Innovative Discrete Multi-Wavelength Near-Infrared Spectroscopic (DMW-NIRS) Imaging for Rapid Breast Lesion Differentiation: Feasibility Study
Abstract
1. Introduction
2. Materials and Methods
2.1. Study Population
2.2. Evaluation of Clinical and Lesion Characteristics
2.3. Instrumentation and Measurement Procedure
2.4. Data Analysis
2.5. Statistical Analysis
- Model 1: BI-RADS categories were adjusted using TOIL/N cutoff values determined by the Youden index. Lesions exceeding the threshold retained their original BI-RADS category, while those below the threshold were downgraded.
- Model 2: This model integrates radiologists’ retrospective reassessments of US images with the DMW-NIRS results. The radiologists who initially performed the prospective BI-RADS assessments did not reference the DMW-NIRS results during their initial evaluations. Therefore, to develop Model 2, two breast-dedicated radiologists (M.J.K and J.Y) independently reviewed the previously captured US images and reassessed the BI-RADS categories based on their judgment. After this, they incorporated the DMW-NIRS results to refine their assessments and establish the second adaptive BI-RADS categories.
3. Results
3.1. Clinical and Lesion Characteristics
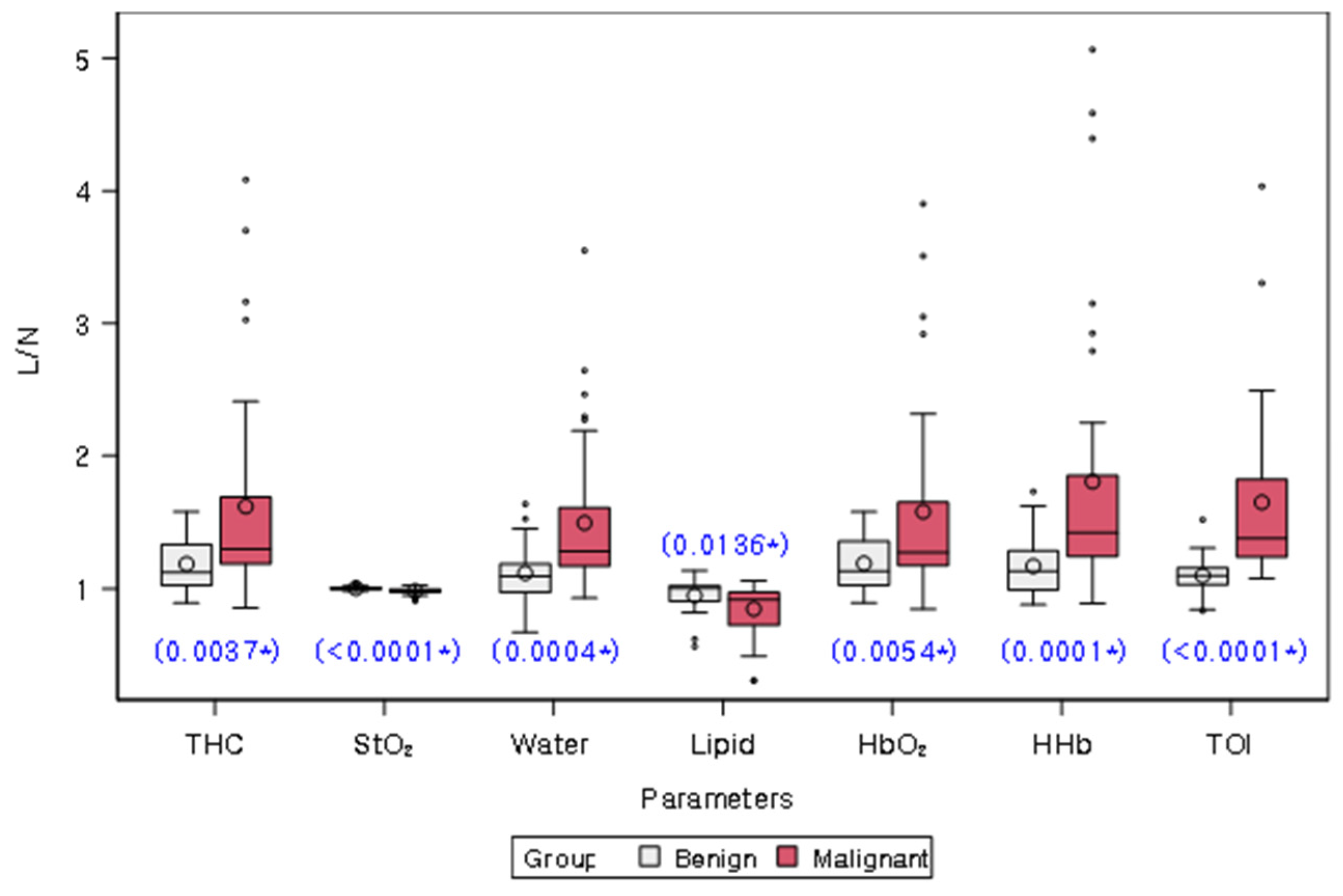
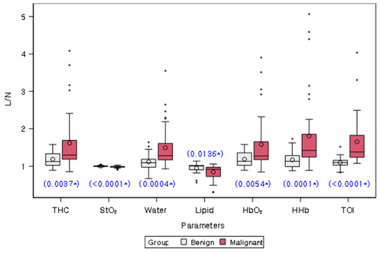
3.2. Comparison of Lesion-to-Normal Ratios (L/Ns) of Chromophores Between Malignant and Benign Lesions
3.3. Diagnostic Performance of Lesion-to-Normal Ratios (L/Ns) of Chromophores
3.4. Diagnostic Performance of Adaptive BI-RADS Categories Using Dmw-Nirs Results
4. Discussion
5. Conclusions
Supplementary Materials
Author Contributions
Funding
Institutional Review Board Statement
Informed Consent Statement
Data Availability Statement
Acknowledgments
Conflicts of Interest
Abbreviations
| BI-RADS | breast imaging reporting and data system |
| DOSI | diffuse optical spectroscopic imaging |
| NIR | near-infrared |
| NAC | nipple–areolar complex |
| ROI | region of interest |
| HbO2 | oxy-hemoglobin |
| HHb | deoxy-hemoglobin |
| Water | water |
| Lipid | bulk lipid |
| THC | total hemoglobin concentration |
| StO2 | percent oxygen saturation |
| TOI | tissue optical index |
| L/N | lesion-to-normal ratio |
| AUC-ROC | area under the receiver operating characteristic curve |
References
- Sung, H.; Ferlay, J.; Siegel, R.L.; Laversanne, M.; Soerjomataram, I.; Jemal, A.; Bray, F. Global cancer statistics 2020: Globocan estimates of incidence and mortality worldwide for 36 cancers in 185 countries. CA Cancer J. Clin. 2021, 71, 209–249. [Google Scholar] [CrossRef] [PubMed]
- Magny, S.J.; Shikhman, R.; Keppke, A.L. Breast imaging reporting and data system. In Statpearls; StatPearls Publishing LLC.: Treasure Island, FL, USA, 2025. [Google Scholar]
- Yodh, A.; Chance, B. Spectroscopy and imaging with diffusing light. Phys. Today 1995, 48, 34–40. [Google Scholar] [CrossRef]
- O’Sullivan, T.D.; Cerussi, A.E.; Cuccia, D.J.; Tromberg, B.J. Diffuse optical imaging using spatially and temporally modulated light. J. Biomed. Opt. 2012, 17, 071311. [Google Scholar] [CrossRef]
- Cerussi, A.; Shah, N.; Hsiang, D.; Durkin, A.; Butler, J.; Tromberg, B.J. In vivo absorption, scattering, and physiologic properties of 58 malignant breast tumors determined by broadband diffuse optical spectroscopy. J. Biomed. Opt. 2006, 11, 044005. [Google Scholar] [CrossRef]
- Tromberg, B.J.; Cerussi, A.E. Imaging breast cancer chemotherapy response with light. Commentary on soliman et al., p. 2605. Clin. Cancer Res. 2010, 16, 2486–2488. [Google Scholar] [CrossRef]
- Busch, D.R.; Choe, R.; Rosen, M.A.; Guo, W.; Durduran, T.; Feldman, M.D.; Mies, C.; Czerniecki, B.J.; Tchou, J.; Demichele, A.; et al. Optical malignancy parameters for monitoring progression of breast cancer neoadjuvant chemotherapy. Biomed. Opt. Express 2013, 4, 105–121. [Google Scholar] [CrossRef] [PubMed]
- Jiang, S.; Pogue, B.W.; Kaufman, P.A.; Gui, J.; Jermyn, M.; Frazee, T.E.; Poplack, S.P.; DiFlorio-Alexander, R.; Wells, W.A.; Paulsen, K.D. Predicting breast tumor response to neoadjuvant chemotherapy with diffuse optical spectroscopic tomography prior to treatment. Clin. Cancer Res. 2014, 20, 6006–6015. [Google Scholar] [CrossRef]
- Tromberg, B.J.; Zhang, Z.; Leproux, A.; O’Sullivan, T.D.; Cerussi, A.E.; Carpenter, P.M.; Mehta, R.S.; Roblyer, D.; Yang, W.; Paulsen, K.D.; et al. Predicting responses to neoadjuvant chemotherapy in breast cancer: Acrin 6691 trial of diffuse optical spectroscopic imaging. Cancer Res. 2016, 76, 5933–5944. [Google Scholar] [CrossRef] [PubMed]
- Sajjadi, A.Y.; Isakoff, S.J.; Deng, B.; Singh, B.; Wanyo, C.M.; Fang, Q.; Specht, M.C.; Schapira, L.; Moy, B.; Bardia, A.; et al. Normalization of compression-induced hemodynamics in patients responding to neoadjuvant chemotherapy monitored by dynamic tomographic optical breast imaging (dtobi). Biomed. Opt. Express 2017, 8, 555–569. [Google Scholar] [CrossRef]
- O’Sullivan, T.D.; Leproux, A.; Chen, J.H.; Bahri, S.; Matlock, A.; Roblyer, D.; McLaren, C.E.; Chen, W.P.; Cerussi, A.E.; Su, M.Y.; et al. Optical imaging correlates with magnetic resonance imaging breast density and reveals composition changes during neoadjuvant chemotherapy. Breast Cancer Res. 2013, 15, R14. [Google Scholar] [CrossRef]
- Blackmore, K.M.; Dick, S.; Knight, J.; Lilge, L. Estimation of mammographic density on an interval scale by transillumination breast spectroscopy. J. Biomed. Opt. 2008, 13, 064030. [Google Scholar] [CrossRef] [PubMed]
- Choe, R.; Konecky, S.D.; Corlu, A.; Lee, K.; Durduran, T.; Busch, D.R.; Pathak, S.; Czerniecki, B.J.; Tchou, J.; Fraker, D.L.; et al. Differentiation of benign and malignant breast tumors by in-vivo three-dimensional parallel-plate diffuse optical tomography. J. Biomed. Opt. 2009, 14, 024020. [Google Scholar] [CrossRef] [PubMed]
- Quarto, G.; Spinelli, L.; Pifferi, A.; Torricelli, A.; Cubeddu, R.; Abbate, F.; Balestreri, N.; Menna, S.; Cassano, E.; Taroni, P. Estimate of tissue composition in malignant and benign breast lesions by time-domain optical mammography. Biomed. Opt. Express 2014, 5, 3684–3698. [Google Scholar] [CrossRef]
- Leproux, A.; Kim, Y.M.; Min, J.W.; McLaren, C.E.; Chen, W.P.; O’Sullivan, T.D.; Lee, S.H.; Chung, P.S.; Tromberg, B.J. Differential diagnosis of breast masses in south korean premenopausal women using diffuse optical spectroscopic imaging. J. Biomed. Opt. 2016, 21, 74001. [Google Scholar] [CrossRef]
- Shokoufi, M.; Golnaraghi, F. Handheld diffuse optical breast scanner probe for cross-sectional imaging of breast tissue. J. Innov. Opt. Health Sci. 2019, 12, 1950008. [Google Scholar] [CrossRef]
- Shokoufi, M.; Haeri, Z.; Lim, Z.Y.; Ramaseshan, R.; Golnaraghi, F. Translation of a portable diffuse optical breast scanner probe for clinical application: A preliminary study. Biomed. Phys. Eng. Express 2020, 6, 015037. [Google Scholar] [CrossRef]
- Pouriayevali, M.; McWilliams, R.; Bachar, A.; Atwal, P.; Ramaseshan, R.; Golnaraghi, F. Advancing near-infrared probes for enhanced breast cancer assessment. Sensors 2025, 25, 983. [Google Scholar] [CrossRef]
- Fantini, S.; Sassaroli, A. Near-infrared optical mammography for breast cancer detection with intrinsic contrast. Ann. Biomed. Eng. 2012, 40, 398–407. [Google Scholar] [CrossRef] [PubMed]
- Zhu, Q.; Poplack, S. A review of optical breast imaging: Multi-modality systems for breast cancer diagnosis. Eur. J. Radiol. 2020, 129, 109067. [Google Scholar] [CrossRef]
- Zhu, Q.; Cronin, E.B.; Currier, A.A.; Vine, H.S.; Huang, M.; Chen, N.; Xu, C. Benign versus malignant breast masses: Optical differentiation with us-guided optical imaging reconstruction. Radiology 2005, 237, 57–66. [Google Scholar] [CrossRef]
- Kukreti, S.; Cerussi, A.E.; Tanamai, W.; Hsiang, D.; Tromberg, B.J.; Gratton, E. Characterization of metabolic differences between benign and malignant tumors: High-spectral-resolution diffuse optical spectroscopy. Radiology 2010, 254, 277–284. [Google Scholar] [CrossRef] [PubMed]
- Winkler, N.S.; Raza, S.; Mackesy, M.; Birdwell, R.L. Breast density: Clinical implications and assessment methods. Radiographics 2015, 35, 316–324. [Google Scholar] [CrossRef] [PubMed]
- Berg, W.A.; Blume, J.D.; Cormack, J.B.; Mendelson, E.B.; Lehrer, D.; Böhm-Vélez, M.; Pisano, E.D.; Jong, R.A.; Evans, W.P.; Morton, M.J.; et al. Combined screening with ultrasound and mammography vs mammography alone in women at elevated risk of breast cancer. JAMA 2008, 299, 2151–2163. [Google Scholar] [CrossRef]
- Zhu, Q.; Ricci, A., Jr.; Hegde, P.; Kane, M.; Cronin, E.; Merkulov, A.; Xu, Y.; Tavakoli, B.; Tannenbaum, S. Assessment of functional differences in malignant and benign breast lesions and improvement of diagnostic accuracy by using us-guided diffuse optical tomography in conjunction with conventional us. Radiology 2016, 280, 387–397. [Google Scholar] [CrossRef] [PubMed]





| Malignancy (n = 37) | Benign (n = 25) | p Value | |
|---|---|---|---|
| Clinical characteristics | |||
| Age (years, mean ± SD) | 53.4 ± 10.4 | 44.9 ± 10.4 | 0.003 |
| Range | 33–80 | 29–71 | |
| Age classification | 0.011 | ||
| <50 years | 13 (35.1) | 17 (68.0) | |
| ≥50 years | 24 (64.9) | 8 (32.0) | |
| BMI (kg/m2, mean ± SD) | 23.4 ± 3.0 | 23.5 ± 3.2 | 0.923 |
| BMI classification | 0.547 | ||
| Underweight (<18.5 kg/m2) | 1 (2.7) | 1 (4.0) | |
| Healthy Weight (18.5 kg/m2~23 kg/m2) | 19 (51.4) | 9 (36.0) | |
| Overweight (23 kg/m2~25 kg/m2) | 8 (21.6) | 9 (36.0) | |
| Obesity (≥25 kg/m2) | 9 (24.3) | 6 (24.0) | |
| Family history of breast cancer | 0.830 | ||
| No | 25 (69.4) | 18 (72.0) | |
| Yes | 11 (30.6) | 7 (28.0) | |
| Unknown | 1 (0.0) | ||
| Breast density | 1.000 | ||
| A (entirely fatty) or B (scattered fibroglandular) | 5 (13.5) | 2 (10.5) | |
| C (heterogeneously dense) or D (extremely dense) | 33 (86.5) | 17 (89.4) | |
| Unavailable | 0 | 6 | |
| History of hormonal therapy | |||
| No | 33 (89.2) | 25 (100.0) | 0.141 |
| Yes | 4 (10.8) | 0 (0.0) | |
| Menopausal status | 0.006 | ||
| Premenopausal | 13 (35.1) | 19 (76.0) | |
| Perimenopausal | 7 (18.9) | 1 (4.0) | |
| Postmenopausal | 17 (46.0) | 5 (20.0) | |
| Lesion characteristics | |||
| Maximal tumor diameter (mm, mean ± SD) | 22.3 ± 11.6 | 16.1 ± 8.4 | 0.044 |
| Distance from the nipple | 0.043 | ||
| 1~3 cm | 14 (37.8) | 16 (64.0) | |
| 4~8 cm | 23 (62.2) | 9 (36.0) | |
| >9 cm | 0 (0.0) | 0 (0.0) | |
| Distance from the skin (mm, mean ± SD) | 5.7 ± 2.8 | 7.5 ± 3.6 | 0.045 |
| Breast thickness at the tumor site (mm, mean ± SD) | 21.8 ± 6.8 | 19.3 ± 4.82 | 0.126 |
| BI-RADS Category | <0.001 | ||
| 3 | 0 (0.0) | 8 (32.0) | |
| 4A | 15 (40.5) | 17 (68.0) | |
| 4B | 5 (13.5) | 0 (0.0) | |
| 4C | 7 (18.9) | 0 (0.0) | |
| 5 | 10 (27.0) | 0 (0.0) | |
| Malignancy (n = 37) | Benign (n = 25) | p Value | |
|---|---|---|---|
| THCL/N | |||
| median (min, max) | 1.30 (0.85, 4.08) | 1.12 (0.89, 1.58) | 0.004 |
| StO2-L/N | |||
| median (min, max) | 0.99 (0.91, 1.03) | 1.00 (0.98, 1.04) | <0.001 |
| WaterL/N | |||
| median (min, max) | 1.28 (0.93, 3.55) | 1.09 (0.67, 1.64) | <0.001 |
| LipidL/N | |||
| median (min, max) | 0.92 (0.31, 1.06) | 1.00 (0.56, 1.14) | 0.012 |
| HbO2-L/N | |||
| median (min, max) | 1.27 (0.85, 3.90) | 1.13 (0.89, 1.58) | 0.005 |
| HHbL/N | |||
| median (min, max) | 1.42 (0.89, 5.06) | 1.13 (0.88, 1.73) | <0.001 |
| TOIL/N | |||
| median (min, max) | 1.38 (1.08, 4.03) | 1.10 (0.83, 1.52) | <0.001 |
| Parameter | Threshold | Accuracy | Sensitivity | Specificity | AUC-ROC (95% CI) | p Value |
|---|---|---|---|---|---|---|
| THCL/N | 1.1862 | 0.694 | 0.784 | 0.560 | 0.719 (0.591, 0.846) | <0.001 |
| StO2L/N | 0.9947 | 0.742 | 0.730 | 0.760 | 0.796 (0.686, 0.906) | <0.001 |
| WaterL/N | 1.1531 | 0.790 | 0.838 | 0.720 | 0.769 (0.643, 0.894) | <0.001 |
| LipidL/N | 0.9787 | 0.726 | 0.838 | 0.560 | 0.686 (0.546, 0.827) | 0.016 |
| HbO2L/N | 1.1357 | 0.694 | 0.811 | 0.520 | 0.710 (0.582, 0.839) | 0.002 |
| HHbL/N | 1.3541 | 0.726 | 0.649 | 0.840 | 0.788 (0.675, 0.901) | <0.001 |
| TOIL/N | 1.1862 | 0.839 | 0.865 | 0.800 | 0.901 (0.825, 0.976) | <0.001 |
Disclaimer/Publisher’s Note: The statements, opinions and data contained in all publications are solely those of the individual author(s) and contributor(s) and not of MDPI and/or the editor(s). MDPI and/or the editor(s) disclaim responsibility for any injury to people or property resulting from any ideas, methods, instructions or products referred to in the content. |
© 2025 by the authors. Licensee MDPI, Basel, Switzerland. This article is an open access article distributed under the terms and conditions of the Creative Commons Attribution (CC BY) license (https://creativecommons.org/licenses/by/4.0/).
Share and Cite
Yoon, J.; Han, K.; Kim, M.J.; Hong, H.; Han, E.S.; Han, S.-H. Innovative Discrete Multi-Wavelength Near-Infrared Spectroscopic (DMW-NIRS) Imaging for Rapid Breast Lesion Differentiation: Feasibility Study. Diagnostics 2025, 15, 1067. https://doi.org/10.3390/diagnostics15091067
Yoon J, Han K, Kim MJ, Hong H, Han ES, Han S-H. Innovative Discrete Multi-Wavelength Near-Infrared Spectroscopic (DMW-NIRS) Imaging for Rapid Breast Lesion Differentiation: Feasibility Study. Diagnostics. 2025; 15(9):1067. https://doi.org/10.3390/diagnostics15091067
Chicago/Turabian StyleYoon, Jiyoung, Kyunghwa Han, Min Jung Kim, Heesun Hong, Eunice S. Han, and Sung-Ho Han. 2025. "Innovative Discrete Multi-Wavelength Near-Infrared Spectroscopic (DMW-NIRS) Imaging for Rapid Breast Lesion Differentiation: Feasibility Study" Diagnostics 15, no. 9: 1067. https://doi.org/10.3390/diagnostics15091067
APA StyleYoon, J., Han, K., Kim, M. J., Hong, H., Han, E. S., & Han, S.-H. (2025). Innovative Discrete Multi-Wavelength Near-Infrared Spectroscopic (DMW-NIRS) Imaging for Rapid Breast Lesion Differentiation: Feasibility Study. Diagnostics, 15(9), 1067. https://doi.org/10.3390/diagnostics15091067

