Similar Short-Term Outcomes of Adolescent Idiopathic Scoliosis Surgery with or without Drainage: A Systematic Review of the Literature and Meta-Analysis
Abstract
1. Introduction
2. Materials and Methods
2.1. Search Strategy
- Pub-Med: “(Drain OR drainage) AND (scoliosis OR adolescent idiopathic scoliosis OR AIS)”
- Cochrane library: “drainage AND scoliosis”.
2.2. Study Selection
2.3. Data Collection Process
3. Results
3.1. Baseline Studies Characteristics and Quality Assessment
3.2. Included Patients’ Characteristics
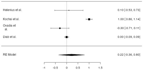
3.3. Blood Loss and Transfusion
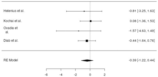
3.4. Hospital Length of Stay
3.5. Complications
4. Discussion
5. Conclusions
Author Contributions
Funding
Institutional Review Board Statement
Informed Consent Statement
Data Availability Statement
Conflicts of Interest
References
- Lenke, L.G.; Betz, R.R.; Harms, J.; Bridwell, K.H.; Clements, D.H.; Lowe, T.G.; Blanke, K. Adolescent Idiopathic Scoliosis. A New Classification to Determine Extent of Spinal Arthrodesis. J. Bone Jt. Surg. 2001, 83, 1169–1181. [Google Scholar] [CrossRef]
- Bettany-Saltikov, J.; Weiss, H.R.; Chockalingam, N.; Taranu, R.; Srinivas, S.; Hogg, J.; Whittaker, V.; Kalyan, R.V.; Arnell, T. Surgical versus Non-Surgical Interventions in People with Adolescent Idiopathic Scoliosis. Cochrane Database Syst. Rev. 2015, 2015, 43021–43390. [Google Scholar] [CrossRef]
- Diab, M.; Smucny, M.; Dormans, J.P.; Erickson, M.A.; Ibrahim, K.; Lenke, L.G.; Sucato, D.J.; Sanders, J.O. Use and Outcomes of Wound Drain in Spinal Fusion for Adolescent Idiopathic Scoliosis. Spine 2012, 37, 966–973. [Google Scholar] [CrossRef] [PubMed]
- Parker, M.J.; Livingstone, V.; Clifton, R.; McKee, A. Closed Suction Surgical Wound Drainage after Orthopaedic Surgery. Cochrane Database Syst. Rev. 2007, 2008, CD001825. [Google Scholar] [CrossRef] [PubMed]
- Page, M.J.; McKenzie, J.E.; Bossuyt, P.M.; Boutron, I.; Hoffmann, T.C.; Mulrow, C.D.; Shamseer, L.; Tetzlaff, J.M.; Akl, E.A.; Brennan, S.E.; et al. The PRISMA 2020 Statement: An Updated Guideline for Reporting Systematic Reviews. BMJ 2021, 372, n71. [Google Scholar] [CrossRef] [PubMed]
- Sterne, J.A.; Hernán, M.A.; Reeves, B.C.; Savović, J.; Berkman, N.D.; Viswanathan, M.; Henry, D.; Altman, D.G.; Ansari, M.T.; Boutron, I.; et al. ROBINS-I: A Tool for Assessing Risk of Bias in Non-Randomised Studies of Interventions. BMJ 2016, 355, i4919. [Google Scholar] [CrossRef]
- Sterne, J.A.C.; Savović, J.; Page, M.J.; Elbers, R.G.; Blencowe, N.S.; Boutron, I.; Cates, C.J.; Cheng, H.Y.; Corbett, M.S.; Eldridge, S.M.; et al. RoB 2: A Revised Tool for Assessing Risk of Bias in Randomised Trials. BMJ 2019, 366, l4898. [Google Scholar] [CrossRef]
- Ovadia, D.; Drexler, M.; Kramer, M.; Herman, A.; Lebel, D.E. Closed Wound Subfascial Suction Drainage in Posterior Fusion Surgery for Adolescent Idiopathic Scoliosis: A Prospective Randomized Control Study. Spine 2019, 44, 377–383. [Google Scholar] [CrossRef]
- Blank, J.; Flynn, J.M.; Bronson, W.; Ellman, P.; Pill, S.G.; Lou, J.E.; Dormans, J.P.; Drummond, D.S.; Ecker, M.L. The Use of Postoperative Subcutaneous Closed Suction Drainage after Posterior Spinal Fusion in Adolescents with Idiopathic Scoliosis. J. Spinal Disord. Tech. 2003, 16, 508–512. [Google Scholar] [CrossRef]
- Helenius, L.; Gerdhem, P.; Ahonen, M.; Syvänen, J.; Jalkanen, J.; Charalampidis, A.; Nietosvaara, Y.; Helenius, I. Postoperative Outcomes of Pedicle Screw Instrumentation for Adolescent Idiopathic Scoliosis with and without a Subfascial Wound Drain: A Multicentre Randomized Controlled Trial. Bone Jt. J. 2022, 104 B, 1067–1072. [Google Scholar] [CrossRef]
- Kochai, A.; Erkorkmaz, Ü. The Role of Drains in Adolescent Idiopathic Scoliosis Surgery: Is It Necessary? Medicine 2019, 98, e18061. [Google Scholar] [CrossRef]
- Andrew Glennie, R.; Dea, N.; Street, J.T. Dressings and Drains in Posterior Spine Surgery and Their Effect on Wound Complications. J. Clin. Neurosci. 2015, 22, 1081–1087. [Google Scholar] [CrossRef] [PubMed]
- Patel, S.B.; Griffiths-Jones, W.; Jones, C.S.; Samartzis, D.; Clarke, A.J.; Khan, S.; Stokes, O.M. The Current State of the Evidence for the Use of Drains in Spinal Surgery: Systematic Review. Eur. Spine J. 2017, 26, 2729–2738. [Google Scholar] [CrossRef] [PubMed]
- Gadiya, A.D.; Koch, J.E.J.; Patel, M.S.; Shafafy, M.; Grevitt, M.P.; Quraishi, N.A. Enhanced Recovery after Surgery (ERAS) in Adolescent Idiopathic Scoliosis (AIS): A Meta-Analysis and Systematic Review. Spine Deform. 2021, 9, 893–904. [Google Scholar] [CrossRef]
- Koucheki, R.; Koyle, M.; Ibrahim, G.M.; Nallet, J.; Lebel, D.E. Comparison of Interventions and Outcomes of Enhanced Recovery after Surgery: A Systematic Review and Meta-Analysis of 2456 Adolescent Idiopathic Scoliosis Cases. Eur. Spine J. 2021, 30, 3457–3472. [Google Scholar] [CrossRef]
- Hassankhani, E.G.; Hassankhani, G.G.; Pharmsist, S.G.H. The Outcome of Posterior Spinal Fusion and Instrumentation of Adolescent Idiopathic Scoliosis without Wound Suction Drainage. Open J. Orthop. 2023, 13, 23–30. [Google Scholar] [CrossRef]
- Zhang, Q.D.; Guo, W.S.; Zhang, Q.; Liu, Z.H.; Cheng, L.M.; Li, Z.R. Comparison between Closed Suction Drainage and Nondrainage in Total Knee Arthroplasty. A Meta-Analysis. J. Arthroplast. 2011, 26, 1265–1272. [Google Scholar] [CrossRef]
- Albasha, A.; Salman, L.A.; Elramadi, A.; Abudalou, A.; Mustafa, A.; Hejleh, H.A.A.; Ahmed, G. Outcomes of Drain versus No Drain in Total Knee Arthroplasty: A Retrospective Cohort Study. Int. Orthop. 2023, 47, 2985–2989. [Google Scholar] [CrossRef] [PubMed]
- Zhou, X.D.; Li, J.; Xiong, Y.; Jiang, L.F.; Li, W.J.; Wu, L.D. Do We Really Need Closed-Suction Drainage in Total Hip Arthroplasty? A Meta-Analysis. Int. Orthop. 2013, 37, 2109–2118. [Google Scholar] [CrossRef] [PubMed]
- Fichman, S.G.; Mäkinen, T.J.; Lozano, B.; Rahman, W.A.; Safir, O.; Gross, A.E.; Backstein, D.; Kuzyk, P.R.T. Closed Suction Drainage Has No Benefits in Revision Total Hip Arthroplasty: A Randomized Controlled Trial. Int. Orthop. 2016, 40, 453–457. [Google Scholar] [CrossRef] [PubMed]
- Walid, M.S.; Abbara, M.; Tolaymat, A.; Davis, J.R.; Waits, K.D.; Robinson, J.S.; Robinson, J.S. The Role of Drains in Lumbar Spine Fusion. World Neurosurg. 2012, 77, 564–568. [Google Scholar] [CrossRef] [PubMed]
- Floccari, L.V.; Poppino, K.; Greenhill, D.A.; Sucato, D.J. Ponte Osteotomies in a Matched Series of Large AIS Curves Increase Surgical Risk without Improving Outcomes. Spine Deform. 2021, 9, 1411–1418. [Google Scholar] [CrossRef] [PubMed]
- Barile, F.; Ruffilli, A.; Viroli, G.; Manzetti, M.; Traversari, M.; Faldini, C. Transient L5 Nerve Root Palsy Caused by Subfascial Drain after Lumbar Surgery: Case Report and Literature Review. JBJS Case Connect 2022, 12, e22. [Google Scholar] [CrossRef] [PubMed]









| Author | Study Design | Level of Evidence | Patients N° (M/F) | Inclusion Criteria | Mean Patients Age (Years) | Closed Suction Drain Type | Autologous Bone Harvest (Eventual Donor Site Drain Placement) | Intraoperative Cell Saver | Intrawound Antibiotics | Perioperative Antibiotics Protocol | Mean Surgical Time (min) | Mean Intraoperative Blood Loss (mL) | Mean Post-Operative Blood Loss (mL)/Drain Volume at Removal | Drain Removal Criteria/Drain Removal Time | Transfusion Criteria | Intra-Operative Transfusion | Post-Operative Transfusion | Overall Transfusion | Mean Length of Stay (Days) | Overall Complication (n, %) | Surgical Site Infection (n, %) | Hematoma (n, %) | Overall Revision Surgery Needed (n, %) | Main Findings | ||
|---|---|---|---|---|---|---|---|---|---|---|---|---|---|---|---|---|---|---|---|---|---|---|---|---|---|---|
| 1 | Helenius, 2022 [10] (D) | Multi-center RCT | II | 90 (22/68) | 47 (12/35) | AIS patients of age 10–21. Patients who required ncreas Schwab > 2 osteotomies or combined approaches were excluded | 15.7 ± 2.0 | Subfascial closed suction Hemovac Ch 14 drain (Zimmer, Dover, OH, USA) | / | / | / | Cefuroxime or cloxacilline were continued for 3 doses post-operatively | 180 ± 60 | 565.0 ± 339.0 | 443.0 ± 520.0 | 24 h post-operatively | Hb < 8 g/dL | 2 | 1 | 3 | 4.8 ± 1.3 | 2 (4.3%) | 1 (2.1%) | / | 0 | Subfascial closed suction drainage increased total blood loss but did not affect postoperative haemoglobin drop or need for blood transfusion. Patients in the non-drain group needed 30% more opioid during the first 48 h after surgery. A significant subfascial haematoma develops in patients who do not receive drainage. However, the drain itself does not increase postoperative bleeding. |
| Helenius, 2022 [10] (ND) | 43 (10/33) | 15.8 ± 1.8 | / | / | / | 186 ± 60 | 603.0 ± 423.0 | / | / | 1 | 4 | 5 | 4.7 ± 1.7 | 3 (7.0%) | 2 (4.6%) | / | 1 (2.3%) | |||||||||
| 2 | Kochai, 2019 [11] (D) | RCS | III | 52 (20/32) | 28 (13/15) | AIS patients of age 14–18. Patients who required Schwab > 2 osteotomies and post-operative intensive care admission were excluded. | 15 (14–16) | Subfascial closed suction 2–4 mm drain tube | / | / | / | 48 h course of antibiotic post-operatively | / | / | 400.0 (350.0–500.0) | Output < 50 mL/die 36 h (30–40) | Hb < 8.5 g/dL | 2 | 2 | 6 (6–7) | 5 (17.8%) | 5 (17.8%) | 0 | 5 (17.8%) | No significant difference in infection rate between patients who received closed subfascial drains and patients without any drainage. Patients in the drain group showed significantly longer hospital stay and higher blood transfusion rate. | |
| Kochai, 2019 [11] (ND) | 24 (7/17) | 14.5 (14–16) | / | / | / | / | / | / | / | 0 | 0 | 5 (5–5) | 4 (16.6%) | 4 (16.6%) | 0 | 4 (16.6%) | ||||||||||
| 3 | Ovadia, 2019 [8] (D) | RCT | II | 100 (22/78) | 48 (13/35) | AIS patients of age 11–18, with the major curve Cobb angle of more than 50°, and the absence of intradural abnormalities at whole spine MRI | 15.8 ± 1.9 | Subfascial closed suction drain (Biovac Biometrix, Gronsveld, The Netherlands) | ✕ | ✓ | 1 g of vancomycin powder applied into the wound | / | 207.9 ± 55.1 | / | 974.0 ± 248.6 | Output < 100 mL/die, as of the second or third postoperative day 56.9 ± 13.7 h | / | 3 | 3 | 5.81 ± 0.7 | 1 (2.1%) | 0 | 0 | 0 | No significant differences in short-term complication rates between patients who received closed subfascial drains and patients without any drainage. Drains did not significantly reduce wound infection and wound dehiscence rate. Patients who received drainage were more likely to have larger post-operative bleeding and, subsequently, blood transfusions. | |
| Ovadia, 2019 [8] (ND) | 52 (9/43) | 15.3 ± 2.0 | / | 205.0 ± 45.0 | / | / | / | 1 | 1 | 6.1 ± 1.3 | 4 (7.7%) | 2 (3.8%) | 0 | 0 | ||||||||||||
| 4 | Diab, 2012 [3] (D) | Multi-center RCS | III | 500 (105/395) | 324 (62/262) | AIS patients of age 13–21 years at surgery with Risser sign > 2. Minimum 2 years follow up | 15.7 ± 1.6 | Subfascial closed suction drainage: 22 Subcutaneous closed suction drainage: 176 Combined deep and superficial drainage: 107 | / | ✓: 193 ✕: 131 | / | / | 275.8 ± 80.6 | 803.2 ± 598.1 | 775.5 ± 581.2 | 57.2 ± 25.8 h after surgery | / | 237 | 131 | 267 | 5.9 | 18 (5.5%) | 6 (1.8%) | / | 4 (1.2%) | Wound drains were used twice as often as not by a heterogeneous group of spinal surgeons. Patients with all-pedicle screw construct were more likely to receive drains. Postoperative transfusion rate and mean amount of blood transfused were higher in patients who had drain. Postoperative transfusion rate correlated with number of drains. There was no difference in incidence of wound complications. |
| Diab, 2012 [3] (ND) | 176 (43/133) | 15.6 ± 1.7 | / | ✓: 129 ✕: 47 | 306.9 ± 78.1 | 900.4 ± 719.4 | / | / | 150 | 38 | 156 | 19 (10.8%) | 5 (2.8%) | / | 4 (2.3%) | |||||||||||
| 5 | Blank, 2003 [9] (D) | RCT | II | 30 (4/26) | 18 | Consecutive AIS patients who underwent PSF | 14.4 (11–17) | Subcutaneous Hemovac drain (Zimmer, Dover, OH, USA) | Iliac crest autogenous bone harvest (closed suction subfascial drain at the iliac donor site, separate reservoir) | ✓ | ✕ | 48 h of cephalosporin beginning intraoperatively | / | 887.5 ± 356.7 | 548.4 | 48 h after surgery | Hb < 8 g/dL or if patients exhibit anemia signs and symptoms | 14 | 11 | 17 | / | 0 | 0 | 0 | 0 | Closed suction drainage can decrease wound complications, without significantly increasing the need for transfusion. Furthermore, the use of drainage may reduce the frequency of required dressing change or reinforcement. Subcutaneous drainage did not significantly increase blood loss. |
| Blank, 2003 [9] (ND) | 12 | 13.3 (11–16) | / | 1091.6 ± 457.2) | / | 11 | 5 | 12 | 3 (25%) | / | / | 3 (25%) | ||||||||||||||
| Authors | Drainage | Lenke Types | Mean Pre-Operative Cobb Angle of Major Curve (°) | Mean Post-Operative Cobb Angle of Major Curve (°) | Internal Fixation System | Osteotomies/Accessory Procedures | Mean Fused Levels (n) | |
|---|---|---|---|---|---|---|---|---|
| Helenius, 2022 [10] | D | I: 17 II: 13 III: 4 IV: 1 V: 8 VI: 4 | 55.0 ± 8.4 | 15.0 ± 7.0 | All-pedicle screw | 7 PCOs (15%) | 10.4 ± 2.4 | |
| ND | I: 16 II: 13 III: 0 IV: 7 V: 3 VI: 4 | 56.0 ± 8.2 | 17.0 ± 6.0 | 7 PCOs (16%) | 10.8 ± 1.9 | |||
| Kochai, 2019 [11] | D | I: 12 II: 10 III: 1 V: 5 | / | / | / | / | 11 (10–12) | |
| ND | I: 13 II: 5 III: 4 V: 2 | 11 (11–12) | ||||||
| Ovadia, 2019 [8] | D | I: 29 II: 4 III: 6 IV: 0 V: 3 VI: 6 | 64.7 ± 12.5 | / | All-pedicle screw | No osteotomies. The spinous processes were left intact. No iliac crest harvesting. | / | |
| ND | I: 24 II: 4 III: 10 IV: 2 V: 7 VI: 5 | 65.4 ± 15.0 | ||||||
| Diab, 2012 [3] | D | I: 153 II: 66 III: 35 IV: 12 V: 34 VI: 24 | 56.7 ± 12.1 | / | All-pedicle screw: 182 Hybrid construct: 291 All-hook: 23 | All-pedicle screw: 164 Hybrid construct: 153 All-hook: 7 | 10% of thoracoplasties. No complex osteotomies or VCR. | 11.7 ± 2.3 |
| ND | I: 91 II: 50 III: 10 IV: 4 V: 11 VI: 10 | 56.9 ± 10.6 | All-pedicle screw: 18 Hybrid construct: 138 All-hook: 16 | 6% of thoracoplasties. No complex osteotomies or VCR. | 11.2 ± 2.4 | |||
| Blank, 2003 [9] | D | / | / | / | Two-rod and cross-linked construct | / | 7.6 (5–10) | |
| ND | 8.8 (7–11) | |||||||
| Authors | Drainage | No. of Patients | Complication Overall (n) | Surgical Site Infection (n) | Wound-Related Complications (n) | Medical Complication (n) | Mechanical Complication (n) | Neurological Complication (n) |
|---|---|---|---|---|---|---|---|---|
| Helenius, 2022 [10] | D | 47 | 2 (4.3%) | 1 (2.1%) Superficial SSI positive for Staphylococcus aureus | / | / | / | / |
| ND | 43 | 3 (7.0%) | 2 (4.6%): 1 deep SSI 1 superificial SSI both positives for Staphylococcus aureus | 1 (2.3%) sterile seroma which required aspiration 13 days after surgery | / | / | / | |
| Kochai, 2019 [11] | D | 28 | 5 (17.8%) Negative coltures | 5 (17.8%) superificial SSI | / | / | / | / |
| ND | 24 | 4 (16.6%) Negative coltures | 4 (16.6%) superificial SSI | / | / | / | / | |
| Ovadia, 2019 [8] | D | 48 | 1 (2.1%) | 0 | 1 (2.1%) wound dehiscence | / | / | / |
| ND | 52 | 4 (7.7%) | 2 (3.8%) superficial SSI | 1 (1.9%) wound dehiscence | 1 (1.9%) pneumonia | / | / | |
| Diab, 2012 [3] | D | 324 | 18 (5.5%) | 6 (1.8%) | / | 6 (1.8%) 1 urinary tract infection 4 re-operation 1 superior mesenteric artery syndrome | 2 (0.6%) 1 implant failure 1 pedicle fracture requiring re-intervention | 4 (1.2%) 2 nerve root injury 1 spinal cord injury 1 CSF leak |
| ND | 176 | 19 (10.8%) | 5 (2.8%) | / | 7 (4.0%) 1 pneumonia 3 re-operation 1 superior mesenteric artery syndrome 1 respiratory distress syndrome 2 other | 2 (1.1%) implant failure | 5 (2.8%) 1 nerve root injury 3 radiculopathy 1 CSF leak | |
| Blank, 2003 [9] | D | 18 | 0 | 0 | / | / | / | / |
| ND | 12 | 3 (25%) | / | 3 (25%) wound complication | / | / | / |
Disclaimer/Publisher’s Note: The statements, opinions and data contained in all publications are solely those of the individual author(s) and contributor(s) and not of MDPI and/or the editor(s). MDPI and/or the editor(s) disclaim responsibility for any injury to people or property resulting from any ideas, methods, instructions or products referred to in the content. |
© 2024 by the authors. Licensee MDPI, Basel, Switzerland. This article is an open access article distributed under the terms and conditions of the Creative Commons Attribution (CC BY) license (https://creativecommons.org/licenses/by/4.0/).
Share and Cite
Ruffilli, A.; Traversari, M.; Viroli, G.; Manzetti, M.; Ialuna, M.; Morandi Guaitoli, M.; Mazzotti, A.; Artioli, E.; Zielli, S.O.; Arceri, A.; et al. Similar Short-Term Outcomes of Adolescent Idiopathic Scoliosis Surgery with or without Drainage: A Systematic Review of the Literature and Meta-Analysis. J. Pers. Med. 2024, 14, 339. https://doi.org/10.3390/jpm14040339
Ruffilli A, Traversari M, Viroli G, Manzetti M, Ialuna M, Morandi Guaitoli M, Mazzotti A, Artioli E, Zielli SO, Arceri A, et al. Similar Short-Term Outcomes of Adolescent Idiopathic Scoliosis Surgery with or without Drainage: A Systematic Review of the Literature and Meta-Analysis. Journal of Personalized Medicine. 2024; 14(4):339. https://doi.org/10.3390/jpm14040339
Chicago/Turabian StyleRuffilli, Alberto, Matteo Traversari, Giovanni Viroli, Marco Manzetti, Marco Ialuna, Manuele Morandi Guaitoli, Antonio Mazzotti, Elena Artioli, Simone Ottavio Zielli, Alberto Arceri, and et al. 2024. "Similar Short-Term Outcomes of Adolescent Idiopathic Scoliosis Surgery with or without Drainage: A Systematic Review of the Literature and Meta-Analysis" Journal of Personalized Medicine 14, no. 4: 339. https://doi.org/10.3390/jpm14040339
APA StyleRuffilli, A., Traversari, M., Viroli, G., Manzetti, M., Ialuna, M., Morandi Guaitoli, M., Mazzotti, A., Artioli, E., Zielli, S. O., Arceri, A., & Faldini, C. (2024). Similar Short-Term Outcomes of Adolescent Idiopathic Scoliosis Surgery with or without Drainage: A Systematic Review of the Literature and Meta-Analysis. Journal of Personalized Medicine, 14(4), 339. https://doi.org/10.3390/jpm14040339

