Real-Life Study of Patient Preference for Dupilumab or Revision Surgery for Recurrent Chronic Rhinosinusitis with Nasal Polyps
Abstract
1. Introduction
2. Materials and Methods
2.1. Study Population
2.2. Ethics Approval and Consent to Participate
2.3. Questionnaire
2.4. Statistical Analysis
3. Results
3.1. Demographic Data
3.2. Number of Previous Operations
3.3. Self-Reported Post-Operative Pain
3.4. Self-Reported Side Effects and Duration of Success of Previous Operation
3.5. Self-Reported Side Effects and Feelings towards Regular Injection of Dupilumab
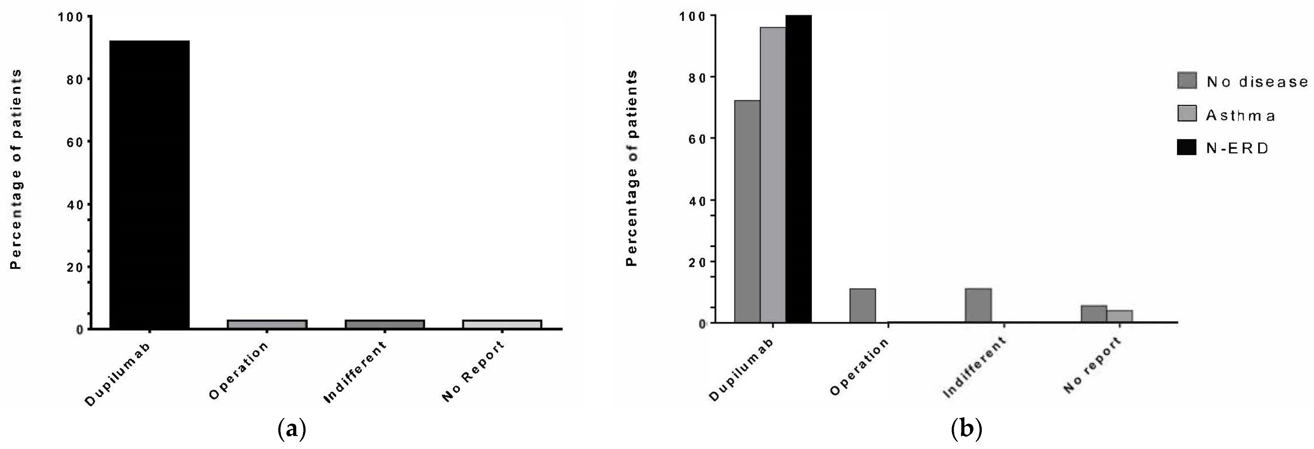
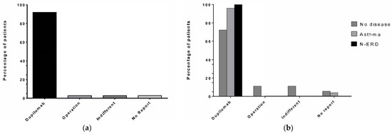
3.6. Patient Preference between Repeat Operations and Dupilumab Therapy
4. Discussion
5. Conclusions
Author Contributions
Funding
Institutional Review Board Statement
Informed Consent Statement
Data Availability Statement
Conflicts of Interest
References
- Campion, N.J.; Kohler, R.; Ristl, R.; Villazala-Merino, S.; Eckl-Dorna, J.; Niederberger-Leppin, V. Prevalence and Symptom Burden of Nasal Polyps in a Large Austrian Population. J. Allergy Clin. Immunol. Pract. 2021, 9, 4117–4129. [Google Scholar] [CrossRef]
- Fokkens, W.J.; Lund, V.; Bachert, C.; Mullol, J.; Bjermer, L.; Bousquet, J.; Canonica, G.W.; Deneyer, L.; Desrosiers, M.; Diamant, Z.; et al. EUFOREA consensus on biologics for CRSwNP with or without asthma. Allergy 2019, 74, 2312–2319. [Google Scholar] [CrossRef]
- Johansson, L.; Akerlund, A.; Holmberg, K.; Melén, I.; Bende, M. Prevalence of nasal polyps in adults: The Skövde population-based study. Ann. Otol. Rhinol. Laryngol. 2003, 112, 625–629. [Google Scholar] [CrossRef]
- Bachert, C.; Akdis, C.A. Phenotypes and emerging endotypes of chronic rhinosinusitis. J. Allergy Clin. Immunol. Pract. 2016, 4, 621–628. [Google Scholar] [CrossRef]
- Fokkens, W.J.; Lund, V.J.; Hopkins, C.; Hellings, P.W.; Kern, R.; Reitsma, S.; Toppila-Salmi, S.; Bernal-Sprekelsen, M.; Mullol, J.; Alobid, I.; et al. European Position Paper on Rhinosinusitis and Nasal Polyps 2020. Rhinology 2020, 58, 1–464. [Google Scholar] [CrossRef] [PubMed]
- Steiner, U.C.; Bischoff, S.; Valaperti, A.; Ikenberg, K.; Starzyk, J.; Bucher, S.; Bachmann, L.M.; Soyka, M.B. Endotypes of chronic rhinosinusitis with nasal polyps with and without NSAID intolerance. Rhinology 2020, 58, 544–549. [Google Scholar] [CrossRef] [PubMed]
- Rajan, J.P.; Wineinger, N.E.; Stevenson, D.D.; White, A.A. Prevalence of aspirin-exacerbated respiratory disease among asthmatic patients: A meta-analysis of the literature. J. Allergy Clin. Immunol. 2015, 135, 676–681.e1. [Google Scholar] [CrossRef] [PubMed]
- Remenschneider, A.K.; Scangas, G.; Meier, J.C.; Gray, S.T.; Holbrook, E.H.; Gliklich, R.E.; Metson, R. EQ-5D-derived health utility values in patients undergoing surgery for chronic rhinosinusitis. EQ-5D-derived health utility values in patients undergoing surgery for chronic rhinosinusitis. Laryngoscope 2015, 125, 1056–1061. [Google Scholar] [CrossRef] [PubMed]
- Gliklich, R.E.; Metson, R. The health impact of chronic sinusitis in patients seeking otolaryngologic care. Otolaryngol. Head Neck Surg. 1995, 113, 104–109. [Google Scholar] [CrossRef] [PubMed]
- McCoul, E.D. Does Chronic Rhinosinusitis Lead to Psychiatric Disease? JAMA Otolaryngol. Head Neck Surg. 2019, 145, 319–320. [Google Scholar] [CrossRef]
- Liu, D.T.; Bartosik, T.J.; Campion, N.J.; Bayer, K.; Tu, A.; Victoria, S.; Besser, G.; Mueller, C.A.; Gangl, K.; Eckl-Dorna, J.; et al. Chronic rhinosinusitis symptoms differentially impact the likelihood of major depressive disorders. Laryngoscope Investig. Otolaryngol. 2022, 27, 29–35. [Google Scholar] [CrossRef]
- Seys, S.F.; De Bont, S.; Fokkens, W.J.; Bachert, C.; Alobid, I.; Bernal-Sprekelsen, M.; Bjermer, L.; Callebaut, I.; Cardell, L.O.; Carrie, S.; et al. Real-life assessment of chronic rhinosinusitis patients using mobile technology: The mySinusitisCoach project by EUFOREA. Allergy 2020, 75, 2867–2878. [Google Scholar] [CrossRef]
- Loftus, C.A.; Soler, Z.M.; Koochakzadeh, S.; Desiato, V.M.; Yoo, F.; Nguyen, S.A.; Schlosser, R.J. Revision surgery rates in chronic rhinosinusitis with nasal polyps: Meta-analysis of risk factors. Int. Forum Allergy Rhinol. 2020, 10, 199–207. [Google Scholar] [CrossRef] [PubMed]
- Hopkins, C.; Slack, R.; Lund, V.; Brown, P.; Copley, L.; Browne, J. Long-term outcomes from the English national comparative audit of surgery for nasal polyposis and chronic rhinosinusitis. Laryngoscope 2009, 119, 2459–2465. [Google Scholar] [CrossRef] [PubMed]
- Bassiouni, A.; Wormald, P.J. Role of frontal sinus surgery in nasal polyp recurrence. Laryngoscope 2013, 123, 36–41. [Google Scholar] [CrossRef]
- DeConde, A.S.; Mace, J.C.; Levy, J.M.; Rudmik, L.; Alt, J.A.; Smith, T.L. Prevalence of polyp recurrence after endoscopic sinus surgery for chronic rhinosinusitis with nasal polyposis. Laryngoscope 2017, 127, 550–555. [Google Scholar] [CrossRef]
- Bayer, K.; Hamidovic, S.; Besser, G.; Mueller, C.A.; Liu, D.T. Factors Associated with Revision Sinus Surgery in Patients with Chronic Rhinosinusitis. J. Pers. Med. 2022, 12, 167. [Google Scholar] [CrossRef] [PubMed]
- Calus, L.; Van Bruaene, N.; Bosteels, C.; Dejonckheere, S.; Van Zele, T.; Holtappels, G.; Bachert, C.; Gevaert, P. Twelve-year follow-up study after endoscopic sinus surgery in patients with chronic rhinosinusitis with nasal polyposis. Clin. Transl. Allergy 2019, 9, 30. [Google Scholar] [CrossRef]
- U.S. Food and Drug Administration (FDA). FDA Approves First Treatment for Chronic Rhinosinusitis with Nasal Polyps. DUPIXENT FDA Approval; FDA: Silver Spring, MD, USA, 2019. Available online: https://www.fda.gov/news-events/press-announcements/fda-approves-first-treatment-chronic-rhinosinusitis-nasal-polyps (accessed on 4 February 2024).
- European Medicines Agency (EMA). Dupixent. Dupilumab. Dupixent IL-17-SMOP; EMA: Amsterdam, The Netherlands, 2019; Available online: https://www.ema.europa.eu/en/documents/smop/chmp-post-authorisation-summary-positive-opinion-dupixent-ii-17_en.pdf (accessed on 4 February 2024).
- Bachert, C.; Han, J.K.; Desrosiers, M.; Hellings, P.W.; Amin, N.; Lee, S.E.; Mullol, J.; Greos, L.S.; Bosso, J.V.; Laidlaw, T.M.; et al. Efficacy and safety of dupilumab in patients with severe chronic rhinosinusitis with nasal polyps (LIBERTY NP SINUS-24 and LIBERTY NP SINUS-52): Results from two multicentre, randomised, double-blind, placebo-controlled, parallel-group phase 3 trials. Lancet 2019, 394, 1638–1650. [Google Scholar] [CrossRef]
- Hopkins, C.; Wagenmann, M.; Bachert, C.; Desrosiers, M.; Han, J.K.; Hellings, P.W.; Lee, S.E.; Msihid, J.; Radwan, A.; Rowe, P.; et al. Efficacy of dupilumab in patients with a history of prior sinus surgery for chronic rhinosinusitis with nasal polyps. Int. Forum Allergy Rhinol. 2021, 11, 1087–1101. [Google Scholar] [CrossRef]
- Sella, G.C.P.; Tamashiro, E.; Sella, J.A.; Aragon, D.C.; Mendonça, T.N.; Arruda, L.K.P.; Anselmo Lima, W.T.; Valera, F.C.P. Asthma Is the Dominant Factor for Recurrence in Chronic Rhinosinusitis. J. Allergy Clin. Immunol. Pract. 2020, 8, 302–309. [Google Scholar] [CrossRef]
- Aguiar, C.; Valente, P.; Medeiros, N.; Ribeiro, L.; Lima, N.; Oliveira, P. Predictive factors of revision endoscopic sinus surgery. Eur. Arch. Otorhinolaryngol. 2023, 280, 3265–3269. [Google Scholar] [CrossRef]
- Bai, J.; Huang, J.H.; Price, C.P.E.; Schauer, J.M.; Suh, L.A.; Harmon, R.; Conley, D.B.; Welch, K.C.; Kern, R.C.; Shintani-Smith, S.; et al. Prognostic factors for polyp recurrence in chronic rhinosinusitis with nasal polyps. J. Allergy Clin. Immunol. 2022, 150, 352–361.e7. [Google Scholar] [CrossRef]
- DeConde, A.S.; Mace, J.C.; Bodner, T.; Hwang, P.H.; Rudmik, L.; Soler, Z.M.; Smith, T.L. SNOT-22 quality of life domains differentially predict treatment modality selection in chronic rhinosinusitis. Int. Forum Allergy Rhinol. 2014, 4, 972–979. [Google Scholar] [CrossRef] [PubMed]
- Soler, Z.M.; Rudmik, L.; Hwang, P.H.; Mace, J.C.; Schlosser, J.R.; Smith, T.L. Patient-Centered Decision Making in the Treatment of Chronic Rhinosinusitis. Laryngoscope 2013, 123, 2341–2346. [Google Scholar] [CrossRef] [PubMed]
- Phillips, K.M.; Houssein, F.A.; Boeckermann, L.M.; Singerman, K.W.; Liu, D.T.; Sedaghat, A.R. Multi-institutional minimal clinically important difference of the 22-item Sinonasal Outcome Test in medically managed chronic rhinosinusitis. Rhinology 2021, 59, 552–559. [Google Scholar] [CrossRef] [PubMed]
- Schneider, S.; Campion, N.J.; Villazala-Merino, S.; Liu, D.T.; Bartosik, T.; Landegger, L.D.; Ahmadi, N.; Mueller, C.A.; Vyskocil, E.; Stanek, V.; et al. Associations between the quality of life and nasal polyp size in patients suffering from chronic rhinosinusitis without nasal polyps, with nasal polyps or aspirin-exacerbated respiratory disease. J. Clin. Med. 2020, 9, 925. [Google Scholar] [CrossRef]
- De Corso, E.; Pasquini, E.; Trimarchi, M.; La Mantia, I.; Pagella, F.; Ottaviano, G.; Garzaro, M.; Pipolo, C.; Torretta, S.; Seccia, V.; et al. Dupilumab in the treatment of severe uncontrolled chronic rhinosinusitis with nasal polyps (CRSwNP): A multicentric observational Phase IV real-life study (DUPIREAL). Allergy 2023, 78, 2669–2683. [Google Scholar] [CrossRef]
- van der Lans, R.J.L.; Otten, J.J.; Adriaensen, G.F.J.P.M.; Hoven, D.R.; Benoist, L.B.; Fokkens, W.J.; Reitsma, S. Two-year results of tapered dupilumab for CRSwNP demonstrates enduring efficacy established in the first 6 months. Allergy 2023, 78, 2684–2697. [Google Scholar] [CrossRef]
- Dharmarajan, H.; Falade, O.; Lee, S.E.; Wang, E.W. Outcomes of dupilumab treatment versus endoscopic sinus surgery for chronic rhinosinusitis with nasal polyps. Int. Forum Allergy Rhinol. 2022, 12, 986–995. [Google Scholar] [CrossRef]
- Alicandri-Ciufelli, M.; Marchioni, D.; Pipolo, C.; Garzaro, M.; Nitro, L.; Dell’Era, V.; Ferrella, F.; Campagnoli, M.; Russo, P.; Galloni, C.; et al. Influence of Prior Endoscopic Sinus Surgery Extent on Dupilumab Effectiveness in CRSwNP Patients. Laryngoscope, 2023; online ahead of print. [Google Scholar] [CrossRef]
- Fishbein, A.B.; Silverberg, J.I.; Wilson, E.J.; Ong, P.Y. Update on Atopic Dermatitis: Diagnosis, Severity Assessment, and Treatment Selection. J. Allergy Clin. Immunol. Pract. 2020, 8, 91–101. [Google Scholar] [CrossRef] [PubMed]
- Agache, I.; Beltran, J.; Akdis, C.; Akdis, M.; Canelo-Aybar, C.; Canonica, G.W.; Casale, T.; Chivato, T.; Corren, J.; Del Giacco, S.; et al. Efficacy and safety of treatment with biologicals (benralizumab, dupilumab, mepolizumab, omalizumab and reslizumab) for severe eosinophilic asthma. A systematic review for the EAACI Guidelines—Recommendations on the use of biologicals in severe asthma. Allergy 2020, 75, 1023–1042. [Google Scholar] [CrossRef] [PubMed]
- Beck, L.A.; Thaçi, D.; Deleuran, M.; Blauvelt, A.; Bissonnette, R.; de Bruin-Weller, M.; Hide, M.; Sher, L.; Hussain, I.; Chen, Z.; et al. Dupilumab provides favorable safety and sustained efficacy for up to 3 years in an open-label study of adults with moderate-to-severe atopic dermatitis. Am. J. Clin. Dermatol. 2020, 21, 567–577. [Google Scholar] [CrossRef]
- Scangas, G.A.; Wu, A.W.; Ting, J.Y.; Metson, R.; Walgama, E.; Shrime, M.G.; Higgins, T.S. Cost Utility Analysis of Dupilumab Versus Endoscopic Sinus Surgery for Chronic Rhinosinusitis with Nasal Polyps. Laryngoscope 2021, 131, E26–E33. [Google Scholar] [CrossRef] [PubMed]



| Patient Characteristic | Number (%) |
|---|---|
| Patients | 75 (100) |
| Sex | |
| Male | 48 (64) |
| Female | 27 (36) |
| Age | |
| Median, years | 52 |
| Range, years | 22–74 |
| Mean treatment duration | |
| Median, months | 7 |
| Range, months | 3–15 |
| Comorbidities | |
| None | 18 (24.0) |
| Asthma | 25 (33.3) |
| N-ERD | 32 (42.7) |
| Number (%) | ||||
|---|---|---|---|---|
| Entire Cohort | No Comorbidity | Asthma | N-ERD | |
| Postoperative Duration of pain | ||||
| One week | 35 (46.7) | 9 (50.0) | 11 (44.0) | 15 (46.9) |
| Two weeks | 21 (28.0) | 3 (16. 7) | 7 (28.0) | 11 (34.4) |
| Up to a month | 10 (13.3) | 4 (22.2) | 4 (16.0) | 2 (6.25) |
| Longer | 1 (1.3) | 1 (5.6) | 0 | 0 |
| No report | 8 (10.7) | 1 (5.6) | 3 (12.0) | 4 (12.5) |
| Postoperative need for painkillers | ||||
| One week | 47 (62.7) | 8 (55.6) | 20 (80.0) | 17 (53.1) |
| Two weeks | 12 (16) | 5 (27.8) | 2 (8.0) | 5 (15.6) |
| Up to a month | 3 (4) | 2 (11.1) | 0 | 1 (3.1) |
| Longer | 1(1.3) | 0 | 0 | 1 (3.1) |
| No report | 12 (16) | 1 (5.6) | 3 (12.0) | 8 (25.0) |
| Absence from work after operation | ||||
| One week | 31 (41.3) | 6 (33.3) | 12 (48.0) | 13 (40.6) |
| Two weeks | 22 (29.3) | 2 (11.1) | 8 (32.0) | 12 (37.5) |
| Up to a month | 13 (17.3) | 5 (27.8) | 2 (8.0) | 6 (18.75) |
| Longer | 0 (0) | 0 | 0 | 0 |
| No report | 9 (12) | 5 (27.8) | 3 (12.0) | 1 (3.1) |
| Complaint-free period after operation | ||||
| One month | 19 (25.3) | 4 (22.2) | 7 (28.0) | 8 (25.0) |
| Two months | 31 (41.3) | 10 (55.6) | 10 (40.0) | 11 (34.4) |
| Up to a year | 10 (13.3) | 1 (5.6) | 4 (16.0) | 5 (15.6) |
| Longer | 10 (13.3) | 2 (11.1) | 2 (8.0) | 6 (18.75) |
| No report | 5 (6.7) | 1 (5.6) | 2 (8.0) | 2 (6.25) |
| Polyp-free period after operation | ||||
| One month | 15 (20) | 4 (22.2) | 6 (24.0) | 5 (15.6) |
| Two months | 32 (42.7) | 9 (50.0) | 8 (32.0) | 15 (46.9) |
| Up to a year | 7 (9.3) | 0 | 3 (12.0) | 4 (12.5) |
| Longer | 16 (21.3) | 4 (22.2) | 5 (20.0) | 7 (21.9) |
| No report | 5 (6.7) | 1 (5.6) | 3 (12.0) | 1 (3.13) |
Disclaimer/Publisher’s Note: The statements, opinions and data contained in all publications are solely those of the individual author(s) and contributor(s) and not of MDPI and/or the editor(s). MDPI and/or the editor(s) disclaim responsibility for any injury to people or property resulting from any ideas, methods, instructions or products referred to in the content. |
© 2024 by the authors. Licensee MDPI, Basel, Switzerland. This article is an open access article distributed under the terms and conditions of the Creative Commons Attribution (CC BY) license (https://creativecommons.org/licenses/by/4.0/).
Share and Cite
Gangl, K.; Liu, D.T.; Bartosik, T.; Campion, N.J.; Vyskocil, E.; Mueller, C.A.; Knerer, B.; Eckl-Dorna, J.; Schneider, S. Real-Life Study of Patient Preference for Dupilumab or Revision Surgery for Recurrent Chronic Rhinosinusitis with Nasal Polyps. J. Pers. Med. 2024, 14, 338. https://doi.org/10.3390/jpm14040338
Gangl K, Liu DT, Bartosik T, Campion NJ, Vyskocil E, Mueller CA, Knerer B, Eckl-Dorna J, Schneider S. Real-Life Study of Patient Preference for Dupilumab or Revision Surgery for Recurrent Chronic Rhinosinusitis with Nasal Polyps. Journal of Personalized Medicine. 2024; 14(4):338. https://doi.org/10.3390/jpm14040338
Chicago/Turabian StyleGangl, Katharina, David Tianxiang Liu, Tina Bartosik, Nicholas James Campion, Erich Vyskocil, Christian Albert Mueller, Birgit Knerer, Julia Eckl-Dorna, and Sven Schneider. 2024. "Real-Life Study of Patient Preference for Dupilumab or Revision Surgery for Recurrent Chronic Rhinosinusitis with Nasal Polyps" Journal of Personalized Medicine 14, no. 4: 338. https://doi.org/10.3390/jpm14040338
APA StyleGangl, K., Liu, D. T., Bartosik, T., Campion, N. J., Vyskocil, E., Mueller, C. A., Knerer, B., Eckl-Dorna, J., & Schneider, S. (2024). Real-Life Study of Patient Preference for Dupilumab or Revision Surgery for Recurrent Chronic Rhinosinusitis with Nasal Polyps. Journal of Personalized Medicine, 14(4), 338. https://doi.org/10.3390/jpm14040338

