Angiogenic Biomarkers: Are They Good Tools to Predict Perinatal Outcomes in Hypertensive Disorders of Pregnancy? A Retrospective Cohort Study
Abstract
1. Introduction
2. Materials and Methods
Statistical Analyses
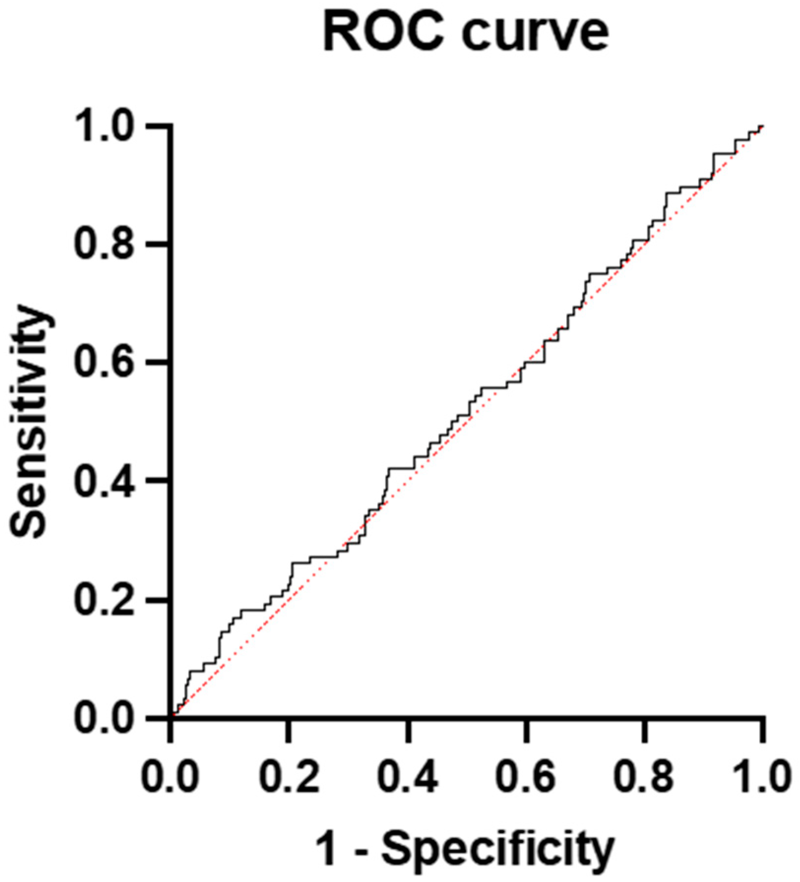
3. Results
4. Discussion
Strengths and Limitations
5. Conclusions
Author Contributions
Funding
Institutional Review Board Statement
Informed Consent Statement
Data Availability Statement
Conflicts of Interest
References
- Poon, L.C.; Shennan, A.; Hyett, J.A.; Kapur, A.; Hadar, E.; Divakar, H.; McAuliffe, F.; da Silva Costa, F.; von Dadelszen, P.; McIntyre, H.D.; et al. The International Federation of Gynecology and Obstetrics (FIGO) initiative on pre-eclampsia: A pragmatic guide for first-trimester screening and prevention. Int. J. Gynaecol. Obstet. 2019, 145 (Suppl. S1), 1–33. [Google Scholar] [CrossRef] [PubMed]
- Bartal, M.F.; Sibai, B.M. Preeclampsia. In StatPearls; Protocols for High-Risk Pregnancies: An Evidence-Based Approach, 7th Edition; StatPearls Publishing: Treasure Island, FL, USA, 2024; pp. 517–528. Available online: https://pubmed.ncbi.nlm.nih.gov/34033373/ (accessed on 2 May 2024).
- Dimitriadis, E.; Rolnik, D.L.; Zhou, W.; Estrada-Gutierrez, G.; Koga, K.; Francisco, R.P.V.; Whitehead, C.; Hyett, J.; da Silva Costa, F.; Nicolaides, K.; et al. Pre-eclampsia. Nat. Rev. Dis. Prim. 2023, 9, 8. [Google Scholar]
- Herraiz, I.; Simón, E.; Gómez-Arriaga, P.I.; Martínez-Moratalla, J.M.; García-Burguillo, A.; López Jiménez, E.A.; Galindo, A. Angio-genesis-related biomarkers (sFlt-1/PLGF) in the prediction and diagnosis of placental dysfunction: An approach for clinical integration. Int. J. Mol. Sci. 2015, 16, 19009–19026. [Google Scholar] [CrossRef]
- Verlohren, S.; Stepan, H.; Dechend, R. Angiogenic growth factors in the diagnosis and prediction of pre-eclampsia. Clin. Sci. 2012, 122, 43–52. [Google Scholar]
- Herraiz, I.; Llurba, E.; Verlohren, S.; Galindo, A.; Spanish Group for the Study of Angiogenic Markers in Preeclampsia. Update on the Diagnosis and Prognosis of Preeclampsia with the Aid of the sFlt-1/PlGF Ratio in Singleton Pregnancies. Fetal Diagn. Ther. 2018, 43, 81–89. [Google Scholar]
- Stepan, H.; Herraiz, I.; Schlembach, D.; Verlohren, S.; Brennecke, S.; Chantraine, F.; Klein, E.; Lapaire, O.; Llurba, E.; Ramoni, A.; et al. Implementation of the sFlt-1/PlGF ratio for prediction and diagnosis of pre-eclampsia in singleton pregnancy: Implications for clinical practice. Ultrasound Obstet. Gynecol. 2015, 45, 241. [Google Scholar] [PubMed]
- Hund, M.; Allegranza, D.; Schoedl, M.; Dilba, P.; Verhagen-Kamerbeek, W.; Stepan, H. Multicenter prospective clinical study to evaluate the prediction of short-term outcome in pregnant women with suspected preeclampsia (PROGNOSIS): Study protocol. BMC Pregnancy Childbirth 2014, 14, 324. [Google Scholar] [CrossRef]
- Zeisler, H.; Llurba, E.; Chantraine, F.; Vatish, M.; Staff, A.C.; Sennström, M.; Olovsson, M.; Brennecke, S.P.; Stepan, H.; Allegranza, D.; et al. Predictive Value of the sFlt-1:PlGF Ratio in Women with Suspected Preeclampsia. N. Engl. J. Med. 2016, 374, 13–22. [Google Scholar]
- Rybak-Krzyszkowska, M.; Staniczek, J.; Kondracka, A.; Bogusławska, J.; Kwiatkowski, S.; Góra, T.; Strus, M.; Górczewski, W. From Biomarkers to the Molecular Mechanism of Preeclampsia—A Comprehensive Literature Review. Int. J. Mol. Sci. 2023, 24, 13252. [Google Scholar] [CrossRef]
- Thangaratinam, S.; Allotey, J.; Marlin, N.; Dodds, J.; Cheong-See, F.; von Dadelszen, P.; Ganzevoort, W.; Akkermans, J.; Kerry, S.; Mol, B.W.; et al. Prediction of complications in early-onset pre-eclampsia (PREP): Development and external multinational validation of prognostic models. BMC Med. 2017, 15, 68. [Google Scholar]
- Ukah, U.V.; Payne, B.; Karjalainen, H.; Kortelainen, E.; Seed, P.T.; Conti-Ramsden, F.I.; Cao, V.; Laivuori, H.; Hutcheon, J.; Chappell, L.; et al. Temporal and external validation of the fullPIERS model for the prediction of adverse maternal outcomes in women with pre-eclampsia. Pregnancy Hypertens. 2019, 15, 42–50. [Google Scholar] [CrossRef] [PubMed]
- Kondracka, A.; Jaszczuk, I.; Koczkodaj, D.; Kondracki, B.; Frąszczak, K.; Oniszczuk, A.; Rybak-Krzyszkowska, M.; Staniczek, J.; Filip, A.; Kwaśniewska, A. Analysis of Circulating C19MC MicroRNA as an Early Marker of Hypertension and Preeclampsia in Pregnant Patients: A Systematic Review. J. Clin. Med. 2022, 11, 7051. [Google Scholar] [CrossRef] [PubMed]
- Peguero, A.; Fernandez-Blanco, L.; Mazarico, E.; Benitez, L.; Gonzalez, A.; Boada, D.; Borràs, C.; Youssef, L.; Crispi, F.; Hernandez, S.; et al. Prediction of adverse neonatal outcome at admission for early-onset preeclampsia with severe features. Pregnancy Hypertens. 2023, 32, 64–69. [Google Scholar] [CrossRef] [PubMed]
- Binder, J.; Palmrich, P.; Kalafat, E.; Haberl, C.; Schirwani, N.; Pateisky, P.; Khalil, A. Longitudinal assessment of angiogenic markers in prediction of adverse outcome in women with confirmed pre-eclampsia. Ultrasound Obstet. Gynecol. 2023, 62, 843–851. [Google Scholar]
- Graupner, O.; Karge, A.; Flechsenhar, S.; Seiler, A.; Haller, B.; Ortiz, J.U.; Lobmaier, S.M.; Axt-Fliedner, R.; Enzensberger, C.; Abel, K.; et al. Role of sFlt-1/PlGF ratio and feto-maternal Doppler for the prediction of adverse perinatal outcome in late-onset pre-eclampsia. Arch. Gynecol. Obstet. 2020, 301, 375–385. [Google Scholar]
- Karge, A.; Seiler, A.; Flechsenhar, S.; Haller, B.; Ortiz, J.U.; Lobmaier, S.M.; Axt-Fliedner, R.; Enzensberger, C.; Abel, K.; Kuschel, B.; et al. Prediction of adverse perinatal outcome and the mean time until delivery in twin pregnancies with suspected pre-eclampsia using sFlt-1/PIGF ratio. Pregnancy Hypertens. 2021, 24, 37–43. [Google Scholar]
- Wang, L.; Mo, Y.; Wang, P.; Shen, W.; Xu, L.; Zhao, G.; Lu, J. Prediction Model of Adverse Pregnancy Outcome in Pre-Eclampsia Based on Logistic Regression and Random Forest Algorithm. Altern. Ther. Health Med. 2024, 30, 142–147. [Google Scholar]
- Bednarek-Jędrzejek, M.; Kwiatkowski, S.; Ksel-Hryciów, J.; Tousty, P.; Nurek, K.; Kwiatkowska, E.; Cymbaluk-Płoska, A.; Torbé, A. The sFlt-1/PlGF ratio values within the <38, 38–85 and> 85 brackets as compared to perinatal outcomes. J. Perinat. Med. 2019, 47, 732–740. [Google Scholar]
- Thadhani, R.; Lemoine, E.; Rana, S.; Costantine, M.M.; Calsavara, V.F.; Boggess, K.; Wylie, B.J.; Simas, T.A.M.; Louis, J.M.; Espinoza, J.; et al. Circulating Angiogenic Factor Levels in Hypertensive Disorders of Pregnancy. NEJM Evid. 2022, 1, EVIDoa2200161. [Google Scholar]
- A Magee, L.; Brown, M.A.; Hall, D.R.; Gupte, S.; Hennessy, A.; Karumanchi, S.A.; Kenny, L.C.; McCarthy, F.; Myers, J.; Poon, L.C.; et al. The 2021 International Society for the Study of Hypertension in Pregnancy classification, diagnosis & management recommendations for international practice. Pregnancy Hypertens. 2022, 27, 148–169. [Google Scholar]
- Palmrich, P.; Binder, C.; Zeisler, H.; Kroyer, B.; Pateisky, P.; Binder, J. Awareness of obstetricians for long-term risks in women with a history of preeclampsia or HELLP syndrome. Arch. Gynecol. Obstet. 2022, 305, 581–587. [Google Scholar] [CrossRef]
- Dijkhuis, T.E.; Bloem, F.; Kusters, L.A.; Roos, S.M.; Gordijn, S.J.; Holvast, F.; Prins, J.R. Investigating the current knowledge and needs concerning a follow-up for long-term cardiovascular risks in Dutch women with a preeclampsia history: A qualitative study. BMC Pregnancy Childbirth 2020, 20, 486. [Google Scholar] [CrossRef]
- Yang, Y.; Le Ray, I.; Zhu, J.; Zhang, J.; Hua, J.; Reilly, M. Preeclampsia Prevalence, Risk Factors, and Pregnancy Outcomes in Sweden and China. JAMA Netw. Open 2021, 4, E218401. [Google Scholar] [CrossRef]
- Kumar, N.; Das, V.; Agarwal, A.; Agrawal, S. Correlation of sFlt/PlGF ratio with severity of preeclampsia in an Indian population. AJOG Glob. Rep. 2023, 3, 100177. [Google Scholar] [CrossRef]
- Hughes, R.C.E.; Phillips, I.; Florkowski, C.M.; Gullam, J. The predictive value of the sFlt-1/PlGF ratio in suspected preeclampsia in a New Zealand population: A prospective cohort study. Aust. N. Z. J. Obstet. Gynaecol. 2023, 63, 34–41. [Google Scholar] [CrossRef]
- Parchem, J.G.; Brock, C.O.; Chen, H.Y.; Kalluri, R.; Barton, J.R.; Sibai, B.M. Placental Growth Factor and the Risk of Adverse Neonatal and Maternal Outcomes. Obstet. Gynecol. 2020, 135, 665–673. [Google Scholar] [CrossRef]
- Duhig, K.E.; Myers, J.; Seed, P.T.; Sparkes, J.; Lowe, J.; Hunter, R.M.; Shennan, A.H.; Chappell, L.C.; Bahl, R.; Bambridge, G.; et al. Placental growth factor testing to assess women with suspected pre-eclampsia: A multicentre, pragmatic, stepped-wedge cluster-randomised controlled trial. Lancet 2019, 393, 1807–1818. [Google Scholar] [CrossRef]
- Agrawal, S.; Shinar, S.; Cerdeira, A.S.; Redman, C.; Vatish, M. Predictive Performance of PlGF (Placental Growth Factor) for Screening Preeclampsia in Asymptomatic Women: A Systematic Review and Meta-Analysis. Hypertension 2019, 74, 1124–1135. [Google Scholar] [CrossRef]
- Stepan, H.; Hund, M.; Gencay, M.; Denk, B.; Dinkel, C.; Kaminski, W.; Wieloch, P.; Semus, B.; Meloth, T.; Dröge, L.-A.; et al. A comparison of the diagnostic utility of the sFlt-1/PlGF ratio versus PlGF alone for the detection of preeclampsia/HELLP syndrome. Hypertens. Pregnancy 2016, 35, 295–305. [Google Scholar] [CrossRef]
- Kwiatkowski, S.; Bednarek-Jędrzejek, M.; Ksel, J.; Tousty, P.; Kwiatkowska, E.; Cymbaluk, A.; Rzepka, R.; Chudecka-Głaz, A.; Dołęgowska, B.; Torbè, A.; et al. sFlt-1/PlGF and Doppler ultrasound parameters in SGA pregnancies with confirmed neonatal birth weight below 10th percentile. Pregnancy Hypertens. 2018, 14, 79–85. [Google Scholar] [CrossRef] [PubMed]
- Chang, Y.S.; Chen, C.N.; Jeng, S.F.; Su, Y.N.; Chen, C.Y.; Chou, H.C.; Tsao, P.N.; Hsieh, W.S. The sFlt-1/PlGF ratio as a predictor for poor pregnancy and neonatal outcomes. Pediatr. Neonatol. 2017, 58, 529–533. [Google Scholar] [CrossRef]
- Dröge, L.A.; Perschel, F.H.; Stütz, N.; Gafron, A.; Frank, L.; Busjahn, A.; Henrich, W.; Verlohren, S. Prediction of Preeclampsia-Related Adverse Outcomes With the sFlt-1 (Soluble fms-Like Tyrosine Kinase 1)/PlGF (Placental Growth Factor)-Ratio in the Clinical Routine. Hypertension 2020, 77, 461–471. [Google Scholar] [CrossRef]
- Musilova, I.; Kremlacek, J.; Pavlikova, L.; Holeckova, M.; Volnerova, M.; Jacobsson, B.; Kacerovsky, M. sFlt-1/PlGF ratio is associated with delivery within 7 days in women with spontaneous preterm labor. Am. J. Obstet. Gynecol. 2024, 230, e38–e42. [Google Scholar] [CrossRef]







| Placental Insufficiency and Guidelines |
|---|
|
|
|
|
|
|
| Characteristic | Mediana (Min–Max) | Relative Risk (95% CI) |
|---|---|---|
| BMI | n = 917 | 29–30 |
| 29 (18–37.5) | ||
| UAPI | n = 808 | 0.9–0.94 |
| 0.915 (0.36–16.7) | ||
| Systolic blood pressure | n = 927 | 138–140 |
| 140 (90–223) | ||
| Diastolic blood pressure | n = 927 | 88–90 |
| 89 (50–140) | ||
| Uric acid, umol/L | n = 1011 | 4.7–4.9 |
| 4.8 (1.73–10.6) | ||
| AST, U/L | n = 1028 | 18–19 |
| 19 (8–883) | ||
| ALT, U/L | n = 1027 | 15–16 |
| 15 (4–967) | ||
| LDH, U/L | n = 864 | 192–198 |
| 195 (90–1748) | ||
| PLT, ×109/L | n = 1191 | 217–226 |
| 221 (41–519) | ||
| RBC, ×1012/L | n = 1121 | 4.09–4.15 |
| 4.12 (2.62–8.6) | ||
| Hb, mmol/L | n = 1124 | 7.6–7.7 |
| 7.6 (3.03–9.7) | ||
| Ht, % | n = 1191 | 0.35–0.359 |
| 0.35 (0.24–0.5) | ||
| WBC, ×109/L | n = 1123 | 10.69–10.99 |
| 10.81 (3.9–31.76) | ||
| Fibrynogen, g/L | n = 635 | 4.4–4.6 |
| 4.5 (1.6–33) | ||
| APTT, s | n = 1056 | 27–27.3 |
| 27.2 (9.5–31.76) | ||
| PT, s | n = 1050 | 10.6–10.6 |
| 10.6 (1.1–16.3) | ||
| D-dimers, ng/mL | n = 482 | 1174–1310 |
| 1243 (246.3–13,192) | ||
| sFlt-1, pg/L | n = 1127 | 3558–4021 |
| 3761 (83.6–40,208) | ||
| PlGF, pg/L | n = 1127 | 148–166.6 |
| 86.4 (14.59–994) | ||
| sFlt-1/PlGF ratio | n = 1196 | 25.15–31.63 |
| 28.16 (0.38–1645) | ||
| Delivery week | n = 1196 | 38–38 |
| 38 (18–42) | ||
| Cord blood, pH | n = 846 | 7.31–7.32 |
| 7.32 (6.8–7.49) |
| Ratio_Values vs. Days to Delivery | Ratio_Values vs. Gestational Age | Ratio_Values vs. Birthweight | Ratio_Values vs. Centile | Ratio_Values vs. Ph | |
|---|---|---|---|---|---|
| Spearman r | |||||
| r | −0.4854 | −0.3489 | −0.3636 | −0.1846 | −0.1832 |
| 95% confidence interval | −0.5288 to −0.4395 | −0.3991 to −0.2966 | −0.4133 to −0.3117 | −0.2405 to −0.1275 | −0.2494 to −0.1153 |
| p value | |||||
| p (two-tailed) | <0.0001 | <0.0001 | <0.0001 | <0.0001 | <0.0001 |
| Number of XY Pairs | 1196 | 1196 | 1191 | 1191 | 846 |
| sFlt-1/PlGF Ratio | ||||
|---|---|---|---|---|
| ≤40 (n = 689) | Relative Risk (95% CI) | >40 (n = 507) | Relative Risk (95% CI) | |
| Parity | n = 680 | 1.644–1.788 | n = 446 | 1.453–1.615 |
| 1 (1–7) | 1 (1–7) | |||
| Gravidity | n = 679 | 1.925–2.114 | n = 446 | 1.719–1.936 |
| 2 (1–9) | 1 (1–8) | |||
| BMI | n = 512 | 28.76–31.62 | n = 405 | 29.82–32.12 |
| 28 (18–37.5) | 30 (18–37.5) | |||
| UAPI | n = 497 | 0.71–2.26 | n = 311 | 0.7349–2.068 |
| 0.9 (0.36–16.7) | 0.95 (0.51–10.6) | |||
| Systolic blood pressure | n = 542 | 132.5–135.7 | n = 385 | 147.2–151.6 |
| 130 (90–196) | 147 (100–223) | |||
| Diastolic blood pressure | n = 542 | 82.11–84.59 | n =385 | 92.5–95.35 |
| 82 (50–140) | 95 (55–131) | |||
| sFlt-1/PlGF ratio | n = 689 | 12.5–14.11 | n = 507 | 160.3–199.9 |
| 9.92 (0.38–39.96) | 101.3 (40.01–1645) | |||
| Delivery week | n = 689 | 37.45–37.83 | n = 507 | 35.33–35.99 |
| 38 (20–42) | 37 (18–41) | |||
| Birthweight (g) | n = 685 | 2903–3007 | n = 506 | 2333–2489 |
| 3000 (300–5120) | 2500 (300–4690) | |||
| Birthweight centile | n = 685 | 39.98–44.42 | n = 506 | 30.57–35.45 |
| 38.01 (0–100) | 24.67 (0–100) | |||
| Cord blood, pH | n = 480 | 7.3–7.32 | n = 366 | 7.282–7.3 |
| 7.32 (6.89–7.49) | 7.30 (6.8–7.46) | |||
Disclaimer/Publisher’s Note: The statements, opinions and data contained in all publications are solely those of the individual author(s) and contributor(s) and not of MDPI and/or the editor(s). MDPI and/or the editor(s) disclaim responsibility for any injury to people or property resulting from any ideas, methods, instructions or products referred to in the content. |
© 2025 by the authors. Licensee MDPI, Basel, Switzerland. This article is an open access article distributed under the terms and conditions of the Creative Commons Attribution (CC BY) license (https://creativecommons.org/licenses/by/4.0/).
Share and Cite
Bednarek-Jędrzejek, M.; Maksym, K.; Feduniw, S.; Simeonova Krstevska, S.; Samardziski, I.; Góra, T.; Ciebiera, M.; Zahorowska, A.; Pruś, K.; Dzidek, S.; et al. Angiogenic Biomarkers: Are They Good Tools to Predict Perinatal Outcomes in Hypertensive Disorders of Pregnancy? A Retrospective Cohort Study. Diagnostics 2025, 15, 799. https://doi.org/10.3390/diagnostics15070799
Bednarek-Jędrzejek M, Maksym K, Feduniw S, Simeonova Krstevska S, Samardziski I, Góra T, Ciebiera M, Zahorowska A, Pruś K, Dzidek S, et al. Angiogenic Biomarkers: Are They Good Tools to Predict Perinatal Outcomes in Hypertensive Disorders of Pregnancy? A Retrospective Cohort Study. Diagnostics. 2025; 15(7):799. https://doi.org/10.3390/diagnostics15070799
Chicago/Turabian StyleBednarek-Jędrzejek, Magdalena, Katarzyna Maksym, Stepan Feduniw, Slagjana Simeonova Krstevska, Igor Samardziski, Tomasz Góra, Michał Ciebiera, Adrianna Zahorowska, Katarzyna Pruś, Sylwia Dzidek, and et al. 2025. "Angiogenic Biomarkers: Are They Good Tools to Predict Perinatal Outcomes in Hypertensive Disorders of Pregnancy? A Retrospective Cohort Study" Diagnostics 15, no. 7: 799. https://doi.org/10.3390/diagnostics15070799
APA StyleBednarek-Jędrzejek, M., Maksym, K., Feduniw, S., Simeonova Krstevska, S., Samardziski, I., Góra, T., Ciebiera, M., Zahorowska, A., Pruś, K., Dzidek, S., Jasiak-Jóźwik, H., Drzycimska, M., Kwiatkowska, E., Torbé, A., & Kwiatkowski, S. (2025). Angiogenic Biomarkers: Are They Good Tools to Predict Perinatal Outcomes in Hypertensive Disorders of Pregnancy? A Retrospective Cohort Study. Diagnostics, 15(7), 799. https://doi.org/10.3390/diagnostics15070799

