Systematic Review and Meta-Analysis of Internal Jugular Vein Variants and Their Relationship to Clinical Implications in the Head and Neck
Abstract
1. Introduction
2. Methods
2.1. PRISMA and PROSPERO Protocol
2.2. Eligibility Criteria
2.3. Electronic Search
2.4. Study Selection
2.5. Data Collection Process
2.6. Assessment of the Methodological Quality
2.7. Statistical
2.8. Subgroup Analysis
3. Results
3.1. Included Articles
3.2. Characteristics of the Studies and Population
3.3. Variants Description
3.4. Prevalence and Subgroups Analyzed
3.5. Risk of Bias of Included Articles
3.6. Clinical Considerations
4. Discussion
5. Limitations
6. Conclusions
Supplementary Materials
Author Contributions
Funding
Conflicts of Interest
References
- Wang, X.; Peng, L.; Guo, H.; Hernesniemi, J.; Xiong, X.; Andrade-Barazarte, H.; Qian, R. Internal Jugular Vein Fenestration and Duplication: Anatomical Findings, Prevalence, and Literature Review. Front. Surg. 2020, 7, 593367. [Google Scholar] [CrossRef] [PubMed] [PubMed Central]
- Cvetko, E. Unilateral fenestration of the internal jugular vein: A case report. Surg. Radiol. Anat. 2015, 37, 875–877. [Google Scholar] [CrossRef] [PubMed]
- Morales-Ramos, F.; Muñoz-Herrera, A.; Pastor-Zapata, A.; Caballero-Sibrian, M.; Santamarta-Gómez, D. Golfo yugular prominente y su repercusión en la cirugía de los neurinomas del acústico [High jugular bulb and its relationship with acoustic neurinoma surgery]. Neurocirugia 2002, 13, 311–315. [Google Scholar] [CrossRef] [PubMed]
- Page, M.J.; McKenzie, J.E.; Bossuyt, P.M.; Boutron, I.; Hoffmann, T.C.; Mulrow, C.D.; Shamseer, L.; Tetzlaff, J.M.; Akl, E.A.; Brennan, S.E.; et al. The PRISMA 2020 statement: An updated guideline for reporting systematic reviews. BMJ 2021, 372, n71. [Google Scholar] [CrossRef] [PubMed] [PubMed Central]
- Tomaszewski, K.A.; Henry, B.M.; Kumar Ramakrishnan, P.; Roy, J.; Vikse, J.; Loukas, M.; Tubbs, R.S.; Walocha, J.A. Development of the Anatomical Quality Assurance (AQUA) checklist: Guidelines for reporting original anatomical studies. Clin. Anat. 2017, 30, 14–20. [Google Scholar] [CrossRef] [PubMed]
- The Jamovi Project. Jamovi, Version 2.5; [Computer Software]. 2024. Available online: https://www.jamovi.org (accessed on 15 November 2024).
- von Hippel, P.T. The heterogeneity statistic I(2) can be biased in small meta-analyses. BMC Med. Res. Methodol. 2015, 15, 35. [Google Scholar] [CrossRef] [PubMed] [PubMed Central]
- Benter, T.; Teichgräber, U.K.; Klühs, L.; Papadopoulos, S.; Köhne, C.H.; Felix, R.; Dörken, B. Anatomical variations in the internal jugular veins of cancer patients affecting central venous access. Anatomical variation of the internal jugular vein. Ultraschall Med. 2001, 22, 23–26. [Google Scholar] [CrossRef] [PubMed]
- Buch, K.; Groller, R.; Nadgir, R.N.; Fujita, A.; Qureshi, M.M.; Sakai, O. Variability in the Cross-Sectional Area and Narrowing of the Internal Jugular Vein in Patients Without Multiple Sclerosis. Am. J. Roentgenol. 2016, 206, 1082–1086. [Google Scholar] [CrossRef] [PubMed]
- Burman, S.; Pandey, S.; Rao, S.; Rao, S. Duplication of the internal jugular vein: A rare presentation during neck dissection. BMJ Case Rep. 2021, 14, e239007. [Google Scholar] [CrossRef] [PubMed] [PubMed Central]
- Cho, H.; Kim, G.; Song, S.; Yoo, J.; Kim, M.; Chung, J.; Kim, S.; Park, S. Detection of anatomical variation during left internal jugular vein cannulation under ultrasound: A case report. Medicine 2020, 99, e21129. [Google Scholar] [CrossRef] [PubMed] [PubMed Central]
- Contrera, K.J.; Aygun, N.; Ward, B.K.; Gooi, Z.; Richmon, J.D. Internal jugular vein duplication and fenestration: Case series and literature review. Laryngoscope 2016, 126, 1585–1588. [Google Scholar] [CrossRef] [PubMed] [PubMed Central]
- Deepak, C.A.; Sarvadnya, J.J.; Sabitha, K.S. Variant anatomy of internal jugular vein branching. Ann. Maxillofac. Surg. 2015, 5, 284–286. [Google Scholar] [CrossRef] [PubMed] [PubMed Central]
- Denys, B.G.; Uretsky, B.F. Anatomical variations of internal jugular vein location: Impact on central venous access. Crit. Care Med. 1991, 19, 1516–1519. [Google Scholar] [CrossRef] [PubMed]
- Farina, M.; Novelli, E.; Pagani, R. Cross-sectional area variations of internal jugular veins during supine head rotation in multiple sclerosis patients with chronic cerebrospinal venous insufficiency: A prospective diagnostic controlled study with duplex ultrasound investigation. BMC Neurol. 2013, 13, 162. [Google Scholar] [CrossRef] [PubMed] [PubMed Central]
- Gardiner, K.J.; Irvine, B.W.; Murray, A. Anomalous relationship of the spinal accessory nerve to the internal jugular vein. Clin. Anat. 2002, 15, 62–63. [Google Scholar] [CrossRef] [PubMed]
- Gupta, V.; Tuli, A.; Choudhry, R.; Agarwal, S.; Mangal, A. Facial vein draining into external jugular vein in humans: Its variations, phylogenetic retention and clinical relevance. Surg. Radiol. Anat. 2003, 25, 36–41. [Google Scholar] [CrossRef] [PubMed]
- Hameedullah; Rauf, M.A.; Khan, F.H. Anatomical variations of internal jugular vein as seen by “Site Rite II” ultrasound machine—An initial experience in Pakistani population. J. Pak. Med. Assoc. 2001, 51, 105–109. [Google Scholar] [PubMed]
- Jia, L.Y.; Hua, Y.; Ji, X.M.; Liu, J.T. Correlation analysis of internal jugular vein abnormalities and cerebral venous sinus thrombosis. Chin. Med. J. 2012, 125, 3671–3674. [Google Scholar] [PubMed]
- Ibrahim, B.; Berania, I.; Moubayed, S.P.; Christopoulos, A.; Ayad, T. Internal Jugular Vein Duplication: Anatomic Relationship With the Spinal Accessory Nerve. J. Oral Maxillofac. Surg. 2016, 74, 1502.e1–1502.e4. [Google Scholar] [CrossRef] [PubMed]
- Lim, C.L.; Keshava, S.N.; Lea, M. Anatomical variations of the internal jugular veins and their relationship to the carotid arteries: A CT evaluation. Australas. Radiol. 2006, 50, 314–318. [Google Scholar] [CrossRef] [PubMed]
- Lv, X.; Wu, Z. Anatomic variations of internal jugular vein, inferior petrosal sinus and its confluence pattern: Implications in inferior petrosal sinus catheterization. Interv. Neuroradiol. 2015, 21, 769–773. [Google Scholar] [CrossRef] [PubMed] [PubMed Central]
- Laukontaus, S.J.; Pekkola, J.; Numminen, J.; Kagayama, T.; Lepäntalo, M.; Färkkilä, M.; Atula, S.; Tienari, P.; Venermo, M. Magnetic Resonance Imaging of Internal Jugular Veins in Multiple Sclerosis: Interobserver Agreement and Comparison with Doppler Ultrasound Examination. Ann. Vasc. Surg. 2017, 42, 84–92. [Google Scholar] [CrossRef] [PubMed][Green Version]
- Malcom, G.E., 3rd; Raio, C.C.; Poordabbagh, A.P.; Chiricolo, G.C. Difficult central line placement due to variant internal jugular vein anatomy. J. Emerg. Med. 2008, 35, 189–191. [Google Scholar] [CrossRef] [PubMed]
- Miccini, M.; Cassini, D.; Gregori, M.; Gazzanelli, S.; Cassibba, S.; Biacchi, D. Ultrasound-Guided Placement of Central Venous Port Systems via the Right Internal Jugular Vein: Are Chest X-Ray and/or Fluoroscopy Needed to Confirm the Correct Placement of the Device? World J. Surg. 2016, 40, 2353–2358. [Google Scholar] [CrossRef] [PubMed]
- Mumtaz, S.; Singh, M. Surgical review of the anatomical variations of the internal jugular vein: An update for head and neck surgeons. Ann. R. Coll. Surg. Engl. 2019, 101, 2–6. [Google Scholar] [CrossRef] [PubMed] [PubMed Central]
- Nakamura, K.; Qian, K.; Ando, T.; Inokuchi, R.; Doi, K.; Kobayashi, E.; Sakuma, I.; Nakajima, S.; Yahagi, N. Cardiac Variation of Internal Jugular Vein for the Evaluation of Hemodynamics. Ultrasound Med. Biol. 2016, 42, 1764–1770. [Google Scholar] [CrossRef] [PubMed]
- Nakayama, S.; Yamashita, M.; Osaka, Y.; Isobe, T.; Izumi, H. Right internal jugular vein venography in infants and children. Anesth. Analg. 2001, 93, 331–334. [Google Scholar] [CrossRef] [PubMed]
- Nayak, S.B. Jug Handle Tributary of Internal Jugular Vein: A Potentially Dangerous Venous Variation. J. Craniofacial Surg. 2019, 30, e7–e8. [Google Scholar] [CrossRef] [PubMed]
- Pegot, A.; Guichard, B.; Peron, J.M.; Trost, O. Empty fenestration of the internal jugular vein: A rare phenomenon. Br. J. Oral Maxillofac. Surg. 2015, 53, 78–80. [Google Scholar] [CrossRef] [PubMed]
- Prades, J.M.; Timoshenko, A.; Dumollard, J.M.; Durand, M.; Merzougui, N.; Martin, C. High duplication of the internal jugular vein: Clinical incidence in the adult and surgical consequences, a report of three clinical cases. Surg. Radiol. Anat. 2002, 24, 129–132. [Google Scholar] [CrossRef] [PubMed]
- Rusu, M.C.; Vrapciu, A.D.; Popescu, Ș.A. High bilateral fenestration of the internal jugular vein. Surg. Radiol. Anat. 2022, 44, 703–708. [Google Scholar] [CrossRef] [PubMed]
- Tokunaga, K.; Nakamura, K.; Inokuchi, R.; Hayase, N.; Terada, R.; Tomioka, Y.; Ikeda, T.; Kobayashi, E.; Okazaki, H.; Sakuma, I.; et al. Cardiac Variation of Internal Jugular Vein as a Marker of Volume Change in Hemorrhagic Shock. Shock 2020, 54, 717–722. [Google Scholar] [CrossRef] [PubMed]
- Umaña, M.; García, A.; Bustamante, L.; Castillo, J.L.; Sebastián Martínez, J. Variations in the anatomical relationship between the common carotid artery and the internal jugular vein: An ultrasonographic study. Colomb. Médica 2015, 46, 54–59. [Google Scholar] [PubMed] [PubMed Central]
- Won, H.S.; Shin, J.O.; Nam, S.M.; Won, H.J. Supraclavicular cephalic vein draining into the internal jugular vein via the external jugular vein. Surg. Radiol. Anat. 2023, 45, 487–490. [Google Scholar] [CrossRef] [PubMed]
- Wu, M.; Dai, Z.; Liang, Y.; Liu, X.; Zheng, X.; Zhang, W.; Bo, J. Respiratory variation in the internal jugular vein does not predict fluid responsiveness in the prone position during adolescent idiopathic scoliosis surgery: A prospective cohort study. BMC Anesthesiol. 2023, 23, 360. [Google Scholar] [CrossRef] [PubMed] [PubMed Central]
- Zivadinov, R.; Galeotti, R.; Hojnacki, D.; Menegatti, E.; Dwyer, M.G.; Schirda, C.; Malagoni, A.M.; Marr, K.; Kennedy, C.; Bartolomei, I.; et al. Value of MR venography for detection of internal jugular vein anomalies in multiple sclerosis: A pilot longitudinal study. Am. J. Neuroradiol. 2011, 32, 938–946. [Google Scholar] [CrossRef] [PubMed] [PubMed Central]
- Asouhidou, I.; Natsis, K.; Asteri, T.; Sountoulides, P.; Vlasis, K.; Tsikaras, P. Anatomical variation of left internal jugular vein: Clinical significance for an anaesthesiologist. Eur. J. Anaesthesiol. 2008, 25, 314–318. [Google Scholar] [CrossRef] [PubMed]
- Prakash, R.; Prabhu, L.V.; Kumar, J.; Nayak, V.; Singh, G. Variations of jugular veins: Phylogenic correlation and clinical implications. South. Med. J. 2006, 99, 1146–1147. [Google Scholar] [CrossRef] [PubMed]
- Lorchirachoonkul, T.; Ti, L.K.; Manohara, S.; Lye, S.T.; Tan, S.A.; Shen, L.; Kang, D.S. Anatomical variations of the internal jugular vein: Implications for successful cannulation and risk of carotid artery puncture. Singap. Med. J. 2012, 53, 325–328. [Google Scholar] [PubMed]
- Horejsek, J.; Balík, M.; Kunstýř, J.; Michálek, P.; Kopecký, P.; Brožek, T.; Bartošová, T.; Fink, A.; Waldauf, P.; Porizka, M. Internal jugular vein collapsibility does not predict fluid responsiveness in spontaneously breathing patients after cardiac surgery. J. Clin. Monit. Comput. 2023, 37, 1563–1571. [Google Scholar] [CrossRef] [PubMed]
- Taylor, C.B.; Boone, J.L.; Schmalbach, C.E.; Miller, F.R. Intraoperative relationship of the spinal accessory nerve to the internal jugular vein: Variation from cadaver studies. Am. J. Otolaryngol. 2013, 34, 527–529. [Google Scholar] [CrossRef] [PubMed]
- Yuan, K.M.; Liu, E.C.; Li, P.; Shangguan, W.N.; Li, J.; Lian, Q.Q. Anatomic variations of neck vessels and the course of pediatric internal jugular veins. Pediatr. Anesth. 2017, 27, 1003–1009. [Google Scholar] [CrossRef] [PubMed]
- Abakay, M.A.; Şimşek, B.M.; Olgun, B.; Türkay, R.; Güneş, S. Ultrasonic identification of internal jugular vein fenestration. Surg. Radiol. Anat. 2019, 41, 1079–1081. [Google Scholar] [CrossRef] [PubMed]
- Oguzkurt, L.; Tercan, F.; Kara, G.; Torun, D.; Kizilkilic, O.; Yildirim, T. US-guided placement of temporary internal jugular vein catheters: Immediate technical success and complications in normal and high-risk patients. Eur. J. Radiol. 2005, 55, 125–129. [Google Scholar] [CrossRef] [PubMed]
- Milling, T.J., Jr.; Rose, J.; Briggs, W.M.; Birkhahn, R.; Gaeta, T.J.; Bove, J.J.; Melniker, L.A. Randomized, controlled clinical trial of point-of-care limited ultrasonography assistance of central venous cannulation: The Third Sonography Outcomes Assessment Program (SOAP-3) Trial. Crit. Care Med. 2005, 33, 1764–1769. [Google Scholar] [CrossRef] [PubMed]
- Moore, K.L.; Dalley, A.F.; Agur, A.M.R. Clinically Oriented Anatomy, 7th ed.; Lippincott Williams & Wilkins: Pennsylvania Furnace, PA, USA, 2014. [Google Scholar]
- Downie, S.A.; Schalop, L.; Mazurek, J.N.; Savitch, G.; Lelonek, G.J.; Olson, T.R. Bilateral duplicated internal jugular veins: Case study and literature review. Clin. Anat. 2007, 20, 260–266. [Google Scholar] [CrossRef] [PubMed]
- Clenaghan, S.; McLaughlin, R.E.; Martyn, C.; McGovern, S.; Bowra, J. Relationship between Trendelenburg tilt and internal jugular vein diameter. Emerg. Med. J. 2005, 22, 867–868. [Google Scholar] [CrossRef] [PubMed] [PubMed Central]
- Maecken, T.; Marcon, C.; Bomas, S.; Zenz, M.; Grau, T. Relationship of the internal jugular vein to the common carotid artery: Implications for ultrasound-guided vascular access. Eur. J. Anaesthesiol. 2011, 28, 351–355. [Google Scholar] [CrossRef] [PubMed]
- da Silva Correia, A.G.; Alves, J.N.; da Mota Santos, S.A.; Guerra, D.R.; Garção, D.C. Anatomical variations in the relationship between the spinal accessory nerve and internal jugular vein: A systematic review and meta-analysis. Int. J. Oral Maxillofac. Surg. 2023, 52, 13–18. [Google Scholar] [CrossRef] [PubMed]
- Yin, S.C.; Su, X.Z.; So, H.I.; Wang, S.; Zhang, Z.L.; Xu, Z.F.; Sun, C.F. Comparison of Internal Jugular Vein System Anastomosis and External Jugular Vein System Anastomosis in Free Flaps for Head and Neck Reconstruction: A Meta-Analysis. J. Oral Maxillofac. Surg. 2020, 78, 142–152. [Google Scholar] [CrossRef] [PubMed]
- Feller-Kopman, D. Ultrasound-guided internal jugular access: A proposed standardized approach and implications for training and practice. Chest 2007, 132, 302–309. [Google Scholar] [CrossRef] [PubMed]




| Author | N of Subjects and Diagnostic Methods | Variant | Prevalence | Age | Location | Male or Female | Clinical Considerations |
|---|---|---|---|---|---|---|---|
| Asouhidou et al., 2008 [38] | 93 cadavers | Hypoplasia of the internal jugular vein | 3/93 | does not report | Greece | does not report | The location and diameter of the IJV can be associated with increased risk of vascular trauma during catheterization attempts, and may partially explain the lack of IJV cannulation in a number of patients |
| Benter et al., 2001 [8] | 113 patients | anatomical variations in the internal jugular vein (IJV) and its posi- tion in relation to the common carotid artery (CCA) in cancer pa- tients. | 36% | 19 to 84 years. | Germany | Does not report | External landmark puncture may be difficult in a considerable number of patients since the IJV might not be situated in the presumed location anteriorly or laterally to the CCA. This study supports the use of ultrasound-guided techniques for central venous catheters particularly in hematological and oncological patients. |
| Buch et al., 2016 [9] | 363 patients | Anatomical caliber of the course of the IJV | 36.6% (Greater than 50% narrowing compared with a normalized average) | age range, 2–89 years; mean, 47.3 years. | EE. UU | 191 female patients, 172 male patients | Chronic cerebrospinal vascular insufficiency is a proposed condition of intraluminal stenosis of the internal jugular vein (IJV) that impedes venous flow from the brain. Calculations of IJV stenosis are vague and described in veins with at least a 50% reduction in IJV caliber at a specific level. |
| Cho et al., 2020 [11] | 1 patient | Left IJV on the medial side of the ACC.Left ACC crossed the Left IJV from medial to lateral at the level of the clavicle. | 100% | 74 years | does not reported | female | The left internal jugular vein has a higher possibility of anatomical variation than the right side. Therefore, the complication risk during cannulation is expected to be higher. |
| Contrera et al., 2016 [12] | 3 Patients | Internal Jugular Vein Duplication and Fenestration | 100% | 51-year-old woman, 49-year-old man and 65-year-old man | EE. UU | 1 female and 2 males | Internal jugular vein duplication and fenestration may risk iatrogenic injury to the vasculature and spinal accessory nerve during neck dissection. |
| Cvetko et al., 2015 [2] | 1 cadaver | unilateral fenestration of the left IJV | 100% | 75-year-old | France | male | The IJV bifurcated into the medial and lateral branches at a level of 1 cm below the mandibular angle. Clinicians and surgeons performing neck vascular or reconstructive surgery should be made aware of this variation of the IJV in the hope of preventing inadvertent injury. |
| Denys et al., 1991 [14] | 200 patients | underlying anatomical variations of the internal jugular vein | In five (2.5%) patients, the internal jugular vein was not visualized and was probably thrombosed. In six (3%) patients, the internal jugular The vein was unusually small. | between 7 and 52 years | USA | 147 males and 53 females | These findings suggest that anatomical variation may partly explain the Inability to cannulate the internal jugular vein in certain patients |
| Lim et al., 2006 [21] | 88 patients | Anatomical variations of the internal jugular veins and their relationship to the carotid arteries | 100% | does not report | Australia | does not report | Anatomical variations of IJV in relation to the carotid arteries increase the risk of inadvertent carotid puncture. |
| Nayak et al., 2019 [29] | 1 cadaver | variation of IJV is presented, Right IJV had an unusual vein joining it in the form of a ‘‘jug handle.’’ This vein arose from the junction of IJV and common facial vein (CFV), coursed down for 3 cm and joined IJV again. | 100% | 70 years approximately | India | male | Knowledge of this rare case could be useful to craniofacial surgeons, radiologists, and anesthesiologists. It might decrease the chances of iatrogenic bleeding during head and neck surgeries and radiologic procedures. |
| Prakash et al., 2006 [39] | 10 subjects | The action of the omohyoid muscle on the hemodynamics of the internal jugular vein. | - | 30 to 45 years. | France | 5 males and 5 females | For some authors, the contraction of this muscle, by tightening the cervical fascia, favors jugular venous return. For others, contraction of this muscle compresses the jugular vein in its cervical course. |
| Jia et al., 2012 [19] | 51 patients with CVST | Relationship between IJV anomaly and CVST, IJV anomaly and IJV reflux | 61%) patients were with abnormal VJI. Types of IJV abnormality included ring stenosis in 19 cases (61%), hypoplasia in 9 cases (29%), thrombosis 2 cases (7%) and anomalous valve 1 case (3%). | does not report | China | does not report | Cerebral venous sinus thrombosis (CVST) is a unique disease. and frequently unrecognized stroke, with a estimates 5 cases per million annually, and represents 0.5–1.0% of all strokes. |
| Wang et al., 2020 [1]. | 221 patients | Fenestration and duplication of the IJV | 0.9%. 2/221 | 40 y 43 years | China | 2 females | JV fenestration refers to a bifurcation of the IJV that joins the subclavian vein proximally, while in IJV duplication both branches remain separate. In both cases, the spinal accessory nerve (SAN) crossed the window between the branches of the IJV. |
| Hameedullah et al., 2001 [18] | 200 patients | The relationship of the right IJV with the carotid artery | n 49 cases the IJV was found in aberrant relation to carotid artery at the angle of the mandible (p value <0.05), 22 at the thyroid cartilage, 20 at the cricoid cartilage, and 46 at the supraclavicular area (p value < 0.05). In 93% of cases the IJV was found to be larger than the carotid artery. | 37.33 ± 14.92 | Pakistan | 131 males and 69 females | Central venous cannulation is a commonly performed procedure by the anesthesiologists in the operating room and intensive care unit for various reasons like massive volume resuscitation, administration of vasopressor agents. |
| Lorchirachoonkull et al., 2012 [40] | 100 adult patients presenting for elective cardiac surgery requiring venous catheterization | Anatomic Variations relevant to percutaneous central venous catheterization of the IJV | 15% | >21 years | Singapore | 84 males and 16 females | her difficulty was greater when catheterization of the left IJV was simulated than the right. The right IJV was significantly wider and had a larger AP diameter compared to the left IJV. |
| Wu 2023 [36] | 56 patients | IJV variations | 12 to 18 years | China | 21 males and 35 females | IJV is a non-invasive, easy-to-determine predictor that accurately assesses fluid responsiveness in multiple clinical settings. | |
| Horejsek 2023 [41] | 54 patients | jugular internal vein (VYI) | 50% | 18 years | Czech Republic | 43 males and 11 females | Promising predictive abilities of IJV culpability for spontaneously breathing patients and of IJV compliance for mechanically ventilated patients |
| Gupta et al., 2003 [17] | 89 dissected adult cadavers | Variation in facial vein (FV) termination patterns in EJV | 9% | does not report | India | 81 males and 8 females | The common facial vein, which joins the IJV just above the carotid bifurcation, provides a useful landmark for the location of the carotid bifurcation. |
| Ibrahim et al., 2016 [20] | 2 patients | Lateral neck dissection for cancer | 1/2 | 73- and 58-year-old | Canada | 1 male and 1 female | The existence of an anatomical variation in the position of the SAN in relation to the IJV through which the SAN passes in a fenestration in the IJV. |
| Laukontaus et al., 2017 [23] | 37 patients | Chronic cerebrospinal venous insufficiency | 4/5 | 23 to 59 years | Finland | 28 females, 9 males | The US seems overly sensibles in terms of finding venous stenosis. |
| Taylor et al., 2016 [42] | 11 patients | Techniques for evaluating hemodynamics through the IJV. | 11/11 | 22 to 24 years | Japan | 11 males | Hemodynamics can be evaluated by analyzing the cardiac variation in the IJV area in a minimally invasive manner. |
| Won et al., 2023 [35] | 1 cadaver | Cephalic vein variation | 100% | 77-year-old | Korea | 1 male | The possibility of using CV for invasive venous access is determined by the morpho-anatomical parameters; knowledge of its anatomical variations may be of considerable interest to doctors. |
| Mumtaz et al., 2019 [26] | 1197 patients | Fenestration and duplication of the internal jugular vein (IJV) depending on the level at which it occurs. | 40/1197 | does not report | United Kingdom | does not report | Knowledge of variations in the anatomy of the internal jugular vein helps surgeons avoid complications during neck surgery and prevent morbidity. |
| Rusu et al., 2022 [32] | 1 patient | Bilateral high fenestrations of the internal jugular vein. | 100% | 65-year-old | Romania | 1 female | Such high IJV fenestrations require attention when central venous catheters are inserted. Elevated IJV fenestrations also require caution during surgical procedures targeting the parapharyngeal space or in high radical neck dissections. |
| Tokunaga et al., 2020 [33] | 104 patients | Cardiac variation of the internal jugular vein | 18% after donation | does not report | Japan | does not report | Cardiac variation in IJV should be considered a reliable indicator of intravascular volume loss and response to fluid administration. |
| Malcom et al., 2008 [24] | 1 patient | Variation in the location of the IJV | 100% | 76 year old | United States | 1 female | Doctors should be able to fully explore the anatomy of the neck using ultrasound to visualize the best location for cannulation. of the IJV in these patients. |
| Prades et al., 2002 [31] | 3 patients | Duplication of the IJV. | 100% | 73, 52 and 62 years | France | 3 males | The discovery of IJV duplication raises practical problems of surgical dissection during functional lymph node clearance while preserving neurovascular structures. |
| Yuan et al., 2017 [43] | 210 patients | IJV and common carotid catheterization. | - | 6 to 12 mean ages | China | 83.33% this male | Conventional landmark-based internal jugular vein catheterization is difficult in pediatric patients. |
| Pegot et al., 2015 [30] | 1 patient | Fenestration of the left internal jugular vein. | 100% | 58 years | France | 1 female | The IJV is a common site for insertion of a central venous line, but in the case of fenestration, difficulties in catheter insertion could cause vascular injury along with cervical hemorrhage or hematoma. |
| Gardiner et al., 2002 [16] | 1 patient | Anomalous relationship of the spinal accessory nerve to the internal jugular vein Anatomical variation between the common carotid artery and the internal jugular vein | 100% | 67 years | United Kingdom | 1 male | During radical, modified radical, and selective neck dissections, level II nodes are almost always removed. |
| Umaña et al., 2015 [34] | 78 patients | Anatomical variation between the common carotid artery and the internal jugular vein | 15–54% | 17–90 years | Colombia | 44 males, 34 females | The internal jugular vein significantly overlapped the common carotid artery in 23 of 75 (30.7%). |
| Farina et al., 2013 [15] | Cases 313 patients with clinically MS Controls 298 Total 611 patients | Variation of the cross-sectional area of the internal jugular | veins with only VD (49.2%) and hypoplastic veins (7.5%). New morphological types of IJV, defined as “myopragic” (27.1%) and “myopragic with VD” (4.5%) | Cases 19 to 77 years controls 20–79 years | Italy | cases 137 men and 176 women Controls men/women 130/168 | IJVs in MS patients detected hypoplastic veins (7.5%). |
| Burman et al., 2021 [10] | 1 patient | Duplication of the internal jugular vein | 100% | 40 years | India | 1 male | intraoperative discovery of a second medial vein and After the VJI it was identified with the same caliber and joining the IJV below the level of the omohyoid muscle |
| Abakay et al., 2019 [44] | 1 patient | Fenestration of the internal jugular vein | 100% | 72 years | Turkey | 1 male | In the operating room, a variation of a fenestration of the IJV with the AN was found incidentally was identified. |
| Deepak et al., 2015 [13] | 3 patients | Variation in level of jugular vein bifurcation and position of internal jugular vein. | 100% | 35–50 years | India | 3 females | Knowledge of these variations is important for surgeons to avoid accidental injuries and bleeding from the vein. |
| Lv et al., 2015 [22] | Internal jugular vein, inferior petrosal sinus (IPS), and their confluence pattern and implications for IPS catheterization. | Anatomical variations of the internal jugular vein (IJV), the inferior petrosal sinus (IPS), and their confluence pattern and implications for IPS catheterization. | - | - | China | - | It can be very useful for the neurointerventionist to avoid failure of transvenous embolization, avoiding procedures riskier and unnecessary. |
| Miccini et al., 2016 [25] | 302 patients | Safety and Efficacy of Ultrasound-Guided CVP Placement Via the Right Internal Jugular Vein. | Four patients (1.3%) presented catheter malposition | Between 29 and 80 years old, with an average of 67.3. | Italy | 176 males, 126 females. | No reported. |
| Nakayama et al., 2001 [28] | 105 pediatric patients with congenital heart disease. | Venograms obtained from the right internal jugular vein (RIJV) to evaluate variations | Some disproportionately small vessels (defined as 3 mm for neonates and infants and %5 mm for older children) were seen in 8 patients (8%) and 3 patients had persistent left superior vena cava. | 7 days to 10 years old. | Japan | does not report | The internal jugular vein may be useful for percutaneous cannulation. |
| Zivadinov et al., 2011 [37] | 10 patients with MS | Role of venography in detection of abnormalities in the internal jugular vein | The sensitivity and specificity of Doppler ultrasound for detecting IJV abnormalities relative to catheter venography in patients with MS were calculated, respectively, at 82%, 100%. | 35.4 ± 7.2 years | does not report | 60% females and 40% males | Conventional MRV has limited value in evaluating IJV abnormalities for both diagnostic and posttreatment purposes. |
| Author | Total n | Prevalence |
|---|---|---|
| Asouhidou, 2008, [38] | 93 | 3 |
| Denys, 1991, [14] | 200 | 17 |
| Wang, 2020, [1] | 221 | 2 |
| Hameedullah, 2001, [18] | 200 | 14 |
| Gupta, 2003, [17] | 89 | 8 |
| Lv, 2015, [22] | 1000 | 4 |
| Mumtaz, 2019, [26] | 1197 | 40 |
| Farina, 2013, [15] | 313 | 25 |
| Miccini, 2016, [25] | 302 | 4 |
| Nakayama, 2001, [28] | 105 | 8 |
| Parameters | Number of Studies and Subjects | Prevalence | 95% CI | I2 | p Value |
|---|---|---|---|---|---|
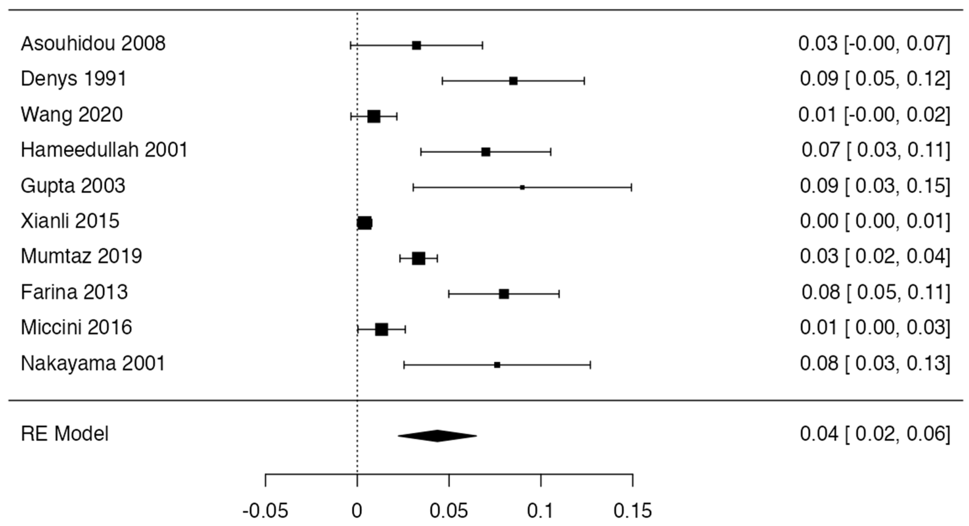
| Overall | 10 (3720) | 3.36 | 2.81–6.96 | 94.46% | - |
| Cadaveric | 3 (1182) | 3.12 | 1.87–8.16 | 83.62% | p = 0.165 |
| Imaging | 7 (2538) | 5.33 | 2.12–7.31 | 91.58% | |
| Asia | 5 (1615) | 4.44 | 1.83–8.22 | 94.42% | p = 0.873 |
| Africa | 0 (0) | - | - | - | |
| Europe | 4 (1905) | 4.88 | 1.87–6.12 | 88.73% | |
| America | 1 (200) | 8.5 | - | - | |
| Oceania | 0 (0) | - | - | - | |
| Left side | 3 (403) | 4.44 | 1.11–8.92 | 78.62% | p = 0.212 |
| Right side | 4 (696) | 6.18 | 2.11–9.45 | 77.84% | |
| Male | 5 (672 | 2.52 | 1.82–4.11 | 79.93% | p = 0.321 |
| Female | 6 (432) | 1.38 | 0.65–2.51 | 91.22% | |
| Unilateral | 2 (1089) | 1.65 | 0.99–2.35 | 66.11% | p = 0.455 |
| Bilateral | 1 (89) | 1.12 | - | - |
Disclaimer/Publisher’s Note: The statements, opinions and data contained in all publications are solely those of the individual author(s) and contributor(s) and not of MDPI and/or the editor(s). MDPI and/or the editor(s) disclaim responsibility for any injury to people or property resulting from any ideas, methods, instructions or products referred to in the content. |
© 2024 by the authors. Licensee MDPI, Basel, Switzerland. This article is an open access article distributed under the terms and conditions of the Creative Commons Attribution (CC BY) license (https://creativecommons.org/licenses/by/4.0/).
Share and Cite
Nova-Baeza, P.; Valenzuela-Fuenzalida, J.J.; Valdivia-Arroyo, R.; Becerra-Rodríguez, E.S.; Escalona-Manzo, C.; Castaño-Gallego, Y.T.; Luque-Bernal, R.M.; Oyanedel-Amaro, G.; Suazo-Santibáñez, A.; Orellana-Donoso, M.; et al. Systematic Review and Meta-Analysis of Internal Jugular Vein Variants and Their Relationship to Clinical Implications in the Head and Neck. Diagnostics 2024, 14, 2765. https://doi.org/10.3390/diagnostics14232765
Nova-Baeza P, Valenzuela-Fuenzalida JJ, Valdivia-Arroyo R, Becerra-Rodríguez ES, Escalona-Manzo C, Castaño-Gallego YT, Luque-Bernal RM, Oyanedel-Amaro G, Suazo-Santibáñez A, Orellana-Donoso M, et al. Systematic Review and Meta-Analysis of Internal Jugular Vein Variants and Their Relationship to Clinical Implications in the Head and Neck. Diagnostics. 2024; 14(23):2765. https://doi.org/10.3390/diagnostics14232765
Chicago/Turabian StyleNova-Baeza, Pablo, Juan José Valenzuela-Fuenzalida, Rocio Valdivia-Arroyo, Emelyn Sofia Becerra-Rodríguez, Catalina Escalona-Manzo, Yesica Tatiana Castaño-Gallego, Ricardo Miguel Luque-Bernal, Gustavo Oyanedel-Amaro, Alejandra Suazo-Santibáñez, Mathias Orellana-Donoso, and et al. 2024. "Systematic Review and Meta-Analysis of Internal Jugular Vein Variants and Their Relationship to Clinical Implications in the Head and Neck" Diagnostics 14, no. 23: 2765. https://doi.org/10.3390/diagnostics14232765
APA StyleNova-Baeza, P., Valenzuela-Fuenzalida, J. J., Valdivia-Arroyo, R., Becerra-Rodríguez, E. S., Escalona-Manzo, C., Castaño-Gallego, Y. T., Luque-Bernal, R. M., Oyanedel-Amaro, G., Suazo-Santibáñez, A., Orellana-Donoso, M., Bruna-Mejias, A., Sanchis-Gimeno, J., & Gutiérrez-Espinoza, H. (2024). Systematic Review and Meta-Analysis of Internal Jugular Vein Variants and Their Relationship to Clinical Implications in the Head and Neck. Diagnostics, 14(23), 2765. https://doi.org/10.3390/diagnostics14232765

