute Dis. 2021, 10, 107. [Google Scholar] [CrossRef]
- Zein, J.G.; Lee, G.L.; Tawk, M.; Dabaja, M.; Kinasewitz, G.T. Prognostic Significance of Elevated Serum Lactate Dehydrogenase (LDH) in Patients with Severe Sepsis. Chest 2004, 126, 873S. [Google Scholar] [CrossRef]
- Kang, H.E.; Park, D.W. Lactate as a Biomarker for Sepsis Prognosis? Infect. Chemother. 2016, 48, 252. [Google Scholar] [CrossRef] [PubMed]
- McCullough, K.; Bolisetty, S. Iron Homeostasis and Ferritin in Sepsis-Associated Kidney Injury. Nephron 2020, 144, 616–620. [Google Scholar] [CrossRef]
- Fang, Y.-P.; Zhang, H.-J.; Guo, Z.; Ren, C.-H.; Zhang, Y.-F.; Liu, Q.; Wang, Z.; Zhang, X. Effect of Serum Ferritin on the Prognosis of Patients with Sepsis: Data from the MIMIC-IV Database. Emerg. Med. Int. 2022, 2022, 2104755. [Google Scholar] [CrossRef]
- Chen, Y.; Chen, L.; Meng, Z.; Li, Y.; Tang, J.; Liu, S.; Li, L.; Zhang, P.; Chen, Q.; Liu, Y. The Correlation of Hemoglobin and 28-Day Mortality in Septic Patients: Secondary Data Mining Using the MIMIC-IV Database. BMC Infect. Dis. 2023, 23, 417. [Google Scholar] [CrossRef]
- Peng, H.; Su, Y.; Luo, J.; Ding, N. Association between Admission Hemoglobin Level and Prognosis in Sepsis Patients Based on a Critical Care Database. Sci. Rep. 2024, 14, 5212. [Google Scholar] [CrossRef]
- Stoicescu, E.R.; Manolescu, D.L.; Iacob, R.; Cerbu, S.; Dima, M.; Iacob, E.R.; Ciuca, I.M.; Oancea, C.; Iacob, D. The Assessment of COVID-19 Pneumonia in Neonates: Observed by Lung Ultrasound Technique and Correlated with Biomarkers and Symptoms. J. Clin. Med. 2022, 11, 3555. [Google Scholar] [CrossRef]
- Kell, D.B.; Pretorius, E. Serum Ferritin Is an Important Inflammatory Disease Marker, as It Is Mainly a Leakage Product from Damaged Cells. Metallomics 2014, 6, 748–773. [Google Scholar] [CrossRef] [PubMed]
- Belachew, A.; Tewabe, T. Neonatal Sepsis and Its Association with Birth Weight and Gestational Age among Admitted Neonates in Ethiopia: Systematic Review and Meta-Analysis. BMC Pediatr. 2020, 20, 55. [Google Scholar] [CrossRef] [PubMed]
- Utomo, M.; Harum, N.; Nurrosyida, K.; Arif Sampurna, M.; Yuliaputri Aden, T. The Association between Birth Route and Early/Late Onset Neonatal Sepsis in Term Infants: A Case-Control Study in the NICU of a Tertiary Hospital in East Java, Indonesia. IJN 2022, 13, 11–16. [Google Scholar] [CrossRef]
- Hornik, C.P.; Fort, P.; Clark, R.H.; Watt, K.; Benjamin, D.K.; Smith, P.B.; Manzoni, P.; Jacqz-Aigrain, E.; Kaguelidou, F.; Cohen-Wolkowiez, M. Early and Late Onset Sepsis in Very-Low-Birth-Weight Infants from a Large Group of Neonatal Intensive Care Units. Early Hum. Dev. 2012, 88, S69–S74. [Google Scholar] [CrossRef] [PubMed]
- Van Anh, T.N.; Kiem Hao, T.; Huu Hoang, H. The Role of Plasma Lactate Dehydrogenase Testing in the Prediction of Severe Conditions in Newborn Infants: A Prospective Study. RRN 2020, 10, 31–35. [Google Scholar] [CrossRef]
- Samuel, M.; Latha, R.; Kavitha, K.; Sivasubramanian, V. A Study on Biomarkers of Sepsis and Potential Role of Procalcitonin and Ferritin Marker in Diagnosis, Prognosis and Treatment. J. Fam. Med. Prim. Care 2022, 11, 2608. [Google Scholar] [CrossRef] [PubMed]
- Hisano, T.; Okada, J.; Tsuda, K.; Iwata, S.; Saitoh, S.; Iwata, O. Control Variables of Serum Ferritin Concentrations in Hospitalized Newborn Infants: An Observational Study. Sci. Rep. 2023, 13, 8424. [Google Scholar] [CrossRef] [PubMed]
- Mittal, K.; Aggarwal, A. 670: SERUM FERRITIN AS MARKER OF NEONATAL SEPSIS AND RELATIONSHIP WITH C-REACTIVE PROTEIN. Crit. Care Med. 2019, 47, 315. [Google Scholar] [CrossRef]
- Shaikh, G.N.; Ramamoorthy, J.G.; Parameswaran, N.; Senthilkumar, G.P. Serum Ferritin for Predicting Outcome in Children with Severe Sepsis in the Pediatric Intensive Care Unit. Indian. Pediatr. 2022, 59, 939–942. [Google Scholar] [CrossRef]
- Sucianto, A.; Pudjiastuti, P.; Kawuryan, D.L. The Role of Ferritin Serum Level as Predictor Sepsis Mortality on Children in Dr. Moewardi Hospital of Surakarta. J. Matern. Child. Health 2023, 8, 210–216. [Google Scholar] [CrossRef]
- Goldenberg, R.L.; Mercer, B.M.; Miodovnik, M.; Thurnau, G.R.; Meis, P.J.; Moawad, A.; Paul, R.H.; Bottoms, S.F.; Das, A.; Roberts, J.M.; et al. Plasma Ferritin, Premature Rupture of Membranes, and Pregnancy Outcome. Am. J. Obstet. Gynecol. 1998, 179, 1599–1604. [Google Scholar] [CrossRef] [PubMed]
- Aslamzai, M.; Danish, Y.; Hakimi, T.; Jawadi, B. Evaluation of the Factors Associated with Anemia in Neonates Admitted to the Neonatal Unit of Maiwand Teaching Hospital: A Cross-Sectional Study. Glob. Pediatr. 2024, 8, 100164. [Google Scholar] [CrossRef]
- Jansma, G.; De Lange, F.; Kingma, W.P.; Vellinga, N.A.; Koopmans, M.; Kuiper, M.A.; Boerma, E.C. ‘Sepsis-Related Anemia’ Is Absent at Hospital Presentation; a Retrospective Cohort Analysis. BMC Anesth. 2015, 15, 55. [Google Scholar] [CrossRef][Green Version]
- Adane, T.; Worku, M.; Tigabu, A.; Aynalem, M. Hematological Abnormalities in Culture Positive Neonatal Sepsis. PHMT 2022, 13, 217–225. [Google Scholar] [CrossRef] [PubMed]
- Worku, M.; Aynalem, M.; Biset, S.; Woldu, B.; Adane, T.; Tigabu, A. Role of Complete Blood Cell Count Parameters in the Diagnosis of Neonatal Sepsis. BMC Pediatr. 2022, 22, 411. [Google Scholar] [CrossRef]
- Cai, N.; Liao, W.; Chen, Z.; Tao, M.; Chen, S. A Decrease in Hb and Hypoproteinemia: Possible Predictors of Complications in Neonates with Late-Onset Sepsis in a Developing Country. IJGM 2022, 15, 6583–6589. [Google Scholar] [CrossRef]

| Variable | Total N = 86 | Sepsis N= 51 | No Sepsis N = 35 | p-Value |
|---|---|---|---|---|
| GA at delivery | 35 [5] | 34 [6] | 35 [6] | 0.22 |
| Infant weight (grams) | 2325 [1082.5] | 2380 [1180] | 2100.0 [890] | 0.69 |
| Male sex | 58 (67.4%) | 39 (76.5%) | 19 (54.3%) | 0.18 |
| Cesarean birth | 34 (39.5%) | 27 (52.9%) | 7 (20.0%) | 0.003 |
| Preterm birth | 70 (81.4%) | 45 (88.2%) | 25 (71.4%) | 0.08 |
| Fetal growth restriction | 32 (37.2%) | 15 (29.4%) | 17 (48.6%%) | 0.11 |
| APGAR score at 1 min | 7 [2] | 7 [3] | 7 [1] | 0.63 |
| Neonatal anemia (Hb < 13.5 g/dL) | 54 (62.8%) | 35 (68.6%) | 19 (54.3%) | 0.25 |
| Neonatal hemoglobin | 12.6 [3.6] | 11.90 [3.40] | 13.20 [3.10] | 0.05 |
| Neonatal serum ferritin | 278.5 [305.25] | 467 [200] | 167 [74] | <0.001 |
| LDH | 589 [401] | 847 [574] | 498 [143] | <0.001 |
| Maternal characteristics | ||||
| Parity | 2 [2] | 2 [3] | 2 [2] | 0.87 |
| Pregnancy-induced hypertension | 3 (3.5%) | 3 (6.0%) | - | NA |
| Gestational diabetes | 1 (1.2%) | - | 1 (2.9%) | NA |
| Premature rupture of membranes | 20 (23.3%) | 17 (33.3%) | 3 (8.6%) | 0.009 |
| Urinary tract infections | 30 (34.9%) | 30 (58.8%) | - | NA |
| Positive cervical culture | 8 (9.3%) | 8 (15.7%) | - | NA |
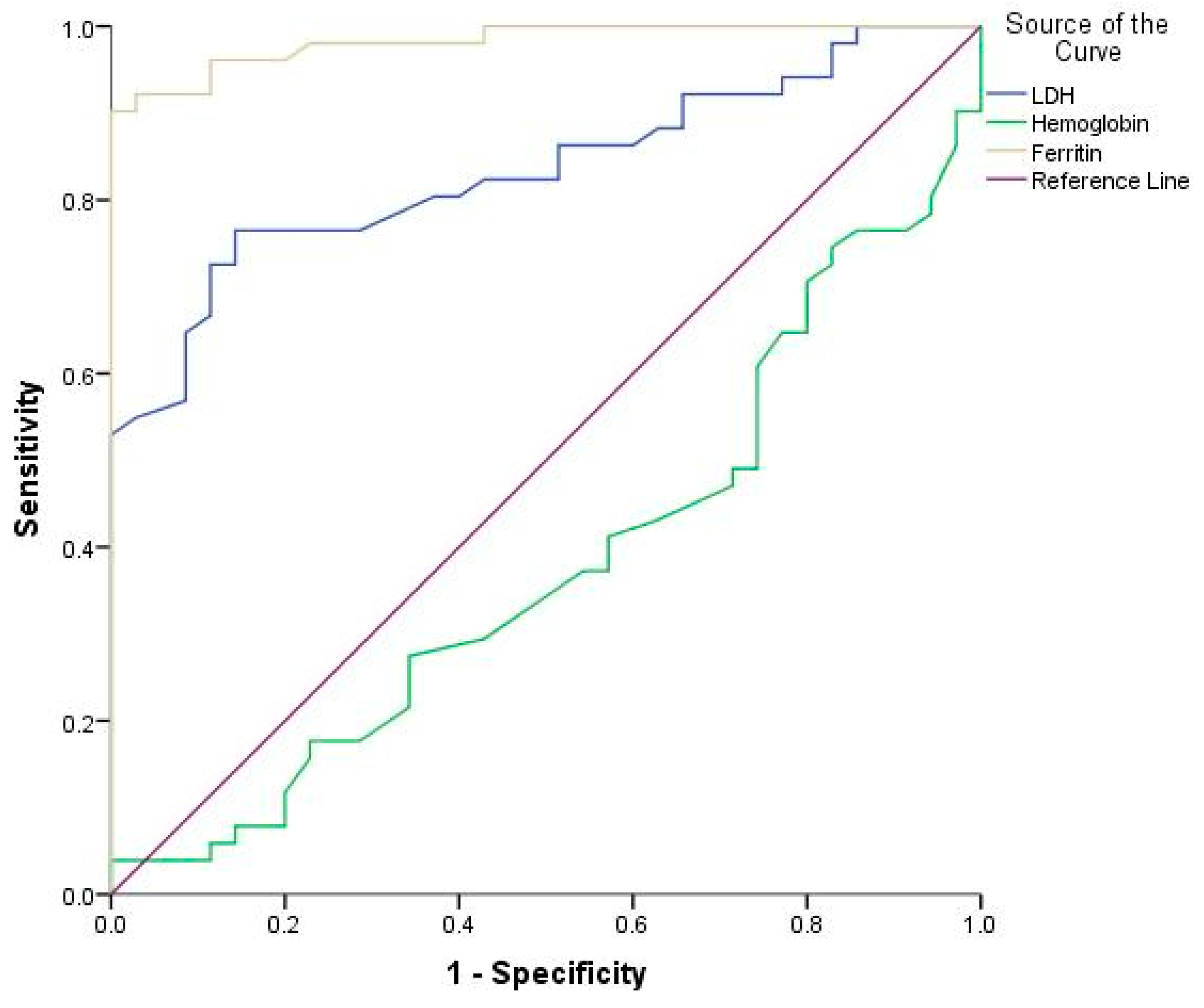
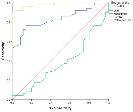
| Variable | AUC | 95%CI | Cut-Off | Youden | p-Value | Sensitivity | Specificity | |
|---|---|---|---|---|---|---|---|---|
| Lower | Upper | |||||||
| Hemoglobin | 0.380 | 0.260 | 0.499 | 16.85 | 0.039 | 0.059 | 39.5% | 97.1% |
| Ferritin | 0.982 | 0.961 | 1.00 | 248.5 | 0.893 | <0.001 | 92.2% | 97.1% |
| LDH | 0.834 | 0.750 | 0.918 | 589 | 0.622 | <0.001 | 76.5% | 85.7% |
| Biomarker | B | SE | p-Value | OR | 95%CI | |
|---|---|---|---|---|---|---|
| Lower | Upper | |||||
| Ferritin | 0.044 | 0.013 | 0.001 | 1.045 | 1.018 | 1.073 |
| LDH | 0.007 | 0.002 | <0.001 | 1.007 | 1.003 | 1.011 |
| Hemoglobin | −0.183 | 0.103 | 0.07 | 0.833 | 0.680 | 1.019 |
| Biomarker | B | SE | p-Value | aOR | 95%CI | |
|---|---|---|---|---|---|---|
| Lower | Upper | |||||
| Ferritin | 0.066 | 0.028 | 0.01 | 1.069 | 1.011 | 1.130 |
| LDH | 0.008 | 0.002 | <0.001 | 1.008 | 1.003 | 1.012 |
| Hemoglobin | −0.136 | 0.120 | 0.25 | 0.873 | 0.690 | 1.103 |
| Biomarker | B | SE | p-Value | OR | 95%CI | |
|---|---|---|---|---|---|---|
| Lower | Upper | |||||
| Ferritin > 248.5 | 7.122 | 1.809 | <0.001 | 1238.5 | 35.723 | 42,940.5 |
| LDH > 589 | 2.778 | 0.744 | <0.001 | 16.09 | 3.746 | 69.130 |
| Anemia (HB < 13.5) | 0.649 | 0.535 | 0.22 | 1.91 | 0.671 | 5.457 |
Disclaimer/Publisher’s Note: The statements, opinions and data contained in all publications are solely those of the individual author(s) and contributor(s) and not of MDPI and/or the editor(s). MDPI and/or the editor(s) disclaim responsibility for any injury to people or property resulting from any ideas, methods, instructions or products referred to in the content. |
© 2024 by the authors. Licensee MDPI, Basel, Switzerland. This article is an open access article distributed under the terms and conditions of the Creative Commons Attribution (CC BY) license (https://creativecommons.org/licenses/by/4.0/).
Share and Cite
Lungu, N.; Popescu, D.-E.; Manea, A.M.; Jura, A.M.C.; Doandes, F.M.; Popa, Z.L.; Gorun, F.; Citu, C.; Gruber, D.; Ciurescu, S.; et al. Hemoglobin, Ferritin, and Lactate Dehydrogenase as Predictive Markers for Neonatal Sepsis. J. Pers. Med. 2024, 14, 476. https://doi.org/10.3390/jpm14050476
Lungu N, Popescu D-E, Manea AM, Jura AMC, Doandes FM, Popa ZL, Gorun F, Citu C, Gruber D, Ciurescu S, et al. Hemoglobin, Ferritin, and Lactate Dehydrogenase as Predictive Markers for Neonatal Sepsis. Journal of Personalized Medicine. 2024; 14(5):476. https://doi.org/10.3390/jpm14050476
Chicago/Turabian StyleLungu, Nicoleta, Daniela-Eugenia Popescu, Aniko Maria Manea, Ana Maria Cristina Jura, Florina Marinela Doandes, Zoran Laurentiu Popa, Florin Gorun, Cosmin Citu, Denis Gruber, Sebastian Ciurescu, and et al. 2024. "Hemoglobin, Ferritin, and Lactate Dehydrogenase as Predictive Markers for Neonatal Sepsis" Journal of Personalized Medicine 14, no. 5: 476. https://doi.org/10.3390/jpm14050476
APA StyleLungu, N., Popescu, D.-E., Manea, A. M., Jura, A. M. C., Doandes, F. M., Popa, Z. L., Gorun, F., Citu, C., Gruber, D., Ciurescu, S., & Boia, M. (2024). Hemoglobin, Ferritin, and Lactate Dehydrogenase as Predictive Markers for Neonatal Sepsis. Journal of Personalized Medicine, 14(5), 476. https://doi.org/10.3390/jpm14050476

