Sign in to use this feature.

Years

Between: -

Subjects

remove_circle_outline
remove_circle_outline
remove_circle_outline
remove_circle_outline
remove_circle_outline
remove_circle_outline
remove_circle_outline
remove_circle_outline
remove_circle_outline

Journals

Article Types

Countries / Regions

Search Results (172)

Search Parameters:
Keywords = PlGF

Order results
Result details
Results per page
Select all
Export citation of selected articles as:
13 pages, 850 KB  
Article
NT-proBNP as a Predictive and Prognostic Biomarker for Complications in Hypertensive Pregnancy Disorders
by Diana Mocuta, Cristina Aur, Ioana Alexandra Zaha, Carmen Delia Nistor Cseppento, Liliana Sachelarie and Anca Huniadi
J. Clin. Med. 2026, 15(2), 519; https://doi.org/10.3390/jcm15020519 - 8 Jan 2026
Viewed by 160
Abstract
Background/Objectives: Hypertensive disorders of pregnancy (HDP) remain a significant cause of maternal and perinatal morbidity worldwide. In some healthcare settings, access to angiogenic testing is limited, underscoring the need for affordable biomarkers to guide risk assessment. NT-proBNP, a marker of myocardial wall stress [...] Read more.
Background/Objectives: Hypertensive disorders of pregnancy (HDP) remain a significant cause of maternal and perinatal morbidity worldwide. In some healthcare settings, access to angiogenic testing is limited, underscoring the need for affordable biomarkers to guide risk assessment. NT-proBNP, a marker of myocardial wall stress and cardio-renal dysfunction, may offer complementary prognostic value to the angiogenic sFlt-1/PlGF ratio. Methods: In this prospective multicenter observational study, we enrolled 180 pregnant women and categorized them into preeclampsia (PE, n = 95), non-PE HDP (gestational or chronic hypertension, n = 25), and healthy controls (n = 60). NT-proBNP and sFlt-1/PlGF levels were measured at enrollment, after 20 weeks of gestation, predominantly during the second and third trimesters. Associations with proteinuria, uric acid, creatinine, and maternal–fetal complications were examined using multivariable logistic regression adjusted for maternal age, BMI, and gestational age. Discrimination was assessed using receiver operating characteristic (ROC) curve analysis, and the incremental value of NT-proBNP beyond the sFlt-1/PlGF ratio was evaluated using ΔAUC and net reclassification improvement (NRI). Results: Median NT-proBNP levels were significantly higher in PE compared with non-PE HDP and controls (p < 0.01). NT-proBNP ≥200 pg/mL independently predicted maternal–fetal complications (adjusted OR 3.12, 95% CI 1.41–6.90, p = 0.005) and correlated with proteinuria (r = 0.47), creatinine (r = 0.43), and uric acid (r = 0.40) (all p < 0.001). sFlt-1/PlGF alone yielded an AUC of 0.84 (95% CI 0.77–0.89), while NT-proBNP alone demonstrated an AUC of 0.78 (0.71–0.84). Combining both biomarkers improved discrimination (AUC 0.88, 95% CI 0.82–0.92), with a ΔAUC of 0.04 (p = 0.02) and a continuous NRI of 0.21 (p = 0.03). The 200 pg/mL threshold for NT-proBNP achieved 80% sensitivity and 71% specificity (p < 0.001). Conclusions: NT-proBNP provides independent and complementary prognostic value to the sFlt-1/PlGF ratio in predicting maternal–fetal complications in HDP. A practical threshold of 200 pg/mL aids risk assessment, and integrating NT-proBNP into angiogenic models improves prediction. Further multicenter studies are needed to validate multimarker strategies and their cost-effectiveness. Full article
(This article belongs to the Special Issue Innovations in Preeclampsia)
Show Figures

Figure 1

24 pages, 741 KB  
Article
Combining Fuzzy Cognitive Maps and Metaheuristic Algorithms to Predict Preeclampsia and Intrauterine Growth Restriction
by María Paula García, Jesús David Díaz-Meza, Kenia Hoyos, Bethia Pacheco, Rodrigo García and William Hoyos
Informatics 2025, 12(4), 141; https://doi.org/10.3390/informatics12040141 - 15 Dec 2025
Viewed by 468
Abstract
Preeclampsia (PE) and intrauterine growth restriction (IUGR) are obstetric complications associated with placental dysfunction, which represent a public health problem due to high maternal and fetal morbidity and mortality. Early detection is crucial for timely interventions. Therefore, this study proposes the development of [...] Read more.
Preeclampsia (PE) and intrauterine growth restriction (IUGR) are obstetric complications associated with placental dysfunction, which represent a public health problem due to high maternal and fetal morbidity and mortality. Early detection is crucial for timely interventions. Therefore, this study proposes the development of models based on fuzzy cognitive maps (FCM) optimized with metaheuristic algorithms (particle swarm optimization (PSO) and genetic algorithms (GA)) for the prediction of PE and IUGR. The results showed that FCM-PSO applied to the PE dataset achieved excellent performance (accuracy, precision, recall, and F1-Score = 1.0). The FCM-GA model excelled in predicting IUGR with an accuracy and F1-Score of 0.97. Our proposed models outperformed those reported in the literature to predict PE and IUGR. Analysis of the relationships between nodes allowed for the identification of influential variables such as sFlt-1, sFlt-1/PlGF, and uterine Doppler parameters, in accordance with the pathophysiology of placental disorders. FCM optimized with PSO and GA offer a viable clinical alternative as a medical decision support system due to their ability to explore nonlinear relationships and interpretability of variables. In addition, they are suitable for scenarios where low computational resource consumption is required. Full article
Show Figures

Figure 1

17 pages, 555 KB  
Article
Differential Effects of Assisted Reproduction Technology on Placental Epigenetics and Angiogenesis: Insights from Fresh, Frozen, and Egg Donation Pregnancies
by Anna Maria Nuzzo, Stefano Canosa, Laura Moretti, Claudia Borbon, Marta Sestero, Bernadette Evangelisti, Alberto Revelli and Alessandro Rolfo
Life 2025, 15(12), 1882; https://doi.org/10.3390/life15121882 - 10 Dec 2025
Viewed by 442
Abstract
Background: The placenta plays a fundamental role in supporting fetal development, with angiogenesis being crucial for establishing an efficient maternal–fetal interface. Epigenetic mechanisms, particularly DNA methylation, can regulate the expression of angiogenesis-related genes and may be influenced by Assisted Reproductive Technology (ART), [...] Read more.
Background: The placenta plays a fundamental role in supporting fetal development, with angiogenesis being crucial for establishing an efficient maternal–fetal interface. Epigenetic mechanisms, particularly DNA methylation, can regulate the expression of angiogenesis-related genes and may be influenced by Assisted Reproductive Technology (ART), including In Vitro Fertilization (IVF) with fresh or frozen-thawed embryo transfer (ET and FET, respectively) and egg donation (ED), all potentially affecting placental vascular development and pregnancy outcomes. The present study compared global DNA methylation levels and the expression of Vascular Endothelial Growth Factor (VEGF), Placental Growth Factor (PlGF), and Soluble Fms-Like Tyrosine kinase-1 (sFlt-1) in placentae from physiological pregnancies obtained using ART versus those spontaneously conceived. Methods: Placental biopsies were collected from 98 physiological singleton term pregnancies (CTRL n = 29, ET n = 23, FET n = 25, ED n = 21). Global DNA methylation (5-mC) was quantified by ELISA Easy Kit; VEGF, PlGF, sFlt-1 mRNA and protein levels were assessed by Real-Time PCR and ELISA, respectively. Results: Global DNA methylation was significantly increased in FET and ED placentae compared with CTRL and ET. PlGF mRNA expression was upregulated in all ART groups, although protein levels were elevated only in ED placentae compared to CTRL and ET groups. VEGF mRNA was increased in FET placentae compared to CTRL, while protein levels showed a non-significant upward trend across ART groups. No differences in sFlt-1 expression were observed. Clinically, ART pregnancies were associated with significantly lower birth weight compared to CTRL, though values remained within the physiological range, and placental efficiency was preserved. Conclusions: Hypermethylation in FET and ED placentae may act as an epigenetic “buffer,” stabilizing vulnerable genomic regions and supporting the expression of pro-angiogenic factors. This adaptive mechanism likely helps to preserve placental function and fetal viability despite ART-related stressors, thereby mitigating the potential impact on birth weight. Full article
Show Figures

Figure 1

15 pages, 407 KB  
Article
Long-Term Biochemical and Cardiovascular Profiles 3–6 Years After Preeclampsia: Impact of Angiogenic Imbalance During Pregnancy
by Noah Costa, Judit Platero, Pablo Garcia-Manau, Olga Sanchez-Garcia, Clàudia Pellicer, Mariona Jordi, Zoraida Garcia, Carmen Garrido-Gimenez, Johana Ullmo, Madalina Nan, Josefina Mora, Alvaro Garcia-Osuna, Marta Choliz, Monica Cruz-Lemini, Maria del Carmen Medina and Elisa Llurba
J. Clin. Med. 2025, 14(23), 8389; https://doi.org/10.3390/jcm14238389 - 26 Nov 2025
Viewed by 512
Abstract
Background/Objectives: Preeclampsia is associated with long-term cardiovascular and metabolic risks. This study aimed to evaluate metabolic and cardiovascular biochemical profiles in women with a history of preeclampsia and angiogenic imbalance during pregnancy. Methods: We conducted a cross-sectional study at Hospital de la Santa [...] Read more.
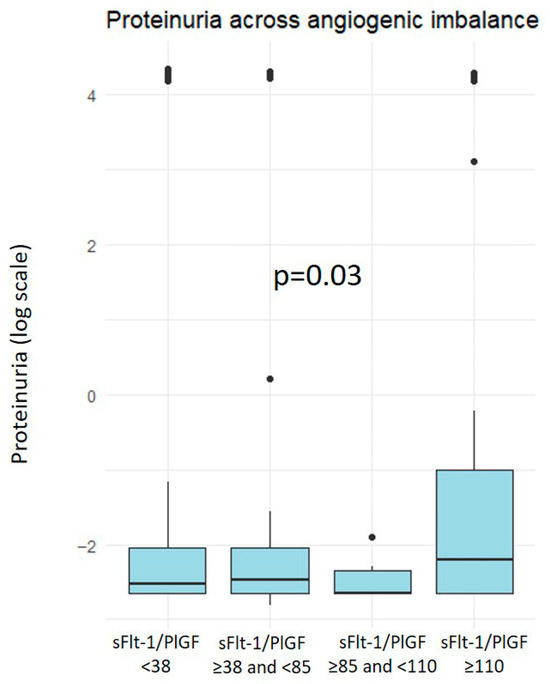
Background/Objectives: Preeclampsia is associated with long-term cardiovascular and metabolic risks. This study aimed to evaluate metabolic and cardiovascular biochemical profiles in women with a history of preeclampsia and angiogenic imbalance during pregnancy. Methods: We conducted a cross-sectional study at Hospital de la Santa Creu i Sant Pau between August 2023 and July 2025. Participants had been prospectively enrolled during pregnancy (2018–2022) and were re-evaluated 3 to 6 years later. Blood and urine samples were collected after a 12-h fast to assess hematological, metabolic, and cardiovascular markers. Angiogenic profiles were determined using sFlt-1/PlGF ratios obtained during pregnancy. Multivariable linear regression models were used to assess associations with a history of PE and angiogenic imbalance, adjusting for relevant confounders. Results: 363 participants were included. 113 (31.1%) had a history of preeclampsia. Women with previous preeclampsia showed slightly higher high-sensitivity troponin T concentrations [4.0 (3.0–6.0) ng/L vs. 3.2 (3.0–5.0) ng/L, p = 0.03]. Women with sFlt-1/PlGF ≥38 exhibited significantly higher urinary protein [0.09 (0.07–0.18) g/L vs. 0.08 (0.07–0.13) g/L, p = 0.01], potassium [4.25 (4.07–4.40) mmol/L vs. 4.19 (4.02–4.37) mmol/L, p = 0.048], and LDH concentrations [168 (150–189) U/L vs. 163 (149–177) U/L, p = 0.046], and lower leukocyte counts [6150 (5348–7055) vs. 6250 (5430–7450) U/mL, p = 0.03]. Conclusions: Women with angiogenic imbalance during pregnancy display subtle alterations in renal and endothelial function markers years after delivery, whereas those with preeclampsia show slightly higher troponin concentrations. These findings, though clinically irrelevant, suggest that pregnancy-related vascular dysfunction may have different long-term manifestations depending on whether the maternal cardiovascular system was sufficiently compromised to develop overt preeclampsia. Full article
Show Figures

Graphical abstract

22 pages, 929 KB  
Review
Late vs. Early Preeclampsia
by Maria Kariori, Vasiliki Katsi and Costas Tsioufis
Int. J. Mol. Sci. 2025, 26(22), 11091; https://doi.org/10.3390/ijms262211091 - 16 Nov 2025
Viewed by 1295
Abstract
Preeclampsia (PE) is a complex hypertensive disorder of pregnancy characterized by new-onset hypertension and proteinuria after 20 weeks of gestation. It is classified into early-onset (EOPE, <34 weeks) and late-onset (LOPE, ≥34 weeks) subtypes, which differ in their pathophysiology, clinical course, and maternal [...] Read more.
Preeclampsia (PE) is a complex hypertensive disorder of pregnancy characterized by new-onset hypertension and proteinuria after 20 weeks of gestation. It is classified into early-onset (EOPE, <34 weeks) and late-onset (LOPE, ≥34 weeks) subtypes, which differ in their pathophysiology, clinical course, and maternal and neonatal outcomes. EOPE arises from abnormal placentation with inadequate spiral artery remodeling and impaired uteroplacental perfusion, whereas LOPE is mainly related to maternal cardiovascular and metabolic predisposition. This review integrates current molecular, immunological, and hemodynamic evidence distinguishing EOPE from LOPE, emphasizing recent insights into angiogenic imbalance (VEGF, PlGF, sFlt-1), oxidative stress, and immune modulation. It also summarizes evolving diagnostic and prognostic biomarkers and evaluates emerging therapeutic approaches, including gene therapy targeting placental dysfunction. By comparing mechanistic pathways and clinical implications, this review highlights how gestational age–specific pathogenesis may inform risk stratification, early detection, and precision-based management of PE. Full article
Show Figures

Graphical abstract

24 pages, 1057 KB  
Review
The Role of Angiogenetic Factors in Preeclampsia
by Angeliki Papapanagiotou, Maria Anastasia Daskalaki, Antonios N. Gargalionis, Angeliki Margoni, Aikaterini Domali, George Daskalakis and Athanasios G. Papavassiliou
Int. J. Mol. Sci. 2025, 26(21), 10431; https://doi.org/10.3390/ijms262110431 - 27 Oct 2025
Cited by 1 | Viewed by 2698
Abstract
Preeclampsia (PE) occurs in approximately 2–8% of all pregnancies worldwide and represents one of the primary causes of maternal and fetal morbidity and mortality. Angiogenic growth factors such as placental growth factor (PlGF) and vascular endothelial growth factor (VEGF), along with their tyrosine [...] Read more.
Preeclampsia (PE) occurs in approximately 2–8% of all pregnancies worldwide and represents one of the primary causes of maternal and fetal morbidity and mortality. Angiogenic growth factors such as placental growth factor (PlGF) and vascular endothelial growth factor (VEGF), along with their tyrosine kinase receptor (Flt-1), play a central role in placental and fetal development. Impaired placentation results in the excessive release of the antiangiogenic soluble fms-like tyrosine kinase-1 (sFlt-1) which is pivotal in the pathogenesis of PE. By binding to and neutralizing angiogenic factors, sFlt-1 disrupts normal angiogenic signaling, creating an imbalance that is often detectable before clinical symptoms of PE appear. Recent studies have highlighted the prognostic potential of the sFlt-1/PlGf ratio as an early indicator of PE risk, since this ratio has demonstrated value in both confirming and excluding PE in the high-risk population. Its incorporation into routine medical care has the potential to reduce unnecessary hospital admissions, intensive management, and premature deliveries, ultimately lowering healthcare costs. The objective of this review is to highlight the clinical utility of the sFlt-1/PlGf ratio in the prediction, diagnosis, and management of preeclampsia and to emphasize the cost-effectiveness of implementing sFlt-1/PlGF ratio measurement in the care of women at risk of developing PE. Full article
Show Figures

Figure 1

19 pages, 431 KB  
Article
A New Model for Screening for Late-Onset Preeclampsia in the Third Trimester
by Clara Jiménez-García, Ana María Palacios-Marqués, José Antonio Quesada-Rico, Paloma Baviera-Royo, Encarnación Pérez-Pascual, Inmaculada Baldó-Estela and Víctor García-Sousa
J. Clin. Med. 2025, 14(20), 7185; https://doi.org/10.3390/jcm14207185 - 12 Oct 2025
Viewed by 800
Abstract
Background/Objectives: Screening for late-onset and term preeclampsia (PE) is essential, as the early identification of women at high risk enables closer monitoring and reduces adverse outcomes. The existing algorithms combining maternal factors, biophysical and biochemical markers have not been validated outside the [...] Read more.
Background/Objectives: Screening for late-onset and term preeclampsia (PE) is essential, as the early identification of women at high risk enables closer monitoring and reduces adverse outcomes. The existing algorithms combining maternal factors, biophysical and biochemical markers have not been validated outside the populations in which they were originally developed. This study aimed to evaluate the predictive performance of the Fetal Medicine Foundation (FMF) third-trimester algorithm in our population and develop a novel model to improve the predictions. Methods: An observational, analytical, prospective cohort follow-up study was conducted at the Health Department of Alicante, Dr. Balmis General University Hospital, including 1580 singleton pregnancies recruited between February 2022 and November 2023 during routine third-trimester ultrasounds. Maternal clinical characteristics, blood pressure, the uterine artery pulsatility index (UtA-PI), and the sFlt-1/PlGF ratio were recorded. The FMF third-trimester algorithm was retrospectively applied at the end of pregnancy using clinical, biophysical, and biochemical data from 30 + 0 to 37 + 6 weeks via the freely accessible online calculator. The data analysis was performed using SPSS v.28 and R v.4.3.1. Results: A total of 1580 women were included, with a prevalence of late-onset PE of 2.9%. The FMF model achieved an area under the curve (AUC) of 0.87 (95% CI: 0.81–0.92), while our own model showed a superior performance, with an AUC of 0.94 (95% CI: 0.92–0.97). Conclusions: The FMF third-trimester algorithm demonstrated a good predictive performance for late-onset PE. Our newly developed model achieves an even higher predictive accuracy and offers a simplified approach to excluding the UtA-PI, which facilitates its use in routine clinical practice. Full article
(This article belongs to the Section Obstetrics & Gynecology)
Show Figures

Figure 1

23 pages, 2424 KB  
Review
Molecular Insights into Human Placentation: From Villous Morphogenesis to Pathological Pathways and Translational Biomarkers
by Ioana Vornic, Radu Caprariu, Dorin Novacescu, Alina Cristina Barb, Victor Buciu, Adelina Băloi, Diana Szekely, Cristian Silviu Suciu, Catalin Dumitru, Raul Patrascu, Flavia Zara and Cristina Stefania Dumitru
Int. J. Mol. Sci. 2025, 26(19), 9483; https://doi.org/10.3390/ijms26199483 - 28 Sep 2025
Cited by 1 | Viewed by 1820
Abstract
Placental dysfunction underlies the major obstetric syndromes, including preeclampsia, fetal growth restriction, placenta accreta spectrum, pregnancy loss, and monochorionic twin complications. Recent molecular studies have revealed that dysregulated oxygen sensing, impaired angiogenic signaling, altered immune tolerance, and defective trophoblast fusion represent shared pathogenic [...] Read more.
Placental dysfunction underlies the major obstetric syndromes, including preeclampsia, fetal growth restriction, placenta accreta spectrum, pregnancy loss, and monochorionic twin complications. Recent molecular studies have revealed that dysregulated oxygen sensing, impaired angiogenic signaling, altered immune tolerance, and defective trophoblast fusion represent shared pathogenic pathways that converge across these disorders. Integrating morphological evidence with mechanistic data highlights how villous maldevelopment, shallow trophoblast invasion, and aberrant vascular remodeling translate into clinical disease. Advances in biomarker research have already transformed clinical care: the sFlt-1/PlGF ratio is now established in the prediction and management of preeclampsia, while placental proteins such as PAPP-A and PP13, nucleic acid signatures including cfDNA, cfRNA and miRNAs, and extracellular vesicle cargo show promising potential for early, non-invasive detection of placental pathology. Multi-omics approaches, particularly single-cell and spatial transcriptomics combined with proteomic and metabolomic profiling, are paving the way for composite diagnostic panels that capture the polygenic and multicellular nature of placental disease. This review synthesizes current knowledge of molecular mechanisms, histological correlates, and translational biomarkers, and outlines how precision obstetrics may emerge from bridging mechanistic discoveries with clinical applications. Full article
(This article belongs to the Special Issue Molecular Insights into Placental Pathology)
Show Figures

Figure 1

17 pages, 722 KB  
Article
Association of Plasma Placental Growth Factor with White Matter Hyperintensities in Alzheimer’s Disease
by Kazuya Igarashi, Tamao Tsukie, Kazuo Washiyama, Kiyoshi Onda, Yuki Miyagi, Shoya Inagawa, Soichiro Shimizu, Akinori Miyashita, Osamu Onodera, Takeshi Ikeuchi and Kensaku Kasuga
Biomolecules 2025, 15(10), 1367; https://doi.org/10.3390/biom15101367 - 26 Sep 2025
Viewed by 889
Abstract
Autopsy studies have shown that Alzheimer’s disease (AD) often coexists with cerebrovascular injury, affecting cognitive outcomes and the effectiveness of anti-amyloid-beta (Aβ) drugs. No fluid biomarkers of cerebrovascular injury have been identified yet. We investigated the association between white matter hyperintensities (WMH) severity [...] Read more.
Autopsy studies have shown that Alzheimer’s disease (AD) often coexists with cerebrovascular injury, affecting cognitive outcomes and the effectiveness of anti-amyloid-beta (Aβ) drugs. No fluid biomarkers of cerebrovascular injury have been identified yet. We investigated the association between white matter hyperintensities (WMH) severity and fluid biomarkers, including cerebrospinal fluid (CSF) neurofilament light chain and plasma placental growth factor (PlGF) levels. This study included 242 patients from memory clinics. Magnetic resonance imaging (MRI), CSF, and plasma samples were collected. Patients were classified as AD+ or non-AD based on the CSF Aβ42/Aβ40 ratio. In the discovery cohort (79 AD+ and 20 non-AD patients with 3D-T1 images), we analyzed the association between WMH volume and plasma PlGF. In the validation cohort (54 AD+ patients without 3D-T1 images), we analyzed the association between WMH grading and plasma PlGF. Among AD+ patients in the discovery cohort, plasma PlGF levels remained significantly associated with WMH volume and grading after adjusting for age, sex, and global cognition. Among the AD+ patients in the validation cohort, the high-PlGF (above median) group had significantly greater WMH volumes and a higher number of patients with a high WMH grading than the low-PlGF (below median) group. Plasma PlGF is a promising marker of cerebrovascular injury in AD. Full article
Show Figures

Figure 1

34 pages, 1277 KB  
Review
Low-Molecular-Weight Heparin in Preeclampsia: Effects on Biomarkers and Prevention: A Narrative Review
by Dimitris Baroutis, Konstantinos Koukoumpanis, Alexander A. Tzanis, Marianna Theodora, Konstantinos Rizogiannis, Dimitrios Bairaktaris, Efstathios Manios, Vasilios Pergialiotis, Evangelos Alexopoulos and George Daskalakis
Biomedicines 2025, 13(10), 2337; https://doi.org/10.3390/biomedicines13102337 - 24 Sep 2025
Cited by 1 | Viewed by 2936
Abstract
Preeclampsia affects 2–8% of pregnancies globally and remains a leading cause of maternal and perinatal morbidity, with limited preventive options beyond low-dose aspirin. Low-molecular-weight heparin (LMWH) has emerged as a promising therapeutic candidate due to its pleiotropic effects extending beyond anticoagulation, including anti-inflammatory, [...] Read more.
Preeclampsia affects 2–8% of pregnancies globally and remains a leading cause of maternal and perinatal morbidity, with limited preventive options beyond low-dose aspirin. Low-molecular-weight heparin (LMWH) has emerged as a promising therapeutic candidate due to its pleiotropic effects extending beyond anticoagulation, including anti-inflammatory, pro-angiogenic, and placental-protective properties. This comprehensive narrative review examines LMWH’s effects on preeclampsia-associated biomarkers and evaluates clinical evidence for its preventive efficacy. LMWH exerts multifaceted effects on disease pathophysiology, including restoration of angiogenic balance through sFlt-1 reduction and PlGF preservation, attenuation of inflammatory responses via decreased TNF-α and IL-6 production, normalization of coagulation parameters, and enhancement of trophoblast invasion and placental vascularization. Clinical trials reveal heterogeneous results, with meta-analyses suggesting significant benefit primarily in high-risk subgroups. Women with previous severe placenta-mediated complications demonstrate relative risk reductions of 40–60% for recurrent preeclampsia with LMWH prophylaxis, particularly when initiated before 16 weeks’ gestation. Combination therapy with low-dose aspirin appears to enhance protective effects. However, larger trials in unselected populations have failed to demonstrate significant benefit, highlighting the importance of appropriate patient selection. Current international guidelines reflect this evidence heterogeneity, with most recommending against routine LMWH use while acknowledging potential benefit in selected high-risk populations, particularly those with antiphospholipid syndrome or previous severe early-onset disease. Future research should focus on biomarker-guided patient selection, optimal dosing regimens, and integration with multimodal preventive strategies to maximize therapeutic benefit while minimizing unnecessary interventions. Full article
(This article belongs to the Section Molecular and Translational Medicine)
Show Figures

Figure 1

27 pages, 3604 KB  
Article
Predicting Survival in Bevacizumab-Treated Colorectal Cancer: Personalized Mathematical Models Based on Clinical and Angiogenic Biomarkers
by Diana Cornelia Moisuc, Mihai Vasile Marinca, Bogdan Gafton, Daniela Constantinescu, Petru Cianga and Mariana Pavel-Tanasa
Int. J. Mol. Sci. 2025, 26(19), 9332; https://doi.org/10.3390/ijms26199332 - 24 Sep 2025
Viewed by 1400
Abstract
Aberrant activation of proangiogenic signaling pathways, particularly the vascular endothelial growth factor (VEGF) axis, drives neovascularization and tumor progression in colorectal cancer (CRC). Bevacizumab targets VEGF-A-mediated angiogenesis, but the lack of validated predictive biomarkers limits personalized treatment. In this prospective study, we evaluated [...] Read more.
Aberrant activation of proangiogenic signaling pathways, particularly the vascular endothelial growth factor (VEGF) axis, drives neovascularization and tumor progression in colorectal cancer (CRC). Bevacizumab targets VEGF-A-mediated angiogenesis, but the lack of validated predictive biomarkers limits personalized treatment. In this prospective study, we evaluated a panel of circulating angiogenic biomarkers combined with clinical parameters, using mathematical models to predict survival in metastatic CRC patients treated with bevacizumab and chemotherapy. Low VEGF-A and VEGF-D levels, together with high bFGF, were associated with improved overall survival (OS). A logistic regression model incorporating these biomarkers, regional lymph node invasion, and primary tumor resection status showed significant prognostic accuracy (p < 0.001). Incorporating CypA further refined the model, identifying patients with low VEGF-A, VEGF-D, and CypA, and high VEGF-C and PlGF, as having the most favorable OS. These findings demonstrate that integrating clinical and circulating biomarker data can improve individualized risk assessment and support personalized therapeutic strategies for CRC patients receiving bevacizumab. Full article
Show Figures

Figure 1

15 pages, 533 KB  
Article
Placental Growth Factor and Female Long-Term Hypertension
by Maria C. Adank, Jeanine E. Roeters Van Lennep, Laura Benschop, James M. Roberts, Robin E. Gandley, Yolanda B. De Rijke, Eric A. P. Steegers and Sarah Schalekamp-Timmermans
J. Clin. Med. 2025, 14(19), 6751; https://doi.org/10.3390/jcm14196751 - 24 Sep 2025
Viewed by 922
Abstract
Background and Aims: Placental growth factor (PlGF) is an important predictive marker of pregnancy complications such as preeclampsia. The aim of this study is to assess whether PlGF measured outside of pregnancy is a predictive marker for cardiovascular disease (CVD) risk in young [...] Read more.
Background and Aims: Placental growth factor (PlGF) is an important predictive marker of pregnancy complications such as preeclampsia. The aim of this study is to assess whether PlGF measured outside of pregnancy is a predictive marker for cardiovascular disease (CVD) risk in young women. Methods: This study was embedded in the Generation R Study, a population-based prospective cohort study. PlGF concentrations, as well as systolic and diastolic blood pressure (SBP and DBP), cardiac outcomes, carotid-femoral pulse wave velocity, and central retinal arteriolar and venular calibres of 5077 women, were assessed six years after pregnancy, which was considered baseline. Four years after baseline, we measured blood pressure and intimal media thickness (IMT). Eight years after baseline, we measured blood pressure and the post-occlusive reactive hyperaemia index (PORH index). In addition, we examined the influence of pregnancy complications on these associations. Results: We found a positive association between PlGF levels with SBP (0.46, 95% CI 0.04; 0.89). PlGF was not associated with retinal or echocardiographic measurements. PlGF was positively associated with DBP after four years and with both SBP and DBP eight years after baseline, independent of the occurrence of pregnancy complications. PlGF was not associated with IMT or the PORH index. Conclusions: PlGF is associated with higher blood pressure. PlGF may, therefore, be used as a marker of hypertension. These results need to be replicated in an independent cohort study. Full article
(This article belongs to the Section Obstetrics & Gynecology)
Show Figures

Figure 1

14 pages, 693 KB  
Article
Material-Induced Platelet Adhesion/Activation and Hemolysis of Membrane Lung Components from Extracorporeal Membrane Oxygenation
by Christopher Thaus, Matthias Lubnow, Lars Krenkel and Karla Lehle
Biomedicines 2025, 13(10), 2323; https://doi.org/10.3390/biomedicines13102323 - 23 Sep 2025
Viewed by 1421
Abstract
Background: Contact between blood and the large artificial surfaces within membrane lungs (MLs) is one reason for device-induced thrombus formation during extracorporeal membrane oxygenation (ECMO). Methods: Hemocompatibility testing of gas-exchange fibers (GFs) and heat-exchange fibers (HEs) from commercially available/non-used MLs (ML-type, coating: PLS, [...] Read more.
Background: Contact between blood and the large artificial surfaces within membrane lungs (MLs) is one reason for device-induced thrombus formation during extracorporeal membrane oxygenation (ECMO). Methods: Hemocompatibility testing of gas-exchange fibers (GFs) and heat-exchange fibers (HEs) from commercially available/non-used MLs (ML-type, coating: PLS, Bioline®; Hilite7000LT, X.ELLENCE®; Nautilus, Balance®; EOS, PH.I.S.I.O®) included static hemolysis and platelet adhesion/activation assays. Platelet activation of non-adherent platelets was identified after antibody (CD62P, PAC-1, CD61) and fibrinogen staining (flow cytometry). The surface coverage (%) of adherent platelets was quantified after F-actin filament-staining. Results: All materials were non-hemolytic and did not induce platelet activation. However, platelet adhesion (median (IQR)) depended on the type of surface coating of GFs made entirely of polymethylpentene. Both uncoated GFs (12 (7–19)%) and X.ELLENCE-coated GFs (Hilite-ML, 13 (8–19)%) showed a significantly higher surface coverage compared to Balance-coated GFs (Nautilus-ML, 3 (1–6)%), PH.I.S.I.O-coated GFs (EOS-ML, 2 (2–5)%) and Bioline-coated GFs (PLS-ML, 4 (1–8)%) (p < 0.001). HEs made of polyethyleneterephthalate (Hilite-ML, Nautilus-ML) that were coated with X.ELLENCE were covered with more platelets (5 (3–7)%) compared to Balance-coated HEs (3 (1–6)%), respectively (p = 0.029). Conclusions: In vitro testing disclosed fourfold higher platelet adhesion on X.ELLENCE-coated GFs (and HEs) from the Hilite-ML compared to other ECMO-materials. Additional hemocompatibility tests are necessary to assess the increased platelet adhesion on the materials from the Hilite-ML. Full article
(This article belongs to the Section Biomedical Engineering and Materials)
Show Figures

Figure 1

22 pages, 320 KB  
Article
Plant Antimicrobial Oligopeptides with Anticancer Properties as a Source of Biologically Active Peptides—An In Silico Study
by Anna Jakubczyk, Kamila Rybczyńska-Tkaczyk and Anna Grenda
Int. J. Mol. Sci. 2025, 26(18), 9189; https://doi.org/10.3390/ijms26189189 - 20 Sep 2025
Viewed by 1242
Abstract
Biologically active peptides can be obtained with various research methods, depending on the starting material, biological activity, and intended use. To use the most efficient method, it is worth combining in silico and in vitro experiments. Among the tools that can support an [...] Read more.
Biologically active peptides can be obtained with various research methods, depending on the starting material, biological activity, and intended use. To use the most efficient method, it is worth combining in silico and in vitro experiments. Among the tools that can support an in silico analysis are databases such as the Antimicrobial Peptide Database (AMPD) or BIOPEP-UWM. The aim of this study was to make an in silico hydrolysis of peptides with anticancer properties selected from the AMP database, using pepsin, trypsin, and chymotrypsin. Most peptides obtained had properties inhibiting ACE and dipeptidyl peptidase IV activity. Among the resulting peptides, those with the sequence AR, CF, ER, TF, IY, ER, AW, GF, TW, SK and IM are potentially resistant to peptidase from microbial action. An analysis of the peptides’ characteristics showed that peptides with the sequence AR, EK, ER and SK are well-soluble in water and have high affinity for protein and ligand binding. Peptides with the sequence TF, IL and PF are unstable. Thermostable peptides are PGL, IL, GL, IY, VF, PL, IM and QL. The results of the study may be used to design in vitro experiments. Full article
(This article belongs to the Special Issue Antimicrobial and Antiviral Peptides: 2nd Edition)
16 pages, 577 KB  
Article
Prediction of Small for Gestational Age and Growth-Restricted Neonates at 35 to 36 Weeks of Gestation: A Multicenter Cohort Study
by Raquel Martin-Alonso, Catalina de Paco Matallana, Nuria Valiño, Petya Chaveeva, Themistoklis Dagklis, Antonios Siargkas, Alan Wright, Mario Camacho, Valeria Rolle, Belén Santacruz and Maria M. Gil
Medicina 2025, 61(9), 1626; https://doi.org/10.3390/medicina61091626 - 8 Sep 2025
Viewed by 1341
Abstract
Background and Objectives: Third-trimester screening is widely used to identify small for gestational age (SGA) and fetal growth restriction (FGR), but optimal models and timing remain under investigation. This study aimed to assess the performance of combined maternal factors and biomarkers, including [...] Read more.
Background and Objectives: Third-trimester screening is widely used to identify small for gestational age (SGA) and fetal growth restriction (FGR), but optimal models and timing remain under investigation. This study aimed to assess the performance of combined maternal factors and biomarkers, including ultrasound estimated fetal weight (EFW), Doppler indices, mean arterial pressure (MAP), and angiogenic biomarkers, for predicting SGA neonates after a routine 35–36 weeks’ scan in an unselected population. Materials and Methods: We conducted a retrospective cohort study in three Spanish centers offering universal third-trimester ultrasound. Logistic regression analyses were carried out to predict birthweight < 10th and <5th percentile using maternal characteristics and medical history, EFW, MAP, Doppler indices, and the angiogenic biomarkers placental growth factor (PlGF) and soluble fms-like tyrosine kinase-1 (sFlt-1). Using a 10-fold cross-validation, we estimated the area under the receiver operating characteristic curve (AUC), detection rates (DRs), false-positive rates (FPRs), and their corresponding screen-positive rates (SPRs). External validation was performed using an independent cohort. Results: Among 3992 pregnancies, the DR of ultrasound alone for birthweight <10th percentile was 47.9% (95% CI: 44.0 to 51.9), with an FPR of 7.3%. Adding maternal factors increased DR to 57.0% (95% CI: 53.0 to 60.9) at 10% FPR and to 83.0% (95% CI: 79.9 to 85.9) at 30% FPR. Similarly, the DR of ultrasound alone for birthweight < 5th percentile was 48.4% (95% CI: 43.1 to 53.6), with an FPR of 4.5%. Adding maternal factors increased DR to 65.7 (95% CI: 60.5 to 70.5) at 10% FPR and to 88.2 (95% CI: 84.4 to 91.3) at 30% FPR. The inclusion of MAP, Doppler, and biomarkers provided marginal additional gains, particularly for <5th percentile prediction. To achieve a DR > 80%, an SPR of approximately 40% was required. Performance improved when focusing on neonates born before 38 weeks, with a DR of 77.5 (95% CI: 68.6 to 84.9) at 10% FPR for SGA < 10th percentile. However, less than 40% of screen-positive women remained undelivered by 40 weeks, limiting the number requiring further surveillance. Conclusions: A third-trimester screening at 35–36 weeks using maternal characteristics and EFW identifies most SGA neonates, particularly those delivering before 38 weeks. Even including other biomarkers, an SPR of about 40% should be necessary to achieve a high DR. However, less than 40% of the women would remain undelivered before a subsequent follow-up is required. Full article
(This article belongs to the Special Issue Advances in Obstetrics and Maternal-Fetal Medicine)
Show Figures

Figure 1

Back to TopTop