Associations of Antioxidant Enzymes with the Concentration of Fatty Acids in the Blood of Men with Coronary Artery Atherosclerosis
Abstract
:1. Introduction
2. Materials and Methods
2.1. Subjects
2.2. Methods
2.2.1. Histological Analysis
2.2.2. Fatty Acids Analysis
2.2.3. Biochemical Studies
2.2.4. Statistical Methods
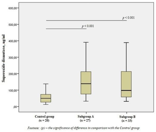
3. Results
4. Discussion
Limitations
5. Conclusions
Author Contributions
Funding
Institutional Review Board Statement
Informed Consent Statement
Data Availability Statement
Conflicts of Interest
References
- Ling, P.; Shan, W.; Zhai, G.; Qiu, C.; Liu, Y.; Xu, Y.; Yang, X. Association between glutathione peroxidase-3 activity and carotid atherosclerosis in patients with type 2 diabetes mellitus. Brain Behav. 2020, 10, e01773. [Google Scholar] [CrossRef]
- Souiden, Y.; Mallouli, H.; Meskhi, S.; Chaabouni, Y.; Rebai, A.; Chéour, F.; Mahdouani, K. MnSOD and GPx1 polymorphism relationship with coronary heart disease risk and severity. Biol. Res. 2016, 49, 22. [Google Scholar] [CrossRef] [PubMed] [Green Version]
- Bogachevskaia, S.A.; Bondar, V.Y.; Kapitonenko, N.A.; Kapitonenko, K.A.; Bogatchevskiy, A.N. Epidemiology of the circulatory system diseases requiring high-technology medical care in the Russian Federation over the past 10 years. statistical “gaps”. Far East. Med. J. 2015, 2, 112–116. (In Russian) [Google Scholar]
- Yang, X.; Li, Y.; Ren, X.; Xiong, X.; Wu, L.; Li, J.; Wang, J.; Gao, Y.; Shang, H.; Xing, Y. Effects of exercise-based cardiac rehabilitation in patients after percutaneous coronary intervention: A meta-analysis of randomized controlled trials. Sci. Rep. 2017, 7, srep44789. [Google Scholar] [CrossRef] [PubMed]
- Kelly, B.B.; Narula, J.; Fuster, V. Recognizing Global Burden of Cardiovascular Disease and Related Chronic Diseases. Mt. Sinai J. Med. A J. Transl. Pers. Med. 2012, 79, 632–640. [Google Scholar] [CrossRef] [PubMed]
- Goncharov, N.V.; Avdonin, P.V.; Nadeev, A.D.; Zharkikh, I.L.; Jenkins, R.O. Reactive Oxygen Species in Pathogenesis of Atherosclerosis. Curr. Pharm. Des. 2015, 21, 1134–1146. [Google Scholar] [CrossRef] [Green Version]
- Soto, M.E.; Soria-Castro, E.; Guarner-Lans, V.; Ontiveros, E.M.; Mejía, B.I.H.; Hernandez, H.J.M.; García, R.B.; Herrera, V.; Pérez-Torres, I. Analysis of Oxidative Stress Enzymes and Structural and Functional Proteins on Human Aortic Tissue from Different Aortopathies. Oxidative Med. Cell. Longev. 2014, 2014, 760694. [Google Scholar] [CrossRef] [PubMed] [Green Version]
- Dubois-Deruy, E.; Peugnet, V.; Turkieh, A.; Pinet, F. Oxidative Stress in Cardiovascular Diseases. Antioxidants 2020, 9, 864. [Google Scholar] [CrossRef]
- Peng, J.-R.; Lu, T.-T.; Chang, H.-T.; Ge, X.; Huang, B.; Li, W.-M. Elevated Levels of Plasma Superoxide Dismutases 1 and 2 in Patients with Coronary Artery Disease. BioMed Res. Int. 2016, 2016, 3708905. [Google Scholar] [CrossRef] [Green Version]
- Svistunov, A.A.; Chesnokova, N.P.; Barsukov, V.Y.; Selezneva, T.D.; Zyablov, E.V. Activation of Lipoperoxidation Pro-cesses as a Typical Process of Cell Biomembrane Destabilization at Neoplasias of Different Localization. Saratov J. Med. Sci. Res. 2010, 6, 267–270. (In Russian) [Google Scholar]
- Dias, A.E.M.S.; Melnikov, P.; Cônsolo, L.Z.Z. Oxidative stress during coronary bypass artery grafting. Rev. Bras. Cir. Cardiovasc. 2015, 30, 417–424. [Google Scholar] [CrossRef]
- Tehrani, H.S.; Moosavi-Movahedi, A.A. Catalase and its mysteries. Prog. Biophys. Mol. Biol. 2018, 140, 5–12. [Google Scholar] [CrossRef]
- Lei, X.G.; Zhu, J.-H.; Cheng, W.-H.; Bao, Y.; Ho, Y.-S.; Reddi, A.R.; Holmgren, A.; Arnér, E. Paradoxical Roles of Antioxidant Enzymes: Basic Mechanisms and Health Implications. Physiol. Rev. 2016, 96, 307–364. [Google Scholar] [CrossRef] [Green Version]
- Lee, Y.S.; Kim, A.Y.; Choi, J.W.; Kim, M.; Yasue, S.; Son, H.J.; Masuzaki, H.; Park, K.S.; Kim, J.B. Dysregulation of Adipose Glutathione Peroxidase 3 in Obesity Contributes to Local and Systemic Oxidative Stress. Mol. Endocrinol. 2008, 22, 2176–2189. [Google Scholar] [CrossRef] [PubMed] [Green Version]
- Voetsch, B.; Loscalzo, J.; Westerbacka, J.; Bergholm, R.; Tiikkainen, M.; Yki-Järvinen, H. Genetic Determinants of Arterial Thrombosis. Arter. Thromb. Vasc. Biol. 2004, 24, 216–229. [Google Scholar] [CrossRef] [Green Version]
- Wickremasinghe, D.; Peiris, H.; Chandrasena, L.G.; Senaratne, V.; Perera, R. Case control feasibility study assessing the association between severity of coronary artery disease with Glutathione Peroxidase-1 (GPX-1) and GPX-1 polymorphism (Pro198Leu). BMC Cardiovasc. Disord. 2016, 16, 111. [Google Scholar] [CrossRef] [Green Version]
- Pastori, D.; Pignatelli, P.; Farcomeni, A.; Menichelli, D.; Nocella, C.; Carnevale, R.; Violi, F. Aging-Related Decline of Glutathione Peroxidase 3 and Risk of Cardiovascular Events in Patients with Atrial Fibrillation. J. Am. Heart Assoc. 2016, 5, e003682. [Google Scholar] [CrossRef] [PubMed] [Green Version]
- Azevedo-Martins, A.K.; Curi, R. Fatty acids decrease catalase activity in human leukaemia cell lines. Cell Biochem. Funct. 2007, 26, 87–94. [Google Scholar] [CrossRef] [PubMed]
- Catalá, A. A synopsis of the process of lipid peroxidation since the discovery of the essential fatty acids. Biochem. Biophys. Res. Commun. 2010, 399, 318–323. [Google Scholar] [CrossRef] [PubMed]
- Waksman, R.; Seruys, P.W. Handbook of the Vulnerable Plaque; CRC Press: London, UK, 2004. [Google Scholar]
- Aronov, D.M.; Lupanov, V.P. Atherosclerosis and coronary heart disease: Some aspects of pathogenesis. Atheroscler. Dyslipidemia 2011, 1, 48–56. (In Russian) [Google Scholar]
- Cury, R.C.; Abbara, S.; Achenbach, S.; Agatston, A.; Berman, D.S.; Budoff, M.J.; Dill, K.E.; Jacobs, J.E.; Maroules, C.D.; Rubin, G.; et al. Coronary Artery Disease—Reporting and Data System (CAD-RADS). JACC Cardiovasc. Imaging 2016, 9, 1099–1113. [Google Scholar] [CrossRef] [PubMed]
- Lausada, N.R.; Boullón, S.; Boullón, F.; de Gomez Dumm, I.T. Erythrocyte membrane, plasma and atherosclerotic plaque lipid pattern in coro-nary heart disease. Med. B. Aires 2007, 67, 451–457. [Google Scholar]
- Chei, C.-L.; Yamagishi, K.; Kitamura, A.; Kiyama, M.; Sankai, T.; Okada, T.; Imano, H.; Ohira, T.; Cui, R.; Umesawa, M.; et al. Serum Fatty Acid and Risk of Coronary Artery Disease―Circulatory Risk in Communities Study (CIRCS). Circ. J. 2018, 82, 3013–3020. [Google Scholar] [CrossRef] [Green Version]
- Björck, L.; Rosengren, A.; Winkvist, A.; Capewell, S.; Adiels, M.; Bandosz, P.; Critchley, J.; Boman, K.; Guzman-Castillo, M.; O’Flaherty, M.; et al. Changes in Dietary Fat Intake and Projections for Coronary Heart Disease Mortality in Sweden: A Simulation Study. PLoS ONE 2016, 11, e0160474. [Google Scholar] [CrossRef] [Green Version]
- Shramko, V.S.; Polonskaya, Y.V.; Kashtanova, E.V.; Stakhneva, E.M.; Ragino, Y.I. The Short Overview on the Relevance of Fatty Acids for Human Cardiovascular Disorders. Biomolecules 2020, 10, 1127. [Google Scholar] [CrossRef] [PubMed]
- Frigolet, M.E.; Gutiérrez-Aguilar, R. The Role of the Novel Lipokine Palmitoleic Acid in Health and Disease. Adv. Nutr. 2017, 8, 173S–181S. [Google Scholar] [CrossRef]
- Joris, P.J.; Mensink, R.P. Role of cis-Monounsaturated Fatty Acids in the Prevention of Coronary Heart Disease. Curr. Atheroscler. Rep. 2016, 18, 38. [Google Scholar] [CrossRef] [PubMed] [Green Version]
- Wang, Y.; Wang, H.; Howard, A.G.; Tsilimigras, M.C.; Avery, C.L.; Meyer, K.A.; Sha, W.; Sun, S.; Zhang, J.; Su, C.; et al. Gut Microbiota and Host Plasma Metabolites in Association with Blood Pressure in Chinese Adults. Hypertension 2020, 77, 706–717. [Google Scholar] [CrossRef]
- Titov, V.N. Cholesterol, biological role at phylogenetic stages, mechanisms of sterol synthesis inhibition by statins, phar-macogenomics factors and diagnostic value of low-density lipoprotein cholesterol. Eurasian J. Cardiol. 2016, 1, 56–66. (In Russian) [Google Scholar]
- Mesa, M.; Olza, J.; Gonzalez-Anton, C.; Aguilera, C.; Moreno-Torres, R.; Jimenez, A.; de la Cruz, A.P.; Ruperez, A.I.; Gil, A. Changes in Oxidative Stress and Inflammatory Biomarkers in Fragile Adults over Fifty Years of Age and in Elderly People Exclusively Fed Enteral Nutrition. Oxidative Med. Cell. Longev. 2015, 2015, 5709312. [Google Scholar] [CrossRef] [PubMed] [Green Version]
- Flores-Mateo, G.; Carrillo-Santisteve, P.; Elosua, R.; Guallar, E.; Marrugat, J.; Bleys, J.; Covas, M.-I. Antioxidant Enzyme Activity and Coronary Heart Disease: Meta-analyses of Observational Studies. Am. J. Epidemiol. 2009, 170, 135–147. [Google Scholar] [CrossRef] [PubMed] [Green Version]
- Vichova, T.; Motovska, Z. Oxidative stress: Predictive marker for coronary artery disease. Exp. Clin. Cardiol. 2013, 18, e88–e91. [Google Scholar] [PubMed]
- Orsi, N.M.; Leese, H.J. Protection against reactive oxygen species during mouse preimplantation embryo development: Role of EDTA, oxygen tension, catalase, superoxide dismutase and pyruvate. Mol. Reprod. Dev. 2001, 59, 44–53. [Google Scholar] [CrossRef]
- Birben, E.; Sahiner, U.M.; Sackesen, C.; Erzurum, S.; Kalayci, O. Oxidative Stress and Antioxidant Defense. World Allergy Organ. J. 2012, 5, 9–19. [Google Scholar] [CrossRef] [Green Version]
- Maiellaro-Rafferty, K.; Weiss, D.; Joseph, G.; Wan, W.; Gleason, R.L.; Taylor, W.R. Catalase overexpression in aortic smooth muscle prevents pathological mechanical changes underlying abdominal aortic aneurysm formation. Am. J. Physiol. Circ. Physiol. 2011, 301, H355–H362. [Google Scholar] [CrossRef] [Green Version]
- Gupta, S.; Sodhi, S.; Mahajan, V. Correlation of antioxidants with lipid peroxidation and lipid profile in patients suffering from coronary artery disease. Expert Opin. Ther. Targets 2009, 13, 889–894. [Google Scholar] [CrossRef] [PubMed]
- Schönfeld, P.; Wojtczak, L. Fatty acids as modulators of the cellular production of reactive oxygen species. Free Radic. Biol. Med. 2008, 45, 231–241. [Google Scholar] [CrossRef]
- Schnabel, R.; Lackner, K.J.; Rupprecht, H.J.; Espinola-Klein, C.; Torzewski, M.; Lubos, E.; Bickel, C.; Cambien, F.; Tiret, L.; Münzel, T.; et al. Glutathione Peroxidase-1 and Homocysteine for Cardiovascular Risk Prediction: Results from the AtheroGeneStudy. J. Am. Coll. Cardiol. 2005, 45, 1631–1637. [Google Scholar] [CrossRef] [Green Version]
- Codoñer-Franch, P.; Alberola, A.B.; Camarasa, J.V.D.; Moya, M.C.E.; Bellés, V.V. Influence of dietary lipids on the erythrocyte anti-oxidant status of hypercholesterolaemic children. Eur. J. Pediatr. 2009, 168, 321–327. [Google Scholar] [CrossRef]





| Parameter | Control Group (n = 20) | Core Group (n = 60) | p |
|---|---|---|---|
| Mean age, years (M ± SD) | 56.7 ± 2.65 | 59.4 ± 7.38 | 0.116 |
| BMI, kg/m2 (M ± SD) | 27.18 ± 2.49 | 29.05 ± 4.55 | 0.266 |
| Systolic BP, mmHg (M ± SD) | 130.64 ± 11.47 | 135.8 ± 11.45 | 0.204 |
| Diastolic BP, mmHg (M ± SD) | 83.33 ± 8.35 | 82.07 ± 9.64 | 0.741 |
| Heart rate, beats per minute (M ± SD) | 66.13 ± 7.21 | 68.16 ± 8.38 | 0.372 |
| Tobacco use (absolute in %) | 15% | 15% | 0.956 |
| Alcohol use (absolute in %) | 45% | 50% | 0.770 |
| Lipid profile (M ± SD): | |||
| Cholesterol, mg/dL | 171.6 ± 10.75 | 202.83 ± 6.76 | 0.175 |
| Triglycerides, mg/dL | 87.45 ± 14.71 | 153.9 ± 11.38 | 0.005 |
| HDL, mg/dL | 47.6 ± 2.27 | 32.7 ± 1.17 | 0.010 |
| LDL, mg/dL | 110.5 ± 9.92 | 131.8 ± 7.14 | 0.092 |
| Content of LPO in LDL after 30-min oxidation, nM MDA/mg LDL protein | 16.43 ± 2.41 | 22.71 ± 10.25 | 0.053 |
| Parameter | Subgroup A (n = 27) | Subgroup B (n = 33) | p |
|---|---|---|---|
| Mean age, years (M ± SD) | 60.5 ± 6.48 | 58.6 ± 8.03 | 0.307 |
| BMI, kg/m2 (M ± SD) | 29.91 ± 3.78 | 28.35 ± 5.05 | 0.191 |
| Systolic BP, mmHg (M ± SD) | 137.57 ± 12.75 | 134 ± 10.18 | 0.222 |
| Diastolic BP, mmHg (M ± SD) | 82.82 ± 9.86 | 81.45 ± 9.58 | 0.589 |
| Heart rate, beats per minute (M ± SD) | 69.63 ± 9.37 | 66.96 ± 7.4 | 0.222 |
| Hypertensive disease (absolute in %): | 96% | 82% | 0.362 |
| History of heart attack (absolute in %) | 81% | 61% | 0.082 |
| Angina pectoris (absolute in %): II FC III FC IV FC | 7% 70% 11% | 21% 42% 12% | 0.141 0.031 0.906 |
| Multivessel coronary artery disease (absolute in %) | 89% | 82% | 0.518 |
| Tobacco use (absolute in %) | 7% | 21% | 0.141 |
| Alcohol use (absolute in %) | 44% | 56% | 0.585 |
| Dyslipidemia (absolute in %) | 70% | 73% | 0.844 |
| Lipid profile (M ± SD): Cholesterol, mg/dL | 202.5 ± 7.39 | 203.1 ± 11.01 | 0.963 |
| Triglycerides, mg/dL | 170.3 ± 12.44 | 171.4 ± 20.14 | 0.993 |
| HDL, mg/dL | 32.5 ± 1.71 | 33 ± 1.6 | 0.855 |
| LDL, mg/dL | 131.4 ± 6.47 | 132.1 ± 7.33 | 0.945 |
| Content of LPO in LDL after 30-min oxidation, nM MDA/mg LDL protein | 21.71 ± 10.12 | 23.59 ± 10.57 | 0.601 |
| History of type II diabetes (absolute in %) | 37% | 22% | 0.241 |
| Fatty Acids | Control Group (n = 20) | Subgroup A (n = 27) | Subgroup B (n = 33) |
|---|---|---|---|
| Saturated fatty acids | |||
| Myristic (C 14:0) | 2.57 (1.01; 4.58) | 3.37 (2.69; 6.21) * | 4.72 (2.24; 5.49) * |
| Palmitic (C 16:0) | 84.68 (37.42; 134.25) | 132.66 (81.62; 145.8) * | 105.65 (88.93; 142.72) * |
| Stearic (C 18:0) | 29.34 (14.84; 49.39) | 38.46 (23.9; 42.59) | 33.79 (23.87; 38.79) |
| Monounsaturated fatty acids | |||
| Palmitoleic (C 16:1, ω-7) | 6.4 (2.23; 10.45) | 10.13 (5.69; 15.45) ** | 10.3 (7.35; 12.76) ** |
| Octadecenoic (C 18:1, ω-9) | 11.97 (7.1; 15.18) | 15.43 (12.78; 19.32) * | 16.26 (11.9; 18.44) * |
| Eicosenoic (C 20:1, ω-9) | 1.07 (0.42; 1.77) | 1.1 (0.82; 1.32) | 1.14 (0.85; 1.56) |
| Omega-3 polyunsaturated fatty acids | |||
| α-linolenic (C 18:3, ω-3) | 5.52 (1.22; 9.31) | 3.32 (2.43; 3.51) * | 3.86 (2.83; 4.96) * |
| Eicosapentaenoic (C 20:5, ω-3) | 1.97 (1.32; 3.42) | 2.3 (1.06; 3.09) | 1.56 (0.91; 2.72) |
| Docosapentaenoic (C 22:5, ω-3) | 1.77 (0.9; 2.73) | 1.14 (0.62; 2.12) * | 0.93 (0.57; 1.83) * |
| Docosahexaenoic (C 22:6, ω-3) | 6.58 (3.38; 10.3) | 4.62 (2.5; 8.57) * | 3.96 (2.6; 7.12) * |
| Omega-6 polyunsaturated fatty acids | |||
| Linoleic (C 18:2, ω-6) | 110.94 (63.45; 179.86) | 97.13 (72.34; 124.78) | 96.94 (69.33; 120.92) |
| Arachidonic (C 20:4, ω-6) | 16.65 (11.77; 35.94) | 12.3 (8.24; 22.57) * | 11.33 (7.67; 19.76) * |
| γ-linolenic (C 18:3, ω-6) | 1.14 (0.75; 4.03) | 1.47 (0.75; 2.29) | 1.27 (0.56; 1.79) |
| Eicosatrienoic (C 20:3, ω-6) | 5.27 (2.59; 8.12) | 5.74 (3.59; 7.29) | 4.24 (3.19; 6.74) |
| Fatty Acids | Rank Coefficients of Spearman Correlation (rs) | |||
|---|---|---|---|---|
| FORT | SOD | CAT | GPx | |
| Palmitic (C 16:0) | — | r = 0.515 p = 0.005 | — | r = −0.339 p = 0.059 |
| Palmitoleic (C 16:1, ω-7) | — | — | r = 0.373 p = 0.040 | r = −0.331 p = 0.060 |
| Stearic (C 18:0) | — | — | r = 0.412 p = 0.033 | r = −0.375 p = 0.039 |
| Octadecenoic (C 18:1, ω-9) | — | — | — | r = −0.372 p = 0.041 |
| Linoleic (C 18:2, ω-6) | — | r = −0.430 p = 0.025 | — | — |
| Eicosatrienoic (C 20:3, ω-6) | — | r = −0.453 p = 0.018 | — | — |
| Arachidonic (C 20:4, ω-6) | r = −0.362 p = 0.043 | r = −0.407 p = 0.035 | — | — |
| Eicosapentaenoic (C 20:5, ω-3) | — | r = −0.464 p = 0.015 | — | — |
| Docosapentaenoic (C 22:5, ω-3) | — | r = −0.464 p = 0.015 | — | — |
| Docosahexaenoic (C 22:6, ω-3) | r = −0.388 p = 0.036 | r = −0.549 p = 0.003 | — | — |
| Fatty Acids | Rank Coefficients of Spearman Correlation (rs) | ||
|---|---|---|---|
| FORT | SOD | CAT | |
| Octadecenoic (C 18:1, ω-9) | — | — | r = 0.405 p = 0.019 |
| Linoleic (C 18:2, ω-6) | r = −0.448 p = 0.009 | — | — |
| α-linolenic (C 18:3, ω-3) | r = −0.390 p = 0.033 | — | — |
| γ-linolenic (C 18:3, ω-6) | r = −0.388 p = 0.031 | — | — |
| Eicosenoic (C 20:1, ω-9) | — | r = 0.413 p = 0.017 | — |
| Eicosatrienoic (C 20:3, ω-6) | r = −0.397 p = 0.022 | r = −0.414 p = 0.017 | r = −0.307 p = 0.053 |
| Arachidonic (C 20:4, ω-6) | r = −0.512 p = 0.002 | — | — |
| Eicosapentaenoic (C 20:5, ω-3) | r = −0.471 p = 0.006 | — | — |
| Docosapentaenoic (C 22:5, ω-3) | r = −0.518 p = 0.002 | — | — |
| Docosahexaenoic (C 22:6, ω-3) | r = −0.588 p = 0.0001 | — | — |
| Antioxidant Enzymes | B | Exp(B) | 95.0% C.I. for Exp(B) | p | |
|---|---|---|---|---|---|
| Lower | Upper | ||||
| FORT | 0.396 | 1.485 | 0.428 | 5.157 | 0.533 |
| SOD | 0.020 | 1.020 | 1.003 | 1.037 | 0.019 |
| CAT | 0.107 | 1.113 | 1.001 | 1.239 | 0.050 |
| GPx | −0.096 | 0.908 | 0.753 | 1.095 | 0.314 |
Publisher’s Note: MDPI stays neutral with regard to jurisdictional claims in published maps and institutional affiliations. |
© 2021 by the authors. Licensee MDPI, Basel, Switzerland. This article is an open access article distributed under the terms and conditions of the Creative Commons Attribution (CC BY) license (https://creativecommons.org/licenses/by/4.0/).
Share and Cite
Shramko, V.S.; Striukova, E.V.; Polonskaya, Y.V.; Stakhneva, E.M.; Volkova, M.V.; Kurguzov, A.V.; Kashtanova, E.V.; Ragino, Y.I. Associations of Antioxidant Enzymes with the Concentration of Fatty Acids in the Blood of Men with Coronary Artery Atherosclerosis. J. Pers. Med. 2021, 11, 1281. https://doi.org/10.3390/jpm11121281
Shramko VS, Striukova EV, Polonskaya YV, Stakhneva EM, Volkova MV, Kurguzov AV, Kashtanova EV, Ragino YI. Associations of Antioxidant Enzymes with the Concentration of Fatty Acids in the Blood of Men with Coronary Artery Atherosclerosis. Journal of Personalized Medicine. 2021; 11(12):1281. https://doi.org/10.3390/jpm11121281
Chicago/Turabian StyleShramko, Viktoriya S., Eugeniia V. Striukova, Yana V. Polonskaya, Ekaterina M. Stakhneva, Marina V. Volkova, Alexey V. Kurguzov, Elena V. Kashtanova, and Yuliya I. Ragino. 2021. "Associations of Antioxidant Enzymes with the Concentration of Fatty Acids in the Blood of Men with Coronary Artery Atherosclerosis" Journal of Personalized Medicine 11, no. 12: 1281. https://doi.org/10.3390/jpm11121281
APA StyleShramko, V. S., Striukova, E. V., Polonskaya, Y. V., Stakhneva, E. M., Volkova, M. V., Kurguzov, A. V., Kashtanova, E. V., & Ragino, Y. I. (2021). Associations of Antioxidant Enzymes with the Concentration of Fatty Acids in the Blood of Men with Coronary Artery Atherosclerosis. Journal of Personalized Medicine, 11(12), 1281. https://doi.org/10.3390/jpm11121281

