Age-Adjusted Cut-Off Values for Glial Fibrillary Acidic Protein and Ubiquitin Carboxy-Terminal Hydrolase L1 Improve the Diagnostic Accuracy of the Abbott Mild Traumatic Brain Injury Assay
Abstract
1. Introduction
2. Materials and Methods
2.1. Study Setting and Participants
2.2. Laboratory Analyses
2.3. Statistical Analysis
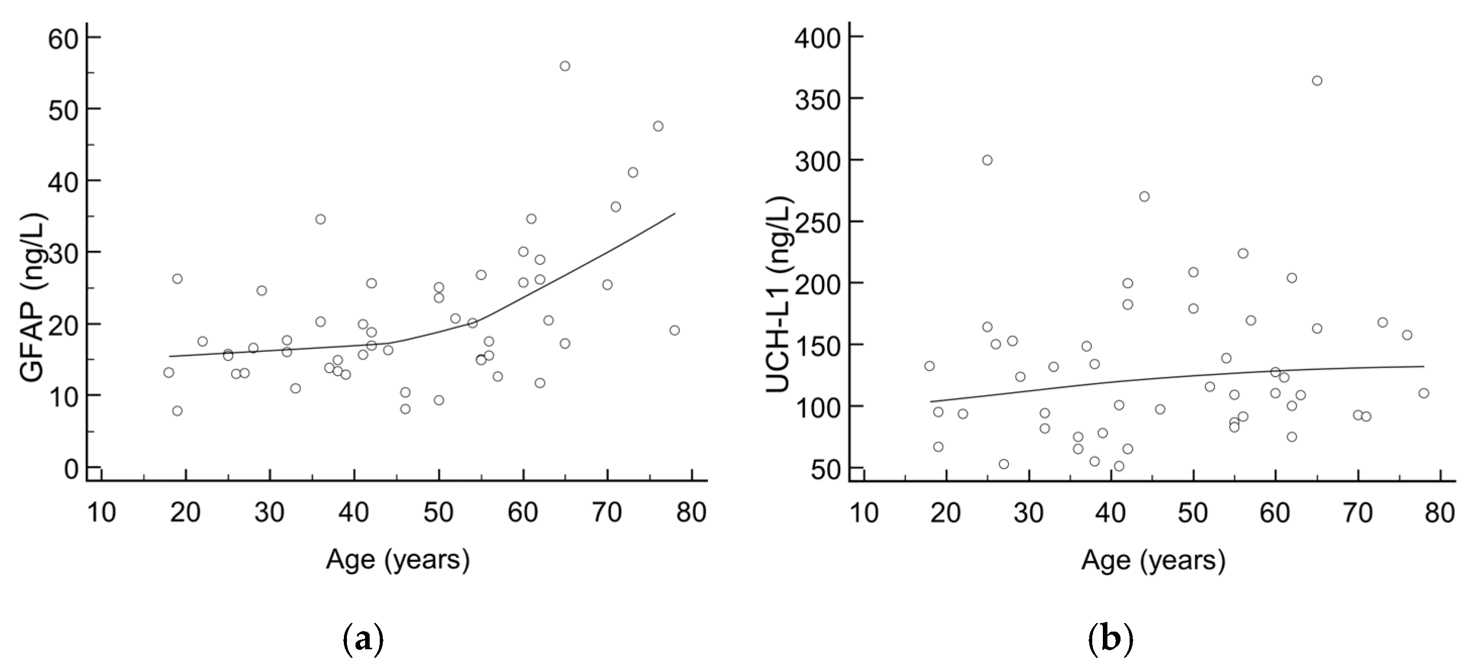
3. Results
4. Discussion
5. Conclusions
Author Contributions
Funding
Institutional Review Board Statement
Informed Consent Statement
Data Availability Statement
Conflicts of Interest
Abbreviations
| GFAP | Glial fibrillary acidic protein |
| UCH-L1 | Ubiquitin carboxy-terminal hydrolase L1 |
| mTBI | Mild traumatic brain injury |
| Se | Diagnostic sensitivity |
| Sp | Diagnostic specificity |
| ED | Emergency department |
| CT | Computed tomography |
| CI | Confidence interval |
| AUC | Area under the curve |
| CV | Coefficient of variation |
References
- Ray, S.; Luke, J.; Kreitzer, N. Patient-centered mild traumatic brain injury interventions in the emergency department. Am. J. Emerg. Med. 2024, 79, 183–191. [Google Scholar] [CrossRef] [PubMed]
- Katz, D.I.; Cohen, S.I.; Alexander, M.P. Mild traumatic brain injury. Handb. Clin. Neurol. 2015, 127, 131–156. [Google Scholar] [PubMed]
- Mondello, S.; Sorinola, A.; Czeiter, E.; Vámos, Z.; Amrein, K.; Synnot, A.; Donoghue, E.; Sándor, J.; Wang, K.K.W.; Diaz-Arrastia, R.; et al. Blood-Based Protein Biomarkers for the Management of Traumatic Brain Injuries in Adults Presenting to Emergency Departments with Mild Brain Injury: A Living Systematic Review and Meta-Analysis. J. Neurotrauma. 2021, 38, 1086–1106. [Google Scholar] [CrossRef] [PubMed]
- Legramante, J.M.; Minieri, M.; Belli, M.; Giovannelli, A.; Agnoli, A.; Bajo, D.; Bellincampi, L.; De Angelis, A.M.; Terrinoni, A.; Pieri, M.; et al. Evaluation of GFAP/UCH-L1 biomarkers for computed tomography exclusion in mild traumatic brain injury (mTBI). Int. J. Emerg. Med. 2024, 17, 164. [Google Scholar] [CrossRef] [PubMed]
- Lapić, I.; Rogić, D.; Lončar Vrančić, A.; Gornik, I. Exploratory analysis of glial fibrillary acidic protein and ubiquitin C-terminal hydrolase L1 in management of patients with mild neurological symptoms undergoing head computed tomography scan at the emergency department: A pilot study from a Croatian tertiary hospital. Lab. Med. 2024, 55, 492–497. [Google Scholar] [PubMed]
- Oris, C.; Bouillon-Minois, J.B.; Kahouadji, S.; Pereira, B.; Dhaiby, G.; Defrance, V.B.; Durif, J.; Schmidt, J.; Moustafa, F.; Bouvier, D.; et al. S100B vs. “GFAP and UCH-L1” assays in the management of mTBI patients. Clin. Chem. Lab. Med. 2023, 62, 891–899. [Google Scholar] [CrossRef] [PubMed]
- Chayoua, W.; Visser, K.; de Koning, M.E.; Beishuizen, A.; Jmker, R.I.; van der Naalt, J.; Krabbe, J.G.; van der Horn, H.J. Evaluation of Glial Fibrillary Acidic Protein and Ubiquitin C-Terminal Hydrolase-L1 Using a Rapid Point of Care Test for Predicting Head Computed Tomography Lesions After Mild Traumatic Brain Injury in a Dutch Multi-Center Cohort. J. Neurotrauma. 2024, 41, e1630–e1640. [Google Scholar] [CrossRef] [PubMed]
- Ladang, A.; Vavoulis, G.; Trifonidi, I.; Calluy, E.; Karagianni, K.; Mitropoulos, A.; Vlachos, K.; Cavalier, E.; Makris, K. Increased specificity of the “GFAP/UCH-L1” mTBI rule-out test by age dependent cut-offs. Clin. Chem. Lab. Med. 2024; ahead of print. [Google Scholar]
- Papa, L.; Ladde, J.G.; O’Brien, J.F.; Thundiyil, J.G.; Tesar, J.; Leech, S.; Cassidy, D.D.; Roa, J.; Hunter, C.; Miller, S.; et al. Evaluation of Glial and Neuronal Blood Biomarkers Compared With Clinical Decision Rules in Assessing the Need for Computed Tomography in Patients With Mild Traumatic Brain Injury. JAMA Netw. Open 2022, 5, e221302. [Google Scholar] [CrossRef] [PubMed]
- Curran, J.M.; Onions, K.; Watts, J.; Rana, A.; Hughes, E.; Allison, J.; Cooper, J.G. Ubiquitin C-terminal Hydrolase-L1 and Glial Fibrillary Acidic Protein Tandem Brain Biomarker Test in the Prediction of CT Evident Brain Injury: A Prospective Evaluation in the Emergency Department. Ann Clin Biochem. 2025; ahead of print. [Google Scholar]
- Menacho Román, M.; Penedo Alonso, J.R.; Morales Rodríguez, A.; Pecharromán de Las Heras, I.; Vicente Bartulos, A.; Arribas Gómez, I.; Plana Farrás, N. Hospital-based health technology assessment of a screening rapid test MTBI (GFAP and UCH-L1 blood biomarkers) for mild traumatic brain injury. Int. J. Technol. Assess. Health Care 2024, 41, e5. [Google Scholar] [CrossRef] [PubMed]
- Ward, M.D.; Weber, A.; Merrill, V.D.; Welch, R.D.; Bazarian, J.J.; Christenson, R.H. Predictive Performance of Traumatic Brain Injury Biomarkers in High-Risk Elderly Patients. J. Appl. Lab. Med. 2020, 5, 608. [Google Scholar] [CrossRef] [PubMed]
- Yue, J.K.; Yuh, E.L.; Korley, F.K.; Winkler, E.A.; Sun, X.; Puffer, R.C.; Deng, H.; Choy, W.; Chandra, A.; Taylor, S.R.; et al. Association between plasma GFAP concentrations and MRI abnormalities in patients with CT-negative traumatic brain injury in the TRACK-TBI cohort: A prospective multicentre study. Lancet Neurol. 2019, 18, 953–961. [Google Scholar] [CrossRef] [PubMed]

| Age (years) | 65 (18–96) |
| Females, N (%) | 83 (47.4) |
| Glasgow Coma Scale score | 15 (13–15) |
| Mechanism of injury, N (%) | |
| - Fall | 151 (86.3) |
| - Car accident | 19 (10.9) |
| - Violence | 5 (2.8) |
| Time from injury to ED admission (hours) | 2.0 (0.5–8) |
| Time from injury to blood collection (hours) | 2.5 (1–10) |
| Positive CT findings, N (%) | 29 (16.6) |
| - Subdural hematoma | 9/29 |
| - Subarachnoid hemorrhage | 7/29 |
| - Nasal bone fractures | 6/29 |
| - Paranasal sinus hemorrhage | 2/29 |
| - Epidural hematoma | 2/29 |
| - Subdural hygroma | 1/29 |
| - Intracerebral hematoma | 1/29 |
| - Periorbital hematoma | 1/29 |
| GFAP (ng/L) | 51.7 (23.2–124.1) |
| UCH-L1 (ng/L) | 424.0 (242.0–753.5) |
| Positive mTBI assay interpretation, N (%) | 131 (74.9) |
| GFAP | UCH-L1 | GFAP and UCH-L1 * | |
|---|---|---|---|
| AUC (95% CI) | 0.626 (0.550–0.698) | 0.640 (0.564–0.711) | 0.609 (0.533–0.682) |
| Diagnostic sensitivity (95% CI) | 82.8 (64.2–94.2) | 75.9 (56.5–89.7) | 93.1 (77.2–99.1) |
| Diagnostic specificity (95% CI) | 42.5 (34.3–50.9) | 52.1 (43.6–60.4) | 28.8 (21.6–36.8) |
| Negative predictive value (95% CI) | 92.5 (84.5–96.6) | 91.6 (84.8–95.5) | 95.5 (84.3–98.8) |
| Positive predictive value (95% CI) | 22.2 (18.7–26.2) | 23.9 (19.4–29.1) | 20.6 (18.4–23.0) |
| Group | ≤49 Years (n = 52) | 50–69 Years (n = 44) | ≥70 Years (n = 79) |
|---|---|---|---|
| Age (years) | 36 (18–49) | 60 (50–69) | 84 (70–96) |
| Females, N (%) | 21 (40.4) | 15 (34.1) | 47 (59.5) |
| Positive CT, N (%) | 8 (15.4) | 8 (18.2) | 13 (16.5) |
| Positive mTBI assay interpretation, N (%) | 26 (50.0) | 31 (70.5) | 74 (93.7) |
| AUC (95% CI) | 0.648 (0.503–0.775) | 0.681 (0.523–0.813) | 0.538 (0.422–0.651) |
| Diagnostic sensitivity (95% CI) | 75.0 (34.9–96.8) | 100 (63.1–100) | 100 (75.3–100) |
| Diagnostic specificity (95% CI) | 54.5 (38.8–69.6) | 36.1 (20.8–53.8) | 7.6 (2.5–16.8) |
| Negative predictive value (95% CI) | 92.3 (77.8–97.6) | 100 (75.3–100) | 100 (47.8–100) |
| Positive predictive value (95% CI) | 23.1 (15.2–33.4) | 25.8 (21.4–30.8) | 17.6 (16.6–18.6) |
| Group (Years Range) | ≤49 Years (n = 52) | 50–69 Years (n = 44) | ≥70 Years (n = 79) | All Patients (n = 175) |
|---|---|---|---|---|
| GFAP cut-off (ng/L) | 22.4 | 37.0 | 62.3 | |
| UCH-L1 cut-off (ng/L) | 349.3 | 351.6 | 369.0 | |
| AUC (95% CI) | 0.727 (0.586–0.841) | 0.708 (0.552–0.835) | 0.569 (0.452–0.679) | 0.651 (0.575–0.721) |
| Diagnostic sensitivity (95% CI) | 100 (63.1–100) | 100 (63.1–100) | 100 (75.3–100) | 100 (88.1–100) |
| Diagnostic specificity (95% CI) | 45.5 (30.4–61.2) | 41.7 (25.5–59.2) | 13.6 (6.4–24.3) | 30.1 (22.8–38.3) |
| Negative predictive value (95% CI) | 100 (82.4–100) | 100 (78.2–100) | 100 (66.4–100) | 100 (91.8–100) |
| Positive predictive value (95% CI) | 25.0 (20.3–30.4) | 27.6 (22.4–33.4) | 18.6 (17.2–20.1) | 22.1 (20.4–24.0) |
Disclaimer/Publisher’s Note: The statements, opinions and data contained in all publications are solely those of the individual author(s) and contributor(s) and not of MDPI and/or the editor(s). MDPI and/or the editor(s) disclaim responsibility for any injury to people or property resulting from any ideas, methods, instructions or products referred to in the content. |
© 2025 by the authors. Licensee MDPI, Basel, Switzerland. This article is an open access article distributed under the terms and conditions of the Creative Commons Attribution (CC BY) license (https://creativecommons.org/licenses/by/4.0/).
Share and Cite
Lapić, I.; Rogić, D.; Bingula, M.; Miklić, L.; Gornik, I. Age-Adjusted Cut-Off Values for Glial Fibrillary Acidic Protein and Ubiquitin Carboxy-Terminal Hydrolase L1 Improve the Diagnostic Accuracy of the Abbott Mild Traumatic Brain Injury Assay. Diagnostics 2025, 15, 1093. https://doi.org/10.3390/diagnostics15091093
Lapić I, Rogić D, Bingula M, Miklić L, Gornik I. Age-Adjusted Cut-Off Values for Glial Fibrillary Acidic Protein and Ubiquitin Carboxy-Terminal Hydrolase L1 Improve the Diagnostic Accuracy of the Abbott Mild Traumatic Brain Injury Assay. Diagnostics. 2025; 15(9):1093. https://doi.org/10.3390/diagnostics15091093
Chicago/Turabian StyleLapić, Ivana, Dunja Rogić, Matea Bingula, Lea Miklić, and Ivan Gornik. 2025. "Age-Adjusted Cut-Off Values for Glial Fibrillary Acidic Protein and Ubiquitin Carboxy-Terminal Hydrolase L1 Improve the Diagnostic Accuracy of the Abbott Mild Traumatic Brain Injury Assay" Diagnostics 15, no. 9: 1093. https://doi.org/10.3390/diagnostics15091093
APA StyleLapić, I., Rogić, D., Bingula, M., Miklić, L., & Gornik, I. (2025). Age-Adjusted Cut-Off Values for Glial Fibrillary Acidic Protein and Ubiquitin Carboxy-Terminal Hydrolase L1 Improve the Diagnostic Accuracy of the Abbott Mild Traumatic Brain Injury Assay. Diagnostics, 15(9), 1093. https://doi.org/10.3390/diagnostics15091093

