The Prognostic Value of the Fibrinogen-Albumin-Ratio Index (FARI) in Patients with Advanced Vulvar Cancer
Abstract
1. Introduction
2. Materials and Methods
3. Results
3.1. Descriptive Characteristics
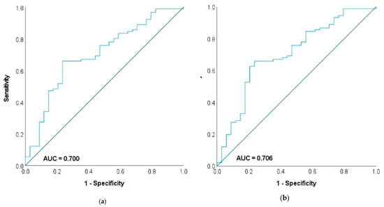
3.2. The FARI Predicts Early Disease Recurrence and Worse Disease-Specific Survival
3.3. The FARI Is Associated with Progression-Free and Disease-Specific Survival
4. Discussion
5. Conclusions
Author Contributions
Funding
Institutional Review Board Statement
Informed Consent Statement
Data Availability Statement
Conflicts of Interest
References
- Kang, Y.; Smith, M.; Barlow, E.; Coffey, K.; Hacker, N.; Canfell, K. Vulvar cancer in high-income countries: Increasing burden of disease. Int. J. Cancer 2017, 141, 2174–2186. [Google Scholar] [CrossRef]
- Khadraoui, H.; Thappa, S.; Smith, M.; Davidov, A.; Castellanos, M.R. Age-associated trends of vulvar cancer in the US. Menopause 2020, 28, 119–125. [Google Scholar] [CrossRef]
- Madeleine, M.M.; Daling, J.R.; Carter, J.J.; Wipf, G.C.; Schwartz, S.M.; McKnight, B.; Kurman, R.J.; Beckmann, A.M.; Hagensee, M.E.; Galloway, D.A. Cofactors with human papillomavirus in a population-based study of vulvar cancer. J. Natl. Cancer Inst. 1997, 89, 1516–1523. [Google Scholar] [CrossRef]
- Sung, H.; Ferlay, J.; Siegel, R.L.; Laversanne, M.; Soerjomataram, I.; Jemal, A.; Bray, F. Global Cancer Statistics 2020: GLOBOCAN Estimates of Incidence and Mortality Worldwide for 36 Cancers in 185 Countries. CA Cancer J. Clin. 2021, 71, 209–249. [Google Scholar] [CrossRef]
- Polterauer, S.; Schwameis, R.; Grimm, C.; Macuks, R.; Iacoponi, S.; Zalewski, K.; Zapardiel, I. Prognostic value of lymph node ratio and number of positive inguinal nodes in patients with vulvar cancer. Gynecol. Oncol. 2017, 147, 92–97. [Google Scholar] [CrossRef]
- Bartl, T.; Bekos, C.; Postl, M.; Alexander, R.; Polterauer, S.; Stefanie, A.; Richard, S. The systemic immune-inflammation index (SII) is an independent prognostic parameter of survival in patients with invasive vulvar cancer. J. Gynecol. Oncol. 2021, 32, e1. [Google Scholar] [CrossRef] [PubMed]
- Seebacher, V.; Polterauer, S.; Grimm, C.; Tempfer, C.; Hefler-Frischmuth, K.; Reinthaller, A.; Hefler, L. The impact of plasma fibrinogen levels on patients with vulvar cancer. Eur. J. Obstet. Gynecol. Reprod. Biol. 2012, 161, 88–91. [Google Scholar] [CrossRef]
- Bekos, C.; Polterauer, S.; Seebacher, V.; Bartl, T.; Joura, E.; Reinthaller, A.; Sturdza, A.; Horvat, R.; Schwameis, R.; Grimm, C. Pre-operative hypoalbuminemia is associated with complication rate and overall survival in patients with vulvar cancer undergoing surgery. Arch. Gynecol. Obstet. 2019, 300, 1015–1022. [Google Scholar] [CrossRef] [PubMed]
- Zapardiel, I.; Iacoponi, S.; Coronado, P.J.; Zalewski, K.; Chen, F.; Fotopoulou, C.; Dursun, P.; Kotsopoulos, I.C.; Jach, R.; Buda, A.; et al. Prognostic factors in patients with vulvar cancer: The VULCAN study. Int. J. Gynecol. Cancer 2020, 30, 1285–1291. [Google Scholar] [CrossRef] [PubMed]
- Woelber, L.; Mahner, S.; Voelker, K.; Eulenburg, C.Z.; Gieseking, F.; Choschzick, M.; Jaenicke, F.; Schwarz, J. Clinicopathological prognostic factors and patterns of recurrence in vulvar cancer. Anticancer Res. 2009, 29, 545–552. [Google Scholar] [PubMed]
- Wang, Y.Y.; Liu, Z.Z.; Xu, D.; Liu, M.; Wang, K.; Xing, B.C. Fibrinogen-Albumin Ratio Index (FARI): A More Promising Inflammation-Based Prognostic Marker for Patients Undergoing Hepatectomy for Colorectal Liver Metastases. Ann. Surg. Oncol. 2019, 26, 3682–3692. [Google Scholar] [CrossRef]
- Liu, H.; Qiu, G.; Hu, F.; Wu, H. Fibrinogen/albumin ratio index is an independent predictor of recurrence-free survival in patients with intrahepatic cholangiocarcinoma following surgical resection. World J. Surg. Oncol. 2021, 19, 218. [Google Scholar] [CrossRef] [PubMed]
- Chen, S.; Yan, H.; Du, J.; Li, J.; Shen, B.; Ying, H.; Zhang, Y.; Chen, S. Prognostic significance of pre-resection albumin/fibrinogen ratio in patients with non-small cell lung cancer: A propensity score matching analysis. Clin. Chim. Acta 2018, 482, 203–208. [Google Scholar] [CrossRef] [PubMed]
- Zou, Y.-X.; Qiao, J.; Zhu, H.-Y.; Lu, R.-N.; Xia, Y.; Cao, L.; Wu, W.; Jin, H.; Liu, W.-J.; Liang, J.-H.; et al. Albumin-to-Fibrinogen Ratio as an Independent Prognostic Parameter in Untreated Chronic Lymphocytic Leukemia: A Retrospective Study of 191 Cases. Cancer Res. Treat. 2019, 51, 664–671. [Google Scholar] [CrossRef]
- Yu, W.; Ye, Z.; Fang, X.; Jiang, X.; Jiang, Y. Preoperative albumin-to-fibrinogen ratio predicts chemotherapy resistance and prognosis in patients with advanced epithelial ovarian cancer. J. Ovarian Res. 2019, 12, 88. [Google Scholar] [CrossRef] [PubMed]
- An, Q.; Liu, W.; Yang, Y.; Yang, B. Preoperative fibrinogen-to-albumin ratio, a potential prognostic factor for patients with stage IB-IIA cervical cancer. BMC Cancer 2020, 20, 691. [Google Scholar] [CrossRef] [PubMed]
- Tan, Z.; Zhang, M.; Han, Q.; Wen, J.; Luo, K.; Lin, P.; Zhang, L.; Yang, H.; Fu, J. A novel blood tool of cancer prognosis in esophageal squamous cell carcinoma: The Fibrinogen/Albumin Ratio. J. Cancer 2017, 8, 1025–1029. [Google Scholar] [CrossRef] [PubMed]
- Covens, A.; Vella, E.T.; Kennedy, E.B.; Reade, C.J.; Jimenez, W.; Le, T. Sentinel lymph node biopsy in vulvar cancer: Systematic review, meta-analysis and guideline recommendations. Gynecol. Oncol. 2015, 137, 351–361. [Google Scholar] [CrossRef]
- Li, Y.; Yang, J.-N.; Cheng, S.-S.; Wang, Y. Prognostic significance of FA score based on plasma fibrinogen and serum albumin in patients with epithelial ovarian cancer. Cancer Manag. Res. 2019, 11, 7697–7705. [Google Scholar] [CrossRef] [PubMed]
- Huang, L.; Mo, Z.; Zhang, L.; Qin, S.; Qin, S.; Li, S. Diagnostic Value of Albumin to Fibrinogen Ratio in Cervical Cancer. Int. J. Biol. Markers 2020, 35, 66–73. [Google Scholar] [CrossRef]
- Hwang, K.-T.; Chung, J.K.; Roh, E.Y.; Kim, J.; Oh, S.; Kim, Y.A.; Rhu, J.; Kim, S. Prognostic Influence of Preoperative Fibrinogen to Albumin Ratio for Breast Cancer. J. Breast Cancer 2017, 20, 254–263. [Google Scholar] [CrossRef] [PubMed]
- Bacalbasa, N.; Balescu, I.; Vilcu, M.; Dima, S.; Brezean, I. Risk Factors for Postoperative Complications After Vulvar Surgery. In Vivo 2020, 34, 447–451. [Google Scholar] [CrossRef] [PubMed]
- Sullivan, S.A.; Van Le, L.; Liberty, A.L.; Soper, J.T.; Barber, E.L. Association between hypoalbuminemia and surgical site infection in vulvar cancers. Gynecol. Oncol. 2016, 142, 435–439. [Google Scholar] [CrossRef] [PubMed]
- Seebacher, V.; Grimm, C.; Reinthaller, A.; Heinze, G.; Tempfer, C.; Hefler, L.; Polterauer, S. The value of serum albumin as a novel independent marker for prognosis in patients with endometrial cancer. Eur. J. Obstet. Gynecol. Reprod. Biol. 2013, 171, 101–106. [Google Scholar] [CrossRef] [PubMed]
- Gupta, D.; Lis, C.G. Pretreatment serum albumin as a predictor of cancer survival: A systematic review of the epidemiological literature. Nutr. J. 2010, 9, 69. [Google Scholar] [CrossRef]
- Polterauer, S.; Grimm, C.; Seebacher, V.; Concin, N.; Marth, C.; Tomovski, C.; Husslein, H.; Leipold, H.; Hefler-Frischmuth, K.; Tempfer, C.; et al. Plasma Fibrinogen Levels and Prognosis in Patients with Ovarian Cancer: A Multicenter Study. Oncology 2009, 14, 979–985. [Google Scholar] [CrossRef]
- Polterauer, S.; Seebacher, V.; Hefler-Frischmuth, K.; Grimm, C.; Heinze, G.; Tempfer, C.; Reinthaller, A.; Hefler, L. Fibrinogen plasma levels are an independent prognostic parameter in patients with cervical cancer. Am. J. Obstet. Gynecol. 2009, 200, 647.e1–647.e7. [Google Scholar] [CrossRef]



| Variables | Overall Cohort | FARI < 9.67 | FARI ≥ 9.67 | p-Value |
|---|---|---|---|---|
| Number | 124 (100%) | 63 (50.8%) | 61 (49.2%) | |
| Age at therapy (years) | 69.0 (58.5–79.0) | 65.5 (56.0–75.8) | 74.0 (61.5–82.0) | 0.016 * |
| ECOG | 0.012 ‡ | |||
| 0 | 58 (46.8%) | 34 (53.9%) | 24 (39.3%) | |
| 1 | 34 (27.4%) | 18 (28.6%) | 16 (26.2%) | |
| 2 | 8 (6.5%) | 1 (1.6%) | 7 (11.4%) | |
| 3 | 2 (1.6%) | 0 (0%) | 2 (3.3%) | |
| unknown | 22 (17.7%) | 10 (15.9%) | 12 (19.8%) | |
| BMI | 25.9 (22.5–31.2) | 26.5 (22.7–31.3) | 24.5 (21.7–30.7) | 0.571 * |
| Histotype | 0.207 † | |||
| Adenocarcinoma | 7 (5.6%) | 2 (3.2%) | 5 (8.2%) | |
| Squamous cell carcinoma | 117 (94.4%) | 61 (96.8%) | 56 (91.8%) | |
| HPV-associated tumor | 0.789 † | |||
| yes | 25 (20.2%) | 12 (19%) | 13 (21.3%) | |
| no | 30 (24.2%) | 16 (25.4%) | 14 (23.0%) | |
| data not available | 69 (55.6%) | 35 (55.6%) | 34 (55.7%) | |
| FIGO-stage | 0.462 ‡ | |||
| I | 73 (58.9%) | 37 (58.7%) | 36 (59.0%) | |
| II | 15 (12.1%) | 6 (9.5%) | 9 (14.8%) | |
| III | 34 (27.4%) | 18 (28.6%) | 16 (26.2%) | |
| IV | 2 (1.6%) | 2 (3.2%) | 0 (0%) | |
| recurrence | 0.003 † | |||
| yes | 49 (39.5%) | 33 (52.4%) | 16 (26.2%) | |
| no | 75 (60.5%) | 30 (47.6%) | 45 (73.8%) | |
| Status at last FU | 0.113 ‡ | |||
| no evidence of disease | 74 (59.7%) | 33 (52.4%) | 41 (67.2%) | |
| stable disease | 3 (2.4%) | 2 (3.2%) | 1 (1.6%) | |
| progression | 9 (7.2 %) | 6 (9.5%) | 3 (4.9%) | |
| intercurrent death | 13(10.5%) | 7 (11.1%) | 6 (9.9%) | |
| cancer-related death | 25 (20.2%) | 15 (23.8%) | 10 (16.4%) | |
| CRP (mg/dL) | 0.42 (0.09–1.10) | 0.27 (0.08–0.56) | 0.79 (0.11–1.74) | 0.067 * |
| fibrinogen (g/L) | 4.0 (3.3–4.6) | 3.4 (3.0–3.8) | 4.6 (4.2–5.1) | <0.001 * |
| albumin (g/L) | 38.8 (41.8–44.1) | 42.9 (40.1–45.0) | 40.3 (37.4–43.0) | <0.001 * |
| Progression-Free Survival (PFS) | ||||
|---|---|---|---|---|
| Parameters | Univariate Analysis | Multivariable Analysis | ||
| p-Value | HR (95% CI) | p-Value | HR (95% CI) | |
| FARI | 0.011 | 0.84 (0.74–0.96) | 0.009 | 0.84 (0.99–1.03) |
| fibrinogen (g/L) | 0.081 | 1.00 (0.99–1.00) | - | - |
| albumin (g/L) | 0.088 | 1.06 (0.99–1.14) | - | - |
| CRP (mg/dL) | 0.410 | 1.08 (0.90–1.28) | - | - |
| age at therapy (years) | 0.371 | 1.01 (0.99–1.03) | 0.422 | 1.01 (0.99–1.03) |
| FIGO I–II vs III–IV | <0.001 | 3.70 (2.11–6.50) | <0.001 | 3.47 (1.96–6.14) |
| ECOG 0–1 vs. 2–3 | 0.368 | 0.77 (0.43–1.37) | - | - |
| Disease-Specific Survival (DSS) | ||||
| Parameters | Univariate Analysis | Multivariable Analysis | ||
| p-Value | HR (95% CI) | p-Value | HR (95% CI) | |
| FARI | 0.049 | 0.85 (0.72–1.00) | 0.019 | 0.82 (0.70–0.99) |
| fibrinogen (g/L) | 0.040 | 1.00 (0.99–1.00) | - | - |
| albumin (g/L) | 0.842 | 1.01 (0.93–1.09) | - | - |
| CRP (mg/dL) | 0.021 | 1.23 (1.03–1.46) | 0.009 | 1.22 (1.05–1.42) |
| age at therapy (years) | 0.410 | 1.01 (0.99–1.04) | 0.255 | 1.01 (0.99–1.05) |
| FIGO I–II vs III–IV | <0.001 | 6.61 (3.11–14.06) | <0.001 | 6.58 (2.83–15.29) |
| ECOG 0–1 vs. 2–3 | 0.484 | 0.77 (0.38–1.59) | - | - |
Publisher’s Note: MDPI stays neutral with regard to jurisdictional claims in published maps and institutional affiliations. |
© 2022 by the authors. Licensee MDPI, Basel, Switzerland. This article is an open access article distributed under the terms and conditions of the Creative Commons Attribution (CC BY) license (https://creativecommons.org/licenses/by/4.0/).
Share and Cite
Onoprienko, A.; Hofstetter, G.; Dorittke, T.; Bekos, C.; Grimm, C.; Polterauer, M.; Bartl, T.; Polterauer, S. The Prognostic Value of the Fibrinogen-Albumin-Ratio Index (FARI) in Patients with Advanced Vulvar Cancer. J. Pers. Med. 2022, 12, 1882. https://doi.org/10.3390/jpm12111882
Onoprienko A, Hofstetter G, Dorittke T, Bekos C, Grimm C, Polterauer M, Bartl T, Polterauer S. The Prognostic Value of the Fibrinogen-Albumin-Ratio Index (FARI) in Patients with Advanced Vulvar Cancer. Journal of Personalized Medicine. 2022; 12(11):1882. https://doi.org/10.3390/jpm12111882
Chicago/Turabian StyleOnoprienko, Arina, Gerda Hofstetter, Tim Dorittke, Christine Bekos, Christoph Grimm, Mariella Polterauer, Thomas Bartl, and Stephan Polterauer. 2022. "The Prognostic Value of the Fibrinogen-Albumin-Ratio Index (FARI) in Patients with Advanced Vulvar Cancer" Journal of Personalized Medicine 12, no. 11: 1882. https://doi.org/10.3390/jpm12111882
APA StyleOnoprienko, A., Hofstetter, G., Dorittke, T., Bekos, C., Grimm, C., Polterauer, M., Bartl, T., & Polterauer, S. (2022). The Prognostic Value of the Fibrinogen-Albumin-Ratio Index (FARI) in Patients with Advanced Vulvar Cancer. Journal of Personalized Medicine, 12(11), 1882. https://doi.org/10.3390/jpm12111882

