Enhancing Lung Cancer Care in Portugal: Bridging Gaps for Improved Patient Outcomes
Abstract
1. Introduction
2. Screening
2.1. History of Lung Cancer Screening: What Is Currently Recommended?
2.2. Benefits and Risks of LDCT
3. Diagnosis
3.1. Histopathological Analysis
3.2. Molecular Analysis
3.3. TNM Classification
3.4. Treatment Options
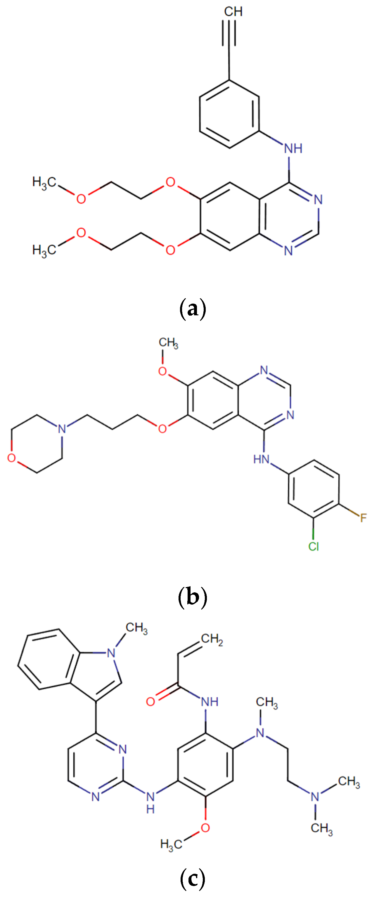
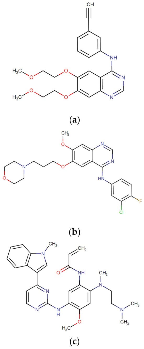
3.5. Drug Resistance
4. Disease Monitoring
5. Lung Cancer Research in Portugal
6. What Is Missing?—The Reality of a Lung Cancer Patient’s Journey in Portugal
7. Conclusions
Author Contributions
Funding
Institutional Review Board Statement
Informed Consent Statement
Data Availability Statement
Acknowledgments
Conflicts of Interest
References
- Ferlay, J.E.M.; Lam, F.; Laversanne, M.; Colombet, M.; Mery, L.; Piñeros, M.; Znaor, A.; Soerjomataram, I.; Bray, F. Global Cancer Observatory: Cancer Today; International Agency for Research on Cancer: Lyon, France, 2024; Available online: https://gco.iarc.who.int/today (accessed on 3 March 2024).
- Sung, H.; Ferlay, J.; Siegel, R.L.; Laversanne, M.; Soerjomataram, I.; Jemal, A.; Bray, F. Global Cancer Statistics 2020: GLOBOCAN Estimates of Incidence and Mortality Worldwide for 36 Cancers in 185 Countries. CA A Cancer J. Clin. 2021, 71, 209–249. [Google Scholar] [CrossRef] [PubMed]
- Schabath, M.B.; Cote, M.L. Cancer Progress and Priorities: Lung Cancer. Cancer Epidemiol. Biomark. Prev. 2019, 28, 1563–1579. [Google Scholar] [CrossRef] [PubMed]
- Bhopal, A.; Peake, M.D.; Gilligan, D.; Cosford, P. Lung cancer in never-smokers: A hidden disease. J. R. Soc. Med. 2019, 112, 269–271. [Google Scholar] [CrossRef] [PubMed]
- Zhang, T.; Joubert, P.; Ansari-Pour, N.; Zhao, W.; Hoang, P.H.; Lokanga, R.; Moye, A.L.; Rosenbaum, J.; Gonzalez-Perez, A.; Martínez-Jiménez, F.; et al. Genomic and evolutionary classification of lung cancer in never smokers. Nat. Genet. 2021, 53, 1348–1359. [Google Scholar] [CrossRef] [PubMed]
- Daylan, A.E.C.; Miao, E.; Tang, K.; Chiu, G.; Cheng, H. Lung Cancer in Never Smokers: Delving into Epidemiology, Genomic and Immune Landscape, Prognosis, Treatment, and Screening. Lung 2023, 201, 521–529. [Google Scholar] [CrossRef]
- LoPiccolo, J.; Gusev, A.; Christiani, D.C.; Jänne, P.A. Lung cancer in patients who have never smoked—An emerging disease. Nat. Rev. Clin. Oncol. 2024, 21, 121–146. [Google Scholar] [CrossRef] [PubMed]
- Ruano-Raviña, A.; Provencio, M.; Calvo de Juan, V.; Carcereny, E.; Moran, T.; Rodriguez-Abreu, D.; López-Castro, R.; Cuadrado Albite, E.; Guirado, M.; Gómez González, L.; et al. Lung cancer symptoms at diagnosis: Results of a nationwide registry study. ESMO Open 2020, 5, e001021. [Google Scholar] [CrossRef] [PubMed]
- Sharma, D.; Newman, T.G.; Aronow, W.S. Lung cancer screening: History, current perspectives, and future directions. Arch. Med. Sci. 2015, 11, 1033–1043. [Google Scholar] [CrossRef] [PubMed]
- Nooreldeen, R.; Bach, H. Current and Future Development in Lung Cancer Diagnosis. Int. J. Mol. Sci. 2021, 22, 8661. [Google Scholar] [CrossRef]
- Wolf, A.M.D.; Oeffinger, K.C.; Shih, T.Y.C.; Walter, L.C.; Church, T.R.; Fontham, E.T.H.; Elkin, E.B.; Etzioni, R.D.; Guerra, C.E.; Perkins, R.B.; et al. Screening for lung cancer: 2023 guideline update from the American Cancer Society. CA A Cancer J. Clin. 2024, 74, 50–81. [Google Scholar] [CrossRef]
- Prabhakar, B.; Shende, P.; Augustine, S. Current trends and emerging diagnostic techniques for lung cancer. Biomed. Pharmacother. 2018, 106, 1586–1599. [Google Scholar] [CrossRef]
- De Koning, H.J.; Van Der Aalst, C.M.; De Jong, P.A.; Scholten, E.T.; Nackaerts, K.; Heuvelmans, M.A.; Lammers, J.-W.J.; Weenink, C.; Yousaf-Khan, U.; Horeweg, N.; et al. Reduced Lung-Cancer Mortality with Volume CT Screening in a Randomized Trial. N. Engl. J. Med. 2020, 382, 503–513. [Google Scholar] [CrossRef]
- Jonas, D.E.; Reuland, D.S.; Reddy, S.M.; Nagle, M.; Clark, S.D.; Weber, R.P.; Enyioha, C.; Malo, T.L.; Brenner, A.T.; Armstrong, C.; et al. Screening for Lung Cancer with Low-Dose Computed Tomography: Updated Evidence Report and Systematic Review for the US Preventive Services Task Force. JAMA 2021, 325, 971–987. [Google Scholar] [CrossRef] [PubMed]
- Usman Ali, M.; Miller, J.; Peirson, L.; Fitzpatrick-Lewis, D.; Kenny, M.; Sherifali, D.; Raina, P. Screening for lung cancer: A systematic review and meta-analysis. Prev. Med. 2016, 89, 301–314. [Google Scholar] [CrossRef]
- Alexander, M.; Kim, S.Y.; Cheng, H. Update 2020: Management of Non-Small Cell Lung Cancer. Lung 2020, 198, 897–907. [Google Scholar] [CrossRef] [PubMed]
- Duma, N.; Santana-Davila, R.; Molina, J.R. Non-Small Cell Lung Cancer: Epidemiology, Screening, Diagnosis, and Treatment. Mayo Clin. Proc. 2019, 94, 1623–1640. [Google Scholar] [CrossRef]
- Planchard, D.; Popat, S.; Kerr, K.; Novello, S.; Smit, E.F.; Faivre-Finn, C.; Mok, T.S.; Reck, M.; Van Schil, P.E.; Hellmann, M.D.; et al. Metastatic non-small cell lung cancer: ESMO Clinical Practice Guidelines for diagnosis, treatment and follow-up. Ann. Oncol. 2018, 29, 192–237. [Google Scholar] [CrossRef] [PubMed]
- Shen, Y.-C.; Chen, C.-H.; Tu, C.-Y. Advances in Diagnostic Bronchoscopy. Diagnostics 2021, 11, 1984. [Google Scholar] [CrossRef] [PubMed]
- Hou, G.; Miao, Y.; Hu, X.-J.; Wang, W.; Wang, Q.-Y.; Wu, G.-P.; Wang, E.-H.; Kang, J. The optimal sequence for bronchial brushing and forceps biopsy in lung cancer diagnosis: A random control study. J. Thorac. Dis. 2016, 8, 520–526. [Google Scholar] [CrossRef]
- Miller, R.J.; Casal, R.F.; Lazarus, D.R.; Ost, D.E.; Eapen, G.A. Flexible Bronchoscopy. Clin. Chest Med. 2018, 39, 1–16. [Google Scholar] [CrossRef]
- Mondoni, M.; Rinaldo, R.F.; Carlucci, P.; Terraneo, S.; Saderi, L.; Centanni, S.; Sotgiu, G. Bronchoscopic sampling techniques in the era of technological bronchoscopy. Pulmonology 2022, 28, 461–471. [Google Scholar] [CrossRef] [PubMed]
- Patil, S.; Toshniwal, S.; Acharya, A. Role of fiberoptic bronchoscopy-guided needle aspiration cytology (EBNA) in diagnosing lung cancer in endobronchial lesions: A single-center experience. Int. J. Mol. Immuno Oncol. 2023, 8, 15–22. [Google Scholar] [CrossRef]
- Matthew, E.; Philip, C.; Julie, M.; Rajesh, S.; Helen, D.; Zoe, B.; Jennifer, H.; Durgesh, R.; Simon, B.; Richard, B. EBUS-guided mediastinal lung cancer staging: Monitoring of quality standards improves performance. Thorax 2016, 71, 762. [Google Scholar] [CrossRef] [PubMed]
- Muniyappa, M.; Rao, V.S.; Vidya, K.B. To evaluate the role of sputum in the diagnosis of lung cancer in south Indian population. Int. J. Res. Med. Sci. 2017, 2, 545–550. [Google Scholar]
- Antonangelo, L.; Sales, R.K.; Corá, A.P.; Acencio, M.M.P.; Teixeira, L.R.; Vargas, F.S. Pleural Fluid Tumour Markers in Malignant Pleural Effusion with Inconclusive Cytologic Results. Curr. Oncol. 2015, 22, 336–341. [Google Scholar] [CrossRef] [PubMed]
- Edey, A.J.; Pollentine, A.; Doody, C.; Medford, A.R. Differentiating benign from malignant mediastinal lymph nodes visible at EBUS using grey-scale textural analysis. Respirology 2015, 20, 453–458. [Google Scholar] [CrossRef] [PubMed]
- Marino, F.Z.; Bianco, R.; Accardo, M.; Ronchi, A.; Cozzolino, I.; Morgillo, F.; Rossi, G.; Franco, R. Molecular heterogeneity in lung cancer: From mechanisms of origin to clinical implications. Int. J. Med. Sci. 2019, 16, 981–989. [Google Scholar] [CrossRef] [PubMed]
- Horn, L.; Reck, M.; Spigel, D.R. The Future of Immunotherapy in the Treatment of Small Cell Lung Cancer. Oncologist 2016, 21, 910–921. [Google Scholar] [CrossRef] [PubMed]
- Thai, A.A.; Solomon, B.J.; Sequist, L.V.; Gainor, J.F.; Heist, R.S. Lung cancer. Lancet 2021, 398, 535–554. [Google Scholar] [CrossRef]
- Ganti, A.K.P.; Loo, B.W.; Bassetti, M.; Blakely, C.; Chiang, A.; D’Amico, T.A.; D’Avella, C.; Dowlati, A.; Downey, R.J.; Edelman, M.; et al. Small Cell Lung Cancer, Version 2.2022, NCCN Clinical Practice Guidelines in Oncology. J. Natl. Compr. Cancer Netw. 2021, 19, 1441–1464. [Google Scholar] [CrossRef]
- Nagl, L.; Pall, G.; Wolf, D.; Pircher, A.; Horvath, L. Molecular profiling in lung cancer. Memo Mag. Eur. Med. Oncol. 2022, 15, 201–205. [Google Scholar] [CrossRef]
- Patel, J.N.; Ersek, J.L.; Kim, E.S. Lung cancer biomarkers, targeted therapies and clinical assays. Transl. Lung Cancer Res. 2015, 4, 503–514. [Google Scholar]
- Shim, H.S.; Choi, Y.-L.; Kim, L.; Chang, S.; Kim, W.-S.; Roh, M.S.; Kim, T.-J.; Ha, S.Y.; Chung, J.-H.; Jang, S.J.; et al. Molecular Testing of Lung Cancers. J. Pathol. Transl. Med. 2017, 51, 242–254. [Google Scholar] [CrossRef] [PubMed]
- Sholl, L. Molecular diagnostics of lung cancer in the clinic. Transl. Lung Cancer Res. 2017, 6, 560–569. [Google Scholar] [CrossRef] [PubMed]
- Ettinger, D.S.; Wood, D.E.; Aisner, D.L.; Akerley, W.; Bauman, J.R.; Bharat, A.; Bruno, D.S.; Chang, J.Y.; Chirieac, L.R.; Decamp, M.; et al. NCCN Guidelines® Insights: Non–Small Cell Lung Cancer, Version 2.2023. J. Natl. Compr. Cancer Netw. 2023, 21, 340–350. [Google Scholar] [CrossRef] [PubMed]
- König, D.; Savic Prince, S.; Rothschild, S.I. Targeted Therapy in Advanced and Metastatic Non-Small Cell Lung Cancer. An Update on Treatment of the Most Important Actionable Oncogenic Driver Alterations. Cancers 2021, 13, 804. [Google Scholar] [CrossRef] [PubMed]
- Gosney, J.R.; Paz-Ares, L.; Jänne, P.; Kerr, K.M.; Leighl, N.B.; Lozano, M.D.; Malapelle, U.; Mok, T.; Sheffield, B.S.; Tufman, A.; et al. Pathologist-initiated reflex testing for biomarkers in non-small-cell lung cancer: Expert consensus on the rationale and considerations for implementation. ESMO Open 2023, 8, 101587. [Google Scholar] [CrossRef] [PubMed]
- Passaro, A.; Leighl, N.; Blackhall, F.; Popat, S.; Kerr, K.; Ahn, M.J.; Arcila, M.E.; Arrieta, O.; Planchard, D.; de Marinis, F.; et al. ESMO expert consensus statements on the management of EGFR mutant non-small-cell lung cancer. Ann. Oncol. 2022, 33, 466–487. [Google Scholar] [CrossRef] [PubMed]
- Hirsch, F.R.; Scagliotti, G.V.; Mulshine, J.L.; Kwon, R.; Curran, W.J.; Wu, Y.-L.; Paz-Ares, L. Lung cancer: Current therapies and new targeted treatments. Lancet 2017, 389, 299–311. [Google Scholar] [CrossRef]
- Ji, H.; Li, D.; Chen, L.; Shimamura, T.; Kobayashi, S.; McNamara, K.; Mahmood, U.; Mitchell, A.; Sun, Y.; Al-Hashem, R.; et al. The impact of human EGFR kinase domain mutations on lung tumorigenesis and in vivo sensitivity to EGFR-targeted therapies. Cancer Cell 2006, 9, 485–495. [Google Scholar] [CrossRef]
- Gainor, J.F.; Dardaei, L.; Yoda, S.; Friboulet, L.; Leshchiner, I.; Katayama, R.; Dagogo-Jack, I.; Gadgeel, S.; Schultz, K.; Singh, M.; et al. Molecular Mechanisms of Resistance to First- and Second-Generation ALK Inhibitors in ALK-Rearranged Lung Cancer. Cancer Discov. 2016, 6, 1118–1133. [Google Scholar] [CrossRef] [PubMed]
- Garrido, P.; Conde, E.; De Castro, J.; Gómez-Román, J.J.; Felip, E.; Pijuan, L.; Isla, D.; Sanz, J.; Paz-Ares, L.; López-Ríos, F. Updated guidelines for predictive biomarker testing in advanced non-small-cell lung cancer: A National Consensus of the Spanish Society of Pathology and the Spanish Society of Medical Oncology. Clin. Transl. Oncol. 2020, 22, 989–1003. [Google Scholar] [CrossRef] [PubMed]
- Sforza, V.; Palumbo, G.; Cascetta, P.; Carillio, G.; Manzo, A.; Montanino, A.; Sandomenico, C.; Costanzo, R.; Esposito, G.; Laudato, F.; et al. BRAF Inhibitors in Non-Small Cell Lung Cancer. Cancers 2022, 14, 4863. [Google Scholar] [CrossRef] [PubMed]
- Reck, M.; Rodríguez-Abreu, D.; Robinson, A.G.; Hui, R.; Csőszi, T.; Fülöp, A.; Gottfried, M.; Peled, N.; Tafreshi, A.; Cuffe, S.; et al. Pembrolizumab versus Chemotherapy for PD-L1–Positive Non–Small-Cell Lung Cancer. N. Engl. J. Med. 2016, 375, 1823–1833. [Google Scholar] [CrossRef] [PubMed]
- Araghi, M.; Mannani, R.; Heidarnejad Maleki, A.; Hamidi, A.; Rostami, S.; Safa, S.H.; Faramarzi, F.; Khorasani, S.; Alimohammadi, M.; Tahmasebi, S.; et al. Recent advances in non-small cell lung cancer targeted therapy; an update review. Cancer Cell Int. 2023, 23, 162. [Google Scholar] [CrossRef] [PubMed]
- Fox, A.H.; Nishino, M.; Osarogiagbon, R.U.; Rivera, M.P.; Rosenthal, L.S.; Smith, R.A.; Farjah, F.; Sholl, L.M.; Silvestri, G.A.; Johnson, B.E. Acquiring tissue for advanced lung cancer diagnosis and comprehensive biomarker testing: A National Lung Cancer Roundtable best-practice guide. CA Cancer J. Clin. 2023, 73, 358–375. [Google Scholar] [CrossRef] [PubMed]
- Meador, C.B.; Hata, A.N. Acquired resistance to targeted therapies in NSCLC: Updates and evolving insights. Pharmacol. Ther. 2020, 210, 107522. [Google Scholar] [CrossRef] [PubMed]
- Liu, W.J.; Du, Y.; Wen, R.; Yang, M.; Xu, J. Drug resistance to targeted therapeutic strategies in non-small cell lung cancer. Pharmacol. Ther. 2020, 206, 107438. [Google Scholar] [CrossRef] [PubMed]
- Amaral, T.; Sinnberg, T.; Meier, F.; Krepler, C.; Levesque, M.; Niessner, H.; Garbe, C. MAPK pathway in melanoma part II-secondary and adaptive resistance mechanisms to BRAF inhibition. Eur. J. Cancer 2017, 73, 93–101. [Google Scholar] [CrossRef] [PubMed]
- Park, J.W.; Han, J.-W. Targeting epigenetics for cancer therapy. Arch. Pharmacal Res. 2019, 42, 159–170. [Google Scholar] [CrossRef]
- Schiffmann, I.; Greve, G.; Jung, M.; Lübbert, M. Epigenetic therapy approaches in non-small cell lung cancer: Update and perspectives. Epigenetics 2016, 11, 858–870. [Google Scholar] [CrossRef] [PubMed]
- Westover, D.; Zugazagoitia, J.; Cho, B.C.; Lovly, C.M.; Paz-Ares, L. Mechanisms of acquired resistance to first- and second-generation EGFR tyrosine kinase inhibitors. Ann. Oncol. 2018, 29, 10–19. [Google Scholar] [CrossRef] [PubMed]
- Pujol, N.; Heeke, S.; Bontoux, C.; Boutros, J.; Ilié, M.; Hofman, V.; Marquette, C.-H.; Hofman, P.; Benzaquen, J. Molecular Profiling in Non-Squamous Non-Small Cell Lung Carcinoma: Towards a Switch to Next-Generation Sequencing Reflex Testing. J. Pers. Med. 2022, 12, 1684. [Google Scholar] [CrossRef] [PubMed]
- Facchinetti, F.; Proto, C.; Minari, R.; Garassino, M.; Tiseo, M. Mechanisms of Resistance to Target Therapies in Non-small Cell Lung Cancer. Handb. Exp. Pharmacol. 2018, 249, 63–89. [Google Scholar] [CrossRef] [PubMed]
- Sankar, K.; Gadgeel, S.M.; Qin, A. Molecular therapeutic targets in non-small cell lung cancer. Expert. Rev. Anticancer Ther. 2020, 20, 647–661. [Google Scholar] [CrossRef] [PubMed]
- Gray, J.E.; Okamoto, I.; Sriuranpong, V.; Vansteenkiste, J.; Imamura, F.; Lee, J.S.; Pang, Y.K.; Cobo, M.; Kasahara, K.; Cheng, Y.; et al. Tissue and Plasma EGFR Mutation Analysis in the FLAURA Trial: Osimertinib versus Comparator EGFR Tyrosine Kinase Inhibitor as First-Line Treatment in Patients with EGFR-Mutated Advanced Non-Small Cell Lung Cancer. Clin. Cancer Res. 2019, 25, 6644–6652. [Google Scholar] [CrossRef] [PubMed]
- Schmid, S.; Li, J.J.N.; Leighl, N.B. Mechanisms of osimertinib resistance and emerging treatment options. Lung Cancer 2020, 147, 123–129. [Google Scholar] [CrossRef]
- Wang, S.; Song, Y.; Liu, D. EAI045: The fourth-generation EGFR inhibitor overcoming T790M and C797S resistance. Cancer Lett. 2017, 385, 51–54. [Google Scholar] [CrossRef] [PubMed]
- Oxnard, G.R.; Yang, J.C.; Yu, H.; Kim, S.W.; Saka, H.; Horn, L.; Goto, K.; Ohe, Y.; Mann, H.; Thress, K.S.; et al. TATTON: A multi-arm, phase Ib trial of osimertinib combined with selumetinib, savolitinib, or durvalumab in EGFR-mutant lung cancer. Ann. Oncol. 2020, 31, 507–516. [Google Scholar] [CrossRef]
- Sequist, L.V.; Han, J.Y.; Ahn, M.J.; Cho, B.C.; Yu, H.; Kim, S.W.; Yang, J.C.; Lee, J.S.; Su, W.C.; Kowalski, D.; et al. Osimertinib plus savolitinib in patients with EGFR mutation-positive, MET-amplified, non-small-cell lung cancer after progression on EGFR tyrosine kinase inhibitors: Interim results from a multicentre, open-label, phase 1b study. Lancet Oncol. 2020, 21, 373–386. [Google Scholar] [CrossRef]
- Brown, B.P.; Zhang, Y.K.; Westover, D.; Yan, Y.; Qiao, H.; Huang, V.; Du, Z.; Smith, J.A.; Ross, J.S.; Miller, V.A.; et al. On-target Resistance to the Mutant-Selective EGFR Inhibitor Osimertinib Can Develop in an Allele-Specific Manner Dependent on the Original EGFR-Activating Mutation. Clin. Cancer Res. 2019, 25, 3341–3351. [Google Scholar] [CrossRef] [PubMed]
- Yang, Z.; Yang, N.; Ou, Q.; Xiang, Y.; Jiang, T.; Wu, X.; Bao, H.; Tong, X.; Wang, X.; Shao, Y.W.; et al. Investigating Novel Resistance Mechanisms to Third-Generation EGFR Tyrosine Kinase Inhibitor Osimertinib in Non-Small Cell Lung Cancer Patients. Clin. Cancer Res. 2018, 24, 3097–3107. [Google Scholar] [CrossRef] [PubMed]
- Pinto, J.A.; Raez, L.E.; Domingo, G. Clinical consequences of resistance to ALK inhibitors in non-small cell lung cancer. Expert. Rev. Respir. Med. 2020, 14, 385–390. [Google Scholar] [CrossRef] [PubMed]
- Goyal, S.; Jamal, S.; Shanker, A.; Grover, A. Structural basis for drug resistance mechanisms against anaplastic lymphoma kinase. J. Cell. Biochem. 2019, 120, 768–777. [Google Scholar] [CrossRef] [PubMed]
- Dagogo-Jack, I.; Shaw, A.T. Crizotinib resistance: Implications for therapeutic strategies. Ann. Oncol. 2016, 27 (Suppl. S3), 42–50. [Google Scholar] [CrossRef] [PubMed]
- Gainor, J.F.; Tseng, D.; Yoda, S.; Dagogo-Jack, I.; Friboulet, L.; Lin, J.J.; Hubbeling, H.G.; Dardaei, L.; Farago, A.F.; Schultz, K.R.; et al. Patterns of Metastatic Spread and Mechanisms of Resistance to Crizotinib in ROS1-Positive Non-Small-Cell Lung Cancer. JCO Precis. Oncol. 2017, 2017, 1–13. [Google Scholar] [CrossRef] [PubMed]
- Arozarena, I.; Wellbrock, C. Overcoming resistance to BRAF inhibitors. Ann. Transl. Med. 2017, 5, 387. [Google Scholar] [CrossRef]
- Tsamis, I.; Gomatou, G.; Chachali, S.P.; Trontzas, I.P.; Patriarcheas, V.; Panagiotou, E.; Kotteas, E. BRAF/MEK inhibition in NSCLC: Mechanisms of resistance and how to overcome it. Clin. Transl. Oncol. 2023, 25, 10–20. [Google Scholar] [CrossRef] [PubMed]
- Bie, F.; Tian, H.; Sun, N.; Zang, R.; Zhang, M.; Song, P.; Liu, L.; Peng, Y.; Bai, G.; Zhou, B.; et al. Research Progress of Anti-PD-1/PD-L1 Immunotherapy Related Mechanisms and Predictive Biomarkers in NSCLC. Front. Oncol. 2022, 12, 769124. [Google Scholar] [CrossRef]
- Jackson, C.M.; Choi, J.; Lim, M. Mechanisms of immunotherapy resistance: Lessons from glioblastoma. Nat. Immunol. 2019, 20, 1100–1109. [Google Scholar] [CrossRef]
- O’Donnell, J.S.; Teng, M.W.L.; Smyth, M.J. Cancer immunoediting and resistance to T cell-based immunotherapy. Nat. Rev. Clin. Oncol. 2019, 16, 151–167. [Google Scholar] [CrossRef]
- Sunshine, J.; Taube, J.M. PD-1/PD-L1 inhibitors. Curr. Opin. Pharmacol. 2015, 23, 32–38. [Google Scholar] [CrossRef]
- Casagrande, G.M.S.; Silva, M.D.O.; Reis, R.M.; Leal, L.F. Liquid Biopsy for Lung Cancer: Up-to-Date and Perspectives for Screening Programs. Int. J. Mol. Sci. 2023, 24, 2505. [Google Scholar] [CrossRef] [PubMed]
- Gale, D.; Lawson, A.R.J.; Howarth, K.; Madi, M.; Durham, B.; Smalley, S.; Calaway, J.; Blais, S.; Jones, G.; Clark, J.; et al. Development of a highly sensitive liquid biopsy platform to detect clinically-relevant cancer mutations at low allele fractions in cell-free DNA. PLoS ONE 2018, 13, e0194630. [Google Scholar] [CrossRef] [PubMed]
- Hofman, P. Next-Generation Sequencing with Liquid Biopsies from Treatment-Naïve Non-Small Cell Lung Carcinoma Patients. Cancers 2021, 13, 2049. [Google Scholar] [CrossRef]
- Hofman, V.; Heeke, S.; Marquette, C.-H.; Ilié, M.; Hofman, P. Circulating Tumor Cell Detection in Lung Cancer: But to What End? Cancers 2019, 11, 262. [Google Scholar] [CrossRef] [PubMed]
- Forjaz, G.; Bastos, J.; Castro, C.; Mayer, A.; Noone, A.-M.; Chen, H.-S.; Mariotto, A.B. Regional differences in tobacco smoking and lung cancer in Portugal in 2018: A population-based analysis using nationwide incidence and mortality data. BMJ Open 2020, 10, e038937. [Google Scholar] [CrossRef] [PubMed]
- Guerreiro, T.; Forjaz, G.; Antunes, L.; Bastos, J.; Mayer, A.; Aguiar, P.; Araújo, A.; Nunes, C. Lung cancer survival and sex-specific patterns in Portugal: A population-based analysis. Pulmonology 2023, 29 (Suppl. S4), 70–79. [Google Scholar] [CrossRef]
- Duarte Mendes, A.; Freitas, A.R.; Vicente, R.; Ferreira, R.; Martins, T.; Ramos, M.J.; Baptista, C.; Silva, B.M.; Margarido, I.; Vitorino, M.; et al. Beta-Adrenergic Blockade in Advanced Non-Small Cell Lung Cancer Patients Receiving Immunotherapy: A Multicentric Study. Cureus 2024, 16, e52194. [Google Scholar] [CrossRef]
- Pereira-Nunes, A.; Ferreira, H.; Abreu, S.; Guedes, M.; Neves, N.M.; Baltazar, F.; Granja, S. Combination Therapy with CD147-Targeted Nanoparticles Carrying Phenformin Decreases Lung Cancer Growth. Adv. Biol. 2023, 7, e2300080. [Google Scholar] [CrossRef]
- Espiga De Macedo, J.; Taveira-Gomes, T.; Machado, J.C.; Hespanhol, V. Implementation of a Pilot Study to Analyze Circulating Tumor DNA in Early-Stage Lung Cancer. Acta Médica Port. 2023, 37, 10–19. [Google Scholar] [CrossRef]
- Moura Cabral, S.; Abreu, I.; Madama, D.; Estevão, A.; Cordeiro, E.; Pimentel, J.; Miranda, N.; Ferreira, A.J.; Robalo Cordeiro, C. Lung Cancer Screening: Low-Dose Thoracic Computed Tomography Performed in a High-Risk Portuguese Population. Acta Médica Port. 2023, 36, 559–566. [Google Scholar] [CrossRef]
- Lindeman, N.I.; Cagle, P.T.; Aisner, D.L.; Arcila, M.E.; Beasley, M.B.; Bernicker, E.H.; Colasacco, C.; Dacic, S.; Hirsch, F.R.; Kerr, K.; et al. Updated Molecular Testing Guideline for the Selection of Lung Cancer Patients for Treatment with Targeted Tyrosine Kinase Inhibitors: Guideline from the College of American Pathologists, the International Association for the Study of Lung Cancer, and the. Arch. Pathol. Lab. Med. 2018, 142, 321–346. [Google Scholar] [CrossRef] [PubMed]
- Pennell, N.A.; Arcila, M.E.; Gandara, D.R.; West, H. Biomarker Testing for Patients with Advanced Non–Small Cell Lung Cancer: Real-World Issues and Tough Choices. Am. Soc. Clin. Oncol. Educ. Book. 2019, 39, 531–542. [Google Scholar] [CrossRef] [PubMed]
- Zhang, Y.; Simoff, M.J.; Ost, D.; Wagner, O.J.; Lavin, J.; Nauman, B.; Hsieh, M.-C.; Wu, X.-C.; Pettiford, B.; Shi, L. Understanding the patient journey to diagnosis of lung cancer. BMC Cancer 2021, 21, 402. [Google Scholar] [CrossRef]
- Huang, S.; Yang, J.; Shen, N.; Xu, Q.; Zhao, Q. Artificial intelligence in lung cancer diagnosis and prognosis: Current application and future perspective. Semin. Cancer Biol. 2023, 89, 30–37. [Google Scholar] [CrossRef]
- Wahla, A.S.; Zoumot, Z.; Uzbeck, M.; Mallat, J.; Souilamas, R.; Shafiq, I. The Journey for Lung Cancer Screening where we Stand Today. Open Respir. Med. J. 2022, 16, e187430642207060. [Google Scholar] [CrossRef] [PubMed]
- Rankin, N.M.; McWilliams, A.; Marshall, H.M. Lung cancer screening implementation: Complexities and priorities. Respirology 2020, 25, 5–23. [Google Scholar] [CrossRef]
- Dal Maso, A.; Lorenzi, M.; Roca, E.; Pilotto, S.; Macerelli, M.; Polo, V.; Cecere, F.L.; Del Conte, A.; Nardo, G.; Buoro, V.; et al. Clinical Features and Progression Pattern of Acquired T790M-positive Compared with T790M-negative EGFR Mutant Non-small-cell Lung Cancer: Catching Tumor and Clinical Heterogeneity over Time through Liquid Biopsy. Clin. Lung Cancer 2020, 21, 1–14.e13. [Google Scholar] [CrossRef]



| Guidelines for Lung Cancer Screening 2023 | |
|---|---|
| Age | 50–80 years |
| Smoking status | Patients who currently smoke or have a history of smoking (number of years since quitting smoking is not considered) |
| Smoking history | ≥20 pack-year history |
| Recommended screening test | Annual screening with LDCT |
| Exclusion criteria | Individuals with comorbid conditions that limit life expectancy; Individuals who do not want to be treated after a positive screening test |
| Decision-making | It is recommended to have a decision-making discussion with a health professional about the benefits and risks of LCS; Current smokers should be advised to stop smoking. |
| Diagnostic Techniques | Advantages | Disadvantages |
|---|---|---|
| Biopsy | High sensitivity; Evaluation of lung pleura, mediastinum, and lung parenchyma | Highly invasive; Risk of pneumothorax |
| Bronchoscopy | Lower risk of complications | Highly invasive; Lower sensitivity to small lesions; Less efficacy for peripheral pulmonary lesions |
| EBUS-TBNA | Highly specific and sensitive in mediastinal lesions | Low sensitivity in detecting micrometastases |
| Cytology Bronchoalveolar lavage | Minimally invasive | Low accuracy in peripheral diagnosis; There is not a standardized protocol; Quality of sample is affected by volume returned |
| Bronchial brushing | Good complement to biopsy results; Cost-effective strategy for diagnosis of endobronchial lung cancer | Bleeding |
| Needle aspiration | Safe technique; Risk of complications <1% | Difficulty in needle handling; Trouble in achieving a rapid on-site evaluation |
| Pleural fluid | Evaluation of all malignant cells in pleural fluid (reduced misdiagnosis) | Invasive technique |
| Biomarker | Frequency (%) | Approved Drug(s) |
|---|---|---|
| EGFR | 10–15% (50–60% Asian) | Erlotinib; gefitinib; osimertinib (T790M mutation) |
| ALK | 5% | Crizotinib; ceritinib; alectinib; brigatinib |
| BRAF | 2% | BRAF/MEK inhibitor (dabrafenib/trametinib) |
| ROS1 | 1–2% | Crizotinib |
| RET | 1–2% | Selpercatinib; pralsetinib |
| MET | 3% | Capmatinib; tepotinib |
| NTRX | 0.23–3% | Larotrectinib, entrectinib |
| KRASG12C | 12% | Sotorasib |
| HER2 | 2–5% | Trastuzumab deruxtecan |
| PD-L1 | 23–28% | Atezolizumab; pembrolizumab |
Disclaimer/Publisher’s Note: The statements, opinions and data contained in all publications are solely those of the individual author(s) and contributor(s) and not of MDPI and/or the editor(s). MDPI and/or the editor(s) disclaim responsibility for any injury to people or property resulting from any ideas, methods, instructions or products referred to in the content. |
© 2024 by the authors. Licensee MDPI, Basel, Switzerland. This article is an open access article distributed under the terms and conditions of the Creative Commons Attribution (CC BY) license (https://creativecommons.org/licenses/by/4.0/).
Share and Cite
Ramos, R.; Moura, C.S.; Costa, M.; Lamas, N.J.; Correia, R.; Garcez, D.; Pereira, J.M.; Sousa, C.; Vale, N. Enhancing Lung Cancer Care in Portugal: Bridging Gaps for Improved Patient Outcomes. J. Pers. Med. 2024, 14, 446. https://doi.org/10.3390/jpm14050446
Ramos R, Moura CS, Costa M, Lamas NJ, Correia R, Garcez D, Pereira JM, Sousa C, Vale N. Enhancing Lung Cancer Care in Portugal: Bridging Gaps for Improved Patient Outcomes. Journal of Personalized Medicine. 2024; 14(5):446. https://doi.org/10.3390/jpm14050446
Chicago/Turabian StyleRamos, Raquel, Conceição Souto Moura, Mariana Costa, Nuno Jorge Lamas, Renato Correia, Diogo Garcez, José Miguel Pereira, Carlos Sousa, and Nuno Vale. 2024. "Enhancing Lung Cancer Care in Portugal: Bridging Gaps for Improved Patient Outcomes" Journal of Personalized Medicine 14, no. 5: 446. https://doi.org/10.3390/jpm14050446
APA StyleRamos, R., Moura, C. S., Costa, M., Lamas, N. J., Correia, R., Garcez, D., Pereira, J. M., Sousa, C., & Vale, N. (2024). Enhancing Lung Cancer Care in Portugal: Bridging Gaps for Improved Patient Outcomes. Journal of Personalized Medicine, 14(5), 446. https://doi.org/10.3390/jpm14050446

