Machine Learning Prediction of Visual Outcome after Surgical Decompression of Sellar Region Tumors
Abstract
:1. Introduction
2. Methods
2.1. Data Sources
2.2. Ophthalmic Examinations
2.3. Predictor Variables
2.4. Outcome
2.5. Model Training
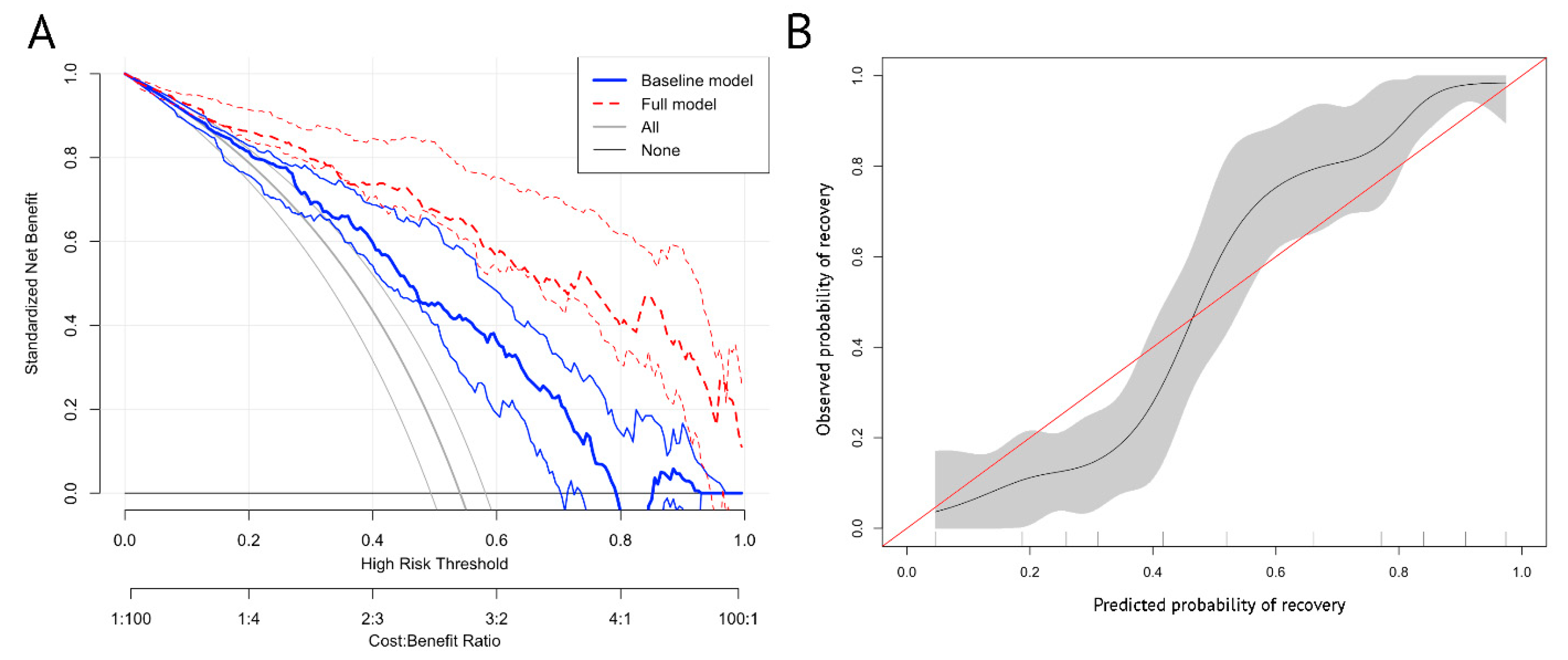
2.6. Calibration
2.7. Decision Curve Analysis
2.8. Feature Importance
2.9. Visual Representation
2.10. Statistical Analysis
3. Results
4. Discussion
5. Conclusions
Author Contributions
Funding
Institutional Review Board Statement
Informed Consent Statement
Data Availability Statement
Conflicts of Interest
Consent to Participate
Consent for Publication
Availability of Data and Material
Code Availability
References
- Chen, Y.; De Wang, C.; Su, Z.P.; Chen, Y.X.; Cai, L.; Zhuge, Q.C.; Wu, Z.B. Natural history of postoperative nonfunctioning pituitary adenomas: A systematic review and meta-analysis. Neuroendocrinology 2012, 96, 333–342. [Google Scholar] [CrossRef] [PubMed]
- Fernandez-Balsells, M.; Murad, M.H.; Barwise, A.; Gallegos-Orozco, J.F.; Paul, A.; Lane, M.A.; Lampropulos, J.F.; Natividad, I.; Perestelo-Pérez, L.; De León-Lovatón, P.G.P.; et al. Natural history of nonfunctioning pituitary adenomas and incidentalomas: A systematic review and metaanalysis. J. Clin. Endocrinol. Metab. 2011, 96, 905–912. [Google Scholar] [CrossRef] [PubMed] [Green Version]
- Barker, F.G.; Klibanski, A.; Swearingen, B. Transsphenoidal surgery for pituitary tumors in the United States, 1996–2000: Mortality, morbidity, and the effects of hospital and surgeon volume. J. Clin. Endocrinol. Metab. 2003, 88, 4709–4719. [Google Scholar] [CrossRef] [PubMed]
- Moon, C.H.; Hwang, S.-C.; Ohn, Y.-H.; Park, T.K. The time course of visual field recovery and changes of retinal ganglion cells after optic chiasmal decompression. Investig. Opthalmol. Vis. Sci. 2011, 52, 7966–7973. [Google Scholar] [CrossRef] [PubMed]
- Dekkers, O.M.; de Keizer, R.J.W.; Roelfsema, F.; Klaauw, A.A.V.; Honkoop, P.J.; van Dulken, H.; Smit, J.W.A.; Romijn, J.A.; Pereira, A.M. Progressive improvement of impaired visual acuity during the first year after transsphenoidal surgery for non-functioning pituitary macroadenoma. Pituitary 2007, 10, 61–65. [Google Scholar] [CrossRef] [Green Version]
- Sullivan, L.J.; O’Day, J.; McNeill, P. Visual outcomes of pituitary adenoma surgery. St. Vincent’s Hospital 1968–1987. J. Clin. Neuro-Ophthalmol. 1991, 11, 262–267. [Google Scholar]
- Romano, J.G.; Schulz, P.; Kenkel, S.; Todd, D.P. Visual field changes after a rehabilitation intervention: Vision restoration therapy. J. Neurol. Sci. 2008, 273, 70–74. [Google Scholar] [CrossRef]
- Oeverhaus, M.; Dekowski, D.; Hirche, H.; Esser, J.; Schaperdoth-Gerlings, B.; Eckstein, A. Visual rehabilitation of patients with corneal diseases. BMC Ophthalmol. 2020, 20, 184. [Google Scholar] [CrossRef]
- Gnanalingham, K.K.; Bhattacharjee, S.; Pennington, R.; Ng, J.; Mendoza, N. The time course of visual field recovery following transsphenoidal surgery for pituitary adenomas: Predictive factors for a good outcome. J. Neurol. Neurosurg. Psychiatry 2005, 76, 415–419. [Google Scholar] [CrossRef] [Green Version]
- Hudson, H.; Rissell, C.; Gauderman, W.J.; Feldon, S. Pituitary tumor volume as a predictor of postoperative visual field recovery. Quantitative analysis using automated static perimetry and computed tomography morphometry. J. Clin. Neuro-Ophthalmol. 1991, 11, 280–283. [Google Scholar]
- Jacob, M.; Raverot, G.; Jouanneau, E.; Borson-Chazot, F.; Perrin, G.; Rabilloud, M.; Tilikete, C.; Bernard, M.; Vighetto, A. Predicting visual outcome after treatment of pituitary adenomas with optical coherence tomography. Am. J. Ophthalmol. 2009, 147, 64–70.e2. [Google Scholar] [CrossRef] [PubMed]
- Bulters, D.O.; Shenouda, E.; Evans, B.T.; Mathad, N.; Lang, D.A. Visual recovery following optic nerve decompression for chronic compressive neuropathy. Acta Neurochir. 2009, 151, 325–334. [Google Scholar] [CrossRef] [PubMed]
- Anik, I.; Anik, Y.; Koc, K.; Ceylan, S.; Genc, H.; Altintas, O.; Ozdamar, D.; Ceylan, D.B. Evaluation of early visual recovery in pituitary macroadenomas after endoscopic endonasal ranssphenoidal surgery: Quantitative assessment with diffusion tensor imaging (DTI). Acta Neurochir. 2011, 153, 831–842. [Google Scholar] [CrossRef] [PubMed]
- Barzaghi, L.R.; Medone, M.; Losa, M.; Bianchi, S.; Giovanelli, M.; Mortini, P. Prognostic factors of visual field improvement after trans-sphenoidal approach for pituitary macroadenomas: Review of the literature and analysis by quantitative method. Neurosurg. Rev. 2011, 35, 369–379. [Google Scholar] [CrossRef] [PubMed]
- Lee, S.; Kim, S.-J.; Yu, Y.S.; Kim, Y.H.; Paek, S.H.; Kim, D.G.; Jung, H.-W. Prognostic factors for visual recovery after transsphenoidal pituitary adenectomy. Br. J. Neurosurg. 2013, 27, 425–429. [Google Scholar] [CrossRef]
- Paul, D.A.; Gaffin-Cahn, E.; Hintz, E.B.; Adeclat, G.J.; Zhu, T.; Williams, Z.R.; Vates, G.E.; Mahon, B.Z. White matter changes linked to visual recovery after nerve decompression. Sci. Transl. Med. 2014, 6, 266ra173. [Google Scholar] [CrossRef] [Green Version]
- Yoneoka, Y.; Hatase, T.; Watanabe, N.; Jinguji, S.; Okada, M.; Takagi, M.; Fujii, Y. Early morphological recovery of the optic chiasm is associated with excellent visual outcome in patients with compressive chiasmal syndrome caused by pituitary tu-mors. Neurol. Res. 2015, 37, 1–8. [Google Scholar] [CrossRef]
- Danesh-Meyer, H.V.; Wong, A.; Papchenko, T.; Matheos, K.; Stylli, S.; Nichols, A.; Frampton, C.; Daniell, M.; Savino, P.J.; Kaye, A.H. Optical coherence tomography predicts visual outcome for pituitary tumors. J. Clin. Neurosci. 2015, 22, 1098–1104. [Google Scholar] [CrossRef]
- Lee, J.; Kim, S.W.; Kim, D.W.; Shin, J.Y.; Choi, M.; Oh, M.C.; Kim, E.H.; Kim, S.H.; Byeon, S.H. Predictive model for recovery of visual field after surgery of pituitary adenoma. J. Neuro-Oncol. 2016, 130, 155–164. [Google Scholar] [CrossRef]
- Fan, Y.; Jiang, S.; Hua, M.; Feng, S.; Feng, M.; Wang, R. Machine learning-based radiomics predicts radiotherapeutic response in patients with acromegaly. Front. Endocrinol. 2019, 10, 588. [Google Scholar] [CrossRef] [Green Version]
- Qiao, N.; Shen, M.; He, W.; He, M.; Zhang, Z.; Ye, H.; Li, Y.; Shou, X.; Li, S.; Jiang, C.; et al. Machine learning in predicting early remission in patients after surgical treatment of acromegaly: A multicenter study. Pituitary 2021, 24, 53–61. [Google Scholar] [CrossRef] [PubMed]
- Van Calster, B.; Wynants, L.; Verbeek, J.F.; Verbakel, J.; Christodoulou, E.; Vickers, A.J.; Roobol, M.J.; Steyerberg, E.W. Reporting and interpreting decision curve analysis: A guide for investigators. Eur. Urol. 2018, 74, 796–804. [Google Scholar] [CrossRef] [PubMed]
- Lundberg, S.M.; Nair, B.; Vavilala, M.S.; Horibe, M.; Eisses, M.J.; Adams, T.; Liston, D.E.; Low, D.K.-W.; Newman, S.-F.; Kim, J.; et al. Explainable machine-learning predictions for the prevention of hypoxaemia during surgery. Nat. Biomed. Eng. 2018, 2, 749–760. [Google Scholar] [CrossRef] [PubMed]
- Lloyd, R.V.; Osamura, R.Y.; Klöppel, G.; Rosai, J. Tumours of the pituitary gland. Introduction. In WHO Classification of Tumours of Endocrine Organs, 4th ed.; Lloyd, R.V., Osamura, R.Y., Klöppel, G., Rosai, J., Eds.; IARC: Lyon, France, 2017; Volume 10, p. 13. [Google Scholar]
- Yu, F.-F.; Chen, L.-L.; Su, Y.-H.; Huo, L.-H.; Lin, X.-X.; Liao, R.-D. Factors influencing improvement of visual field after trans-sphenoidal resection of pituitary macroadenomas: A retrospective cohort study. Int. J. Ophthalmol. 2015, 8, 1224–1228. [Google Scholar] [CrossRef] [PubMed]
- Trautmann, J.C.; Laws, E.R. Visual status after transsphenoidal surgery at the mayo clinic, 1971–1982. Am. J. Ophthalmol. 1983, 96, 200–208. [Google Scholar] [CrossRef]
- Luomaranta, T.; Raappana, A.; Saarela, V.; Liinamaa, M.J. Factors affecting the visual outcome of pituitary adenoma patients treated with endoscopic transsphenoidal surgery. World Neurosurg. 2017, 105, 422–431. [Google Scholar] [CrossRef]
- Ryu, W.H.A.; Starreveld, Y.; Burton, J.M.; Liu, J.; Costello, F.; the PITNET Study Group. The utility of magnetic resonance imaging in assessing patients with pituitary tumors compressing the anterior visual pathway. J. Neuro-Ophthalmol. 2017, 37, 230–238. [Google Scholar] [CrossRef]
- Grkovic, D.; Bedov, T. Outcome of visual acuity after surgical removal of pituitary adenomas. Srp. Arh. Za Celok. Lek. 2013, 141, 296–303. [Google Scholar] [CrossRef]
- Danesh-Meyer, H.V.; Papchenko, T.; Savino, P.J.; Law, A.; Evans, J.; Gamble, G. In Vivo retinal nerve fiber layer thickness measured by optical coherence tomography predicts visual recovery after surgery for parachiasmal tumors. Investig. Opthalmol. Vis. Sci. 2008, 49, 1879–1885. [Google Scholar] [CrossRef] [Green Version]
- Johansson, C.; Lindblom, B. The role of optical coherence tomography in the detection of pituitary adenoma. Acta Ophthalmol. 2009, 87, 776–779. [Google Scholar] [CrossRef]
- Tanito, M.; Itai, N.; Goto, T.; Ohira, A.; Chihara, E. Abnormalities of scanning laser polarimetry associated with pituitary adenoma. Am. J. Ophthalmol. 2003, 135, 565–567. [Google Scholar] [CrossRef]
- Marcus, M.; Vitale, S.; Calvert, P.C.; Miller, N.R. Visual parameters in patients with pituitary adenoma before and after transsphenoidal surgery. Aust. N. Z. J. Ophthalmol. 1991, 19, 111–118. [Google Scholar] [CrossRef] [PubMed]






| Overall N = 159 | Unrecovered Eyes N = 146 | Recovered Eyes N = 172 | p | |
|---|---|---|---|---|
| Gender (male) | 91 (57.2%) | 93 (63.7%) | 89 (51.7%) | 0.103 |
| Age (years old) | 42.3 (16.2) | 45.2 (16.5) | 39.8 (15.4) | 0.023 |
| Body mass index (kg/m2) | 24.1 (3.6) | 24.3 (3.2) | 24.2 (4.3) | 0.850 |
| Comorbidities | ||||
| Hypertension | 12 (7.5%) | 9 (6.2%) | 15 (8.7%) | 0.518 |
| Diabetes Mellitus | 7 (4.4%) | 12 (8.2%) | 2 (1.2%) | 0.020 |
| Disease duration (months) | 8.0 [1.0, 100.0] | 12.0 [1.0, 100.0] | 6.0 [1.0, 72.0] | 0.002 |
| Tumor height (cm) | 3.0 (1.0) | 3.3 (1.0) | 2.8 (0.9) | <0.001 |
| Diagnosis | <0.001 | |||
| Pituitary adenomas | 63 (39.6%) | 40 (27.4%) | 86 (50.0%) | |
| Craniopharyngiomas | 96 (60.4%) | 126 (73.6%) | 86 (50.0%) | |
| Laboratory test | ||||
| Hemoglobin (g/L) | 129.4 (15.9) | 128.2 (17.3) | 130.4 (14.5) | 0.349 |
| Red Blood Cell (1012/L) | 4.3 (0.5) | 4.3 (0.5) | 4.3 (0.5) | 0.185 |
| White Blood Cell (109/L) | 6.6 (2.1) | 6.9 (2.2) | 6.4 (2.1) | 0.117 |
| Sodium (mmol/L) | 140.5 (4.7) | 140.4 (4.7) | 140.7 (4.7) | 0.670 |
| Albumin (g/L) | 43.2 (5.15) | 42.8 (5.9) | 43.7 (4.4) | 0.239 |
| Creatinine (μmol/L) | 68.1 (15.3) | 68.9 (16.7) | 67.4 (14.1) | 0.386 |
| ACTH (pg/mL) | 25.1 [1.1, 197.8] | 23.9 [1.1, 197.8] | 28.1 [3.5, 92.5] | 0.936 |
| Cortisol (μg/dL) | 7.6 [0.05, 21.4] | 6.6 [0.05, 48.8] | 8.4 [0.1, 104.6] | 0.099 |
| Prolactin (ng/mL) | 24.7 [0.4, 470.0] | 21.7 [0.5, 470.0] | 26.6 [0.4, 470.0] | 0.052 |
| Free Thyroxine (pmol/L) | 13.8 (4.5) | 13.4 (4.8) | 14.2 (4.2) | 0.252 |
| Total Thyroxine (nmol/L) | 80.3 (22.1) | 78.9 (23.8) | 81.5 (20.6) | 0.429 |
| Ophthalmology | ||||
| Visual acuity | 0.6 [0.1, 1.0] | 0.6 [0.1, 1.0] | 0.8 [0.1, 1.0] | 0.784 |
| Visual field | ||||
| Mean deviation (db) | −8.0 [−34.2, 1.3] | −14.6 [−34.2, −0.1] | −5.0 [−32.5, 1.3] | <0.001 |
| Pattern standard deviation (db) | 7.4 [1.1, 17.7] | 11.2 [1.1, 17.7] | 4.3 [1.1, 17.3] | <0.001 |
| Visual field index | 70.8 (28.3) | 58.7 (29.6) | 81.0 (22.5) | <0.001 |
| Retinal Nerve Fiber Layer (μm) | 96.2 (33.2) | 91.9 (44.5) | 99.8 (18.2) | 0.163 |
| Ganglion Cell Layer (μm) | 58.7 (7.1) | 56.6 (7.6) | 60.5 (6.1) | <0.001 |
| Overall N = 159 | Craniopharyngioma N = 96 | Pituitary Adenoma N = 63 | p | |
|---|---|---|---|---|
| Visual acuity | ||||
| Left | 0.6 [0.1, 1.0] | 0.7 [0.1, 1.0] | 0.2 [0.1, 1.0] | 0.017 |
| Right | 0.6 [0.1, 1.0] | 0.8 [0.1, 1.0] | 0.5 [0.1, 1.0] | 0.189 |
| Visual field | ||||
| Left | ||||
| Mean Deviation (db) | −8.8 [−34.2, 1.1] | −9.1 [−32.5, 0.1] | −7.8 [−34.2, 1.1] | 0.503 |
| Pattern Standard Deviation (db) | 7.4 [1.1, 17.3] | 6.0 [1.2, 16.9] | 9.1 [1.1, 17.3] | 0.477 |
| Visual Field Index | 69.5 (29.0) | 67.5 (31.2) | 72.5 (25.3) | 0.288 |
| Right | ||||
| Mean Deviation (db) | −7.8 [−32.0, 1.3] | −8.6 [−32.0, 0.0] | −6.7 [−29.7, 1.3] | 0.129 |
| Pattern Standard Deviation (db) | 7.5 [1.1, 17.7] | 7.6 [1.1, 16.8] | 6.5 [1.1, 17.7] | 0.586 |
| Visual Field Index | 72.1 (27.6) | 69.9 (28.8) | 75.4 (25.6) | 0.222 |
| Ganglion cell layer (μm) | ||||
| Left | 58.5 (7.0) | 58.9 (7.5) | 57.7 (6.3) | 0.290 |
| Right | 58.9 (7.1) | 58.9 (7.5) | 59.1 (6.4) | 0.874 |
| Retinal nerve fiber layer (μm) | ||||
| Left | 99.4 (33.2) | 98.3 (40.9) | 101.1 (15.6) | 0.609 |
| Right | 93.0 (33.0) | 96.1 (38.1) | 88.2 (22.5) | 0.139 |
| Recovered eyes | ||||
| Left | 84 (52.8%) | 42 (43.8%) | 42 (66.7%) | 0.008 |
| Right | 88 (55.3%) | 44 (45.8%) | 44 (69.8%) | 0.005 |
| AUC | Accuracy | Sensitivity | Specificity | |
|---|---|---|---|---|
| Training cohort (fivefold cross validation) GPJU retrospective cohort | ||||
| LASSO | 0.854 [95% CI, 0.807–0.901] | 0.777 | 0.759 | 0.792 |
| Support Vector Machine | 0.875 [95% CI, 0.824–0.927] | 0.786 | 0.764 | 0.806 |
| Linear Discriminant Analysis | 0.846 [95% CI, 0.794–0.897] | 0.774 | 0.761 | 0.784 |
| Random Forest | 0.901 [95% CI, 0.880–0.921] | 0.837 | 0.809 | 0.861 |
| Gradient Boosting | 0.889 [95% CI, 0.862–0.901] | 0.799 | 0.789 | 0.807 |
| Neural Network | 0.858 [95% CI, 0.816–0.900] | 0.780 | 0.757 | 0.800 |
| Ensemble Model | 0.911 [95% CI, 0.885–0.938] | 0.843 | 0.863 | 0.820 |
| Independent cohort | ||||
| FNI retrospective cohort | 0.861 | 0.864 | 0.842 | 0.880 |
| GPJU prospective cohort | 0.843 | 0.850 | 0.875 | 0.833 |
| Retrospective GPJU N = 159 | Retrospective FNI N = 22 | Prospective GPJU N = 20 | |
|---|---|---|---|
| Gender (male) | 91 (57.2%) | 17 (%) | 8 (51.7%) |
| Age (years old) | 42.3 (16.2) | 41.4 (16.5) | 39.0 (14.5) |
| Tumor height (cm) | 3.0 [1.0–6.0] | 3.5 [1.0–5.5] | 2.4 [1.0–5.8] |
| Diagnosis | |||
| Pituitary adenomas | 63 (39.6%) | 22 (100.0%) | 15 (75.0%) |
| Craniopharyngiomas | 96 (60.4%) | 0 (0.0%) | 5 (25.0%) |
| Ophthalmology | |||
| Visual acuity | 0.6 [0.1, 1.0] | 0.4 [0.1, 1.0] | 0.6 [0.1, 1.0] |
| Visual field | |||
| Mean deviation (db) | −8.0 [−34.2, 1.3] | −14.3 [−29.0, 0.0] | −5.4 [−30.7, 0.4] |
| Pattern standard deviation (db) | 7.4 [1.1, 17.7] | 12.0 [1.0, 18.8] | 3.8 [1.4, 16.6] |
| Visual field index (%) | 70.8 (28.3) | 56.0 (27.0) | 90.0 (27.0) |
| Retinal Nerve Fiber Layer (μm) | 96.2 (33.2) | 95.8 (16.3) | 103.5 (53.0) |
| Ganglion Cell Layer (μm) | 58.7 (7.1) | 87.7 (10.3) | 60.2 (8.5) |
| Outcome: recovered | 54.1% | 56.8% | 60.0% |
Publisher’s Note: MDPI stays neutral with regard to jurisdictional claims in published maps and institutional affiliations. |
© 2022 by the authors. Licensee MDPI, Basel, Switzerland. This article is an open access article distributed under the terms and conditions of the Creative Commons Attribution (CC BY) license (https://creativecommons.org/licenses/by/4.0/).
Share and Cite
Qiao, N.; Ma, Y.; Chen, X.; Ye, Z.; Ye, H.; Zhang, Z.; Wang, Y.; Lu, Z.; Wang, Z.; Xiao, Y.; et al. Machine Learning Prediction of Visual Outcome after Surgical Decompression of Sellar Region Tumors. J. Pers. Med. 2022, 12, 152. https://doi.org/10.3390/jpm12020152
Qiao N, Ma Y, Chen X, Ye Z, Ye H, Zhang Z, Wang Y, Lu Z, Wang Z, Xiao Y, et al. Machine Learning Prediction of Visual Outcome after Surgical Decompression of Sellar Region Tumors. Journal of Personalized Medicine. 2022; 12(2):152. https://doi.org/10.3390/jpm12020152
Chicago/Turabian StyleQiao, Nidan, Yichen Ma, Xiaochen Chen, Zhao Ye, Hongying Ye, Zhaoyun Zhang, Yongfei Wang, Zhaozeng Lu, Zhiliang Wang, Yiqin Xiao, and et al. 2022. "Machine Learning Prediction of Visual Outcome after Surgical Decompression of Sellar Region Tumors" Journal of Personalized Medicine 12, no. 2: 152. https://doi.org/10.3390/jpm12020152
APA StyleQiao, N., Ma, Y., Chen, X., Ye, Z., Ye, H., Zhang, Z., Wang, Y., Lu, Z., Wang, Z., Xiao, Y., & Zhao, Y. (2022). Machine Learning Prediction of Visual Outcome after Surgical Decompression of Sellar Region Tumors. Journal of Personalized Medicine, 12(2), 152. https://doi.org/10.3390/jpm12020152

