Clinical Outcomes of Stereotactic Body Radiotherapy (SBRT) for Oligometastatic Patients with Lymph Node Metastases from Gynecological Cancers
Abstract
1. Introduction
2. Materials and Methods
2.1. Patients
2.2. Radiotherapy
2.3. Chemotherapy
2.4. Toxicities and Follow-Up
2.5. Statistical Analysis
3. Results
3.1. Patients and Treatment Characteristics
3.2. Treatment Outcomes
4. Discussion
5. Conclusions
Author Contributions
Funding
Institutional Review Board Statement
Informed Consent Statement
Data Availability Statement
Conflicts of Interest
References
- Long, B.; Eskander, R.N.; Tewari, K.S. Use of stereotactic radiosurgery in the treatment of gynecologic malignancies: A review. World J. Radiol. 2014, 6, 366–373. [Google Scholar] [CrossRef] [PubMed]
- Facondo, G.; Vullo, G.; De Sanctis, V.; Valeriani, M.; Ascolese, A.M.; Massaro, M.; Anzellini, D.; Osti, M.F. Stereotactic Body Radiation Therapy Boost in Patients with Cervical Cancer Ineligible for Brachytherapy. Cancer Diagn. Progn. 2021, 1, 53–60. [Google Scholar] [CrossRef] [PubMed]
- Hellman, S.; Weichselbaum, R.R. Oligometastases. J. Clin. Oncol. 1995, 13, 8–10. [Google Scholar] [CrossRef] [PubMed]
- Gomez, D.R.; Tang, C.; Zhang, J.; Blumenschein, G.R., Jr.; Hernandez, M.; Lee, J.J.; Ye, R.; Palma, D.A.; Louie, A.V.; Camidge, D.R.; et al. Local Consolidative Therapy Vs. Maintenance Therapy or Observation for Patients with Oligometastatic Non-Small-Cell Lung Cancer: Long-Term Results of a Multi-Institutional, Phase II, Randomized Study. J. Clin. Oncol. 2019, 37, 1558–1565. [Google Scholar] [CrossRef]
- Jereczek-Fossa, B.A.; Fariselli, L.; Beltramo, G.; Catalano, G.; Serafini, F.; Garibaldi, C.; Cambria, R.; Brait, L.; Possanzini, M.; Bianchi, L.C.; et al. Linac-based or robotic image-guided stereotactic radiotherapy for isolated lymph node recurrent prostate cancer. Radiother. Oncol. 2009, 93, 14–17. [Google Scholar] [CrossRef]
- Palma, D.A.; Olson, R.; Harrow, S.; Gaede, S.; Louie, A.V.; Haasbeek, C.; Mulroy, L.; Lock, M.; Rodrigues, G.B.; Yaremko, B.P.; et al. Stereotactic ablative radiotherapy versus standard of care palliative treatment in patients with oligometastatic cancers (SABR-COMET): A randomised, phase 2, open-label trial. Lancet 2019, 393, 2051–2058. [Google Scholar] [CrossRef]
- Harrow, S.; Palma, D.A.; Olson, R.; Gaede, S.; Louie, A.V.; Haasbeek, C.; Mulroy, L.; Lock, M.; Rodrigues, G.B.; Yaremko, B.P.; et al. Stereotactic Radiation for the Comprehensive Treatment of Oligometastases (SABR-COMET)—Extended Long-Term Outcomes. Int. J. Radiat. Oncol. Biol. Phys. 2022, 114, 611–616. [Google Scholar] [CrossRef]
- Laliscia, C.; Fabrini, M.G.; Delishaj, D.; Morganti, R.; Greco, C.; Cantarella, M.; Tana, R.; Paiar, F.; Gadducci, A. Clinical Outcomes of Stereotactic Body Radiotherapy in Oligometastatic Gynecological Cancer. Int. J. Gynecol. Cancer 2017, 27, 396–402. [Google Scholar] [CrossRef]
- Deodato, F.; Macchia, G.; Grimaldi, L.; Ferrandina, G.; Lorusso, D.; Salutari, V.; Cilla, S.; Valentini, V.; Cellini, N.; Piermattei, A.; et al. Stereotactic radiotherapy in recurrent gynecological cancer: A case series. Oncol. Rep. 2009, 22, 415–419. [Google Scholar]
- Yegya-Raman, N.; Cao, C.D.; Hathout, L.; Girda, E.; Richard, S.D.; Rosenblum, N.G.; Taunk, N.K.; Jabbour, S.K. Stereotactic body radiation therapy for oligometastatic gynecologic malignancies: A systematic review. Gynecol. Oncol. 2020, 159, 573–580. [Google Scholar] [CrossRef]
- Chou, H.H.; Wang, C.C.; Lai, C.H.; Hong, J.H.; Ng, K.K.; Chang, T.C.; Tseng, C.J.; Tsai, C.S.; Chang, J.T. Isolated paraaortic lymph node recurrence after definitive irradiation for cervical carcinoma. Int. J. Radiat. Oncol. Biol. Phys. 2001, 51, 442–448. [Google Scholar] [CrossRef] [PubMed]
- Matsuo, K.; Shimada, M.; Saito, T.; Takehara, K.; Tokunaga, H.; Watanabe, Y.; Todo, Y.; Morishige, K.I.; Mikami, M.; Sugiyama, T. Risk stratification models for para-aortic lymph node metastasis and recurrence in stage IB-IIB cervical cancer. J. Gynecol. Oncol. 2018, 29, e11. [Google Scholar] [CrossRef] [PubMed]
- Khoury-Collado, F.; Einstein, M.H.; Bochner, B.H.; Alektiar, K.M.; Sonoda, Y.; Abu-Rustum, N.R.; Brown, C.L.; Gardner, G.J.; Barakat, R.R.; Chi, D.S. Pelvic exenteration with curative intent for recurrent uterine malignancies. Gynecol. Oncol. 2012, 124, 42–47. [Google Scholar] [CrossRef]
- Choi, C.W.; Cho, C.K.; Yoo, S.Y.; Kim, M.S.; Yang, K.M.; Yoo, H.J.; Seo, Y.S.; Kang, J.K.; Lee, D.H.; Lee, K.H.; et al. Image-guided stereotactic body radiation therapy in patients with isolated para-aortic lymph node metastases from uterine cervical and corpus cancer. Int. J. Radiat. Oncol. Biol. Phys. 2009, 74, 147–153. [Google Scholar] [CrossRef] [PubMed]
- Jereczek-Fossa, B.A.; Ronchi, S.; Orecchia, R. Is Stereotactic Body Radiotherapy (SBRT) in lymph node oligometastatic patients feasible and effective? Rep. Pract. Oncol. Radiother. 2015, 20, 472–483. [Google Scholar] [CrossRef]
- Pang, S.S.; Murphy, M.; Markham, M.J. Current Management of Locally Advanced and Metastatic Cervical Cancer in the United States. JCO Oncol. Pract. 2022, 18, 417–422. [Google Scholar] [CrossRef]
- Eisenhauer, E.A.; Therasse, P.; Bogaerts, J.; Schwartz, L.H.; Sargent, D.; Ford, R.; Dancey, J.; Arbuck, S.; Gwyther, S.; Mooney, M.; et al. New response evaluation criteria in solid tumours: Revised RECIST guideline (version 1.1). Eur. J. Cancer 2009, 45, 228–247. [Google Scholar] [CrossRef] [PubMed]
- O, J.H.; Lodge, M.A.; Wahl, R.L. Practical PERCIST: A Simplified Guide to PET Response Criteria in Solid Tumors 1.0. Radiology 2016, 280, 576–584. [Google Scholar] [CrossRef]
- Cox, J.D.; Stetz, J.; Pajak, T.F. Toxicity criteria of the Radiation Therapy Oncology Group (RTOG) and the European Organization for Research and Treatment of Cancer (EORTC). Int. J. Radiat. Oncol. Biol. Phys. 1995, 31, 1341–1346. [Google Scholar] [CrossRef] [PubMed]
- Pavy, J.J.; Denekamp, J.; Letschert, J.; Littbrand, B.; Mornex, F.; Bernier, J.; Gonzales-Gonzales, D.; Horiot, J.-C.; Bolla, M.; Bartelink, H. Late Effects toxicity scoring: The SOMA scale. Int. J. Radiat. Oncol. Biol. Phys. 1995, 31, 1043–1047. [Google Scholar] [CrossRef] [PubMed]
- Kunos, C.A.; Brindle, J.; Waggoner, S.; Zanotti, K.; Resnick, K.; Fusco, N.; Adams, R.; Debernardo, R. Phase II Clinical Trial of Robotic Stereotactic Body Radiosurgery for Metastatic Gynecologic Malignancies. Front. Oncol. 2012, 2, 181. [Google Scholar] [CrossRef] [PubMed]
- Mendez, L.C.; Leung, E.; Cheung, P.; Barbera, L. The Role of Stereotactic Ablative Body Radiotherapy in Gynaecological Cancers: A Systematic Review. Clin. Oncol. 2017, 29, 378–384. [Google Scholar] [CrossRef] [PubMed]
- Ito, M.; Kodaira, T.; Koide, Y.; Okuda, T.; Mizumatsu, S.; Oshima, Y.; Takeuchi, A.; Mori, T.; Abe, S.; Asai, A.; et al. Role of high-dose salvage radiotherapy for oligometastases of the localised abdominal/pelvic lymph nodes: A retrospective study. BMC Cancer 2020, 20, 540. [Google Scholar] [CrossRef] [PubMed]
- Mesko, S.; Sandler, K.; Cohen, J.; Konecny, G.; Steinberg, M.; Kamrava, M. Clinical Outcomes for Stereotactic Ablative Radiotherapy in Oligometastatic and Oligoprogressive Gynecological Malignancies. Int. J. Gynecol. Cancer 2017, 27, 403–408. [Google Scholar] [CrossRef] [PubMed]
- Macchia, G.; Lazzari, R.; Colombo, N.; Laliscia, C.; Capelli, G.; D’Agostino, G.R.; Deodato, F.; Maranzano, E.; Ippolito, E.; Ronchi, S.; et al. A Large, Multicenter, Retrospective Study on Efficacy and Safety of Stereotactic Body Radiotherapy (SBRT) in Oligometastatic Ovarian Cancer (MITO RT1 Study): A Collaboration of MITO, AIRO GYN, and MaNGO Groups. Oncologist 2020, 25, e311–e320. [Google Scholar] [CrossRef]
- Hasan, S.; Ricco, A.; Jenkins, K.; Lanciano, R.; Hanlon, A.; Lamond, J.; Yang, J.; Feng, J.; Good, M.; Noumoff, J.; et al. Survival and Control Prognosticators of Recurrent Gynecological Malignancies of the Pelvis and Para-aortic Region Treated with Stereotactic Body Radiation Therapy. Front. Oncol. 2016, 6, 249. [Google Scholar] [CrossRef]
- Jereczek-Fossa, B.A.; Piperno, G.; Ronchi, S.; Catalano, G.; Fodor, C.; Cambria, R.; Fossati Ing, P.; Gherardi, F.; Alterio, D.; Zerini, D.; et al. Linac-based stereotactic body radiotherapy for oligometastatic patients with single abdominal lymph node recurrent cancer. Am. J. Clin. Oncol. 2014, 37, 227–233. [Google Scholar] [CrossRef]
- Sato, A.; Omura, M.; Minagawa, Y.; Matsui, K.; Shirata, R.; Hongo, H.; Hashimoto, H.; Misumi, T.; Inoue, T.; Hata, M. Intensity-modulated Radiation Therapy for Lymph Node Oligo-recurrence. In Vivo 2020, 34, 2587–2593. [Google Scholar] [CrossRef]
- Onal, C.; Gultekin, M.; Oymak, E.; Guler, O.C.; Yilmaz, M.T.; Yuce Sari, S.; Akkus Yildirim, B.; Yildiz, F. Stereotactic radiotherapy in patients with oligometastatic or oligoprogressive gynecological malignancies: A multi-institutional analysis. Int. J. Gynecol. Cancer 2020, 30, 865–872. [Google Scholar] [CrossRef]
- Iftode, C.; D’Agostino, G.R.; Tozzi, A.; Comito, T.; Franzese, C.; De Rose, F.; Franceschini, D.; Di Brina, L.; Tomatis, S.; Scorsetti, M. Stereotactic Body Radiation Therapy in Oligometastatic Ovarian Cancer: A Promising Therapeutic Approach. Int. J. Gynecol. Cancer 2018, 28, 1507–1513. [Google Scholar] [CrossRef]



| Characteristic | N (%) Median (IQR) |
|---|---|
| Age | 62 (50–80) |
| <70 years | 13 (60%) |
| >70 years | 9 (40%) |
| ECOG | |
| 0 | 18 (82%) |
| 1 | 4 (18%) |
| Primary histology | |
| Ovarian Adenocarcinoma | 5 (21%) 5 |
| Cervical Adenocarcinoma Squamocellular | 3 (14%) 2 1 |
| Endometrial carcinoma Adenocarcinoma | 14 (65%) 14 |
| Lymph nodes metastases location | |
| Regional LN | 9 (31%) |
| Extraregional LN | 20 (69%) |
| Metastatic state | |
| Oligometastatic | 8 (27%) |
| Olgorecurrent | 14 (48%) |
| Oligoprogression | 6 (21%) |
| Oligopersistent | 1 (4%) |
| Timing of metastasis | |
| Synchronous | 3 (10%) |
| Metachronous | 26 (90%) |
| Chemotherapy | |
| Neoadjuvant | 19 (86%) |
| Concurrent | 2 (9%) |
| Oligoprogression | 5 (23%) |
| Characteristic | No. (%) or Median (IQR) |
|---|---|
| SBRT treatment | |
| Total dose (Gy) | 36 (30–36) |
| Fractions (n) | 3 (1–8) |
| Dose per fraction (Gy) | 10 (6–12) |
| BED (Gy) | 75.9 (58.5–79.2) |
| EQD2 (Gy) | 63.2 (48.7–66) |
| EQD2 < 60 Gy | 12 (41%) |
| EQD2 > 60 Gy | 17 (59%) |
| Isodose line (%) | 98 (91–98) |
| GTV (cc) | 5.7 (1.8–9.6) |
| PTV (cc) | 14.3 (7.8–41.7) |
| Dm GTV (mm) | 1.9 (1.5–2.6) |
| Planning technique | |
| VMAT | 19 (66%) |
| IMRT | 10 (34%) |
| Outcome | Total (%) (IQR) |
|---|---|
| Follow-up | |
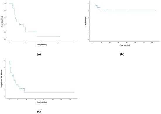
| Median (range) | 18 (10.5–31) |
| Median survival | 22 (12.5–34.5) |
| Radiological response | |
| CR | 18 (62%) |
| PR | 8 (28%) |
| SD | 1 (3%) |
| PD | 2 (7%) |
| Acute toxicities | |
| G1-G2 | 4 (18%) |
| No | 18 (82%) |
| Overall Survival | Local Control | Distant Metastasis Free Survival | ||||||||
|---|---|---|---|---|---|---|---|---|---|---|
| Variable | Classifications | HR | 95% CI | p-Value | HR | 95% CI | p-Value | HR | 95% CI | p-Value |
| Age, years | >70 vs. <70 | 1.78 | 0.7–4.5 | 0.22 | 0.55 | 0.05–5.4 | 0.61 | 0.86 | 0.3–2.4 | 0.77 |
| Histologies | Endometrial vs. cervix vs. ovary | 0.58 | 0.3–1 | 0.18 | 1.43 | 0.4–4.4 | 0.48 | 0.74 | 0.4–1.3 | 0.52 |
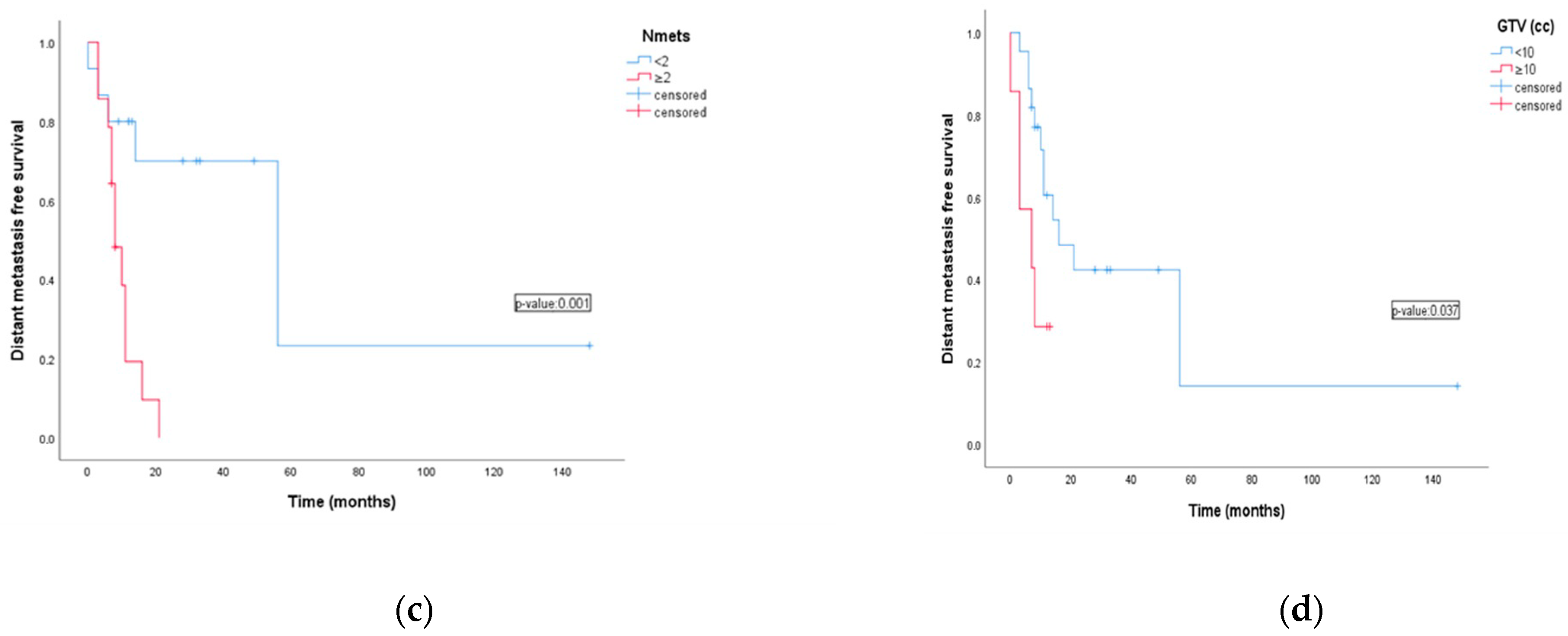
| N of mets | ≥2 vs. <2 | 3.32 | 1–10 | 0.020 | 5.4 | 0.5–57.1 | 0.12 | 5.57 | 1.7–18 | 0.001 |
| Systemic therapy | Neoadjuvant vs. concurrent/adjuvant | 0.46 | 0.1–1.3 | 0.13 | 1 | 0.09–10.5 | 0.98 | 0.73 | 0.2–2 | 0.53 |
| Time primary-RT (months) | <30 vs. ≥30 | 3.09 | 1–8.8 | 0.024 | 0.19 | 0–80 | 0.08 | 2.48 | 0.8–6.8 | 0.066 |
| BED10 (Gy) | <70 vs. ≥70 | 1.98 | 0.7–5.3 | 0.16 | 1.71 | 0.2–12.4 | 0.58 | 0.96 | 0.3–2.6 | 0.94 |
| <60 vs. ≥60 | 1.3 | 0.4–3.6 | 0.59 | 0.68 | 0.07–6.6 | 0.74 | 0.98 | 0.3–2.7 | 0.97 | |
| EQD2 (Gy) | <60 vs. ≥60 | 2.5 | 0.9–6.9 | 0.050 | 1.7 | 0.2–12.4 | 0.58 | 1.34 | 0.5–3.5 | 0.55 |
| GTV (cc) | ≥10 vs. <10 | 2.95 | 1.1–8 | 0.022 | 0.3 | 0.04–1.97 | 0.35 | 3.03 | 0.9–9.3 | 0.037 |
| Dm GTV (mm) | ≥20 vs. <20 | 2.93 | 1–7.9 | 0.024 | 0.44 | 0.04–4.3 | 0.47 | 2.71 | 0.9–7.6 | 0.045 |
| PTV (cc) | ≥15 vs. <15 | 1.65 | 0.6–4 | 0.23 | 0.41 | 0.04–4.3 | 0.48 | 1.61 | 0.6–4.1 | 0.28 |
Disclaimer/Publisher’s Note: The statements, opinions and data contained in all publications are solely those of the individual author(s) and contributor(s) and not of MDPI and/or the editor(s). MDPI and/or the editor(s) disclaim responsibility for any injury to people or property resulting from any ideas, methods, instructions or products referred to in the content. |
© 2023 by the authors. Licensee MDPI, Basel, Switzerland. This article is an open access article distributed under the terms and conditions of the Creative Commons Attribution (CC BY) license (https://creativecommons.org/licenses/by/4.0/).
Share and Cite
Facondo, G.; Vullo, G.; De Sanctis, V.; Rotondi, M.; Sigillo, R.C.; Valeriani, M.; Osti, M.F. Clinical Outcomes of Stereotactic Body Radiotherapy (SBRT) for Oligometastatic Patients with Lymph Node Metastases from Gynecological Cancers. J. Pers. Med. 2023, 13, 229. https://doi.org/10.3390/jpm13020229
Facondo G, Vullo G, De Sanctis V, Rotondi M, Sigillo RC, Valeriani M, Osti MF. Clinical Outcomes of Stereotactic Body Radiotherapy (SBRT) for Oligometastatic Patients with Lymph Node Metastases from Gynecological Cancers. Journal of Personalized Medicine. 2023; 13(2):229. https://doi.org/10.3390/jpm13020229
Chicago/Turabian StyleFacondo, Giuseppe, Gianluca Vullo, Vitaliana De Sanctis, Margherita Rotondi, Riccardo Carlo Sigillo, Maurizio Valeriani, and Mattia Falchetto Osti. 2023. "Clinical Outcomes of Stereotactic Body Radiotherapy (SBRT) for Oligometastatic Patients with Lymph Node Metastases from Gynecological Cancers" Journal of Personalized Medicine 13, no. 2: 229. https://doi.org/10.3390/jpm13020229
APA StyleFacondo, G., Vullo, G., De Sanctis, V., Rotondi, M., Sigillo, R. C., Valeriani, M., & Osti, M. F. (2023). Clinical Outcomes of Stereotactic Body Radiotherapy (SBRT) for Oligometastatic Patients with Lymph Node Metastases from Gynecological Cancers. Journal of Personalized Medicine, 13(2), 229. https://doi.org/10.3390/jpm13020229

