Mid-Regional Pro-Adrenomedullin and N-Terminal Pro-B-Type Natriuretic Peptide Measurement: A Multimarker Approach to Diagnosis and Prognosis in Acute Heart Failure
Abstract
1. Introduction
2. Materials and Methods
2.1. Study Design
2.2. Biomarker Measurement
2.3. Statistical Analysis
3. Results
3.1. Re-Hospitalization within 30 Days
3.2. Re-Hospitalizations after 30 Days
3.3. Biomarkers in Combination with NYHA Class Stratification in Patients with AHF
3.4. Left Ventricular Ejection Fraction (LVEF) Patient Stratification and Biomarkers
4. Discussion
4.1. Strengths of the Study
4.2. Study Limitations
5. Conclusions
Author Contributions
Funding
Institutional Review Board Statement
Informed Consent Statement
Data Availability Statement
Acknowledgments
Conflicts of Interest
Abbreviations
References
- McDonagh, T.A.; Metra, M.; Adamo, M.; Gardner, R.S.; Baumbach, A.; Böhm, M.; Burri, H.; Butler, J.; Čelutkienė, J.; Chioncel, O.; et al. 2021 ESC Guidelines for the Diagnosis and Treatment of Acute and Chronic Heart Failure: Developed by the Task Force for the Diagnosis and Treatment of Acute and Chronic Heart Failure of the European Society of Cardiology (ESC) with the Special Contributio. Eur. Heart J. 2021, 42, 3599–3726. [Google Scholar] [CrossRef] [PubMed]
- Ponikowski, P.; Voors, A.A.; Anker, S.D.; Bueno, H.; Cleland, J.G.F.; Coats, A.J.S.; Falk, V.; González-Juanatey, J.R.; Harjola, V.-P.; Jankowska, E.A.; et al. 2016 ESC Guidelines for the Diagnosis and Treatment of Acute and Chronic Heart Failure: The Task Force for the Diagnosis and Treatment of Acute and Chronic Heart Failure of the European Society of Cardiology (ESC)Developed with the Special Contribution of the Heart Failure Association (HFA) of the ESC. Eur. Heart J. 2016, 37, 2129–2200. [Google Scholar] [CrossRef] [PubMed]
- James, S.L.; Abate, D.; Abate, K.H.; Abay, S.M.; Abbafati, C.; Abbasi, N.; Abbastabar, H.; Abd-Allah, F.; Abdela, J.; Abdelalim, A.; et al. Global, Regional, and National Incidence, Prevalence, and Years Lived with Disability for 354 Diseases and Injuries for 195 Countries and Territories, 1990–2017: A Systematic Analysis for the Global Burden of Disease Study 2017. Lancet 2018, 392, 1789–1858. [Google Scholar] [CrossRef] [PubMed]
- Roger, V.L. Epidemiology of Heart Failure. Circ. Res. 2013, 113, 646–659. [Google Scholar] [CrossRef] [PubMed]
- Virani, S.S.; Alonso, A.; Benjamin, E.J.; Bittencourt, M.S.; Callaway, C.W.; Carson, A.P.; Chamberlain, A.M.; Chang, A.R.; Cheng, S.; Delling, F.N.; et al. Heart Disease and Stroke Statistics-2020 Update: A Report From the American Heart Association. Circulation 2020, 141, e139–e596. [Google Scholar] [CrossRef]
- Conrad, N.; Judge, A.; Tran, J.; Mohseni, H.; Hedgecott, D.; Crespillo, A.P.; Allison, M.; Hemingway, H.; Cleland, J.G.; McMurray, J.J.V.; et al. Temporal Trends and Patterns in Heart Failure Incidence: A Population-Based Study of 4 Million Individuals. Lancet 2018, 391, 572–580. [Google Scholar] [CrossRef]
- Mosterd, A.; Hoes, A.W. Clinical Epidemiology of Heart Failure. Heart 2007, 93, 1137–1146. [Google Scholar] [CrossRef]
- Smeets, M.; Vaes, B.; Mamouris, P.; Van Den Akker, M.; Van Pottelbergh, G.; Goderis, G.; Janssens, S.; Aertgeerts, B.; Henrard, S. Burden of Heart Failure in Flemish General Practices: A Registry-Based Study in the Intego Database. BMJ Open 2019, 9, e022972. [Google Scholar] [CrossRef]
- Bibbins-Domingo, K.; Pletcher, M.J.; Lin, F.; Vittinghoff, E.; Gardin, J.M.; Arynchyn, A.; Lewis, C.E.; Williams, O.D.; Hulley, S.B. Racial Differences in Incident Heart Failure among Young Adults. N. Engl. J. Med. 2009, 360, 1179–1190. [Google Scholar] [CrossRef]
- Ceia, F.; Fonseca, C.; Mota, T.; Morais, H.; Matias, F.; de Sousa, A.; Oliveira, A. EPICA Investigators Prevalence of Chronic Heart Failure in Southwestern Europe: The EPICA Study. Eur. J. Heart Fail. 2002, 4, 531–539. [Google Scholar] [CrossRef]
- Benjamin, E.J.; Virani, S.S.; Callaway, C.W.; Chamberlain, A.M.; Chang, A.R.; Cheng, S.; Chiuve, S.E.; Cushman, M.; Delling, F.N.; Deo, R.; et al. Heart Disease and Stroke Statistics-2018 Update: A Report From the American Heart Association. Circulation 2018, 137, e67–e492. [Google Scholar] [CrossRef] [PubMed]
- van Riet, E.E.S.; Hoes, A.W.; Wagenaar, K.P.; Limburg, A.; Landman, M.A.J.; Rutten, F.H. Epidemiology of Heart Failure: The Prevalence of Heart Failure and Ventricular Dysfunction in Older Adults over Time. A Systematic Review. Eur. J. Heart Fail. 2016, 18, 242–252. [Google Scholar] [CrossRef] [PubMed]
- Arrigo, M.; Jessup, M.; Mullens, W.; Reza, N.; Shah, A.M.; Sliwa, K.; Mebazaa, A. Acute Heart Failure. Nat. Rev. Dis. Prim. 2020, 6, 16. [Google Scholar] [CrossRef] [PubMed]
- Hoste, E.A.J.; Clermont, G.; Kersten, A.; Venkataraman, R.; Angus, D.C.; De Bacquer, D.; Kellum, J.A. RIFLE Criteria for Acute Kidney Injury Are Associated with Hospital Mortality in Critically Ill Patients: A Cohort Analysis. Crit. Care 2006, 10, R73. [Google Scholar] [CrossRef] [PubMed]
- Chen, J.; Dharmarajan, K.; Wang, Y.; Krumholz, H.M. National Trends in Heart Failure Hospital Stay Rates, 2001 to 2009. J. Am. Coll. Cardiol. 2013, 61, 1078–1088. [Google Scholar] [CrossRef]
- Krum, H.; Jelinek, M.V.; Stewart, S.; Sindone, A.; Atherton, J.J.; National Heart Foundation of Australia; Cardiac Society of Australia and New Zealand. 2011 Update to National Heart Foundation of Australia and Cardiac Society of Australia and New Zealand Guidelines for the Prevention, Detection and Management of Chronic Heart Failure in Australia, 2006. Med. J. Aust. 2011, 194, 405–409. [Google Scholar] [CrossRef] [PubMed]
- Caraballo, C.; Desai, N.R.; Mulder, H.; Alhanti, B.; Wilson, F.P.; Fiuzat, M.; Felker, G.M.; Piña, I.L.; O’Connor, C.M.; Lindenfeld, J.; et al. Clinical Implications of the New York Heart Association Classification. J. Am. Heart Assoc. 2019, 8, e014240. [Google Scholar] [CrossRef]
- Hunt, S.A.; Baker, D.W.; Chin, M.H.; Cinquegrani, M.P.; Feldman, A.M.; Francis, G.S.; Ganiats, T.G.; Goldstein, S.; Gregoratos, G.; Jessup, M.L.; et al. ACC/AHA Guidelines for the Evaluation and Management of Chronic Heart Failure in the Adult: Executive Summary. A Report of the American College of Cardiology/American Heart Association Task Force on Practice Guidelines (Committee to Revise the 1995 Guidel. J. Am. Coll. Cardiol. 2001, 38, 2101–2113. [Google Scholar] [CrossRef]
- Heidenreich, P.A.; Bozkurt, B.; Aguilar, D.; Allen, L.A.; Byun, J.J.; Colvin, M.M.; Deswal, A.; Drazner, M.H.; Dunlay, S.M.; Evers, L.R.; et al. 2022 AHA/ACC/HFSA Guideline for the Management of Heart Failure: A Report of the American College of Cardiology/American Heart Association Joint Committee on Clinical Practice Guidelines. Circulation 2022, 145, e895–e1032. [Google Scholar] [CrossRef]
- Jhund, P.S.; Macintyre, K.; Simpson, C.R.; Lewsey, J.D.; Stewart, S.; Redpath, A.; Chalmers, J.W.T.; Capewell, S.; McMurray, J.J.V. Long-Term Trends in First Hospitalization for Heart Failure and Subsequent Survival between 1986 and 2003: A Population Study of 5.1 Million People. Circulation 2009, 119, 515–523. [Google Scholar] [CrossRef]
- Mant, J.; Doust, J.; Roalfe, A.; Barton, P.; Cowie, M.; Glasziou, P.; Mant, D.; McManus, R.; Holder, R.; Deeks, J.; et al. Systematic Review and Individual Patient Data Meta-Analysis of Diagnosis of Heart Failure, with Modelling of Implications of Different Diagnostic Strategies in Primary Care. Health Technol. Assess. 2009, 13, 1–232. [Google Scholar] [CrossRef] [PubMed]
- Kelder, J.C.; Cramer, M.J.; van Wijngaarden, J.; van Tooren, R.; Mosterd, A.; Moons, K.G.M.; Lammers, J.W.; Cowie, M.R.; Grobbee, D.E.; Hoes, A.W. The Diagnostic Value of Physical Examination and Additional Testing in Primary Care Patients with Suspected Heart Failure. Circulation 2011, 124, 2865–2873. [Google Scholar] [CrossRef] [PubMed]
- Oudejans, I.; Mosterd, A.; Bloemen, J.A.; Valk, M.J.; van Velzen, E.; Wielders, J.P.; Zuithoff, N.P.; Rutten, F.H.; Hoes, A.W. Clinical Evaluation of Geriatric Outpatients with Suspected Heart Failure: Value of Symptoms, Signs, and Additional Tests. Eur. J. Heart Fail. 2011, 13, 518–527. [Google Scholar] [CrossRef] [PubMed]
- Spoto, S.; Mangiacapra, F.; D’Avanzo, G.; Lemme, D.; Bustos Guillén, C.; Abbate, A.; Markley, J.D.; Sambuco, F.; Markley, R.; Fogolari, M.; et al. Synergistic Effect of Myocardial Injury and Mid-Regional ProAdrenomedullin Elevation in Determining Clinical Outcomes of SARS-CoV-2 Patients. Front. Med. 2022, 9, 929408. [Google Scholar] [CrossRef] [PubMed]
- Angeletti, S.; Fogolari, M.; Morolla, D.; Capone, F.; Costantino, S.; Spoto, S.; De Cesaris, M.; Lo Presti, A.; Ciccozzi, M.; Dicuonzo, G. Role of Neutrophil Gelatinase-Associated Lipocalin in the Diagnosis and Early Treatment of Acute Kidney Injury in a Case Series of Patients with Acute Decompensated Heart Failure: A Case Series. Cardiol. Res. Pract. 2016, 2016, 3708210. [Google Scholar] [CrossRef]
- Cheung, K.C.P.; Fanti, S.; Mauro, C.; Wang, G.; Nair, A.S.; Fu, H.; Angeletti, S.; Spoto, S.; Fogolari, M.; Romano, F.; et al. Preservation of Microvascular Barrier Function Requires CD31 Receptor-Induced Metabolic Reprogramming. Nat. Commun. 2020, 11, 3595. [Google Scholar] [CrossRef]
- Braunwald, E. Biomarkers in Heart Failure. N. Engl. J. Med. 2008, 358, 2148–2159. [Google Scholar] [CrossRef]
- Gaggin, H.K.; Januzzi, J.L. Biomarkers and Diagnostics in Heart Failure. Biochim. Biophys. Acta Mol. Basis Dis. 2013, 1832, 2442–2450. [Google Scholar] [CrossRef]
- Zile, M.R.; Claggett, B.L.; Prescott, M.F.; McMurray, J.J.V.; Packer, M.; Rouleau, J.L.; Swedberg, K.; Desai, A.S.; Gong, J.; Shi, V.C.; et al. Prognostic Implications of Changes in N-Terminal Pro-B-Type Natriuretic Peptide in Patients with Heart Failure. J. Am. Coll. Cardiol. 2016, 68, 2425–2436. [Google Scholar] [CrossRef]
- Hunt, S.A.; Abraham, W.T.; Chin, M.H.; Feldman, A.M.; Francis, G.S.; Ganiats, T.G.; Jessup, M.; Konstam, M.A.; Mancini, D.M.; Michl, K.; et al. 2009 Focused Update Incorporated Into the ACC/AHA 2005 Guidelines for the Diagnosis and Management of Heart Failure in Adults. Circulation 2009, 119, e391–e479. [Google Scholar] [CrossRef]
- Moe, G.W.; Howlett, J.; Januzzi, J.L.; Zowall, H. Canadian Multicenter Improved Management of Patients with Congestive Heart Failure (IMPROVE-CHF) Study Investigators N-Terminal pro-B-Type Natriuretic Peptide Testing Improves the Management of Patients with Suspected Acute Heart Failure: Primary Results of the Canadian Prospective Randomized Multicenter IMPROVE-CHF Study. Circulation 2007, 115, 3103–3110. [Google Scholar] [CrossRef] [PubMed]
- Avramovski, P.J.; Petlichkovski, A.; Avramovska, M.; Ilkovska, B.; Sotiroski, K.; Nikleski, Z.; Sikole, E. The Gamma Gap Predicts All-Cause Mortality in Chronic Dialysis Patients. Indian J. Nephrol. 2021, 31, 212–217. [Google Scholar] [CrossRef] [PubMed]
- Avramovski, P.; Avramovska, M.; Sotiroski, K.; Sikole, A. Acute-phase proteins as promoters of abdominal aortic calcification in chronic dialysis patients. Saudi J. Kidney Dis. Transpl. 2019, 30, 376–386. [Google Scholar] [CrossRef]
- Suthahar, N.; Wang, D.; Aboumsallem, J.P.; Shi, C.; de Wit, S.; Liu, E.E.; Lau, E.S.; Bakker, S.J.L.; Gansevoort, R.T.; van der Vegt, B.; et al. Association of Initial and Longitudinal Changes in C-reactive Protein with the Risk of Cardiovascular Disease, Cancer, and Mortality. Mayo. Clin. Proc. 2023, 98, 549–558. [Google Scholar] [CrossRef] [PubMed]
- Morgenthaler, N.G.; Struck, J.; Alonso, C.; Bergmann, A. Measurement of Midregional Proadrenomedullin in Plasma with an Immunoluminometric Assay. Clin. Chem. 2005, 51, 1823–1829. [Google Scholar] [CrossRef]
- Montrucchio, G.; Sales, G.; Rumbolo, F.; Palmesino, F.; Fanelli, V.; Urbino, R.; Filippini, C.; Mengozzi, G.; Brazzi, L. Effectiveness of mid-regional pro- adrenomedullin (MR-proADM) as prognostic marker in COVID-19 critically ill patients: An observational prospective study. PLoS ONE 2021, 16, e0246771. [Google Scholar] [CrossRef] [PubMed]
- Niu, P.; Shindo, T.; Iwata, H.; Iimuro, S.; Takeda, N.; Zhang, Y.; Ebihara, A.; Suematsu, Y.; Kangawa, K.; Hirata, Y.; et al. Protective Effects of Endogenous Adrenomedullin on Cardiac Hypertrophy, Fibrosis, and Renal Damage. Circulation 2004, 109, 1789–1794. [Google Scholar] [CrossRef]
- Spoto, S.; Fogolari, M.; De Florio, L.; Minieri, M.; Vicino, G.; Legramante, J.; Lia, M.S.; Terrinoni, A.; Caputo, D.; Costantino, S.; et al. Procalcitonin and MR-ProAdrenomedullin Combination in the Etiological Diagnosis and Prognosis of Sepsis and Septic Shock. Microb. Pathog. 2019, 137, 103763. [Google Scholar] [CrossRef]
- Khera, R.; Krumholz, H.M. Effects of the Hospital Readmissions Reduction Program. Circ. Cardiovasc. Qual. Outcomes 2018, 11, e005083. [Google Scholar] [CrossRef]
- Nagarajan, V.; Tang, W.H. Biomarkers in advanced heart failure: Diagnostic and therapeutic insights. Congest. Heart Fail. 2011, 17, 169–174. [Google Scholar] [CrossRef]
- Lassus, J.; Gayat, E.; Mueller, C.; Peacock, W.F.; Spinar, J.; Harjola, V.-P.; van Kimmenade, R.; Pathak, A.; Mueller, T.; Disomma, S.; et al. Incremental Value of Biomarkers to Clinical Variables for Mortality Prediction in Acutely Decompensated Heart Failure: The Multinational Observational Cohort on Acute Heart Failure (MOCA) Study. Int. J. Cardiol. 2013, 168, 2186–2194. [Google Scholar] [CrossRef] [PubMed]
- Khanam, S.S.; Son, J.-W.; Lee, J.-W.; Youn, Y.J.; Yoon, J.; Lee, S.-H.; Kim, J.-Y.; Ahn, S.G.; Ahn, M.-S.; Yoo, B.-S. Prognostic Value of Short-Term Follow-up BNP in Hospitalized Patients with Heart Failure. BMC Cardiovasc. Disord. 2017, 17, 215. [Google Scholar] [CrossRef] [PubMed]
- Maggioni, A.P.; Dahlström, U.; Filippatos, G.; Chioncel, O.; Leiro, M.C.; Drozdz, J.; Fruhwald, F.; Gullestad, L.; Logeart, D.; Fabbri, G.; et al. EURObservational Research Programme: Regional Differences and 1-Year Follow-up Results of the Heart Failure Pilot Survey (ESC-HF Pilot). Eur. J. Heart Fail. 2013, 15, 808–817. [Google Scholar] [CrossRef] [PubMed]
- Morrow, D.A.; Velazquez, E.J.; DeVore, A.D.; Desai, A.S.; Duffy, C.I.; Ambrosy, A.P.; Gurmu, Y.; McCague, K.; Rocha, R.; Braunwald, E. Clinical Outcomes in Patients with Acute Decompensated Heart Failure Randomly Assigned to Sacubitril/Valsartan or Enalapril in the PIONEER-HF Trial. Circulation 2019, 139, 2285–2288. [Google Scholar] [CrossRef] [PubMed]
- Velazquez, E.J.; Morrow, D.A.; DeVore, A.D.; Duffy, C.I.; Ambrosy, A.P.; McCague, K.; Rocha, R.; Braunwald, E. Angiotensin–Neprilysin Inhibition in Acute Decompensated Heart Failure. N. Engl. J. Med. 2019, 380, 539–548. [Google Scholar] [CrossRef]
- Lisy, O.; Jougasaki, M.; Schirger, J.A.; Chen, H.H.; Barclay, P.T.; Burnett, J.C. Neutral Endopeptidase Inhibition Potentiates the Natriuretic Actions of Adrenomedullin. Am. J. Physiol. Physiol. 1998, 275, F410–F414. [Google Scholar] [CrossRef]
- Lewis, L.; Smith, M.; Brennan, S.; Yandle, T.; Richards, A.; Nicholls, M. Degradation of Human Adrenomedullin(1-52) by Plasma Membrane Enzymes and Identification of Metabolites. Peptides 1997, 18, 733–739. [Google Scholar] [CrossRef]
- Shah, R.V.; Truong, Q.A.; Gaggin, H.K.; Pfannkuche, J.; Hartmann, O.; Januzzi, J.L. Mid-Regional pro-Atrial Natriuretic Peptide and pro-Adrenomedullin Testing for the Diagnostic and Prognostic Evaluation of Patients with Acute Dyspnoea. Eur. Heart J. 2012, 33, 2197–2205. [Google Scholar] [CrossRef]
- Nagatomo, Y. A Long Road to Personalized Medicine in Heart Failure and Cardiomyopathies. J. Pers. Med. 2023, 13, 141. [Google Scholar] [CrossRef]





| Variables | AHF n = 145 | Non AHF Non Septic n = 127 | p Value |
|---|---|---|---|
| Age, yrs. | 80 ± 11 | 75 ± 12 | <0.0001 |
| Male | 76 (52) | 70 (55) | 0.4075 |
| Anamnestic variable | |||
| Arterial hypertension | 131 (90) | 107 (84) | 0.1297 |
| COPD | 52 (36) | 42 (33) | 0.6289 |
| Chronic kidney disease | 63 (43) | 51 (40) | 0.5830 |
| Diabetes mellitus | 52 (36) | 41 (32) | 0.5345 |
| Current smoker or ex-smoker | 79 (54) | 58 (46) | 0.1467 |
| Dyslipidemia | 79 (54) | 63 (50) | 0.4218 |
| Atrial fibrillation | 97 (67) | 74 (58) | 0.1418 |
| BMI, kg/m2 | 26 [23.5–29.0] | 26 (23.0–29.0) | 0.8463 |
| BMI ≥ 30 kg/m2 BMI ≤ 25 kg/m2 | 23 (16) 54 (37) | 20 (16) 49 (38) | 0.9795 0.8200 |
| NT-proBNP, pg/mL | 5319 [1691–11,874] | 271 [89–931.5] | <0.0001 |
| MR-proADM, nmol/L | 2.07 [1.40–3.02] | 1.11 [0.83–1.71] | <0.0001 |
| CRP, mg/dL | 8.8 [2.3–29.0] | 1.85 [0.45–6.50] | <0.0001 |
| Creatinine, mg/dL | 1.26 [0.9–1.71] | 0.81 [0.70–1.15] | <0.0001 |
| LOS | 11 [8–14.5] | 9 [7–13] | 0.02 |
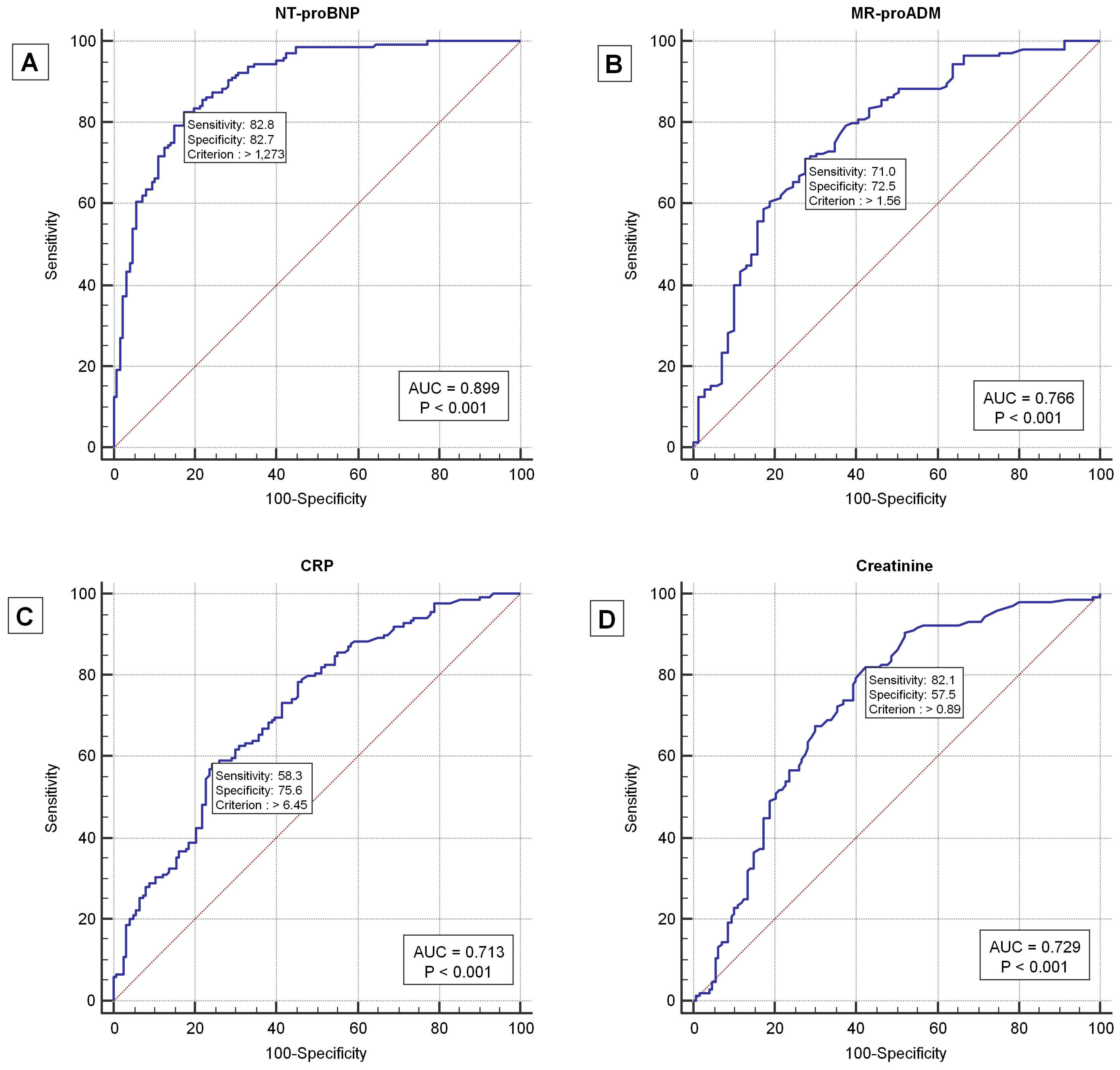
| Biomarkers | Cut-Off Value | AUC% | p Value | PPV% | NPV% | Sens% | Spec% | LR+ | LR− | Prev% |
|---|---|---|---|---|---|---|---|---|---|---|
| MR-proADM, nmol/L | 1.56 | 76.6 | <0.0001 | 84 | 54 | 71 | 72 | 2.58 | 0.40 | 67.76 |
| NT-proBNP, pg/mL | 1273 | 89.9 | <0.0001 | 84.9 | 81 | 82.76 | 82.68 | 4.78 | 0.21 | 53.31 |
| CRP, mg/dL | 6.45 | 69 | <0.0001 | 72 | 60 | 56.25 | 75.59 | 2.30 | 6.58 | 53.14 |
| Creatinine, mg/dL | 0.89 | 0.73 | <0.0001 | 68.8 | 73.7 | 82 | 57.5 | 1.93 | 0.31 | 53.31 |
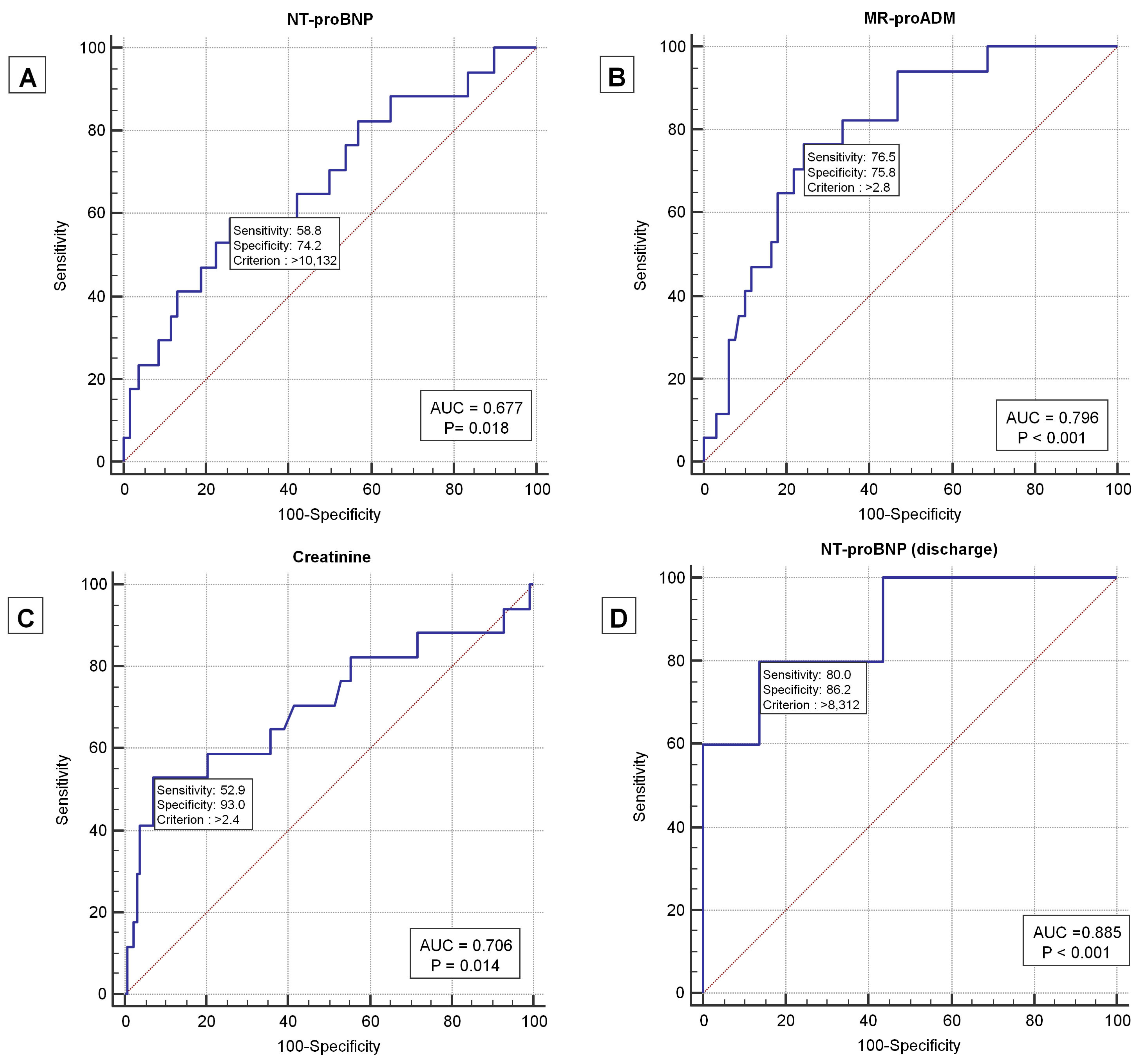
| Biomarkers | Cut-Off Value | AUC% | p Value | PPV% | NPV% | Sens% | Spec% | LR+ | LR− | Prev% |
|---|---|---|---|---|---|---|---|---|---|---|
| MR-proADM, nmol/L | 2.8 | 0.80 | <0.0001 | 29.53 | 96 | 76.47 | 75.78 | 3.16 | 0.31 | 11.72 |
| NT-proBNP, pg/mL | 10,132 | 0.68 | 0.018 | 23.3 | 93 | 58.8 | 74.2 | 2.28 | 0.55 | 11.72 |
| NT-proBNP, pg/mL at discharge | 8312 | 88.5 | <0.001 | 26.3 | 98.6 | 80 | 86 | 5.82 | 0.23 | 5.88 |
| Creatinine, mg/dL | 2.4 | 0.71 | 0.0138 | 50 | 94 | 53 | 93 | 7.53 | 0.51 | 11.72 |
| Biomarkers | Cut-Off | PPV% | Combined PPV % | |
|---|---|---|---|---|
| NT-proBNP, pg/mL | >10,132 | 23.3 | 48.5 | 85 |
| MR-proADM, nmol/L | >2.8 | 29.53 | ||
| NT-proBNP, pg/mL at the discharge | >8312 | 26.3 | ||
| Biomarkers | HFrEF ARNI (N = 10) | HFrEF non-ARNI (N = 35) | p Value |
|---|---|---|---|
| NT-proBNP, pg/mL | 8649.5 [3393–11,229.0] | 7918.0 [2845.0–33,531.0] | 0.4206 |
| NT-proBNP, pg/mL at the discharge | 2467.5 [1562.5–4622.0] | 5672.0 [1897.0–9779.0] | 0.1572 |
| MR-proADM, nmol/L | 1.89 [1.11–2.80] | 2.01 [1.61–2.93] | 0.4205 |
Disclaimer/Publisher’s Note: The statements, opinions and data contained in all publications are solely those of the individual author(s) and contributor(s) and not of MDPI and/or the editor(s). MDPI and/or the editor(s) disclaim responsibility for any injury to people or property resulting from any ideas, methods, instructions or products referred to in the content. |
© 2023 by the authors. Licensee MDPI, Basel, Switzerland. This article is an open access article distributed under the terms and conditions of the Creative Commons Attribution (CC BY) license (https://creativecommons.org/licenses/by/4.0/).
Share and Cite
Spoto, S.; Argemi, J.; Di Costanzo, R.; Gavira Gomez, J.J.; Salterain Gonzales, N.; Basili, S.; Cangemi, R.; Abbate, A.; Locorriere, L.; Masini, F.; et al. Mid-Regional Pro-Adrenomedullin and N-Terminal Pro-B-Type Natriuretic Peptide Measurement: A Multimarker Approach to Diagnosis and Prognosis in Acute Heart Failure. J. Pers. Med. 2023, 13, 1155. https://doi.org/10.3390/jpm13071155
Spoto S, Argemi J, Di Costanzo R, Gavira Gomez JJ, Salterain Gonzales N, Basili S, Cangemi R, Abbate A, Locorriere L, Masini F, et al. Mid-Regional Pro-Adrenomedullin and N-Terminal Pro-B-Type Natriuretic Peptide Measurement: A Multimarker Approach to Diagnosis and Prognosis in Acute Heart Failure. Journal of Personalized Medicine. 2023; 13(7):1155. https://doi.org/10.3390/jpm13071155
Chicago/Turabian StyleSpoto, Silvia, Josepmaria Argemi, Roberta Di Costanzo, Juan Josè Gavira Gomez, Nahikari Salterain Gonzales, Stefania Basili, Roberto Cangemi, Antonio Abbate, Luciana Locorriere, Francesco Masini, and et al. 2023. "Mid-Regional Pro-Adrenomedullin and N-Terminal Pro-B-Type Natriuretic Peptide Measurement: A Multimarker Approach to Diagnosis and Prognosis in Acute Heart Failure" Journal of Personalized Medicine 13, no. 7: 1155. https://doi.org/10.3390/jpm13071155
APA StyleSpoto, S., Argemi, J., Di Costanzo, R., Gavira Gomez, J. J., Salterain Gonzales, N., Basili, S., Cangemi, R., Abbate, A., Locorriere, L., Masini, F., Testorio, G., Calarco, R., Battifoglia, G., Mangiacapra, F., Fogolari, M., Costantino, S., & Angeletti, S. (2023). Mid-Regional Pro-Adrenomedullin and N-Terminal Pro-B-Type Natriuretic Peptide Measurement: A Multimarker Approach to Diagnosis and Prognosis in Acute Heart Failure. Journal of Personalized Medicine, 13(7), 1155. https://doi.org/10.3390/jpm13071155

