Effects of Intradermal Therapy (Mesotherapy) on Bilateral Cervicobrachial Pain
Abstract
1. Introduction
2. Materials and Methods
2.1. Patients Characteristics
2.2. Study Methods
- -
- Visual Analogue Scale (VAS): it is a pain assessment scale. Its value can be a number between a minimum of 0, which represents no pain sensed, and a maximum of 10, which is the worst pain the patients ever experienced;
- -
- Range of movement (or motion) (ROM): the extent or limit to which a part of the body can be moved around a joint or a fixed point. The ROM in the movement of the flexion is between 80° and 90° for the cervical spine. The extension is about 70°, lateral flexion ranges from 20° to 45°, and the rotation increases up to 90°, both to the left and to the right; passive ROM (pROM) was evaluated; pROM was evaluated with the patient sitting, relaxed and with the doctor behind them;
- -
- Bilateral trapezius’ tone measured in Hertz (Hz);
- -
- Bilateral trapezius’ dynamic stiffness measured in Newton/meters (N/m).
2.3. Statistical Analysis
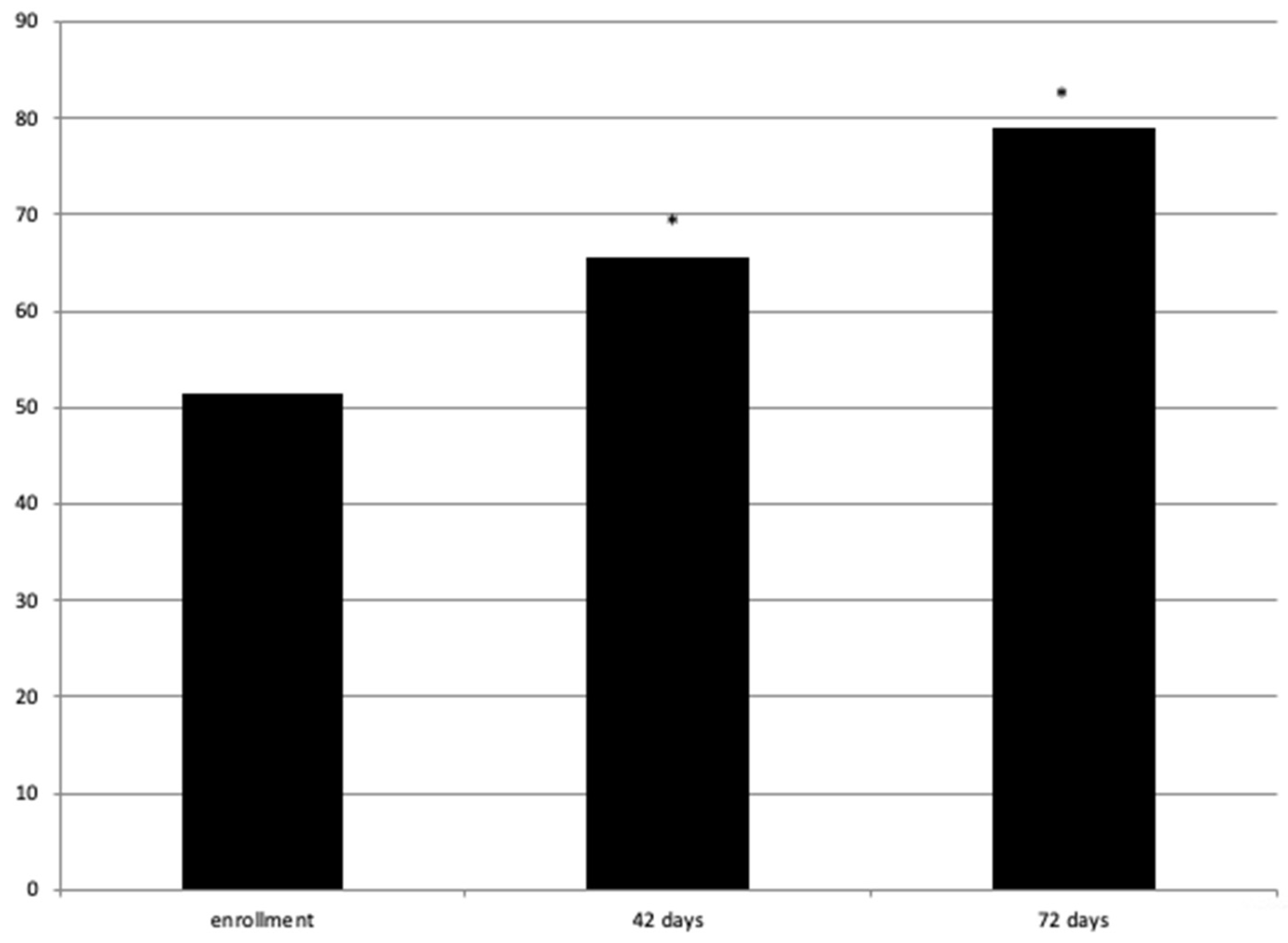
3. Results
4. Discussion
5. Conclusions
Author Contributions
Funding
Institutional Review Board Statement
Informed Consent Statement
Data Availability Statement
Conflicts of Interest
Abbreviations
| LIT | local intradermal therapy |
| VAS | Visual Analogue Scale |
| NSAIDs | nonsteroidal anti-inflammatory drugs |
| ROM | range of motion |
References
- Safiri, S.; Kolahi, A.A.; Cross, M.; Hill, C.; Smith, E.; Carson-Chahhoud, K.; Mansournia, M.A.; Almasi-Hashiani, A.; Ashrafi-Asgarabad, A.; Kaufman, J.; et al. Prevalence, Deaths, and Disability-Adjusted Life Years Due to Musculoskeletal Disorders for 195 Countries and Territories 1990–2017. Arthritis Rheumatol. 2021, 73, 702–714. [Google Scholar] [CrossRef] [PubMed]
- GBD 2016 Disease and Injury Incidence and Prevalence Collaborators. Global, regional, and national incidence, prevalence, and years lived with disability for 328 diseases and injuries for 195 countries, 1990–2016: A systematic analysis for the Global Burden of Disease Study 2016. Lancet 2017, 390, 1211–1259. [Google Scholar] [CrossRef] [PubMed]
- Bezzina, A.; Austin, E.; Nguyen, H.; James, C. Workplace Psychosocial Factors and Their Association With Musculoskeletal Disorders: A Systematic Review of Longitudinal Studies. Workplace Health Saf. 2023, 71, 578–588. [Google Scholar] [CrossRef]
- Blanpied, P.R.; Gross, A.R.; Elliott, J.M.; Devaney, L.L.; Clewley, D.; Walton, D.M.; Sparks, C.; Robertson, E.K. Neck Pain: Revision 2017. J. Orthop. Sports Phys. Ther. 2017, 47, A1–A83. [Google Scholar] [CrossRef] [PubMed]
- Kazeminasab, S.; Nejadghaderi, S.A.; Amiri, P.; Pourfathi, H.; Araj-Khodaei, M.; Sullman, M.J.M.; Kolahi, A.A.; Safiri, S. Neck pain: Global epidemiology, trends and risk factors. BMC Musculoskelet. Disord. 2022, 23, 26. [Google Scholar] [CrossRef]
- Cohen, S.P. Epidemiology, diagnosis, and treatment of neck pain. Mayo Clin. Proc. 2015, 90, 284–299. [Google Scholar] [CrossRef]
- Prablek, M.; Gadot, R.; Xu, D.S.; Ropper, A.E. Neck Pain: Differential Diagnosis and Management. Neurol. Clin. 2023, 41, 77–85. [Google Scholar] [CrossRef]
- Gangavelli, R.; Nair, N.S.; Bhat, A.K.; Solomon, J.M. Cervicobrachial pain—How Often is it Neurogenic? J. Clin. Diagn. Res. 2016, 10, YC14-6. [Google Scholar] [CrossRef]
- Urits, I.; Charipova, K.; Gress, K.; Schaaf, A.L.; Gupta, S.; Kiernan, H.C.; Choi, P.E.; Jung, J.W.; Cornett, E.; Kaye, A.D.; et al. Treatment and management of myofascial pain syndrome. Best Pract. Res. Clin. Anaesthesiol. 2020, 34, 427–448. [Google Scholar] [CrossRef]
- Opeyemi, O.; Babatunde, J.L.; Jordan, D.A.; Van der Windt, J.C.; Hill, N.E.; Foster, J.P. Effective treatment options for musculoskeletal pain in primary care: A systematic overview of current evidence. PLoS ONE 2017, 12, e0178621. [Google Scholar]
- Montrief, T.; Koyfman, A.; Long, B. Acute liver failure: A review for emergency physicians. Am. J. Emerg. Med. 2019, 37, 329–337. [Google Scholar] [CrossRef] [PubMed]
- Cooper, C.; Chapurlat, R.; Al-Daghri, N.; Herrero Beaumont, G.; Bruyère, O.; Rannouet, F. Safety of oral non-selective non-steroidal anti-inflammatory drugs in osteoarthritis: What does the literature say? Drug Aging 2019, 36, 15–24. [Google Scholar] [CrossRef] [PubMed]
- Moghadam-Kia, S.; Werth, V.P. Prevention and treatment of systemic glucocorticoid side effects. Int. J. Dermatol. 2010, 49, 239–248. [Google Scholar] [CrossRef] [PubMed]
- Mammucari, M.; Russo, D.; Maggiori, E.; Paolucci, T.; Di Marzo, R.; Brauneis, S.; Bifarini, B.; Ronconi, G.; Ferrara, P.E.; Gori, F.; et al. Evidence based recommendations on mesotherapy: An update from the Italian society of Mesotherapy. Clin. Ter. 2021, 171, e37–e45. [Google Scholar] [CrossRef] [PubMed]
- Mammucari, M.; Maggiori, E.; Antonaci, L.; Fanelli, R.; Giorgio, C.; George, F.; Mouhli, N.; Rahali, H.; Ksibi, I.; Maaoui, R.; et al. Intradermal therapy recommendations for standardization in localized pain management by the Italian Society of Mesotherapy. Minerva Med. 2021, 112, 298–300. [Google Scholar] [CrossRef] [PubMed]
- Paolucci, T.; Bellomo, R.G.; Centra, M.A.; Giannandrea, N.; Pezzi, L.; Saggini, R. Mesotherapy in the treatment of musculoskeletal pain in rehabilitation: The state of the art. J. Pain Res. 2019, 12, 2391–2401. [Google Scholar] [CrossRef] [PubMed]
- Mammucari, M.; Gatti, A.; Maggiori, S.; Bartoletti, C.A.; Sabato, A.F. Mesotherapy, definition, rationale and clinical role: A consensus report from the Italian Society of Mesotherapy. Eur. Rev. Med. Pharmacol. Sci. 2011, 15, 682–694. [Google Scholar] [PubMed]
- Tringali, G.; Navarra, P. Optimal solubility of diclofenac β-cyclodextrin in combination with local anaesthetics for meso-therapy applications. Evid. Based Complement. Altern. Med. 2017, 2017, 8321325. [Google Scholar] [CrossRef]
- Van Mulder, T.J.; de Koeijer, M.; Theeten, H.; Willems, D.; Van Damme, P.; Demolder, M.; De Meyer, G.; Beyers, K.C.; Vankerckhoven, V. High frequency ultrasound to assess skin thickness in healthy adults. Vaccine 2017, 35, 1810–1815. [Google Scholar] [CrossRef]
- Van Mulder, T.J.S.; Van Nuffel, D.; Demolder, M.; De Meyer, G.; Moens, S.; Beyers, K.C.L.; Vankerckhoven, V.V.J.; Van Damme, P.; Theeten, H. Skin thickness measurements for optimal intradermal injections in children. Vaccine 2020, 38, 763–768. [Google Scholar] [CrossRef]
- Tan, C.Y.; Statham, B.; Marks, R.; Payne, P.A. Skin thickness measurement by pulsed ultrasound: Its reproducibility, valida-tion and variability. Br. J. Dermatol. 1982, 106, 657–667. [Google Scholar] [CrossRef] [PubMed]
- Bifarini, B.; Gori, F.; Russo, D.; Mammucari, M.; Maggiori, E.; Di Marzo, R.; Migliore, A.; Massafra, U.; Ronconi, G.; Ferrara, P.E.; et al. Intradermal therapy (mesotherapy): The lower the better. Clin. Ter. 2022, 173, 79–83. [Google Scholar] [CrossRef]
- Mammucari, M.; Gatti, A.; Maggiori, S.; Sabato, A.F. Role of mesotherapy in musculoskeletal pain: Opinions from the italian society of mesotherapy. Evid. Based Complement. Altern. Med. 2012, 2012, 436959. [Google Scholar] [CrossRef] [PubMed]
- Lo, W.L.A.; Zhao, J.L.; Li, L.; Mao, Y.R.; Huang, D.F. Relative and Absolute Interrater Reliabilities of a Hand-Held Myotonom-eter to Quantify Mechanical Muscle Properties in Patients with Acute Stroke in an Inpatient Ward. BioMed Res. Int. 2017, 2017, 4294028. [Google Scholar] [CrossRef] [PubMed]
- Mullix, J.; Warner, M.; Stokes, M. Testing muscle tone and mechanical properties of rectus femoris and biceps femoris using a novel hand held MyotonPRO device: Relative ratios and reliability. Work Pap. Health Sci. 2012, 1, 1–8. [Google Scholar]
- Nguyen, A.P.; Detrembleur, C.; Fisette, P.; Selves, C.; Mahaudens, P. MyotonPro Is a Valid Device for Assessing Wrist Biome-chanical Stiffness in Healthy Young Adults. Front. Sports Act. Living 2022, 4, 797975. [Google Scholar] [CrossRef]
- Vrinceanu, D.; Dumitru, M.; Popa-Cherecheanu, M.; Marinescu, A.N.; Patrascu, O.M.; Bobirca, F. Extracranial Facial Nerve Schwannoma-Histological Surprise or Therapeutic Planning? Medicina 2023, 59, 1167. [Google Scholar] [CrossRef]
- Mallard, F.; Wong, J.J.; Lemeunier, N.; Côté, P. Effectiveness of Multimodal Rehabilitation Interventions for Management of Cervical Radiculopathy in Adults: An Updated Systematic Review from the Ontario Protocol for Traffic Injury Management (Optima) Collaboration. J. Rehabil. Med. 2022, 54, 2799. [Google Scholar] [CrossRef]
- Paolucci, T.; Piccinini, G.; Trifan, P.D.; Zangrado, F.; Saracenio, V.M. Efficacy of trigger point mesotherapy for the treatment of chronic neck pain: A short-term retrospective study. Int. J. Phys. Ther. Rehab. 2016, 2, 113. [Google Scholar] [CrossRef]
- Farrow, R.A., 2nd; Newberry, M.; Zitek, T.; Farrow, J.; Mechanic, O.J.; Rosselli, M. Ultrasound-Guided Trigger Point Injections for the Treatment of Neck and Back Pain in the Emergency Department: A Randomized Trial. J. Ultrasound Med. 2023, 42, 1023–1032. [Google Scholar] [CrossRef]
- Mammucari, M.; Paolucci, T.; Russo, D.; Maggiori, E.; Di Marzo, R.; Migliore, A.; Massafra, U.; Ronconi, G.; Ferrara, P.E.; Gori, F.; et al. A Call to Action by the Italian Mesotherapy Society on Scientific Research. Drug Des. Dev. Ther. 2021, 15, 3041–3047. [Google Scholar] [CrossRef] [PubMed]
- Gan, T.J. Diclofenac: An update on its mechanism of action and safety profile. Curr. Med. Res. Opin. 2010, 26, 1715–1731. [Google Scholar] [CrossRef] [PubMed]
- Small, R.E. Diclofenac sodium. Clin. Pharm. 1989, 8, 545–558. [Google Scholar] [PubMed]
- Affaitati, G.; Giamberardino, M.A.; Lapenna, D.; Costantini, R. Diclofenac epolamine topical patch for the treatment of pain. J. Biol. Regul. Homeost. Agents 2018, 32, 435–441. [Google Scholar]
- Hsieh, L.F.; Hong, C.Z.; Chern, S.H.; Chen, C.C. Efficacy and side effects of diclofenac patch in treatment of patients with myofas-cial pain syndrome of the upper trapezius. J. Pain Symptom Manag. 2010, 39, 116–125. [Google Scholar] [CrossRef]
- Faetani, L.; Ghizzoni, D.; Ammendolia, A.; Costantino, C. Safety and efficacy of mesotherapy in musculoskeletal disorders: A systematic review of randomized controlled trials with meta-analysis. J. Rehabil. Med. 2021, 53, jrm00182. [Google Scholar] [CrossRef] [PubMed]
- Ferrara, E.; Ronconi, G.; Viscito, R.; Pascuzzo, R.; Rosulescu, E.; Ljoka, C.; Maggi, L.; Ferriero, G.; Foti, C. Efficacy of mesotherapy using drugs versus normal saline solution in chronic spinal pain: A retrospective study. Int. J. Rehabil. Res. 2017, 40, 171–174. [Google Scholar] [CrossRef]
- Frost, A. Diclofenac versus lidocaine as injection therapy in myofascial pain. Scand. J. Rheumatol. 1986, 15, 153–156. [Google Scholar] [CrossRef]
- Pistor, M. Exposé propriétés nouvelles de la procaine locale en pathologie humaine [Review of new properties of topical procaine in human patholgy]. Presse. Med. 1958, 66, 999–1000. [Google Scholar]
- Mammucari, M.; Maggiori, E.; Russo, D.; Giorgio, C.; Ronconi, G.; Ferrara, P.E.; Canzona, F.; Antonaci, L.; Violo, B.; Vellucci, R.; et al. Mesotherapy: From Historical Notes to Scientific Evidence and Future Prospects. Sci. J. 2020, 2020, 3542848. [Google Scholar] [CrossRef]
- Saggini, R.; Di Stefano, A.; Dodaj, I.; Scarcello, L.; Bellomo, R.G. Pes Anserine Bursitis in Symptomatic Osteoarthritis Patients: A Mesotherapy Treatment Study. J. Altern. Complement. Med. 2015, 21, 480–484. [Google Scholar] [CrossRef] [PubMed]





| MIDDLE AGE | 50.6 ± 9.4 | |
| Patient 1 | 35 | |
| Patient 2 | 39 | |
| Patient 3 | 44 | |
| Patient 4 | 45 | |
| Patient 5 | 52 | |
| Patient 6 | 55 | |
| Patient 7 | 56 | |
| Patient 8 | 57 | |
| Patient 9 | 58 | |
| Patient 10 | 65 | |
| SEX | ||
| Male | 7 | 70% |
| Female | 3 | 30% |
| EMPLOYMENT | ||
| Secretary | 6 | 60% |
| Employee | 3 | 30% |
| Cleaner | 1 | 10% |
Disclaimer/Publisher’s Note: The statements, opinions and data contained in all publications are solely those of the individual author(s) and contributor(s) and not of MDPI and/or the editor(s). MDPI and/or the editor(s) disclaim responsibility for any injury to people or property resulting from any ideas, methods, instructions or products referred to in the content. |
© 2024 by the authors. Licensee MDPI, Basel, Switzerland. This article is an open access article distributed under the terms and conditions of the Creative Commons Attribution (CC BY) license (https://creativecommons.org/licenses/by/4.0/).
Share and Cite
Ranieri, M.; Marvulli, R.; D’Alesio, E.; Riccardi, M.; Raele, M.V.; Dell’Anna, L.; Fai, A.; Farì, G.; Megna, M. Effects of Intradermal Therapy (Mesotherapy) on Bilateral Cervicobrachial Pain. J. Pers. Med. 2024, 14, 122. https://doi.org/10.3390/jpm14010122
Ranieri M, Marvulli R, D’Alesio E, Riccardi M, Raele MV, Dell’Anna L, Fai A, Farì G, Megna M. Effects of Intradermal Therapy (Mesotherapy) on Bilateral Cervicobrachial Pain. Journal of Personalized Medicine. 2024; 14(1):122. https://doi.org/10.3390/jpm14010122
Chicago/Turabian StyleRanieri, Maurizio, Riccardo Marvulli, Eleonora D’Alesio, Mariagrazia Riccardi, Maria Vittoria Raele, Laura Dell’Anna, Annatonia Fai, Giacomo Farì, and Marisa Megna. 2024. "Effects of Intradermal Therapy (Mesotherapy) on Bilateral Cervicobrachial Pain" Journal of Personalized Medicine 14, no. 1: 122. https://doi.org/10.3390/jpm14010122
APA StyleRanieri, M., Marvulli, R., D’Alesio, E., Riccardi, M., Raele, M. V., Dell’Anna, L., Fai, A., Farì, G., & Megna, M. (2024). Effects of Intradermal Therapy (Mesotherapy) on Bilateral Cervicobrachial Pain. Journal of Personalized Medicine, 14(1), 122. https://doi.org/10.3390/jpm14010122

