Desmosine: The Rationale for Its Use as a Biomarker of Therapeutic Efficacy in the Treatment of Pulmonary Emphysema
Abstract
1. Introduction
1.1. Modeling the Role of Elastic Fiber Injury in Pulmonary Emphysema
1.2. The Relationship Between Elastic Fiber Fragmentation and Transmission of Mechanical Force
1.3. The Proinflammatory Activity of Structurally Modified Elastic Fibers
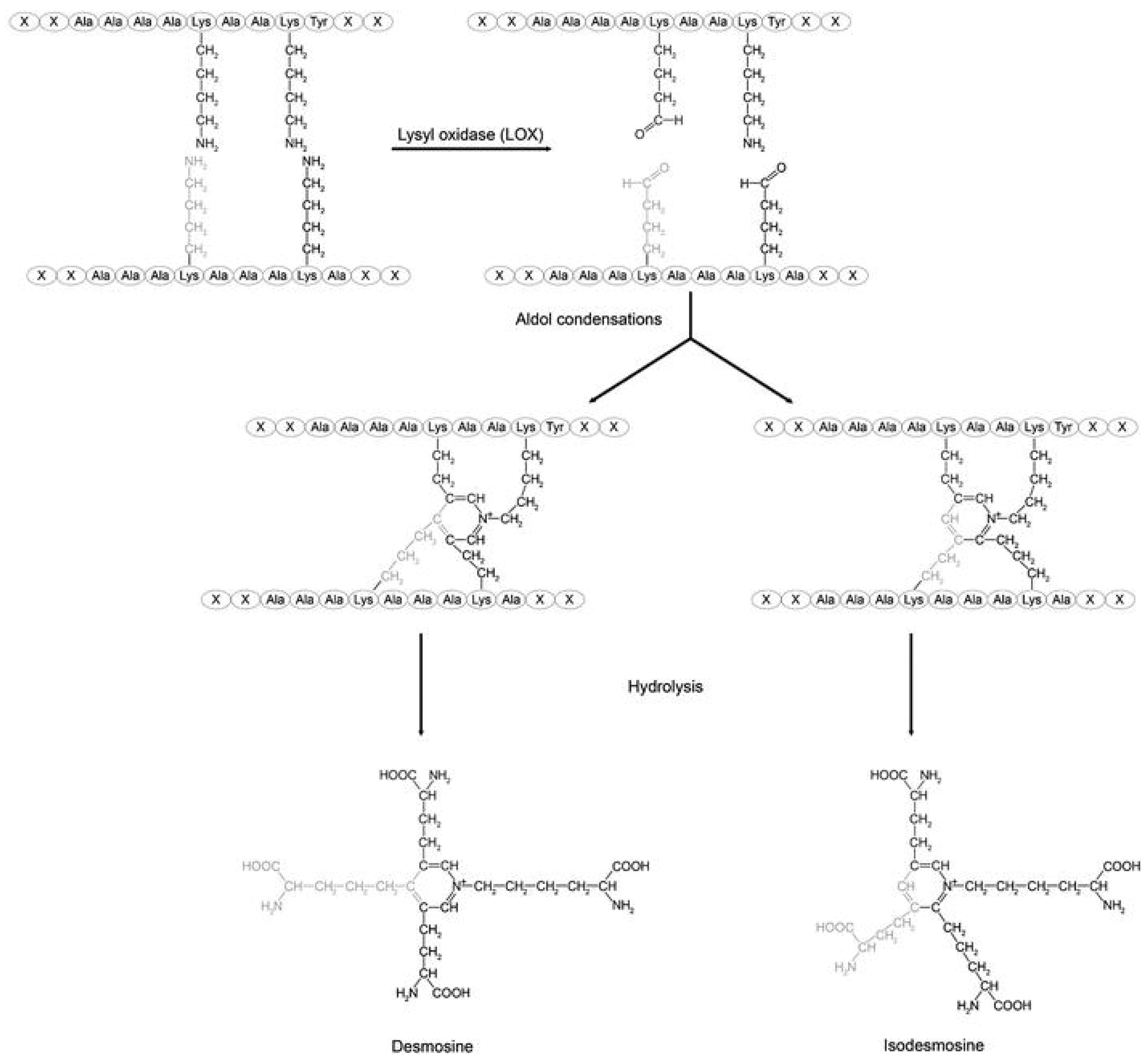
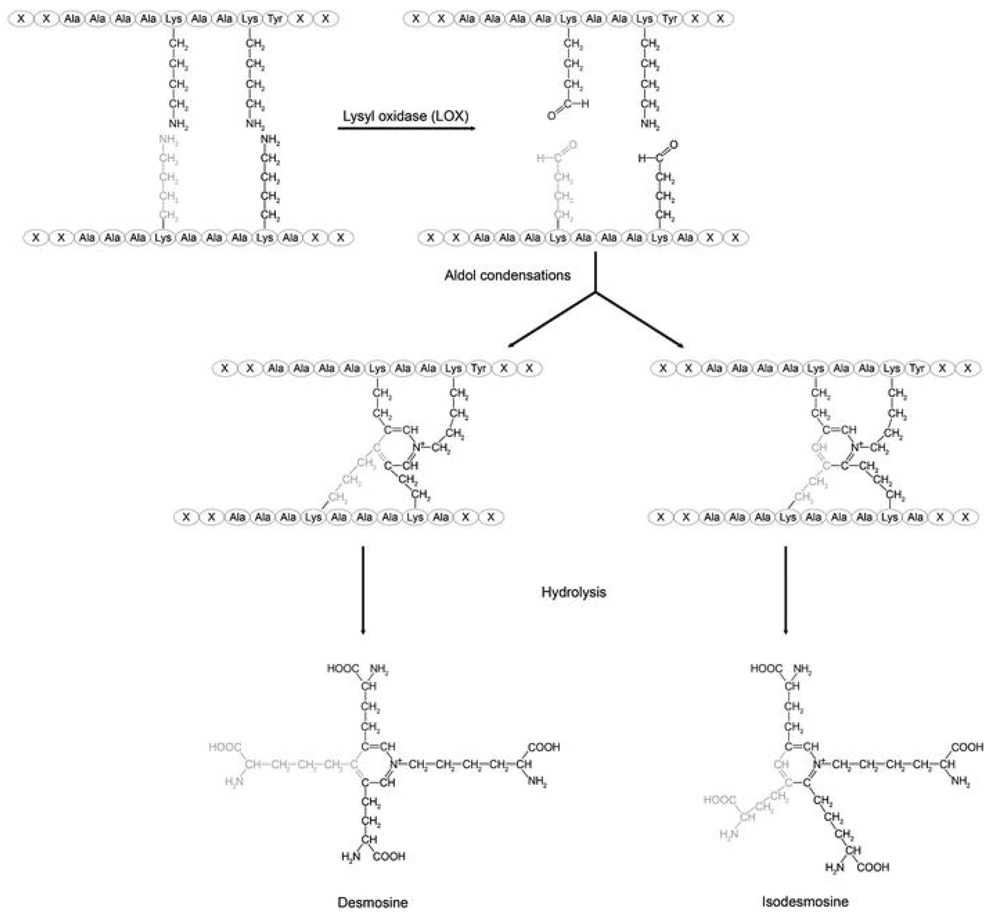
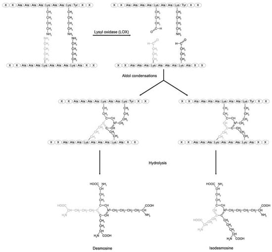
1.4. DID as a Biomarker of Elastic Fiber Injury
1.5. Measurement of DID Using Mass Spectrometry
1.6. Clinical Implementation of DID Measurements
1.7. Mass Spectrometry vs. Other Assay Procedures
1.8. Alternative Biomarkers for Diagnosis and Monitoring Pulmonary Emphysema
2. DID as a Biomarker for Combined Pulmonary Fibrosis and Emphysema
2.1. Combined Pulmonary Fibrosis and Emphysema
2.2. The Ratio of Free to Peptide Bound DID in the Transition to CPFE
3. The Role of DID as a Biomarker in Clinical Trials
3.1. DID as a Real-Time Measure of Therapeutic Efficacy
3.2. Measurement of DID in a Clinical Trial of Aerosolized Hyaluronan
4. Therapeutic Considerations
5. Future Directions
Funding
Conflicts of Interest
References
- Schmelzer, C.E.H.; Hedtke, T.; Heinz, A. Unique molecular networks: Formation and role of elastin cross-links. IUBMB Life 2020, 72, 842–854. [Google Scholar] [CrossRef] [PubMed]
- Burgess, J.K.; Gosens, R. Mechanotransduction and the extracellular matrix: Key drivers of lung pathologies and drug responsiveness. Biochem. Pharmacol. 2024, 228, 116255. [Google Scholar] [CrossRef] [PubMed]
- Depenveiller, C.; Baud, S.; Belloy, N.; Bochicchio, B.; Dandurand, J.; Dauchez, M.; Pepe, A.; Pomès, R.; Samouillan, V.; Debelle, L. Structural and physical basis for the elasticity of elastin. Q. Rev. Biophys. 2024, 57, e3. [Google Scholar] [CrossRef] [PubMed]
- Mecham, R.P. Elastin in lung development and disease pathogenesis. Matrix Biol. 2018, 73, 6–20. [Google Scholar] [CrossRef]
- Cantor, J. COPD as a biomarker for the emergent properties of pulmonary emphysema. Front. Med. 2023, 10, 1322283. [Google Scholar] [CrossRef]
- Kim, C.; Ko, Y.; Kim, S.H.; Yoo, H.J.; Lee, J.S.; Rhee, C.K.; Lee, J.H.; Lee, J.H.; Kim, T.H.; Lim, S.Y.; et al. Urinary desmosine is associated with emphysema severity and frequent exacerbation in patients with COPD. Respirology 2018, 23, 176–181. [Google Scholar] [CrossRef] [PubMed]
- Kim, C.; Ko, Y.; Lee, J.S.; Rhee, C.K.; Lee, J.H.; Moon, J.Y.; Lim, S.Y.; Yoo, K.H.; Seo, J.B.; Oh, Y.M.; et al. High urinary desmosine is associated with long-term mortality in patients with COPD. ERJ Open Res. 2023, 9, 00078-2023. [Google Scholar] [CrossRef]
- Ma, S.; Lin, Y.Y.; Cantor, J.O.; Chapman, K.R.; Sandhaus, R.A.; Fries, M.; Edelman, J.M.; McElvaney, G.; Turino, G.M. The Effect of Alpha-1 Proteinase Inhibitor on Biomarkers of Elastin Degradation in Alpha-1 Antitrypsin Deficiency: An Analysis of the RAPID/RAPID Extension Trials. Chronic Obstr. Pulm. Dis. J. COPD Found. 2016, 4, 34–44. [Google Scholar] [CrossRef] [PubMed]
- Fagiola, M.; Gu, G.; Avella, J.; Cantor, J. Free lung desmosine: A potential biomarker for elastic fiber injury in pulmonary emphysema. Biomarkers 2022, 27, 319–324. [Google Scholar] [CrossRef] [PubMed]
- Liu, X.; Ma, S.; Liu, S.; Liu, M.; Turino, G.; Cantor, J. The Ratio of Free to Bound Desmosine and Isodesmosine May Reflect Emphysematous Changes in COPD. Lung 2015, 193, 329–334. [Google Scholar] [CrossRef]
- Geitner, C.M.; Becher, T.; Frerichs, I.; Weiler, N.; Bates, J.H.T.; Wall, W.A. An approach to studying recruitment/derecruitment dynamics in a patient-specific computational model of an injured human lung. Int. J. Numer. Methods Biomed. Eng. 2023, 39, e3745. [Google Scholar] [CrossRef]
- Suki, B.; Bates, J.H. Lung tissue mechanics as an emergent phenomenon. J. Appl. Physiol. 2011, 110, 1111–1118. [Google Scholar] [CrossRef] [PubMed]
- Bunde, A.; Kantelhart, J.W. Diffusion and conduction in percolation systems. In Diffusion in Condensed Matter; Heitjans, P., Karger, J., Eds.; Springer: Berlin/Heidelberg, Germany, 2005; pp. 895–914. [Google Scholar]
- Redner, S. Fractal and multifractal scaling of electrical conduction in random resistor networks. In Encyclopedia of Complexity and Systems Science; Meyers, P.A., Ed.; Springer: Berlin/Heidelberg, Germany, 2009; pp. 3737–3754. [Google Scholar]
- Murphy, K.D.; Hunt, G.W.; Almond, D.P. Evidence of emergent scaling in mechanical systems. Philos. Mag. 2006, 86, 3325–3338. [Google Scholar] [CrossRef]
- Mehraban, S.; Gu, G.; Ma, S.; Liu, X.; Turino, G.; Cantor, J. The Proinflammatory Activity of Structurally Altered Elastic Fibers. Am. J. Respir. Cell Mol. Biol. 2020, 63, 699–706. [Google Scholar] [CrossRef]
- Shen, H.-T.; Fang, Y.-T.; Tsai, W.-H.; Chou, C.-H.; Huang, M.-S.; Yeh, Y.-T.; Wu, J.-T.; Huang, C.-H.; Wang, B.-Y.; Chang, W.-W. A lactobacillus combination ameliorates lung inflammation in an elastase/LPS-induced mouse model of chronic obstructive pulmonary disease. In Probiotics and Antimicrobial Proteins; Springer Nature: Berlin/Heidelberg, Germany, 2024. [Google Scholar]
- Pelgrim, C.E.; van Ark, I.; van Berkum, R.E.; Schuitemaker-Borneman, A.M.; Flier, I.; Leusink-Muis, T.; Janbazacyabar, H.; Diks, M.A.P.; Gosker, H.R.; Kelders, M.C.J.M.; et al. Effects of a nutritional intervention on impaired behavior and cognitive function in an emphysematous murine model of COPD with endotoxin-induced lung inflammation. Front. Nutr. 2022, 9, 1010989. [Google Scholar] [CrossRef]
- Fagiola, M.; Reznik, S.; Riaz, M.; Qyang, Y.; Lee, S.; Avella, J.; Turino, G.; Cantor, J. The relationship between elastin cross linking and alveolar wall rupture in human pulmonary emphysema. Am. J. Physiol. Cell. Mol. Physiol. 2023, 324, L747–L755. [Google Scholar] [CrossRef]
- Luisetti, M.; Ma, S.; Iadarola, P.; Stone, P.J.; Viglio, S.; Casado, B.; Lin, Y.Y.; Snider, G.L.; Turino, G.M. Desmosine as a biomarker of elastin degradation in COPD: Current status and future directions. Eur. Respir. J. 2008, 32, 1146–1157. [Google Scholar] [CrossRef] [PubMed]
- Vreeswijk, J.V. Interaction Between Fatty Acid and the Elastin Network. Ph.D. Thesis, Wageningen University and Research, Wageningen, The Netherlands, 1995; pp. 1–94. [Google Scholar]
- Mulkareddy, V.; Roman, J. Pulmonary manifestations of alpha 1 antitrypsin deficiency. Am. J. Med. Sci. 2024, 368, 1–8. [Google Scholar] [CrossRef]
- Akdeniz, Y.S.; Özkan, S. New markers in chronic obstructive pulmonary disease. Adv. Clin. Chem. 2024, 123, 1–63. [Google Scholar] [CrossRef] [PubMed]
- Zemans, R.L.; Jacobson, S.; Keene, J.; Kechris, K.; Miller, B.E.; Tal-Singer, R.; Bowler, R.P. Multiple biomarkers predict disease severity, progression and mortality in COPD. Respir. Res. 2017, 18, 117. [Google Scholar] [CrossRef] [PubMed]
- Duvoix, A.; Dickens, J.; Haq, I.; Mannino, D.; Miller, B.; Tal-Singer, R.; Lomas, D.A. Blood fibrinogen as a biomarker of chronic obstructive pulmonary disease. Thorax 2013, 68, 670–676. [Google Scholar] [CrossRef] [PubMed]
- Wang, H.; Li, F.; Huang, H.; Wu, F.; Chen, L.; Zhang, D.; Zhang, T.; Wan, Y. Serum Surfactant Protein D is a Potential Biomarker for Chronic Obstructive Pulmonary Disease: A Systematic Review and Meta-analysis. Clin. Lab. 2019, 65, 2387–2395. [Google Scholar] [CrossRef] [PubMed]
- Werder, R.B.; Zhou, X.; Cho, M.H.; Wilson, A.A. Breathing new life into the study of COPD with genes identified from genome-wide association studies. Eur. Respir. Rev. 2024, 33, 240019. [Google Scholar] [CrossRef] [PubMed]
- Brantly, M.; Nukiwa, T.; Crystal, R.G. Molecular basis of alpha-1-antitrypsin deficiency. Am. J. Med. 1988, 84, 13–31. [Google Scholar] [CrossRef] [PubMed]
- Caceres, J.D.; Venkata, A. Combined pulmonary fibrosis and emphysema. Curr. Opin. Pulm. Med. 2024, 30, 167–173. [Google Scholar] [CrossRef] [PubMed]
- Gredic, M.; Karnati, S.; Ruppert, C.; Guenther, A.; Avdeev, S.N.; Kosanovic, D. Combined Pulmonary Fibrosis and Emphysema: When Scylla and Charybdis Ally. Cells 2023, 12, 1278. [Google Scholar] [CrossRef] [PubMed]
- Calaras, D.; Mathioudakis, A.G.; Lazar, Z.; Corlateanu, A. Combined Pulmonary Fibrosis and Emphysema: Comparative Evidence on a Complex Condition. Biomedicines 2023, 11, 1636. [Google Scholar] [CrossRef] [PubMed]
- Hage, R.; Gautschi, F.; Steinack, C.; Schuurmans, M.M. Combined Pulmonary Fibrosis and Emphysema (CPFE) Clinical Features and Management. Int. J. Chronic Obstr. Pulm. Dis. 2021, 16, 167–177. [Google Scholar] [CrossRef] [PubMed]
- Heinz, A. Elastases and elastokines: Elastin degradation and its significance in health and disease. Crit. Rev. Biochem. Mol. Biol. 2020, 55, 252–273. [Google Scholar] [CrossRef]
- Liu, X.; Ma, S.; Turino, G.; Cantor, J. The Pattern of Elastic Fiber Breakdown in Bleomycin-Induced Pulmonary Fibrosis May Reflect Microarchitectural Changes. Lung 2017, 195, 93–99. [Google Scholar] [CrossRef] [PubMed]
- Maldonado-Franco, A.; Giraldo-Cadavid, L.F.; Tuta-Quintero, E.; Bastidas Goyes, A.R.; Botero-Rosas, D.A. The Challenges of Spirometric Diagnosis of COPD. Can. Respir. J. 2023, 2023, 6991493. [Google Scholar] [CrossRef]
- Zhu, D.; Qiao, C.; Dai, H.; Hu, Y.; Xi, Q. Diagnostic efficacy of visual subtypes and low attenuation area based on HRCT in the diagnosis of COPD. BMC Pulm. Med. 2022, 22, 81. [Google Scholar] [CrossRef] [PubMed]
- Rosenberg, S.R.; Kalhan, R. Biomarkers in chronic obstructive pulmonary disease. Transl. Res. 2012, 159, 228–237. [Google Scholar] [CrossRef]
- Cantor, J.O.; Cerreta, J.M.; Armand, G.; Turino, G.M. Further investigation of the use of intratracheally administered hyaluronic acid to ameliorate elastase-induced emphysema. Exp. Lung Res. 1997, 23, 229–244. [Google Scholar] [CrossRef]
- Cantor, J.O.; Shteyngart, B.; Cerreta, J.M.; Liu, M.; Armand, G.; Turino, G.M. The effect of hyaluronan on elastic fiber injury in vitro and elastase-induced airspace enlargement in vivo. Proc. Soc. Exp. Biol. Med. 2000, 225, 65–71. [Google Scholar]
- Cantor, J.O.; Cerreta, J.M.; Keller, S.; Turino, G.M. Modulation of airspace enlargement in elastase-induced emphysema by intratra-cheal instillment of hyaluronidase and hyaluronic acid. Exp. Lung Res. 1995, 21, 423–436. [Google Scholar] [CrossRef]
- Cantor, J.; Armand, G.; Turino, G. Lung hyaluronan levels are decreased in alpha-1 antiprotease deficiency COPD. Respir. Med. 2015, 109, 656–659. [Google Scholar] [CrossRef][Green Version]
- Murasawa, Y.; Watanabe, K.; Yoneda, M.; Zako, M.; Kimata, K.; Sakai, L.Y.; Isogai, Z. Homotypic versican G1 domain interactions en-hance hyaluronan incorporation into fibrillin microfibrils. J. Biol. Chem. 2013, 288, 29170–29181. [Google Scholar] [CrossRef] [PubMed]
- Stecco, A.; Cowman, M.; Pirri, N.; Raghavan, P.; Pirri, C. Densification: Hyaluronan Aggregation in Different Human Organs. Bioengineering 2022, 9, 159. [Google Scholar] [CrossRef] [PubMed]
- Takahashi, A.; Majumdar, A.; Parameswaran, H.; Bartolák-Suki, E.; Suki, B. Proteoglycans maintain lung stability in an elastase-treated mouse model of emphysema. Am. J. Respir. Cell Mol. Biol. 2014, 51, 26–33. [Google Scholar] [CrossRef]
- Cantor, J.O.; Ma, S.; Liu, X.; Campos, M.A.; Strange, C.; Stocks, J.M.; Devine, M.S.; El Bayadi, S.G.; Lipchik, R.J.; Sandhaus, R.A.; et al. A 28-day clinical trial of aerosolized hyaluronan in alpha-1 antiprotease deficiency COPD using desmosine as a surrogate marker for drug efficacy. Respir. Med. 2021, 182, 106402. [Google Scholar] [CrossRef]
- Chick, C.N.; Sasaki, Y.; Kawaguchi, M.; Tanaka, E.; Niikura, T.; Usuki, T. LC-MS/MS quantitation of elastin crosslinker desmosines and histological analysis of skin aging characteristics in mice. Bioorg. Med. Chem. 2023, 90, 117351. [Google Scholar] [CrossRef]
- Ali, K.; Israr, M.Z.; Ng, L.L.; Mordi, I.; Lang, C.C.; Kuzmanova, E.; Huang, J.T.; Choy, A.M. Plasma desmosine for prediction of outcomes after acute myocardial infarction. Front. Cardiovasc. Med. 2022, 9, 992388. [Google Scholar] [CrossRef] [PubMed]
- Mustra Rakic, J.; Zeng, S.; Rohdin-Bibby, L.; Van Blarigan, E.L.; Liu, X.; Ma, S.; Kane, J.P.; Redberg, R.F.; Turino, G.M.; Oestreicher Stock, E.; et al. Elastin Degradation and Lung Function Deterioration with Remote Secondhand Tobacco Smoke Exposure in Never-smokers. Chronic Obstr. Pulm. Dis. 2022, 9, 377–393. [Google Scholar] [CrossRef]
- Parkin, J.; Rabbie, S.; Black, I.; Inshaw, J. Analysis from Phase II Clinical Trial, Alvelestat, NE (Neutrophil Elastase) Inhibitor in AATD-LD: Correlation Between Biomarker Response (Desmosine and Aa-val360) and Clinical Outcome (SGRQ) (abstract). Am. J. Respir. Crit. Care Med. 2023, 207, A2844. [Google Scholar]
- Winkler, T.; Suki, B. Emergent structure-function relations in emphysema and asthma. Crit. Rev. Biomed. Eng. 2011, 39, 263–280. [Google Scholar] [CrossRef] [PubMed]
- Kim, J.H.; Schaible, N.; Hall, J.K.; Bartolák-Suki, E.; Deng, Y.; Herrmann, J.; Sonnenberg, A.; Behrsing, H.P.; Lutchen, K.R.; Krishnan, R.; et al. Multiscale stiffness of human emphysematous precision cut lung slices. Sci. Adv. 2023, 9, eadf2535. [Google Scholar] [CrossRef]
- Suki, B.; Bates, J.H.T.; Bartolák-Suki, E. Remodeling of the Aged and Emphysematous Lungs: Roles of Microenvironmental Cues. Compr. Physiol. 2022, 12, 3559–3574. [Google Scholar]
- Cantor, J. The Role of the Extracellular Matrix in the Pathogenesis and Treatment of Pulmonary Emphysema. Int. J. Mol. Sci. 2024, 25, 10613. [Google Scholar] [CrossRef] [PubMed]






Disclaimer/Publisher’s Note: The statements, opinions and data contained in all publications are solely those of the individual author(s) and contributor(s) and not of MDPI and/or the editor(s). MDPI and/or the editor(s) disclaim responsibility for any injury to people or property resulting from any ideas, methods, instructions or products referred to in the content. |
© 2025 by the author. Licensee MDPI, Basel, Switzerland. This article is an open access article distributed under the terms and conditions of the Creative Commons Attribution (CC BY) license (https://creativecommons.org/licenses/by/4.0/).
Share and Cite
Cantor, J. Desmosine: The Rationale for Its Use as a Biomarker of Therapeutic Efficacy in the Treatment of Pulmonary Emphysema. Diagnostics 2025, 15, 578. https://doi.org/10.3390/diagnostics15050578
Cantor J. Desmosine: The Rationale for Its Use as a Biomarker of Therapeutic Efficacy in the Treatment of Pulmonary Emphysema. Diagnostics. 2025; 15(5):578. https://doi.org/10.3390/diagnostics15050578
Chicago/Turabian StyleCantor, Jerome. 2025. "Desmosine: The Rationale for Its Use as a Biomarker of Therapeutic Efficacy in the Treatment of Pulmonary Emphysema" Diagnostics 15, no. 5: 578. https://doi.org/10.3390/diagnostics15050578
APA StyleCantor, J. (2025). Desmosine: The Rationale for Its Use as a Biomarker of Therapeutic Efficacy in the Treatment of Pulmonary Emphysema. Diagnostics, 15(5), 578. https://doi.org/10.3390/diagnostics15050578
