Unlocking Chemotherapy Success: The Role of Diffusion Tensor Imaging in Breast Cancer Treatment
Abstract
1. Introduction
2. Materials and Methods
2.1. Patients’ Selection
2.2. Image Processing and Data Collection
2.3. Postoperative Pathological Examination
2.4. Statistical Processing
3. Results
Patient Data
4. Discussion
5. Conclusions
Author Contributions
Funding
Institutional Review Board Statement
Informed Consent Statement
Data Availability Statement
Conflicts of Interest
References
- Sung, H.; Ferlay, J.; Siegel, R.L.; Laversanne, M.; Soerjomataram, I.; Jemal, A.; Bray, F. Global Cancer Statistics 2020: GLOBOCAN Estimates of Incidence and Mortality Worldwide for 36 Cancers in 185 Countries. CA Cancer J. Clin. 2021, 71, 209–249. [Google Scholar] [CrossRef] [PubMed]
- Brinton, L.A.; Gaudet, M.M.; Gierach, G.L. Breast cancer. In Cancer Epidemiology and Prevention, 4th ed.; Thun, M., Linet, M.S., Cerhan, J.R., Haiman, C.A., Schottenfeld, D., Eds.; Oxford University Press: Oxford, UK, 2018; pp. 861–888. [Google Scholar]
- Loibl, S.; André, F.; Bachelot, T.; Barrios, C.; Bergh, J.; Burstein, H.; Cardoso, M.; Carey, L.; Dawood, S.; Del Mastro, L.; et al. Early breast cancer: ESMO Clinical Practice Guideline for diagnosis, treatment and follow-up. Ann. Oncol. 2024, 35, 159–182. [Google Scholar] [CrossRef]
- Curigliano, G.; Burstein, H.; Gnant, M.; Loibl, S.; Cameron, D.; Regan, M.; Denkert, C.; Poortmans, P.; Weber, W.; Aebi, S.; et al. Understanding breast cancer complexity to improve patient outcomes: The St Gallen International Consensus Conference for the Primary Therapy of Individuals with Early Breast Cancer 2023. Ann. Oncol. 2023, 34, 970–986. [Google Scholar] [CrossRef] [PubMed]
- Fowler, A.M.; Mankoff, D.A.; Joe, B.N. Imaging Neoadjuvant Therapy Response in Breast Cancer. Radiology 2017, 285, 358–375. [Google Scholar] [CrossRef] [PubMed]
- Huber, S.; Wagner, M.; Zuna, I.; Medl, M.; Czembirek, H.; Delorme, S. Locally advanced breast carcinoma: Evaluation of mammography in the prediction of residual disease after induction chemotherapy. Anticancer Res. 2000, 20, 553–558. [Google Scholar] [PubMed]
- Keune, J.D.; Jeffe, D.B.; Schootman, M.; Hoffman, A.; Gillanders, W.E.; Aft, R.L. Accuracy of Ultrasonography and Mammography in Predicting Pathologic Response after Neoadjuvant Chemotherapy for Breast Cancer. Am. J. Surg. 2010, 199, 477–484. [Google Scholar] [CrossRef]
- Kong, X.; Zhang, Q.; Li, Z.; Li, Z. Advances in Imaging in Evaluating the Efficacy of Neoadjuvant Chemotherapy for Breast Cancer. Front. Oncol. 2022, 12, 816297. [Google Scholar] [CrossRef]
- Hylton, N.M.; Blume, J.D.; Bernreuter, W.K.; Pisano, E.D.; Rosen, M.A.; Morris, E.A.; Weatherall, P.T.; Lehman, C.D.; Newstead, G.M.; Polin, S.; et al. Locally Advanced Breast Cancer: MR Imaging for Prediction of Response to Neoadjuvant Chemotherapy—Results from ACRIN 6657/I-SPY TRIAL. Radiology 2012, 263, 663–672. [Google Scholar] [CrossRef]
- Symmans, W.F.; Peintinger, F.; Hatzis, C.; Rajan, R.; Kuerer, H.; Valero, V.; Assad, L.; Poniecka, A.; Hennessy, B.; Green, M.; et al. Measurement of Residual Breast Cancer Burden to Predict Survival After Neoadjuvant Chemotherapy. J. Clin. Oncol. 2007, 25, 4414–4422. [Google Scholar] [CrossRef]
- Yau, C.; Osdoit, M.; van der Noordaa, M.; Shad, S.; Wei, J.; de Croze, D.; Hamy, A.-S.; Laé, M.; Reyal, F.; Sonke, G.S.; et al. Residual cancer burden after neoadjuvant chemotherapy and long-term survival outcomes in breast cancer: A multicentre pooled analysis of 5161 patients. Lancet Oncol. 2022, 23, 149–160. [Google Scholar] [CrossRef]
- Furman-Haran, E.; Eyal, E.; Shapiro-Feinberg, M.; Nissan, N.; Grobgeld, D.; Weisenberg, N.; Degani, H. Advantages and drawbacks of breast DTI. Eur. J. Radiol. 2012, 81 (Suppl. 1), 45–47. [Google Scholar] [CrossRef] [PubMed]
- Haacke, E.M.; Brown, R.W.; Thompson, M.R.; Venkatesan, R. Magnetic Resonance Imaging: Physical Principles and Sequence Design; John Wiley & Sons: Hoboken, NJ, USA, 1999. [Google Scholar]
- The Jamovi Project (2024). JAMOVI (Version 2.5) [Computer Software]. Available online: https://www.jamovi.org (accessed on 17 June 2023).
- Long-term outcomes for neoadjuvant versus adjuvant chemotherapy in early breast cancer: Meta-analysis of individual patient data from ten randomised trials. Lancet Oncol. 2018, 19, 27–39. [CrossRef] [PubMed]
- Partridge, S.C.; McDonald, E.S. Diffusion weighted MRI of the breast: Protocol optimization, guidelines for interpretation, and potential clinical applications. Magn. Reason. Imaging Clin. N. Am. 2013, 21, 601–624. [Google Scholar] [CrossRef] [PubMed]
- Pickles, M.D.; Gibbs, P.; Lowry, M.; Turnbull, L.W. Diffusion changes precede size reduction in neoadjuvant treatment of breast cancer. Magn. Reason. Imaging 2006, 24, 843–847. [Google Scholar] [CrossRef]
- Chu, W.; Jin, W.; Liu, D.; Wang, J.; Geng, C.; Chen, L.; Huang, X. Diffusion-weighted imaging in identifying breast cancer pathological response to neoadjuvant chemotherapy: A meta-analysis. Oncotarget 2017, 9, 7088–7100. [Google Scholar] [CrossRef]
- Partridge, S.C.; Zhang, Z.; Newitt, D.C.; Gibbs, J.E.; Chenevert, T.L.; Rosen, M.A.; Bolan, P.J.; Marques, H.S.; Romanoff, J.; Cimino, L.; et al. Diffusion-weighted MRI Findings Predict Pathologic Response in Neoadjuvant Treatment of Breast Cancer: The ACRIN 6698 Multicenter Trial. Radiology 2018, 289, 618–627. [Google Scholar] [CrossRef]
- Partridge, S.C.; Ziadloo, A.; Murthy, R.; White, S.W.; Peacock, S.; Eby, P.R.; DeMartini, W.B.; Lehman, C.D. Diffusion tensor MRI: Preliminary anisotropy measures and mapping of breast tumors. J. Magn. Reason. Imaging 2010, 31, 339–347. [Google Scholar] [CrossRef]
- Baltzer, P.A.T.; Schäfer, A.; Dietzel, M.; Grässel, D.; Gajda, M.; Camara, O.; Kaiser, W.A. Diffusion tensor magnetic resonance imaging of the breast: A pilot study. Eur. Radiol. 2011, 21, 1–10. [Google Scholar] [CrossRef] [PubMed]
- Wilmes, L.J.; Li, W.; Shin, H.J.; Newitt, D.C.; Proctor, E.; Harnish, R.; Hylton, N.M. Diffusion Tensor Imaging for Assessment of Response to Neoadjuvant Chemotherapy in Patients With Breast Cancer. Tomography 2016, 2, 438–447. [Google Scholar] [CrossRef]
- Furman-Haran, E.; Nissan, N.; Ricart-Selma, V.; Martinez-Rubio, C.; Degani, H.; Camps-Herrero, J. Quantitative evaluation of breast cancer response to neoadjuvant chemotherapy by diffusion tensor imaging: Initial results. J. Magn. Reason. Imaging 2018, 47, 1080–1090. [Google Scholar] [CrossRef]
- Von Minckwitz, G.; Untch, M.; Blohmer, J.U.; Costa, S.D.; Eidtmann, H.; Fasching, P.A.; Gerber, B.; Eiermann, W.; Hilfrich, J.; Huober, J.; et al. Definition and Impact of Pathologic Complete Response on Prognosis After Neoadjuvant Chemotherapy in Various Intrinsic Breast Cancer Subtypes. J. Clin. Oncol. 2012, 30, 1796–1804. [Google Scholar] [CrossRef] [PubMed]






| Percentage Change Between Examinations—6-Direction DTI | Rho | p-Value | Statistical Significance |
|---|---|---|---|
| λ1 | −0.24 | 0.215 | Weak or no correlation |
| λ2 | −0.46 | 0.014 a | Acceptable degree of association |
| λ3 | −0.41 | 0.033 a | Acceptable degree of association |
| λ1–λ3 | −0.02 | 0.910 | Weak or no correlation |
| FA | −0.43 | 0.022 a | Acceptable degree of association |
| RA | −0.20 | 0.315 | Weak or no correlation |
| Percentage Change Between Examinations—12-Direction DTI | |||
| λ1 | −0.48 | 0.011 a | Acceptable degree of association |
| λ2 | −0.36 | 0.060 b | Acceptable degree of association |
| λ3 | −0.25 | 0.197 | Weak or no correlation |
| λ1–λ3 | −0.46 | 0.016 a | Acceptable degree of association |
| FA | −0.36 | 0.063 b | Acceptable degree of association |
| RA | −0.55 | 0.003 a | Moderate to good correlation |
| RCB 0 (n = 7) | RCB Non 0 (n = 20) | p-Value | Cohen’s Kappa | |
|---|---|---|---|---|
| MRI 1 DTI 6 | ||||
| λ1 (×10−10) | 11.60 ± 1.13 | 14.30 ± 2.98 | 0.028 a | −1.02 |
| λ2 (×10−10) | 10.00 ± 1.28 | 12.20 ± 2.65 | 0.052 b | −0.89 |
| λ3 (×10−10) | 8.90 ± 1.31 | 10.30 ± 2.38 | 0.151 | −0.65 |
| λ1–λ3 (×10−10) | 2.70 ± 0.49 | 4.01 ± 1.48 | 0.032 a | −0.99 |
| RA | 0.11 ± 0.02 | 0.13 ± 0.04 | 0.186 | −0.59 |
| FA | 0.13 ± 0.03 | 0.16 ± 0.05 | 0.170 | −0.62 |
| MRI 2 DTI 6 | ||||
| λ1 (×10−10) | 12.90 (12.70–20.90) | 17.70 (15.40–19.90) | 0.455 | 0.20 |
| λ2 (×10−10) | 14.80 ± 3.84 | 14.40 ± 3.96 | 0.846 | 0.08 |
| λ3 (×10−10) | 11.30 ± 3.48 | 11.30 ± 3.62 | 0.960 | 0.02 |
| λ1–λ3 (×10−10) | 5.67 ± 4.05 | 6.16 ± 2.83 | 0.723 | −0.15 |
| RA | 0.18 ± 0.08 | 0.16 ± 0.06 | 0.501 | 0.29 |
| FA | 0.22 ± 0.06 | 0.20 ± 0.07 | 0.573 | 0.25 |
| RCB 0 (n = 7) | RCB Non 0 (n = 20) | Valoare p | Cohen’s Kappa | |
|---|---|---|---|---|
| MRI 1 DTI 12 | ||||
| λ1 (×10−10) | 12.40 ± 1.27 | 13.90 ± 3.15 | 0.242 | −0.52 |
| λ2 (×10−10) | 11.30 ± 1.16 | 12.20 ± 2.59 | 0.361 | −0.40 |
| λ3 (×10−10) | 10.10 (9.27–11.00) | 10.30 (9.75–10.90) | 0.803 | 0.07 |
| λ1–λ3 (×10−10) | 2.00 (1.85–2.58) | 2.80 (2.34–4.28) | 0.086 b | 0.45 |
| RA | 0.08 ± 0.02 | 0.11 ± 0.03 | 0.043 a | −0.93 |
| FA | 0.10 ± 0.04 | 0.14 ± 0.05 | 0.199 | −0.58 |
| MRI 2 DTI 12 | ||||
| λ1 (×10−10) | 18.60 ± 5.42 | 17.60 ± 4.97 | 0.664 | 0.19 |
| λ2 (×10−10) | 15.10 ± 4.36 | 15.10 ± 4.72 | 0.991 | 0.01 |
| λ3 (×10−10) | 11.80 ± 3.64 | 12.10 ± 3.27 | 0.826 | −0.09 |
| λ1–λ3 (×10−10) | 6.60 (5.21–8.91) | 4.51(4.04–6.03) | 0.309 | 0.45 |
| RA | 0.17 ± 0.06 | 0.15 ± 0.05 | 0.337 | 0.42 |
| FA | 0.20 ± 0.04 | 0.18 ± 0.06 | 0.345 | 0.42 |
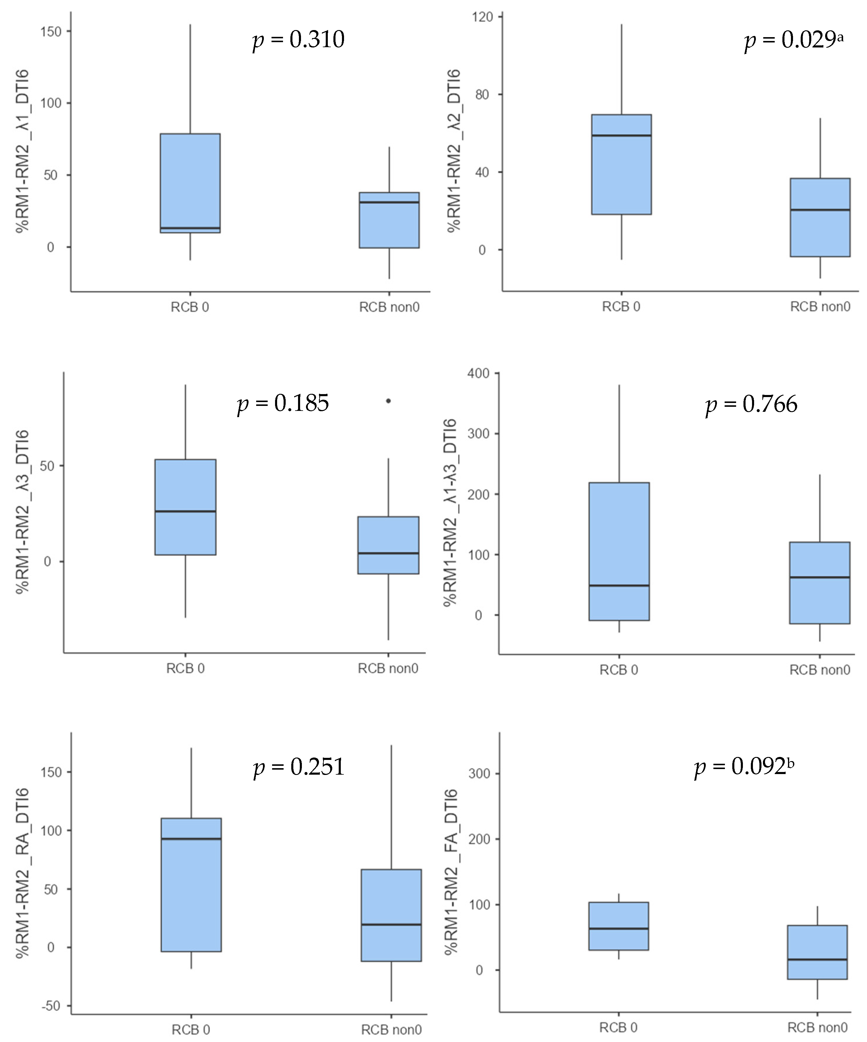
| Percentage Change Between Examinations 6-Direction DTI | RCB 0 (n = 7) | RCB Non 0 (n = 20) | Valoare p | Cohen’s Kappa |
|---|---|---|---|---|
| λ1 | 47.97 ± 60.24 | 22.27 ± 23.80 | 0.310 | 0.56 |
| λ2 | 49.32 ± 41.54 | 19.01 ± 24.90 | 0.029 a | 1.01 |
| λ3 | 28.89 ± 41.25 | 9.46 ± 29.17 | 0.185 | 0.59 |
| λ1–λ3 | 48.64 (−9.01–218.90) | 62.25 (−14.53–120.43) | 0.766 | 0.08 |
| RA | 65.45 ± 73.59 | 31.84 ± 62.25 | 0.251 | 0.51 |
| FA | 63.39 (30.53–103.63) | 16.14 (−14.08–68.33) | 0.092 b | 0.44 |
| Percentage Change Between Examinations 12-Direction DTI | ||||
| λ1 | 50.87 ± 45.14 | 30.35 ± 38.17 | 0.253 | −0.36 |
| λ2 | 34.32 ± 40.20 | 24.43 ± 35.79 | 0.547 | −0.59 |
| λ3 | 2.97 (−7.79–40.54) | 21.84 (−2.48–32.29) | 0.850 | 0.05 |
| λ1–λ3 | 162.85 (111.46–310.17) | 58.72 (−1.18–186.57) | 0.055 b | 0.50 |
| RA | 117.71 ± 41.21 | 49.39 ± 78.02 | 0.038 a | 0.96 |
| FA | 117.36 ± 86.92 | 51.19 ± 75.87 | 0.067 b | 0.84 |
| Percentage Change Between Examinations 6-Direction DTI | AUC | Cut-Off (%) | Se/Sp (%) | p-Value |
|---|---|---|---|---|
| λ1 | 0.57 ± 0.15 | 55.00 | 42.86/95 | 0.325 |
| λ2 | 0.72 ± 0.12 | 58.80 | 57.17/95 | 0.038 a |
| λ3 | 0.65 ± 0.15 | 26.14 | 57.14/80 | 0.158 |
| λ1–λ3 | 0.54 ± 0.14 | 338.66 | 28.57/100 | 0.385 |
| FA | 0.72 ± 0.10 | 16.29 | 100/50 | 0.016 a |
| RA | 0.64 ± 0.13 | 92.68 | 57.14/85 | 0.142 |
| Percentage Change Between Examinations—12-Direction DTI | AUC | Cut-Off (%) | Se/Sp (%) | p-Value |
|---|---|---|---|---|
| λ1 | 0.62 ± 0.12 | 26.01 | 85.71/45 | 0.157 |
| λ2 | 0.54 ± 0.13 | 12.17 | 85.71/35 | 0.374 |
| λ3 | 0.47 ± 0.12 | 55.26 | 18.57/95 | 0.425 |
| λ1–λ3 | 0.75 ± 0.09 | 101.92 | 100/60 | 0.004 a |
| FA | 0.75 ± 0.11 | 69.34 | 85.71/60 | 0.012 a |
| RA | 0.83 ± 0.08 | 51.06 | 100/60 | 0.001 a |
Disclaimer/Publisher’s Note: The statements, opinions and data contained in all publications are solely those of the individual author(s) and contributor(s) and not of MDPI and/or the editor(s). MDPI and/or the editor(s) disclaim responsibility for any injury to people or property resulting from any ideas, methods, instructions or products referred to in the content. |
© 2024 by the authors. Licensee MDPI, Basel, Switzerland. This article is an open access article distributed under the terms and conditions of the Creative Commons Attribution (CC BY) license (https://creativecommons.org/licenses/by/4.0/).
Share and Cite
Ciurea, A.I.; Bene, I.; Cheregi, P.; Brad, T.; Ciortea, C.A.; Rusu, G.M.; Ciule, L.D.; Deac, A.-L.; Lenghel, M.L. Unlocking Chemotherapy Success: The Role of Diffusion Tensor Imaging in Breast Cancer Treatment. Diagnostics 2024, 14, 2650. https://doi.org/10.3390/diagnostics14232650
Ciurea AI, Bene I, Cheregi P, Brad T, Ciortea CA, Rusu GM, Ciule LD, Deac A-L, Lenghel ML. Unlocking Chemotherapy Success: The Role of Diffusion Tensor Imaging in Breast Cancer Treatment. Diagnostics. 2024; 14(23):2650. https://doi.org/10.3390/diagnostics14232650
Chicago/Turabian StyleCiurea, Anca Ileana, Ioana Bene, Paul Cheregi, Thea Brad, Cristiana Augusta Ciortea, Georgeta Mihaela Rusu, Larisa Dorina Ciule, Andrada-Larisa Deac, and Manuela Lavinia Lenghel. 2024. "Unlocking Chemotherapy Success: The Role of Diffusion Tensor Imaging in Breast Cancer Treatment" Diagnostics 14, no. 23: 2650. https://doi.org/10.3390/diagnostics14232650
APA StyleCiurea, A. I., Bene, I., Cheregi, P., Brad, T., Ciortea, C. A., Rusu, G. M., Ciule, L. D., Deac, A.-L., & Lenghel, M. L. (2024). Unlocking Chemotherapy Success: The Role of Diffusion Tensor Imaging in Breast Cancer Treatment. Diagnostics, 14(23), 2650. https://doi.org/10.3390/diagnostics14232650

