Early Cervical Cancer Diagnosis with SWIN-Transformer and Convolutional Neural Networks
Abstract
1. Introduction
1.1. Related Studies
1.2. Organization of This Paper
2. Materials and Methods
2.1. Colposcopy Images
2.2. Clinical Criteria for Case Grouping
- Normal Group:
- ∘
- Cases: a total of 94 cases were characterized by normal colposcopy and histopathology findings.
- ∘
- Key Features:
- ▪
- Mostly HPV-negative cases, with some HPV-positive cases.
- ▪
- Mainly Type 1 Transformation Zones, with some Type 2 and 3.
- ▪
- Adequate colposcopy samples showing original squamous epithelium, columnar epithelium, and metaplastic squamous epithelium.
- ▪
- Brown, faintly or patchy yellow, or unknown iodine staining.
- ▪
- Low SWEDE scores and normal histopathology findings, such as mature squamous epithelium and nabothian cysts.
- Precancerous Group:
- ∘
- Cases: a total of 77 cases with colposcopy and histopathologic findings indicative of Low-grade Squamous Intraepithelial Lesions (LSILs), including CIN1, and High-grade Squamous Intraepithelial Lesions (HSILs), including CIN2 and CIN3.
- ∘
- LSILs (CIN1):
- ▪
- HPV-positive and -negative cases.
- ▪
- Type 1 or Type 2 Transformation Zone.
- ▪
- Thin acetowhite epithelium, irregular borders, fine mosaic, and fine punctation on colposcopy.
- ▪
- Moderate SWEDE scores and faintly or patchy yellow iodine uptake.
- ∘
- HSILs (CIN2 and CIN3):
- ▪
- Higher severity precancerous lesions.
- ▪
- Dense acetowhite epithelium, sharp borders, ridge sign, inner border sign, and atypical vessels on colposcopy.
- ▪
- Medium SWEDE scores and distinct yellow iodine uptake.
- ▪
- HSIL cases required medical intervention to prevent progression to invasive cancer.
- Cancer Group:
- ∘
- Cases: a total of 26 cases with invasive squamous cell carcinoma, adenocarcinoma, and adenocarcinoma in situ.
- ∘
- Key Features:
- ▪
- All HPV-positive cases.
- ▪
- Type 3 Transformation Zone.
- ▪
- Colposcopy findings include dense acetowhite epithelium, coarse punctation or mosaic, sharp borders, and features suspicious for invasion like irregular surfaces, erosion, or gross neoplasm.
- ▪
- High SWEDE scores and distinct yellow or non-staining iodine uptake.
- ▪
- Histopathology confirmed invasive carcinoma, with the squamocolumnar junction not visible.
2.3. Preprocessing and Normalization of Images
2.3.1. Image Selection and Train–Test Splitting
2.3.2. Training Data Augmentation
2.3.3. Architectural Flowchart and Mathematical Descriptions of the Hybrid Model
- i.
- Convolutional Neural Network (CNN) Component
- ii.
- SWIN Transformer Component:
- iii.
- Integration of CNN and SWIN Transformer:
- iv.
- Training Process
- Adaptive Learning Rates: AdamW adjusts the learning rate for each parameter individually, based on the first moment (mean) and the second moment (uncentered variance) of the gradients.
- Weight Decay: AdamW includes a weight decay term that is decoupled from the gradient-based update, helping to regularize the model by discouraging large weights.
2.4. SWIN Transformer CNN Hybrid Model Training
2.4.1. Cross-Validation Methodology for SWIN Transformer and CNN Hybrid Model
2.4.2. Evaluation of the SWIN Transformer and CNN Models on Standard Datasets
2.4.3. Model Performance on Test Data
2.4.4. Evaluation of the Held-Out Cancer and Normal Data
2.5. Performance Visualization
- i.
- Sensitivity (Recall or True-Positive Rate)
- ii.
- Specificity (True-Negative Rate)
- iii.
- Positive Predictive Value (PPV or Precision)
- iv.
- Negative Predictive Value (NPV)
- v.
- Accuracy
- vi.
- F1 Score
- vii.
- Area Under the Curve (AUC)
2.6. Detailed Steps of Analysis and Code Availability
3. Results
3.1. Clinical Data Analysis
3.1.1. Correlation Among HPV Positivity, Cancer Status and Transformation Zone
3.1.2. Swede Score Distributions
3.1.3. Summary of the Clinical Findings
3.2. Classifications of Colposcopy Images
3.2.1. SWIN Transformer and CNN Hybrid Model Training with Fivefold Cross-Validation
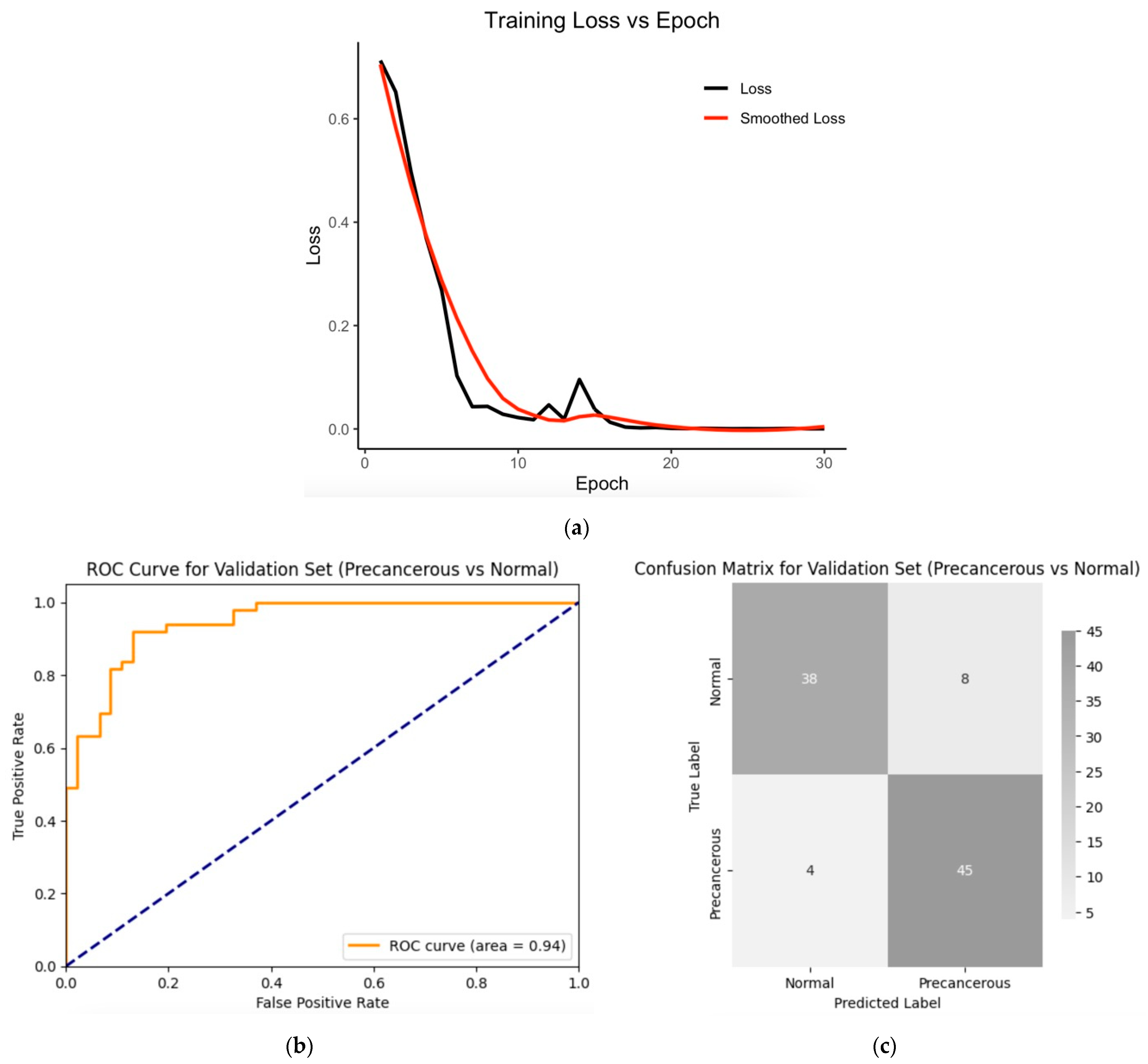
3.2.2. Trained Model’s Performance on the Test Set 1 (Precancerous vs. Normal)
3.2.3. Performance Evaluation on Test Set 2 (Cancer vs. Normal)
3.2.4. Performance of the SWIN Transformer and CNN Models on Standard Datasets
3.2.5. Model Performance Summary
3.2.6. Complementing Traditional Methods
4. Discussion
4.1. Clinical Implications
4.2. Limitations and Future Directions
5. Conclusions
Author Contributions
Funding
Institutional Review Board Statement
Informed Consent Statement
Data Availability Statement
Acknowledgments
Conflicts of Interest
Abbreviations
References
- WHO. World Health Organization Cervical Cancer: Key Facts. Available online: https://www.who.int/news-room/fact-sheets/detail/cervical-cancer (accessed on 29 August 2024).
- International Agency for Research on Cancer (IARC). New Estimates of the Number of Cervical Cancer Cases and Deaths That Could Be Averted in Low-Income and Lower-Middle-Income Countries by Scale-up of Screening and Vaccination Activities. 2024. Available online: https://www.iarc.who.int/news-events/new_estimates_cervical_cancer_cases_and_deaths_lmic_screening_vaccines/ (accessed on 24 April 2024).
- Ferlay, J.; Ervik, M.; Lam, F.; Colombet, M.; Mery, L.; Piñeros, M.; Znaor, A.; Soerjomataram, I.; Bray, F. Global Cancer Observatory: Cancer Today 2019. Available online: https://publications.iarc.fr/Databases/Iarc-Cancerbases/Cancer-Today-Powered-By-GLOBOCAN-2018--2018 (accessed on 10 August 2024).
- Arbyn, M.; Weiderpass, E.; Bruni, L.; de Sanjosé, S.; Saraiya, M.; Ferlay, J.; Bray, F. Estimates of Incidence and Mortality of Cervical Cancer in 2018: A Worldwide Analysis. Lancet Glob. Health 2020, 8, e191–e203. [Google Scholar] [CrossRef] [PubMed]
- Mohammed, F.A.; Tune, K.K.; Jett, M.; Muhie, S. Cervical Cancer Stages, Human Papillomavirus Integration, and Malignant Genetic Mutations: Integrative Analysis of Datasets from Four Different Cohorts. Cancers 2023, 15, 5595. [Google Scholar] [CrossRef] [PubMed]
- Kim, J.J.; Burger, E.A.; Regan, C.; Sy, S. Screening for Cervical Cancer in Primary Care: A Decision Analysis for the US Preventive Services Task Force. JAMA 2016, 320, 706–714. [Google Scholar] [CrossRef] [PubMed]
- Castle, P.E.; Maza, M. Prophylactic HPV Vaccination: Past, Present, and Future. Epidemiol. Infect. 2016, 144, 449–468. [Google Scholar] [CrossRef]
- Saslow, D.; Solomon, D.; Lawson, H.W.; Killackey, M.; Kulasingam, S.L.; Cain, J.; Garcia, F.A.R.; Moriarty, A.T.; Waxman, A.G.; Wilbur, D.C.; et al. American Cancer Society, American Society for Colposcopy and Cervical Pathology, and American Society for Clinical Pathology Screening Guidelines for the Prevention and Early Detection of Cervical Cancer. CA Cancer J. Clin. 2012, 62, 147–172. [Google Scholar] [CrossRef]
- Esteva, A.; Kuprel, B.; Novoa, R.A.; Ko, J.; Swetter, S.M.; Blau, H.M.; Thrun, S. Dermatologist-Level Classification of Skin Cancer with Deep Neural Networks. Nature 2017, 542, 115–118. [Google Scholar] [CrossRef]
- Eriksson, E.M.; Lau, M.; Jönsson, C.; Zhang, C.; Risö Bergerlind, L.L.; Jonasson, J.M.; Strander, B. Participation in a Swedish cervical cancer screening program among women with psychiatric diagnoses: A population-based cohort study. BMC Public Health 2019, 19, 313. [Google Scholar] [CrossRef]
- Tsikouras, P.; Zervoudis, S.; Manav, B.; Tomara, E.; Iatrakis, G.; Romanidis, C.; Bothou, A.; Galazios, G. Cervical Cancer: Screening, Diagnosis and Staging. J. BUON 2016, 21, 320–325. [Google Scholar]
- Mitchell, M.F.; Schottenfeld, D.; Tortolero-Luna, G.; Cantor, S.B.; Richards-Kortum, R. Colposcopy for the Diagnosis of Squamous Intraepithelial Lesions: A Meta-Analysis. Obstet. Gynecol. 1998, 91, 626–631. [Google Scholar] [CrossRef]
- Basu, P.; Meheus, F.; Chami, Y.; Hariprasa, R.; Zhao, F.; Sankaranarayanan, R. Management algorithms for cervical cancer screening and precancer treatment for resource-limited settings. Int. J. Gynecol. Obstet. 2017, 138, 26–32. [Google Scholar] [CrossRef]
- Peirson, L.; Fitzpatrick-Lewis, D.; Ciliska, D.; Warren, R. Screening for Cervical Cancer: A Systematic Review and Meta-Analysis. Syst. Rev. 2013, 2, 35. [Google Scholar] [CrossRef] [PubMed]
- Cuzick, J.; Clavel, C.; Petry, K.U.; Meijer, C.J.; Hoyer, H.; Ratnam, S.; Szarewski, A.; Birembaut, P.; Kulasingam, S.; Sasieni, P.; et al. Overview of the European and North American Studies on HPV Testing in Primary Cervical Cancer Screening. Int. J. Cancer 2006, 119, 1095–1101. [Google Scholar] [CrossRef] [PubMed]
- Ronco, G.; Dillner, J.; Elfström, K.M.; Tunesi, S.; Snijders, P.J.F.; Arbyn, M.; Kitchener, H.; Segnan, N.; Gilham, C.; Giorgi-Rossi, P.; et al. Efficacy of HPV-Based Screening for Prevention of Invasive Cervical Cancer: Follow-up of Four European Randomised Controlled Trials. Lancet 2014, 383, 524–532. [Google Scholar] [CrossRef] [PubMed]
- Arbyn, M.; Ronco, G.; Anttila, A.; Meijer, C.J.L.M.; Poljak, M.; Ogilvie, G.; Koliopoulos, G.; Naucler, P.; Sankaranarayanan, R.; Peto, J. Evidence Regarding Human Papillomavirus Testing in Secondary Prevention of Cervical Cancer. Vaccine 2009, 27, A88–A99. [Google Scholar] [CrossRef]
- LeCun, Y.; Bottou, L.; Bengio, Y.; Haffner, P. Gradient-Based Learning Applied to Document Recognition. Proc. IEEE 1998, 86, 2278–2324. [Google Scholar] [CrossRef]
- Liu, Z.; Lin, Y.; Cao, Y.; Hu, H.; Wei, Y.; Zhang, Z.; Lin, S.; Guo, B. Swin Transformer: Hierarchical Vision Transformer Using Shifted Windows. arXiv 2021, arXiv:210314030. [Google Scholar]
- Mohammed, F.A.; Tune, K.K.; Assefa, B.G.; Jett, M.; Muhie, S. Medical Image Classifications Using Convolutional Neural Networks: A Survey of Current Methods and Statistical Modeling of the Literature. Mach. Learn. Knowl. Extr. 2024, 6, 699–735. [Google Scholar] [CrossRef]
- Litjens, G.; Kooi, T.; Bejnordi, B.E.; Setio, A.A.A.; Ciompi, F.; Ghafoorian, M.; van der Laak, J.A.W.M.; van Ginneken, B.; Sánchez, C.I. A Survey on Deep Learning in Medical Image Analysis. Med. Image Anal. 2017, 42, 60–88. [Google Scholar] [CrossRef] [PubMed]
- Chen, T.; Guestrin, C. XGBoost: A Scalable Tree Boosting System. In Proceedings of the 22nd ACM SIGKDD International Conference on Knowledge Discovery and Data Mining, San Francisco, CA, USA, 13–17 August 2016; pp. 785–794. [Google Scholar]
- Zhang, T.; Luo, Y.M.; Li, P.; Liu, P.Z.; Du, Y.Z.; Sun, P.; Dong, B.; Xue, H. Cervical precancerous lesions classification using pre-trained densely connected convolutional networks with colposcopy images. Biomed. Signal Process. Control 2020, 55, 101566. [Google Scholar] [CrossRef]
- Gulshan, V.; Peng, L.; Coram, M.; Stumpe, M.C.; Wu, D.; Narayanaswamy, A.; Venugopalan, S.; Widner, K.; Madams, T.; Cuadros, J.; et al. Development and Validation of a Deep Learning Algorithm for Detection of Diabetic Retinopathy in Retinal Fundus Photographs. JAMA 2016, 316, 2402–2410. [Google Scholar] [CrossRef]
- Vaswani, A.; Shazeer, N.; Parmar, N.; Uszkoreit, J.; Jones, L.; Gomez, A.N.; Kaiser, L.; Polosukhin, I. Attention Is All You Need. Computation and Language (cs.CL); Machine Learning (cs.LG). arXiv 2017, arXiv:1706.03762. [Google Scholar]
- Liu, Y.; Ma, Y.; Zhu, Z.; Cheng, J.; Chen, X. TransSea: Hybrid CNN–Transformer with Semantic Awareness for 3-D Brain Tumor Segmentation. IEEE Trans. Instrum. Meas. 2024, 73, 2521316. [Google Scholar] [CrossRef]
- Dosovitskiy, A.; Beyer, L.; Kolesnikov, A.; Weissenborn, D.; Zhai, X.; Unterthiner, T.; Houlsby, N. An Image Is Worth 16x16 Words: Transformers for Image Recognition at Scale. arXiv 2020, arXiv:201011929. [Google Scholar]
- Islam, S.; Elmekki, H.; Elsebai, A.; Bentahar, J.; Drawel, N.; Rjoub, G.; Pedrycz, W. A comprehensive survey on applications of transformers for deep learning tasks. Expert Syst. Appl. 2024, 241, 122666. [Google Scholar] [CrossRef]
- Wright, T.C.; Stoler, M.H.; Behrens, C.M.; Sharma, A.; Zhang, G.; Wright, T.L. Primary Cervical Cancer Screening with Human Papillomavirus: End of Study Results from the ATHENA Study Using HPV as the First-Line Screening Test. Gynecol. Oncol. 2015, 136, 189–197. [Google Scholar] [CrossRef]
- Chen, J.; Lu, Y.; Yu, Q.; Luo, X.; Adeli, E.; Wang, Y.; Lu, Z. TransUNet: Transformers Make Strong Encoders for Medical Image Segmentation. arXiv 2021, arXiv:210204306. [Google Scholar]
- Chandran, V.; Sumithra, M.G.; Karthick, A.; George, T.; Deivakani, M.; Elakkiya, B.; Subramaniam, U.; Manoharan, S. Diagnosis of Cervical Cancer based on Ensemble Deep Learning Network using Colposcopy Images. BioMed Res. Int. 2021. [Google Scholar] [CrossRef] [PubMed]
- Kelly, C.J.; Karthikesalingam, A.; Suleyman, M.; Corrado, G.; King, D. Key Challenges for Delivering Clinical Impact with Artificial Intelligence. BMC Med. 2019, 17, 195. [Google Scholar] [CrossRef]
- Wentzensen, N.; Arbyn, M.; Berkhof, J.; Vinokurova, S. New Technologies for Cervical Cancer Screening. Vaccine 2017, 35, 4656–4665. [Google Scholar] [CrossRef]
- Schiffman, M.; Castle, P.E.; Jeronimo, J.; Rodriguez, A.C.; Wacholder, S. Human Papillomavirus and Cervical Cancer. Lancet 2007, 370, 890–907. [Google Scholar] [CrossRef]
- Park, K.-B.; Lee, J.-Y. SwinE-Net: Hybrid deep learning approach to novel polyp segmentation using convolutional neural bnetwork and Swin Transformer. J. Comput. Des. Eng. 2022, 9, 616–632. [Google Scholar] [CrossRef]
- Chen, S.; Ma, X.; Zhang, Y. SWIN-Transformer and CNN Hybrid Model for Medical Image Classification and Interpretability. Med. Image Anal. 2022, 72, 102102. [Google Scholar] [CrossRef]
- Yang, W.; Xu, L.; Huang, S. Multimodal Medical Image Fusion Using SWIN-Transformer and CNN Hybrid Model for Alzheimer’s Disease Diagnosis. IEEE J. Biomed. Health Inform. 2023, 27, 267–276. [Google Scholar]
- Xie, Y.; Zhao, J.; Wang, R. SWIN-Transformer for Precise Organ Segmentation in Medical Imaging. Med. Phys. 2022, 49, 2795–2804. [Google Scholar] [CrossRef]
- Huang, X.; Liu, J.; Xu, L. Brain Tumor Segmentation with SWIN-Transformer and CNN Hybrid Model. Int. J. Comput. Assist. Radiol. Surg. 2022, 17, 431–441. [Google Scholar] [CrossRef]
- Kim, J.; Park, J.; Choi, H. Hybrid Transformer-CNN Models for Accurate Diagnosis of COVID-19 from Chest X-Rays. IEEE Access 2022, 10, 78542–78555. [Google Scholar] [CrossRef]
- Zhou, X.; Zhang, Y.; Li, S. Hybrid Deep Learning Models for Polyp Detection in Colonoscopy Images. Pattern Recognit. Lett. 2022, 157, 75–83. [Google Scholar] [CrossRef]
- Tan, M.; Le, Q.; Vu, B. Data Augmentation and Transfer Learning in SWIN-Transformer-CNN Hybrid Models for Medical Imaging. J. Med. Artif. Intell. 2022, 4, 125–133. [Google Scholar]
- Zhang, X.; Hu, Z.; Chen, Y. Transformer-CNN Hybrid Models in Medical Image Segmentation: A Review. IEEE Trans. Neural Netw. Learn. Syst. 2023, 34, 589–603. [Google Scholar]
- International Agency for Research on Cancer Colposcopy Image Bank 2024. Available online: https://screening.iarc.fr/cervicalimagebank.php (accessed on 26 January 2024).
- Massad, L.S.; Einstein, M.H.; Huh, W.K.; Katki, H.A.; Kinney, W.K.; Schiffman, M.; Solomon, D.; Wentzensen, N.; Lawson, H.W. 2012 Updated Consensus Guidelines for the Management of Abnormal Cervical Cancer Screening Tests and Cancer Precursors. Obstet. Gynecol. 2013, 121, 829–846. [Google Scholar] [CrossRef]
- Perkins, R.B.; Guido, R.S.; Castle, P.E.; Chelmow, D.; Einstein, M.H.; Garcia, F.; Huh, W.K.; Kim, J.J.; Moscicki, A.B.; Nayar, R.; et al. 2019 ASCCP Risk-Based Management Consensus Guidelines. J. Low. Genit. Tract Dis. 2020, 24, 102–131. [Google Scholar] [CrossRef] [PubMed]
- McKinney, W. Data Structures for Statistical Computing in Python. In Proceedings of the 9th Python in Science Conference (SciPy 2010), Austin, TX, USA, 28 June–3 July 2010; pp. 51–56. [Google Scholar]
- Abadi, M.; Barham, P.; Chen, J.; Chen, Z.; Davis, A.; Dean, J.; Devin, M.; Ghemawat, S.; Irving, G.; Isard, M.; et al. TensorFlow: A System for Large-Scale Machine Learning. In Proceedings of the 12th USENIX Conference on Operating Systems Design and Implementation (OSDI ’16), Savannah, GA, USA, 2–4 November 2016; pp. 265–283. [Google Scholar]
- Harris, C.R.; Millman, K.J.; van der Walt, S.J.; Gommers, R.; Virtanen, P.; Cournapeau, D.; Wieser, E.; Taylor, J.; Berg, S.; Smith, N.J.; et al. Array Programming with NumPy. Nature 2020, 585, 357–362. [Google Scholar] [CrossRef] [PubMed]
- Abadi, M.; Agarwal, A.; Barham, P.; Brevdo, E.; Chen, Z.; Citro, C.; Corrado, G.S.; Davis, A.; Dean, J.; Devin, M.; et al. TensorFlow: Large-Scale Machine Learning on Heterogeneous Systems. arXiv 2016, arXiv:160304467. [Google Scholar]
- LeCun, Y.; Bengio, Y.; Hinton, G. Deep Learning. Nature 2015, 521, 436–444. [Google Scholar] [CrossRef] [PubMed]
- Python Software Foundation The Python Standard Library: Os—Miscellaneous Operating System Interfaces 2023. Python v3.13.0 Documentation. Available online: https://docs.python.org/3/library/os.html (accessed on 29 August 2024).
- Hastie, T.; Tibshirani, R.; Friedman, J. The Elements of Statistical Learning: Data Mining, Inference, and Prediction; Springer: Berlin/Heidelberg, Germany, 2009. [Google Scholar]
- Loshchilov, I.; Hutter, F. Decoupled Weight Decay Regularization. In Proceedings of the 7th International Conference on Learning Representations (ICLR), New Orleans, LA, USA, 6–9 May 2019. [Google Scholar]
- Nair, V.; Hinton, G.E. Rectified Linear Units Improve Restricted Boltzmann Machines. In Proceedings of the 27th International Conference on International Conference on Machine Learning, Haifa, Israel, 21–24 June 2010; pp. 807–814. [Google Scholar]
- Wightman, R. PyTorch Image Models (Timm). 2019. Available online: https://scholar.google.com/scholar?hl=en&as_sdt=0%2C21&q=Wightman%2C+R.+PyTorch+Image+Models+%28Timm%29&btnG= (accessed on 10 August 2024).
- Paszke, A.; Gross, S.; Massa, F.; Lerer, A.; Bradbury, J.; Chanan, G.; Killeen, T.; Lin, Z.; Gimelshein, N.; Antiga, L.; et al. PyTorch: An Imperative Style, High-Performance Deep Learning Library. Adv. Neural Inf. Process. Syst. 2019, 32, 8024–8035. [Google Scholar]
- Wightman, R. PyTorch Image Models. 2019. Available online: https://scholar.google.com/scholar?hl=en&as_sdt=0%2C21&q=Wightman%2C+R.+PyTorch+Image+Models&btnG= (accessed on 10 August 2024).
- Pedregosa, F. Scikit-Learn: Machine Learning in Python. J. Mach. Learn. Res. 2011, 12, 2825–2830. [Google Scholar]
- Waskom, M.L. Seaborn: Statistical Data Visualization. J. Open Source Softw. 2021, 6, 3021. [Google Scholar] [CrossRef]
- Hunter, J.D. Matplotlib: A 2D Graphics Environment. Comput. Sci. Eng. 2007, 9, 90–95. [Google Scholar] [CrossRef]
- World Health Organization (WHO). Global Strategy to Accelerate the Elimination of Cervical Cancer as a Public Health Problem 2020; WHO: Geneva, Switzerland, 2020. [Google Scholar]
- Van’t Veer, L.J.; Dai, H.; Van De Vijver, M.J.; He, Y.D.; Hart, A.A.; Mao, M.; Peterse, H.L.; Van Der Kooy, K.; Marton, M.J.; Witteveen, A.T.; et al. Gene Expression Profiling Predicts Clinical Outcome of Breast Cancer. Nature 2002, 415, 530–536. [Google Scholar] [CrossRef]
- Bueno-de-Mesquita, J.M.; Linn, S.C.; Keijzer, R.; Wesseling, J.; Nuyten, D.S.A.; Van Krimpen, C.; Meijers, C.; De Graaf, P.W.; Bos, M.M.E.M.; Hart, A.A.M.; et al. Validation of 70-gene prognosis signature in node-negative breast cancer. Breast Cancer Res Treat. 2009, 117, 483–495. [Google Scholar] [CrossRef]
- Cardoso, F.; Van’t Veer, L.J.; Bogaerts, J.; Slaets, L.; Viale, G.; Delaloge, S.; Pierga, J.Y.; Brain, E.; Passalacqua, R.; Neijenhuis, P.A.; et al. 70-Gene Signature as an Aid to Treatment Decisions in Early-Stage Breast Cancer. N. Engl. J. Med. 2016, 375, 717–729. [Google Scholar] [CrossRef] [PubMed]
- Rajpurkar, P.; Irvin, J.; Zhu, K.; Yang, B.; Mehta, H.; Duan, T.; Ng, A.Y. CheXNet: Radiologist-Level Pneumonia Detection on Chest X-rays with Deep Learning. arXiv 2018, arXiv:171105225. [Google Scholar]
- Mitchell, M.J.; Billingsley, M.M.; Haley, R.M.; Wechsler, M.E.; Peppas, N.A.; Langer, R. Engineering Precision Nanoparticles for Drug Delivery. Nat. Rev. Drug Discov. 2019, 20, 101–124. [Google Scholar] [CrossRef]
- He, K.; Zhang, X.; Ren, S.; Sun, J. Deep Residual Learning for Image Recognition. In Proceedings of the IEEE Conference on Computer Vision and Pattern Recognition, Las Vegas, NV, USA, 27–30 June 2016; pp. 770–778. [Google Scholar]
- European Society of Radiology (ESR). What the Radiologist Should Know about Artificial Intelligence—An ESR White Paper. Insights Imaging 2019, 10, 44. [Google Scholar] [CrossRef] [PubMed]
- Wang, H.; Zheng, B.; Yoon, S.W.; Ko, H.S. A Support Vector Machine-Based Ensemble Algorithm for Breast Cancer Diagnosis. Eur. J. Oper. Res. 2017, 267, 687–699. [Google Scholar] [CrossRef]
- Gunning, D.; Stefik, M.; Choi, J.; Miller, T.; Stumpf, S.; Yang, G.Z. XAI—Explainable Artificial Intelligence. Sci. Robot. 2019, 4, eaay7120. [Google Scholar] [CrossRef]









| Predicted Positive | Predicted Negative | |
|---|---|---|
| Actual Positive | True Positive (TP) | False Negative (FN) |
| Actual Negative | False Positive (FP) | True Negative (TN) |
Disclaimer/Publisher’s Note: The statements, opinions and data contained in all publications are solely those of the individual author(s) and contributor(s) and not of MDPI and/or the editor(s). MDPI and/or the editor(s) disclaim responsibility for any injury to people or property resulting from any ideas, methods, instructions or products referred to in the content. |
© 2024 by the authors. Licensee MDPI, Basel, Switzerland. This article is an open access article distributed under the terms and conditions of the Creative Commons Attribution (CC BY) license (https://creativecommons.org/licenses/by/4.0/).
Share and Cite
Mohammed, F.A.; Tune, K.K.; Mohammed, J.A.; Wassu, T.A.; Muhie, S. Early Cervical Cancer Diagnosis with SWIN-Transformer and Convolutional Neural Networks. Diagnostics 2024, 14, 2286. https://doi.org/10.3390/diagnostics14202286
Mohammed FA, Tune KK, Mohammed JA, Wassu TA, Muhie S. Early Cervical Cancer Diagnosis with SWIN-Transformer and Convolutional Neural Networks. Diagnostics. 2024; 14(20):2286. https://doi.org/10.3390/diagnostics14202286
Chicago/Turabian StyleMohammed, Foziya Ahmed, Kula Kekeba Tune, Juhar Ahmed Mohammed, Tizazu Alemu Wassu, and Seid Muhie. 2024. "Early Cervical Cancer Diagnosis with SWIN-Transformer and Convolutional Neural Networks" Diagnostics 14, no. 20: 2286. https://doi.org/10.3390/diagnostics14202286
APA StyleMohammed, F. A., Tune, K. K., Mohammed, J. A., Wassu, T. A., & Muhie, S. (2024). Early Cervical Cancer Diagnosis with SWIN-Transformer and Convolutional Neural Networks. Diagnostics, 14(20), 2286. https://doi.org/10.3390/diagnostics14202286

