Distinguishing Childhood Asthma Exacerbations from Stable Asthma: The Utility of Inflammatory White Blood Cell Biomarkers
Abstract
1. Introduction
2. Materials and Methods
2.1. Setting and Design
2.2. Study Population and Data Collection
2.3. Statistical Analysis
3. Results
3.1. Clinical and Laboratory Characteristics of the Study Population
3.2. Inflammatory Indices in Stable Asthma vs. Asthma Exacerbations
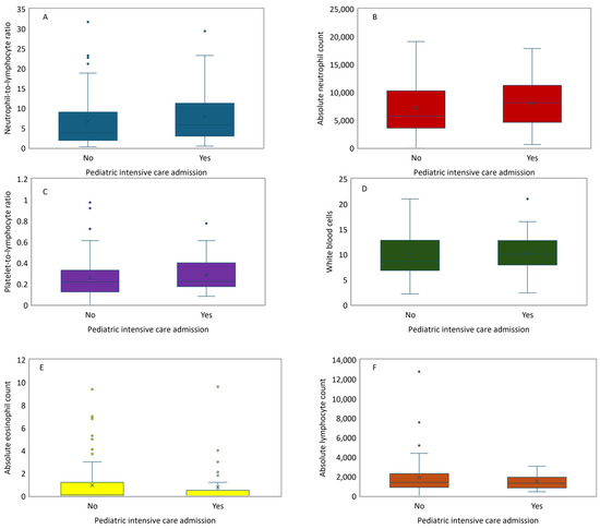
3.3. Inflammatory Indices in Asthma Exacerbations with PICU Admission
4. Discussion
5. Conclusions
Funding
Institutional Review Board Statement
Informed Consent Statement
Data Availability Statement
Acknowledgments
Conflicts of Interest
References
- Reddel, H.K.; Taylor, D.R.; Bateman, E.D.; Boulet, L.P.; Boushey, H.A.; Busse, W.W.; Casale, T.B.; Chanez, P.; Enright, P.L.; Gibson, P.G.; et al. An official American Thoracic Society/European Respiratory Society statement: Asthma control and exacerbations—Standardizing endpoints for clinical asthma trials and clinical practice. Am. J. Respir. Crit. Care Med. 2009, 180, 59–99. [Google Scholar] [CrossRef] [PubMed]
- Puranik, S.; Forno, E.; Bush, A.; Celedón, J.C. Predicting severe asthma exacerbations in children. Am. J. Respir. Crit. Care Med. 2017, 195, 854–859. [Google Scholar] [CrossRef] [PubMed]
- Asseri, A.A. Characteristics of Allergic, Eosinophilic, and Overlapping Asthma Phenotypes Among Pediatric Patients with Current Asthma: A Cross-Sectional Study from Saudi Arabia. J. Asthma Allergy 2023, 16, 1297–1308. [Google Scholar] [CrossRef] [PubMed]
- Fleming, M.; Fitton, C.A.; Steiner, M.F.; McLay, J.S.; Clark, D.; King, A.; Mackay, D.F.; Pell, J.P. Educational and health outcomes of children treated for asthma: Scotlandwide record linkage study of 683 716 children. Eur. Respir. J. 2019, 54, 1802309. [Google Scholar] [CrossRef]
- Lowden, R.; Turner, S. Past asthma exacerbation in children predicting future exacerbation: A systematic review. ERJ Open Res. 2022, 8, 00174–02022. [Google Scholar] [CrossRef] [PubMed]
- Federico Fernandez Nievas, I.; Anand, K.J.S. Review Article Severe Acute Asthma Exacerbation in Children: A Stepwise Approach for Escalating Therapy in a Pediatric Intensive Care Unit. J. Pediatr. Pharmacol. Ther. 2013, 18, 88–104. [Google Scholar]
- Kaza, V.; Bandi, V.; Guntupalli, K.K. Acute severe asthma: Recent advances. Curr. Opin. Pulm. Med. 2007, 13, 1–7. [Google Scholar] [CrossRef] [PubMed]
- Giordano, K.; Rodriguez, E.; Green, N.; Armani, M.; Richards, J.; Shaffer, T.H.; Attia, M.W. Pulmonary function tests in emergency department pediatric patients with acute wheezing/asthma exacerbation. Pulm. Med. 2012, 2012, 724139. [Google Scholar] [CrossRef]
- Asseri, A.A. Predictors of Pediatric Intensive Care Unit Admissions among Children with Acute Asthma Exacerbation. World Fam. Med. 2020, 18, 20–26. [Google Scholar] [CrossRef]
- Johnston, S.L.; Pattemore, P.K.; Sanderson, G.; Smith, S.; Lampe, F.; Josephs, L.; Symington, P.; Myint, S.H.; Tyrrell, D.A.J.; Holgate, S.T.; et al. Community study of role of viral infections in exacerbations of asthma in 9–11 year old children. BMJ 1995, 310, 1225–1229. [Google Scholar] [CrossRef]
- Bush, A. Pathophysiological Mechanisms of Asthma. Front. Pediatr. 2019, 7, 68. [Google Scholar] [CrossRef] [PubMed]
- Gillissen, A.; Paparoupa, M. Inflammation and infections in asthma. Clin. Respir. J. 2015, 9, 257–269. [Google Scholar] [CrossRef] [PubMed]
- Bjermer, L. History and future perspectives of treating asthma as a systemic and small airways disease. Respir. Med. 2001, 95, 703–719. [Google Scholar] [CrossRef] [PubMed][Green Version]
- Sarikloglou, E.; Fouzas, S.; Paraskakis, E. Prediction of Asthma Exacerbations in Children. J. Pers. Med. 2024, 14, 20. [Google Scholar] [CrossRef] [PubMed]
- Fu, L.-S.; Tsai, M.-C. Asthma exacerbation in children: A practical review. Pediatr. Neonatol. 2014, 55, 83–91. [Google Scholar] [CrossRef] [PubMed]
- Sánchez-García, S.; Habernau Mena, A.; Quirce, S. Biomarkers in inflammometry pediatric asthma: Utility in daily clinical practice. Eur. Clin. Respir. J. 2017, 4, 1356160. [Google Scholar] [CrossRef] [PubMed]
- Shah, S.P.; Grunwell, J.; Shih, J.; Stephenson, S.; Fitzpatrick, A.M. Exploring the Utility of Noninvasive Type 2 In-flammatory Markers for Prediction of Severe Asthma Exacerbations in Children and Adolescents. J. Allergy Clin. Immunol. Pract. 2019, 7, 2624–2633.e2. [Google Scholar] [CrossRef] [PubMed]
- Pan, R.; Ren, Y.; Li, Q.; Zhu, X.; Zhang, J.; Cui, Y.; Yin, H. Neutrophil–lymphocyte ratios in blood to distinguish children with asthma exacerbation from healthy subjects. Int. J. Immunopathol. Pharmacol. 2023, 37, 3946320221149849. [Google Scholar] [CrossRef] [PubMed]
- Arwas, N.; Shvartzman, S.U.; Goldbart, A.; Bari, R.; Hazan, I.; Horev, A.; Golan Tripto, I. Elevated Neutrophil-to-Lymphocyte Ratio Is Associated with Severe Asthma Exacerbation in Children. J. Clin. Med. 2023, 12, 3312. [Google Scholar] [CrossRef]
- Wark, P.A.B.; Gibson, P.G. Asthma exacerbations · 3: Pathogenesis. Thorax 2006, 61, 909–915. [Google Scholar] [CrossRef]
- Lehman, H.K.; Segal, B.H. The role of neutrophils in host defense and disease. J. Allergy Clin. Immunol. 2020, 145, 1535–1544. [Google Scholar] [CrossRef] [PubMed]
- Norzila, M.Z.; Fakes, K.; Henry, R.L.; Simpson, J.; Gibson, P.G. Interleukin-8 Secretion and Neutrophil Recruitment Accompanies Induced Sputum Eosinophil Activation in Children with Acute Asthma. Am. J. Respir. Crit. Care Med. 2000, 161, 769–774. [Google Scholar] [CrossRef] [PubMed]
- Sur, S.; Crotty, T.B.; Kephart, G.M.; Hyma, B.A.; Colby, T.V.; Reed, C.E.; Hunt, L.W.; Gleich, G.J. Sudden-Onset Fatal Asthma: A Distinct Entity with Few Eosinophils and Relatively More Neutrophils in the Airway Submucosa? Am. Rev. Respir. Dis. 1993, 148, 713–719. [Google Scholar] [CrossRef] [PubMed]
- Dogru, M.; Mutlu, R.Y. The evaluation of neutrophil–lymphocyte ratio in children with asthma. Allergol. Immunopathol. 2016, 44, 292–296. [Google Scholar] [CrossRef] [PubMed]
- Nacaroglu, H.T.; Isgüder, R.; Bent, S.; Erdem Bahceci, S.; Ceylan, G.; Korkmaz, H.A.; Karaman, S.; Unsal Karklner, C.S.; Can, D. Can neutrophil/lymphocyte ratio be a novel biomarker of inflammation in children with asthma? Eur. J. Inflamm. 2016, 14, 109–112. [Google Scholar] [CrossRef]
- Bedolla-Barajas, M.; Morales-Romero, J.; Hernández-Colín, D.D.; Larenas-Linnemann, D.; Mariscal-Castro, J.; Flores-Razo, M.M.; Bedolla-Pulido, A. Beyond eosinophilia: Inflammatory patterns in patients with asthma. J. Asthma 2022, 59, 255–263. [Google Scholar] [CrossRef] [PubMed]
- Moosmann, J.; Krusemark, A.; Dittrich, S.; Ammer, T.; Rauh, M.; Woelfle, J.; Metzler, M.; Zierk, J. Age- and sex-specific pediatric reference intervals for neutrophil-to-lymphocyte ratio, lymphocyte-to-monocyte ratio, and platelet-to-lymphocyte ratio. Int. J. Lab. Hematol. 2022, 44, 296–301. [Google Scholar] [CrossRef]
- Li, K.; Peng, Y.-G.; Yan, R.-H.; Song, W.-Q.; Peng, X.-X.; Ni, X. Age-dependent changes of total and differential white blood cell counts in children. Chin. Med. J. 2020, 133, 1900–1907. [Google Scholar] [CrossRef]
- Ronchetti, S.; Ricci, E.; Migliorati, G.; Gentili, M.; Riccardi, C. How glucocorticoids affect the neutrophil life. Int. J. Mol. Sci. 2018, 19, 4090. [Google Scholar] [CrossRef]




| Characteristic | Asthma Exacerbation Group (n = 128) | Stable Asthma Group (n = 131) | p-Value |
|---|---|---|---|
| Age, mean ± SD | 5.32 ± 2.5 | 5.12 ± 1.2 | 0.214 |
| Sex, male, n (%) | 47 (37) | 84 (64) | <0.001 |
| Previous PICU admission, n (%) | 22 (17.2) | 30 (23.0) | 0.006 |
| Hospitalization last year, n (%) | 63 (49.2) | 59 (45.0) | 0.008 |
| ICS use ever, n (%) | 62 (48.4) | 74 (56.5) | 0.107 |
| WBC (ref: 4.3–11.0 × 103 cells/μL), mean ± SD | 10.0 ± 4.2 | 7.1 ± 2.2 | <0.001 |
| ANC (ref: 1500–8500 cells/μL), mean ± SD | 7398.5 ± 4600 | 2634.8 ± 1448 | <0.001 |
| ALC (ref: 970–3960 cells/μL), mean ± SD | 1794.1 ± 1536 | 3552.9 ± 1509 | <0.001 |
| Platelets, ×1000/mm3, mean ± SD | 323.2 ± 99 | 403.0 ± 517 | 0.045 |
| NLR, mean ± SD | 7.0 ± 6.8 | 0.9 ± 0.7 | <0.001 |
| PLR, mean ± SD | 0.3 ± 0.2 | 0.1 ± 0.1 | <0.001 |
| Blood eosinophil count, cells/mm3, mean ± SD | 0.9 ± 1.9 | 370.1 ± 342.7 | <0.001 |
| PRAM, mean ± SD | 7.1 ± 1.7 | - | - |
| Variable | Criterion | AUC | AUC 95% CI | Sensitivity | Specificity | p |
|---|---|---|---|---|---|---|
| NLR | >1.2 | 0.90 | 0.85–0.94 | 82.5 | 79.5 | 0.000 |
| ANC | >3866 | 0.86 | 0.81–0.91 | 75.0 | 82.3 | 0.000 |
| PLR | >0.13 | 0.80 | 0.75–0.86 | 75.4 | 70.0 | 0.000 |
| WBC | <8.18 | 0.72 | 0.66–0.78 | 61.1 | 70.1 | 0.000 |
| NLR + ANC + PLR + WBC | - | 0.90 | 0.86–0.94 | 83.3 | 82.7 | 0.000 |
| Variable | Criterion | AUC | AUC 95% CI | Sensitivity | Specificity | p |
|---|---|---|---|---|---|---|
| AEC | >10 | 0.95 | 0.92–0.98 | 93.1 | 100 | 0.000 |
| ALC | >1792 | 0.85 | 0.80–0.90 | 95.0 | 67.9 | 0.000 |
| AEC + ALC | - | 0.98 | 0.96–0.99 | 96.0 | 82.0 | 0.000 |
Disclaimer/Publisher’s Note: The statements, opinions and data contained in all publications are solely those of the individual author(s) and contributor(s) and not of MDPI and/or the editor(s). MDPI and/or the editor(s) disclaim responsibility for any injury to people or property resulting from any ideas, methods, instructions or products referred to in the content. |
© 2024 by the author. Licensee MDPI, Basel, Switzerland. This article is an open access article distributed under the terms and conditions of the Creative Commons Attribution (CC BY) license (https://creativecommons.org/licenses/by/4.0/).
Share and Cite
Asseri, A.A. Distinguishing Childhood Asthma Exacerbations from Stable Asthma: The Utility of Inflammatory White Blood Cell Biomarkers. Diagnostics 2024, 14, 1663. https://doi.org/10.3390/diagnostics14151663
Asseri AA. Distinguishing Childhood Asthma Exacerbations from Stable Asthma: The Utility of Inflammatory White Blood Cell Biomarkers. Diagnostics. 2024; 14(15):1663. https://doi.org/10.3390/diagnostics14151663
Chicago/Turabian StyleAsseri, Ali Alsuheel. 2024. "Distinguishing Childhood Asthma Exacerbations from Stable Asthma: The Utility of Inflammatory White Blood Cell Biomarkers" Diagnostics 14, no. 15: 1663. https://doi.org/10.3390/diagnostics14151663
APA StyleAsseri, A. A. (2024). Distinguishing Childhood Asthma Exacerbations from Stable Asthma: The Utility of Inflammatory White Blood Cell Biomarkers. Diagnostics, 14(15), 1663. https://doi.org/10.3390/diagnostics14151663

